随钻测井技术(logging while drilling technique,简称LWD)已经在商业性油汽开采中得到广泛应用,是测井和钻井领域的一项关键技术,尤其在近海钻井平台上展示了很好的应用前景(Bargach et al.,2000).随钻测井摒弃了传统电缆测井技术的诸多不利因素,拥有井眼条件良好,泥浆侵入少,在钻井的同时获取地层信息,测量的地层信息与真实值非常接近等优点,通过该地层信息可以及时调整钻井方向使其能更好地到达储层,极大地提高了勘探效率,降低了成本.
市场上有很多LWD仪器已经在进行商业化应用,然而,由于钻杆占据了井内较大一部分空间,严重影响了声波传播特征(唐晓明和郑传汉,2004),因此,随钻测井还有一些技术性问题函需解决.对于装置在钻铤上的随钻单极子声波测井仪器来说,当声源发出的声波通过钻铤返回到接收器的过程中,全波波形中有明显的钻铤模式波,这种钻铤模式波具有较强的振幅并有很强的持久性,它覆盖了部分地层信息(Tang et al.,2002;崔志文,2004; 苏远大等,2011;王兵等,2012).杨玉峰等(2016)通过有限差分模拟指出,钻铤模式波是一种导波,他不仅在钻铤内传播,也在地层和井孔中传播,即使截去钻铤的一段,钻铤波信号仍然会出现在地层中,并可到达位于钻铤表面的接收器.声波信号采集量化时电路的增益将被较大幅度的钻铤模式波所控制,这样采集的地层声波信号的信噪比较低,钻铤模式波的出现使得通过随钻信号拾取地层纵波和横波变得异常困难,必须采用隔声技术削弱钻铤波的影响.目前市场上商业化应用的随钻声波测井仪均是采用在钻铤上刻槽的方法达到隔声效果,如威德福、哈里伯顿、贝克休斯、斯伦贝谢.尽管其刻槽方式各不相同,但均是以牺牲钻铤强度和硬度为代价.
由于开槽给钻杆带来的不良影响,迫切需要一种技术在不影响钻铤强度的前提下,最大化地减小钻铤模式波,提高信噪比.Zhan等(2005)提出基于震电效应原理的随钻声波测井技术来解决钻铤的隔声问题.王华等(2009)提出在信号处理环节将钻铤模式波滤除的方法.唐晓明等(2012)、Su等(2012)提出了在钻铤上变径隔声的随钻声波测井方法,主要是将钻铤中的拉伸波的阻带现象进行拓展,这种隔声方式降低了对钻铤强度的破坏.Zhu等(2012)在随钻测井的环境下间接从震电转换的电信号中提取地层P、S波速度.郑晓波等(2014)在不刻槽条件下,先计算随钻测井声场,再计算低频极限下声波引起的电磁场,考察了利用动电效应获得地层纵横波速度的可行性,发现随钻声诱导径向电场中存在钻铤模式波,但其相对幅度小于随钻声场中钻铤模式波的相对幅度.Zheng等(2014,2015)进一步考察实际测井频率下随钻声波引起的电场,结果表明轴向电场波形中也存在钻铤模式波.张博等(2016)提出一种双源反向激励方法,对钻铤模式波的抑制有明显效果.
综上所述,声电效应、刻槽、双源这三种手段都能在一定程度上降低钻铤模式波,人们希望并一直在不断地努力寻找能够有效消除钻铤模式波影响的方法或手段.因此,我们在随钻声电效应测井技术中,通过运用双源激励方法(张海澜等,2004;张博等,2016),在数据采集过程中对电信号里存在的钻铤模式波进行压制,从而实现进一步提高地层波的信噪比.
2 基本原理为研究随钻环境下波场,建立柱状径向分层结构的随钻声波导物理模型.径向上最内层为钻铤内流体(泥浆),然后依次为有足够强度的钻铤(钢制的厚壁圆管)、井内流体(泥浆)、井外孔隙地层.我们将较厚的钢制钻铤看作为质地均匀的弹性固体,并假设地层是各向同性介质.环状声源镶嵌在钻铤的外边缘.表 1给出了钻铤内流体、钻铤、井内流体的相关参数.
|
|
表 1 随钻测井井孔模拟参数 Table 1 Parameters of the LWD Model |
本文采用钻铤边沿上局部有一定高度的环状曳力源,声波随钻测井仪钻铤上的声源的数学描述可以参考文献(Tang et al.,2002;崔志文,2004),其中心在圆柱坐标系的原点上.
2.1 井孔内外声电耦合柱面波场的理论解在随钻测井环境下,井内存在流体(泥浆)和弹性钻铤仪器.流体和钻铤可视为均质单相弹性体,井外为流体饱和孔隙地层.井中单极声源激发时,井孔内外就会激发相应的单极声波场,当弹性波在孔隙地层中传播时,声波又会诱导渗流运动产生伴随电磁场(Pride and Morgan,1991),Pride采用体积平均法推导出了描述孔隙结构的耦合弹性波-电磁波控制方程组(Pride,1994).胡恒山和王克协(1999,2000:测井技术)基于Pride方程组,最早推导了声电效应测井的井内外波场表达式,并计算了声电测井响应的全波波形,国外学者更多引用的是英文文章(Hu et al.,2000:MIT年度报告).Guan等(2013)理论模拟了随钻声电测井的电磁场,其结果表明钻铤波仍存在于电场信号中.本文从Pride方程组出发,导出当曳力源在钻铤上激发声波时各层介质的声场和电磁场的计算公式.在圆柱坐标系(r,θ,z)中,各层介质基本场量的亥姆霍兹势函数解为(胡恒山,2000;崔志文,2004;Guan et al.,2013)
|
(1) |
其中, φ 为纵波位移势函数, Γ 为横波位移势函数,下脚标I,C,O,F分别代表钻铤内流体、钻铤、井内流体、孔隙地层. ez 是z轴方向的单位向量.αi(i=pf,ps,sv,em)是无量纲的复数,表示渗流位移与固相位移的比值,βi(i=pf,ps,sv,em)表示电场势与固相位移势的比值.纵波位移势 φ 、横波位移势 Γ 在频率波数域可以表示为
|
(2) |
其中, kZ 是轴向波数,

在井内单相流体介质中,声场和电磁场可以同时存在,但它们是非耦合的.对声电测井而言,电磁场属于无源区域.因此,在均匀、各向同性、无源介质中电场强度满足约束方程(胡恒山和王克协,1999):
|
其中 ke 是流体电磁波波数,
由上述方程可以得到,井内电磁场分量的具体表达式为
|
(4) |
|
(5) |
|
(6) |
其中,
各介质层边界分别为液体与固体、固体与液体、液体与孔隙地层的边界,通过弹性场和电磁场满足的边界条件确定井内外波场势函数的系数,在加入两个井内流体电磁场系数后,对于随钻声电效应测井模型内外场共有13个未知系数,这些系数可由13个边界条件确定.这些边界条件是:
在钻铤和钻铤内流体介质边界处,有
法向位移的连续性 uri=ur,
法向应力的连续性 -pfi=τrr,
切向应力的连续性 0=τrz;
在钻铤和钻铤外流体介质边界处,有
法向位移的连续性 uro=ur,
法向应力的连续性 -(pfo+σs)=τrr,
切向应力的连续性 0=τrz,
电场强度的连续性 Ezo=0;
钻铤外流体介质和地层边界处,有
流体流动的连续性 uro=ur1+wr1,
法向应力的连续性 -pfo=τrr1,
切向应力的连续性 0=τrz1,
流体压强的连续性 pfo=p1,
电场强度的连续性 Ezo=Ezl,
磁场强度连续性 Hθo=Hθ1;
其中上角标i,o分别表示钻铤内外介质,l表示孔隙介质.利用这些边界条件,可将上述未知系数确定.将边界条件写成矩阵形式为
|
其中,
|
是与场源辐射贡献的项.
2.4 双声源激励法在测井的时候,为了较好地提取我们所需要的信号,这一部分信号需要被加强,其他信号需要被相应减弱,通过采用增加多个声源的方法可以达到这个目的.但在实际应用中,多声源对仪器硬件要求较高,而双声源在实际应用中比较容易实现,因此,一般多采用双声源激励法(张海澜等,2004;张博等,2016).
随钻环境下的双声源激励法是将两个发射声源分别放置在钻铤边缘,远声源Sf和近声源Sn,轴向的间距为d.两个声源分别发出不同步的信号,本文采用余弦包络作为声源时间函数,记声源为 S(z,t), 其频率-波数谱为 S(k,w). 接收信号的频率-波数谱是声源的频率-波数谱和井孔响应参数的乘积,而不同的信号在井孔响应函数的频率-波数谱有不同的位置,当声源的频率-波数谱在某些信号对应的位置比较强的时候,接收到的这些信号就加强,反之,信号则被抑制.因此,声源信号的频率-波数谱对控制接收信号的增抑有很大意义.
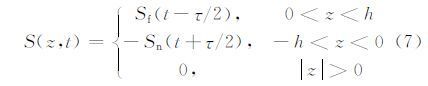
测井时,Sf首先激发,Sn延时一段时间 τ 之后反向激发,钻铤表面的声源信号为
|
(7) |
式中 h 是声源的半高度,即d/2,负号代表反向激励,由式(7)可得其频谱为
|
(8) |
k 是波数.由于声源信号表达式(7)为实奇函数,根据傅里叶变换性质,在进行傅里叶变换后,其结果为一个虚奇函数,在公式(8)体现为增加了一个纯虚部“i”.这个表达式(8)的重要意义在于其中的正弦项,它在频率-波数域(ω-k)内的斜率为 w/k=h/τ. 在已知钻铤模式波速度c的情况下,通过适当调整源距和延迟时间的大小,可以削弱我们不需要的钻铤模式波信号,就能得到信噪比较高的地层声波信号.
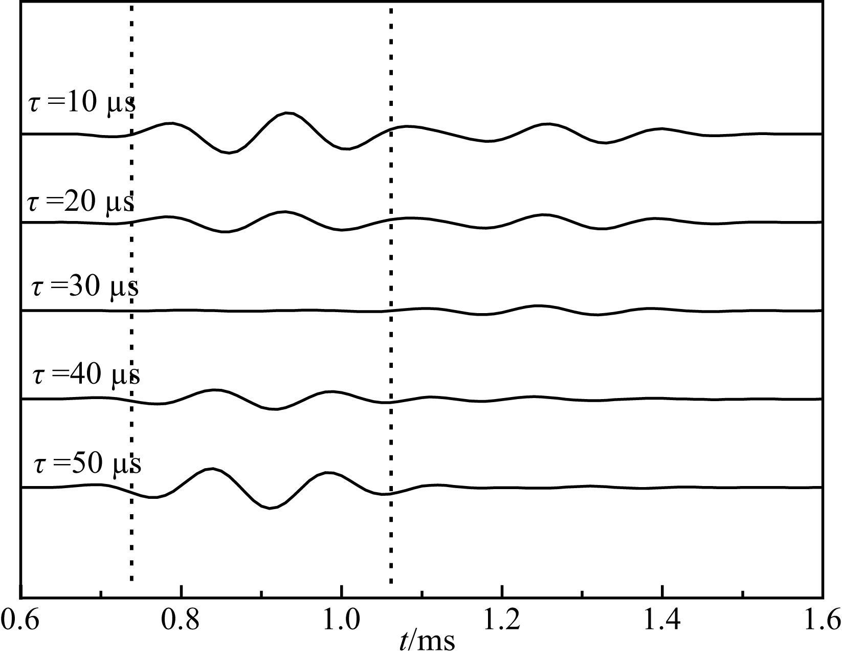
首先,给定远、近声源之间距离d为0.15 m.同时,为了达到滤波效果的最优化,我们选择合适的延迟时间τ.由图 1可以看出,当延迟时间为40、50 μs时,可以观察到,钻铤模式波没有被很好地压制,振幅较强,在后续波形中纵波的振幅被压制得较为明显.在两条虚线范围内,即钻铤模式波存在的区域,当延迟时间为30 μs时,钻铤模式波的压制效果比较明显,与理论(公式(8))预期一致,因此下文的算例中我们均选择τ=30 μs.
|
图 1 不同延迟时间下的波形图 Fig. 1 The waveforms of different delay time |
本节主要考察了两种地层,既快速地层和慢速地层,两种地层参数见表 2.通过单极子曳力源的激发,观察声压波形和电磁波形中钻铤模式波振幅与衰减情况.将结果与加入双源激励方法后的波形进行对比,可以说明双源激励法确实对压制钻铤模式波能够产生实际作用,尤其在轴向电磁波形中的效果明显优于声波波形.记录声场和电磁信号的位置是相同的,在偏离井轴0.1 m处,声源中心频率为6 kHz,声源脉冲长度0.5 ms,从不同电场与全波图形的相关性角度考虑,我们仅选取声压波形和轴向电场波形作为考察对象.
|
|
表 2 孔隙地层参数 Table 2 Parameters of the porous formation |
图 2是单极源激发下偏离井轴0.1 m处井内阵列接收器接收的声压P和轴向电场Ez的归一化阵列波形.从图 2a中可以看出,按照到达接收器时间的不同,一共存在5种波群(a,b,c,d,e),首先是以介质中电磁波速度传播的电磁首波(a),其次是幅度明显且速度略低于钻铤纵波的钻铤模式波(b),接着是从井孔地层界面折射回来的与钻铤模式波发生混叠的地层纵波(c),后两者分别是存在于钻铤外流体环面地层横波和伪瑞利波(d)、以及斯通利波(e).我们主要关注钻铤模式波的情况,钻铤模式波是一种导波,从声压波形中可以看出,钻铤模式波控制着整个全波波形,它的振幅明显大于其他三个波,并且和地层纵波发生混叠,这使得从全波图上提取地层纵波变得异常困难.从轴向电场图形可以观察到,对应每一个声波波群,轴向电场都有相应的波群,两者的频率和到达时间接近,这是因为地层中声波扰动的地方存在局域电场,局域电场伴随声波传播.同时,从图 2b我们可以看到,在轴向电场波形中,由钻铤模式波引起电场的振幅相对于声压信号中的振幅要减弱许多,钻铤模式波引发电场的原因是钻铤模式波的部分能量通过井壁到达孔隙地层中,在孔隙地层中产生耦合电场,由于钻铤模式波大部分能量在钻铤上形成导波,只有小部分传导到孔隙地层中产生耦合电场,因此产生的电场相对较小.同时,由图 2b可以得出,将电场强度最大幅度与声压最大幅度做比值,即电声转换比(胡恒山,2003)的量级为10-6V/m·Pa,与电缆声电测井的电声转换比的量级相同.这意味着在随钻声电效应测井中,从电场信号中提取地层信息较声压波形存在优势.
|
图 2 在快速地层中,由单极源激发,声源中心频率6 kHz,实线是声压波形,虚线是轴向电场波形 (a)z=3.5到5 m的归一化阵列波形;(b)z=3.5 m处的波形. Fig. 2 Full waveforms of the seismoelectric LWD in the fast formation with a 6 kHz momopole source. The solid and dash lines denote the waveforms of the acoustic pressure and the electric fields,respectively (a)Normalized waveforms from z=3.5 to 5.0 m;(b)Waveforms at z=3.5 m. |
为验证加入双源激励后的效果,先设定饱和流体孔隙地层为快速地层,将单源和双源激励下的声压和电场曲线进行对比.从图 3a、3b中的虚线可以观察到,声压和轴向电场中的钻铤模式波都被压制,残余的钻铤模式波振幅与地层波相比主导地位减弱,在数据采集时,使得地层信号的信噪比增加.在声压图形(图 3a)中,通过比较单源与双源的波形图可以得到,压制后的钻铤模式波与地层纵波相对幅度比由13.6降低为2.4,而图 3b轴向电场中的钻铤模式波压制的效果更加明显,钻铤模式波与地层纵波相对幅度比由1.9降低为0.44.
|
图 3 快速地层单源和双源激励响应波形.(a)声压波形;(b)电场波形 实线代表单源结果,虚线为双源结果,p线代表地层波. Fig. 3 Comparison of theoretical waveforms from single source excitation and dual source in the fast formation.(a)Acoustic pressure;(b)Electric fields The solid and dash lines denote the waveforms by single soure and dural soure,respectively. The p line denotes P waves. |
如图 4所示,对于饱和流体孔隙地层为慢速地层情况,可以明显看到钻铤模式波被压制,振幅减小,而且轴向电场中效果更加明显,通常对于慢度地层来说,地层纵波速度与钻铤模式波差别较大,因此在全波图形上很容易区分开来,通常在测量中也比较容易识别.但在实际勘测过程中,软地层往往存在比较严重的衰减现象,地层波的衰减幅度较大,导致地层波幅度变小,而钻铤模式波受到地层参数变化影响较小,因此信噪比降低,采用双源激励方法对钻铤模式波压制后有利于地层纵波信号的采集.
|
图 4 慢速地层单源和双源激励响应波形.(a)声压波形;(b)电场波形 实线代表单源结果,虚线为双源结果,p线代表地层波. Fig. 4 Comparison of theoretical waveforms from single source excitation and dual source in the slow formation.(a)The acoustic pressure;(b)The electric fields The solid and dash lines denote the waveforms by single soure and dural soure,respectively. The p line denotes P waves. |
我们应用STC方法(Kimball and Marzetta,1984)对上述理论模拟的快速地层中声场和电场的阵列波形进行处理,图 5为慢度时间相关(STC)处理结果.STC慢度时间相关法利用波形相干叠加方法得到以时间和慢度为变量的二维相关函数.本文采用时间和速度(慢度的倒数)作为函数做图.图 5a、5c分别对应单源激励时声压阵列波形和电场阵列波形,从单源波形的STC图可以看出,声压和电场中钻铤模式波占主导地位,钻铤模式波的相关性很强,同时,电场中钻铤模式波的红色阴影面积明显小于声压中的钻铤模式波,说明电场中钻铤模式波的相关性较弱.图 5b、5d分别对应双源激励时声压阵列波形和电场阵列波形,采用双源激励后,钻铤模式波明显被压制,地层纵波相关性得到相对增强,尤其在电场中,钻铤模式波的减小幅度非常明显.从图 5d中可以观察到仍然存在残余的钻铤模式波,这种钻铤模式波可能由于钻铤模式波自身的频散效应所致,或者是在钻铤上,由于引入双声源条件下产生的多余能量进入地层引起耦合的电场,原因有待进一步深入考察.因此,在双源阵列波形对应的STC图中仍然存在钻铤模式波的相关性.
|
图 5 理论模拟波形的STC图 (a)声压-单源;(b)声压-双源;(c)电场-单源;(d)电场-双源. Fig. 5 Time domain semblance of theretical waveforms (a)Acoustic pressure-single source;(b)Acoustic pressure-dual source; (c)Electric fields-single source;(d)Electric fields-dual source. |
随钻单极子声波测井时,存在很强的钻铤模式波干扰,因此地层信息不容易被提取,但是,由于在孔隙地层中存在声电耦合现象,钻铤模式波的部分能量会传导到孔隙地层中产生耦合电磁场,可以观察到这种轴向电场信号中的钻铤模式波影响相对较弱,振幅较小,这就给我们进一步降低钻铤模式波的影响提供了理论依据.本文采用双源激励方法,在数据采集过程中对声场和电场信号中的钻铤模式波进行压制,钻铤模式波振幅明显减弱,尤其在电场信号中效果更加明显,从而提高地层波的信噪比,形成一种无需隔声装置的随钻声电效应测井方法. 同时,正如张博等(2016)所指出采用双源激励方法有很强的实际应用价值,在仪器制造过程中只需增加一个声源,避免了以往随钻声波测井仪的刻槽设计,降低了仪器的机械加工难度及制造成本,同时避免了常规仪器隔声装置对钻铤强度上的不良影响,从而大大提高了随钻测井作业的安全性和经济性.
致谢感谢两位匿名审稿专家提出的宝贵意见和建设性建议!
| Bargach S, Falconer I, Maeso C, et al. 2000. Real-time LWD:Logging for drilling. Oilfield Review , 12 (3) : 58-78. | |
| Cui Z W. 2004. Theoretical and numerical study of modified Biot's models, acoustoelectric well logging and acoustic logging while drilling excited by multipole acoustic sources[Ph. D. thesis] (in Chinese). Changchun:Jilin University. | |
| Guan W, Hu H S, Zheng X B. 2013. Theoretical simulation of the multipole seismoelectric logging while drilling. Geophysical Journal International , 195 (2) : 1239-1250. DOI:10.1093/gji/ggt294 | |
| Hu H S, Wang K X. 1999. Coupled acoustic and electromagnetic waves around a borehole embedded in a porous formation:Theory(I). WLT (in Chinese) , 23 (6) : 427-432. | |
| Hu H S. 2000. Study of the acoustic and electromagnetic fields around a borehole in acoustoelectric well logging[Ph. D. thesis] (in Chinese). Changchun:Jilin University. | |
| Hu H S, Wang K X. 2000. Coupled acoustic and electromagnetic waves around a borehole embedded in a porous formation:numerical simulation of acoustically induced fields(Ⅱ). WLT (in Chinese) , 24 (1) : 3-13. | |
| Hu H S, Wang K X, Wang J N. 2000. Simulation of an acoustically induced electromagnetic field in a borehole embedded in a porous formation. Earth Resources Laboratory Industry Consortia Annual Report, Massachusetts Institute of Technology. | |
| Hu H S. 2003. Acoustic head wave on the borehole wall in a porous formation and the causes for its accompanying electromagnetic field. Acta Physica Sinica (in Chinese) , 52 (8) : 1954-1959. | |
| Hu H S, Liu J Q, Wang H B, et al. 2003. Simulation of acousto-electric well logging based on simplified pride equations. Chinese J. Geophys. (in Chinese) , 46 (2) : 259-264. | |
| Kimball C V, Marzetta T L. 1984. Semblance processing of borehole acoustic array data. Geophysics , 49 (3) : 274-281. DOI:10.1190/1.1441659 | |
| Su Y D, Zhuang C X, Tang X M. 2011. LWD acoustic color mode wave attenuation character research and isolator design. Chinese J. Geophys. (in Chinese) , 54 (9) : 2419-2428. DOI:10.3969/j.issn.0001-5733.2011.09.026 | |
| Su Y D, Tang X M, Tan B H, et al. 2012. A logging while drilling acoustic isolation technology by varying thickness of drill collars at a distance greater than wavelength. J. Acoust. Soc. Am. , 131 : 3249. | |
| Pride S, Morgan F D. 1991. Electrokinetic dissipation induced by seismic waves. Geophysics , 56 (7) : 914-925. DOI:10.1190/1.1443125 | |
| Pride S. 1994. Governing equations for the coupled electromagnetics and acoustics of porous media. Phys. Rev. B , 50 (21) : 15678-15696. DOI:10.1103/PhysRevB.50.15678 | |
| Tang X M, Wang T, Patterson D. 2002. Multipole acoustic logging-while-drilling.//72nd Annual International Meeting, SEG, Expanded Abstracts, 364-368. | |
| Tang X M, Zheng C H. Quantitative Borehole Acoustic Methods (in Chinese). (in Chinese) Beijing: Petroleum Industry Press, 2004 . | |
| Tang X M, Su Y D, Tan B H, et al. 2012. Method and apparatus for acoustic logging while drilling using isolation technology by varying thickness of drill collars[Chinese Patent](in Chinese). Shandong:CN102322258A. | |
| Wang B, Tao G, Chen T R, et al. 2012. Experimental study of acoustic logging while drilling measurements using an asymmetric source. Chinese J. Geophys.(in Chinese) , 55 (1) : 327-332. DOI:10.6038/j.issn.0001-5733.2012.01.033 | |
| Wang H, Tao G, Wang B, et al. 2009. Wave field simulation and data acquisition scheme analysis for LWD acoustic tool. Chinese J. Geophys. (in Chinese) , 52 (9) : 2402-2409. DOI:10.3969/j.issn.0001-5733.2009.09.027 | |
| Yang Y F, Guan W, Cui N G, et al. 2016. FDTD simulation and analysis of the collar wave propagation in acoustic logging while drilling. Chinese J. Geophys. (in Chinese) , 59 (1) : 368-380. DOI:10.6038/cjg20160131 | |
| Zhan X, Zhu Z Y, Chi S H, et al. 2005. An experimental study of seismoelectric signals in logging while drilling and filtering out of tool waves.//75nd Annual International Meeting, SEG, Expanded Abstracts, 396-399. | |
| Zhang B, Tang X M, Su Y D, et al. 2016. An acoustic logging while drilling technique using the dual source of opposite polarity. Chinese J. Geophys. (in Chinese) , 59 (3) : 1151-1160. DOI:10.6038/cjg20160335 | |
| Zhang H L, Wang X M, Zhang B X. Acoustic Field and Wave in Borehole (in Chinese). (in Chinese) Beijing: Science Press, 2004 . | |
| Zheng X B, Hu H S, Guan W, et al. 2014. Theoretical simulation of the electric field induced by acoustic waves during the seismoelectric logging while drilling. Chinese J. Geophys. (in Chinese) , 57 (1) : 320-330. DOI:10.6038/cjg20140128 | |
| Zheng X B, Hu H S, Guan W, et al. 2015. Simulation of the borehole quasistatic electric field excited by the acoustic wave during logging while drilling due to electrokinetic effect. Geophysics , 80 (5) : D417-D427. DOI:10.1190/geo2014-0506.1 | |
| Zhu Z Y, Wang J, Toksöz M N. 2012. Multipole seismoelectric logging while drilling (LWD) for acoustic velocity measurements.//Proceedings of the 74th EAGE Conference & Exhibition Incorporating. SPE, EAGE. | |
| 崔志文. 2004. 多孔介质声学模型与多极源声电效应测井和多极随钻声测井的理论与数值研究[博士论文]. 长春:吉林大学. http://epub.cnki.net/kns/detail/detail.aspx?QueryID=0&CurRec=1&recid=&FileName=2004100268.nh&DbName=CDFD9908&DbCode=CDFD&pr= | |
| 胡恒山, 王克协. 1999. 井孔周围轴对称声电耦合波:理论(Ⅰ). 测井技术 , 23 (6) : 427–432. | |
| 胡恒山, 王克协. 2000. 井孔周围轴对称声电耦合波:声电效应测井数值模拟(Ⅱ). 测井技术 , 24 (1) : 3–13. | |
| 胡恒山. 2000. 声电效应测井的理论、数值与实验研究[博士论文]. 长春:吉林大学. | |
| 胡恒山. 2003. 孔隙地层井壁上的声波首波及其诱导电磁场的原因. 物理学报 , 52 (8) : 1954–1959. | |
| 胡恒山, 刘家琦, 王洪滨, 等. 2003. 基于简化的Pride理论模拟声电效应测井响应. 地球物理学报 , 46 (2) : 259–264. | |
| 苏远大, 庄春喜, 唐晓明. 2011. 随钻声波测井钻铤模式波衰减规律研究与隔声体设计. 地球物理学报 , 54 (9) : 2419–2428. DOI:10.3969/j.issn.0001-5733.2011.09.026 | |
| 唐晓明, 郑传汉. 定量测井声学. 北京: 石油工业出版社, 2004 . | |
| 唐晓明, 苏远大, 谭宝海等. 2012. 一种在钻铤上变径隔声的随钻声波测井方法及装置[中国专利]. 山东:CN102322258A. | |
| 王兵, 陶果, 陈天润, 等. 2012. 非对称声源多极子随钻声波测井实验室测量研究. 地球物理学报 , 55 (1) : 327–332. DOI:10.6038/j.issn.0001-5733.2012.01.033 | |
| 王华, 陶果, 王兵, 等. 2009. 多极子随钻声波测井波场模拟与采集模式分析. 地球物理学报 , 52 (9) : 2402–2409. DOI:10.3969/j.issn.0001-5733.2009.09.027 | |
| 杨玉峰, 官威, 崔乃刚, 等. 2016. 随钻声波测井FDTD模拟及钻铤波传播特性研究. 地球物理学报 , 59 (1) : 368–380. DOI:10.6038/cjg20160131 | |
| 张博, 唐晓明, 苏远大, 等. 2016. 一种利用双源反激的随钻声波测井方法. 地球物理学报 , 59 (3) : 1151–1160. DOI:10.6038/cjg20160335 | |
| 张海澜, 王秀明, 张碧星. 井孔的声场和波. 北京: 科学出版社, 2004 . | |
| 郑晓波, 胡恒山, 关威, 等. 2014. 随钻动电测井中声诱导电场的理论模拟. 地球物理学报 , 57 (1) : 320–330. DOI:10.6038/cjg20140128 | |
2016, Vol. 59

