2. 国土资源部海底矿产资源重点实验室, 广州海洋地质调查局, 广州 510075
2. Key Laboratory of Marine Mineral Resources, Ministry of Land and Resources, Guangzhou marine Geological Survey, Guangzhou 510075, China
天然气水合物作为一种全新的清洁能源,广泛分布于海洋陆坡带边缘与冻土带中,是一种似冰状的笼形结晶物,一般生成于高压低温的环境中(Sloan,1998).似海底反射(BSR) 是地震剖面上水合物识别的主要标志之一(宋海斌等,2007),呈现出负极性、与海底近似平行、斜交于一般地层等特点(Hyndman and Spence,1992),这主要是由于水合物能够硬化岩石骨架,而导致沉积物速度增加,而下伏地层一般为游离气层(张光学等,2014).BSR一般作为水合物稳定带的底界与游离气层的分界面(Singh et al.,1993; Holbrook et al.,1996).
天然气水合物对于速度的影响已经得到了较好的认识,随着水合物含量的增加,纵、横波速度均呈现不同趋势的增加(王秀娟等,2006;牛滨华等,2006;张如伟等,2011).同时众多学者针对这种增加的机制,也提出了许多岩石物理方程,例如:Lee加权方程(Lee et al.,1996)、胶结理论(Ecker et al.,1998)、有效介质模型(Helgerud et al.,1999,Ecker et al.,2000) 与三相Biot理论方程(Carcione and Tinivella,2000; Lee and Waite,2008) 等等.然而,针对含水合物层衰减的研究还处于争论的阶段.基于BIOT理论与Ecker的三种水合物沉积模式,分析了水合物地层的速度与衰减特征(张聿文等,2004).对加拿大Mallik 2L-38水合物钻位的声波波形数据研究发现,水合物的存在将增加衰减(Guerin and Goldberg,2002);Mallik的VSP数据同样显示出比较明显的衰减(Bellefleur et al.,2007);同时实验室仪器也模拟到随着水合物的增加,衰减在地震频带(50~500 Hz) 内也非线性增加(Best et al.,2013; Priest et al.,2006);然而,Nanki地区的VSP数据显示含水合物沉积层区域并没有明显衰减(Matsushima,2006).这些研究表明,天然气水合物的衰减似乎随研究区域变化,在相同的研究区域随采集设备的不同而变化(Dewangan et al.,2014).理论上,水合物的出现会强化沉积物,从而增加体积模量与剪切模量,因此期望衰减一般随着水合物含量的增加而减少.然而,众多的实际资料已经表明,衰减一般随着水合物含量的增加而增加(Dvorkin and Uden,2004),本文将模拟这一结论.
本文将有效介质模型(Helgerud et al.,1999) 与BISQ模型(Dvorkin and Nur,1993) 相结合,模拟海洋含水合物层的速度频散与衰减特征.BISQ模型将全局的BIOT流动机制与局部的喷射流机制有效的结合,可以模拟全频带的频散与衰减趋势(聂建新等,2010).针对ODP的164航次与南海神狐海域实测的数据,运用本文的岩石物理模型,计算得到了水合物的饱和度分布,预测结果与保压取芯实测数据有着较好的一致性.
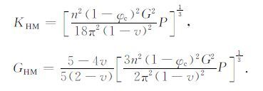
2 岩石物理模型 2.1 有效介质理论模型Helgerud等(1999)建立了有效介质模型的方法,主要为评价高孔隙含天然气水合物或者气体海洋沉积物的弹性模量.干燥的岩石骨架的体积模量KHM与剪切模量GHM计算公式为
|
(1) |
其中,n是颗粒间的平均连接系数,n=9,φc为临界孔隙度,φc=0.38, P=(ρb-ρw)gD,ρb 为沉积物骨架密度,ρw为孔隙水密度, g 为重力加速度, D 为海底之下的深度, v 为泊松比, v=(3K-2G)/(6K+2G),K与G 分别为固相的体积模量与剪切模量,可采用Hill(1952)平均公式计算:
|
(2) |
其中,m为矿物成分的数目,fi为第i个成分的体积分数,Ki与Gi为第i个成分的体积模量与剪切模量.
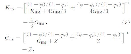
依据Dvorkin等(1999)的计算公式,可知干燥沉积物的体积模量Kdry与剪切模量Gdry分别为
|
(3) |
|
(4) |
则饱和沉积物的体积模量与剪切模量可以通过Gassmann方程来求取:
|
(5) |
最后可以获取纵波速度VP与横波速度VS:
|
(6) |
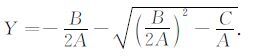
Dvorkin和Nur(1993)将全局的BIOT流动机制与局部的喷射流机制结合,提出了统一的BISQ模型,其P波的相速度、衰减系数及逆品质因子的表达式为
|
(7) |
其中,
|
式中,Kdry和Gdry别为干燥沉积物的体积模量与剪切模量,φ为孔隙度, ρs和ρf 分别为固相和流体密度,ρa为固相与流体的耦合附加密度,R为特征喷射流长度,K为固相体积模量,Kf为流体体积模量,η为流体黏度,κ为渗透率.
3 数值模拟本文在有效介质模型的基础上,分别获取沉积物骨架和干燥岩石的体积模量与剪切模量,采用BISQ模型来替代有效介质模型中的Gassmann模型,能够更加有效的研究速度与衰减随频率的变化规律.图 1为本文理论模型的研究思路,假定天然气水合物作为岩石骨架的一部分,水合物含量的增加会相应地降低岩石孔隙度.固相部分为石英、泥岩与天然气水合物,流体为水.表 1为本文数值模拟采用的参数.
|
图 1 本文模型研究思路 Fig. 1 The research method of this model |
|
|
表 1 文中计算应用的参数表 Table 1 The parameters in this paper |
由于天然气水合物作为岩石骨架的一部分,则随着水合物含量的增加,充填水的孔隙度会相应的减少,可以用如下公式表示:
|
(8) |
其中,Sh为水合物饱和度.
为了研究纵、横波速度随充填水孔隙度的变化规律,分别选用三种岩石孔隙度(20%、40%、60%).针对每类岩石,天然气水合物的含量均在0~100%之间变化,从而使充填水孔隙度也会相应变化.从图 2中可以观察出,无论沉积物中是否含有水合物,速度均随着孔隙度的增加而减少.并且当含有水合物时,随着充填水孔隙的增加(相应为水合物含量的降低),纵、横波均呈现非线性的下降趋势,当达到饱含水(水合物含量为0) 时,与不含水合物的背景线重合.同时也可以看出,在岩石中充填水孔隙度小于20%时,速度变化趋势较大,而当该值大于40%时(未固结状态),这种变化趋势就较少,同时横波速度的变化趋势要小于纵波速度的变化趋势.
|
图 2 纵、横波速度随充填水孔隙度的变化趋势图 Fig. 2 P-wave and S-wave velocity vary with water-filled porosity |
当结合有效介质模型与BISQ理论之后,该模型即可在全频带范围内适用,图 3为纵波速度随频率的变化趋势图.纵波速度随频率是一个非线性变化的过程,中低频段时( <10 kHz),纵波速度基本不变,当达到特征频率时,快速增加到一定的值,而在超高频时(>10 MHz),纵波速度再次变化趋势不明显.同时随着水合物含量的增加,纵波速度随频率的变化特征会整体上升,并且低频与高频的变化趋势更加明显.图 4模拟的是不同的频带范围内,纵波速度随水合物含量的变化规律.无论在任何频率范围,纵波速度均随着水合物含量的增加而非线性增加,同时频率越高,纵波速度值也会越高,但基本趋势一致.图中的黑点为南海实测三口钻位的水合物样本的数据,地震频带与测井频带均能较好的吻合,两者区分不大.
|
图 3 纵波速度随频率的变化趋势 Fig. 3 P-wave velocity vary with frequency |
|
图 4 不同频带范围内纵波速度随水合物含量的变化趋势 Fig. 4 P-wave velocity vary with hydrate concentration from different frequency |
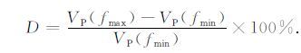
同时,本文引入频散度的计算公式:
|
(9) |
该公式是表示纵波速度从低频到高频跳跃的变化率,与流体、孔隙度、泥质含量与水合物含量等密切相关.图 5分别模拟从地震频带(100 Hz) 到超声频带(10 MHz)、从测井频带(30 kHz) 到超声频带(10 MHz) 的频散度随水合物含量变化图,随着水合物含量的增加,不同频带的频散度均逐渐非线性增加,且频率差异越大,频散度值整体偏大.在实际处理中,可以依据频散度的变化来参考衡量水合物的含量的变化.
|
图 5 频散度随着水合物含量的变化趋势 Fig. 5 Dispersion degree vary with hydrate concentration |
天然气水合物含量的变化,在引起速度频散的变化特征之外,也会导致地层中衰减系数的变化,也有助于水合物含量的估计.图 6反映了衰减系数随频率与水合物含量的变化特征,在特征频率(100 kHz左右) 处,衰减最大,同时随着水合物含量的增加,衰减将逐渐增加,并且其峰值也逐渐向低频移动.本文研究的衰减规律是一种增加趋势,这与一些期望的减弱衰减不同,但许多实例数据表明水合物的出现会增加衰减,已在引言中进行详细的论述.
|
图 6 衰减系数随着频率与水合物饱和度的变化规律 Fig. 6 The attenuation factor vary with frequency and hydrate concentration |
同时在沉积层中含有天然气水合物时,模拟了岩石孔隙度与泥质含量引起的衰减变化特征.图 7
|
图 7 衰减系数随频率与孔隙度的变化规律 Fig. 7 The attenuation factor vary with frequency and porosity |
为在水合物含量为20%时,衰减系数随频率与岩石孔隙度的变化规律,当岩石孔隙度增加时,衰减峰值逐渐向高频移动,并且有微弱减少趋势,但40%与50%之间峰值大小变化不明显.这说明岩石孔隙度主要改变衰减峰值出现的频率位置,岩石孔隙度越低,峰值越可能在低频出现,而衰减峰值基本变化不大.图 8为在水合物含量为20%时,衰减系数随频率与岩石泥质含量的变化规律,可以明显观察出,泥质含量对衰减系数改变不是特别大,既不能改变峰值出现的频率位置,也无法较大地改变衰减峰值的大小.综合图 6、图 7与图 8的研究结论,可以说明沉积层中水合物含量的变化是引起衰减变化的关键因素之一.
|
图 8 衰减系数随频率与泥质含量的变化规律(水合物含量为20%) Fig. 8 The attenuation factor vary with frequency and shale content(The hydrate concentration is 20%) |
本文采用的实际数据为ODP-164航次的实钻数据,该航次于1995年在北美陆坡的布莱克海脊发现比较明显的BSR特征,并钻获到水合物样本(Guerin et al.,1999).图 9为995钻位的测井数据与VSP数据,BSR位于海底以下440 m左右,VSP数据与测井数据的纵波速度、横波速度与电阻率在天然气水合物稳定带(海底至BSR) 内均有明显增加趋势.依据氯离子含量测定与保压取芯的甲烷含量结果,估算的天然气水合物饱和度位于0~9%之间(Dickens et al.,1997).Helgerud等(1999)采用有效介质理论估算了995钻位的天然气水合物含量,假设水合物作为固相的一部分,估算的背景天然气水合物含量为2%~4%,水合物含量的峰值位于8%~9%.Guerin等(1999)利用阿尔奇公式估算得到天然气水合物含量分布于0~13%之间,并与保压取芯的甲烷含量结果比较吻合.
|
图 9 ODP164航次995钻位的测井数据与VSP数据图 Fig. 9 The logging and VSP data in 995 hole,ODP Leg 164 |
图 10为依据本文的岩石物理模型,采用声波测井数据与VSP数据分别计算得到的水合物含量分布,声波测井数据计算频率取20 kHz,VSP数据计算频率取100 Hz.从图中可以看出,两者的变化趋势基本一致,均随着海底之下深度的增加逐渐增加,在水合物稳定带内,依据声波测井数据估算的水合物含量位于0~12%之间,平均饱和度为7%;依据VSP数据估算的水合物含量位于0~8%之间,平均饱和度为5%,要弱低于声波测井数据估算的结果,这主要是两类数据由于采集频率的不一致引起的速度频散影响.两类估算结果均与实测保压取芯(PCA) 的甲烷含量(图 10中黑色圆点) 的结果吻合较好,同时与Helgerud等(1999)以及Guerin等(1999)估算的结果保持着一致性.
|
图 10 多种方法估算的天然气水合物含量 Fig. 10 The gas hydrate concentration estimated from multiple methods |
同时采用神经网络进行了预测验证本文计算水合物饱和度变化趋势的可靠性,将纵波速度、横波速度、电阻率、GR值与孔隙度作为输入层,隐含层为5层,输出层为天然气水合物饱和度,以实测保压取芯的甲烷含量采样点作为样本训练网络,同时对结果进行中值滤波处理,其预测结果与采用测井声波数据与VSP数据的估算结果基本一致.通过与保压取芯的甲烷含量结果对比、他人研究成果对比以及神经网络预测结果对比,表明本文方法具有一定的适用性与可信度,同时也考虑到在数据采集频率不一致时引起的天然气水合物的速度频散对天然气水合物含量估算的影响.
4.2 南海神狐海域2007年4—6月,我国在位于南海北部陆坡的神狐海域成功钻获了天然气水合物实物样本(陆敬安等,2008;徐华宁等,2014).图 11是南海神狐海域三口钻获水合物样本的位置图,均处于陆坡带边缘位置,水深1200 m左右(梁劲等,2013;Zhang et al.,2015).图 12是南海神狐海域SH7、SH2与SH3井水合物含量预测结果,由于该区域缺少VSP数据进行佐证,仅采用声波测井数据来计算水合物含量,声波测井数据频率取20 KHz.SH7钻位在三口井中的海底深度最小,水合物分布于153~180mbsf,水合物含量为20%~42%;SH3钻位的天然气水合物分布于191~224.5mbsf,水合物含量为25%~46%;SH2钻位的声波测井数据受井眼垮塌影响严重,本文采用电阻率曲线对声波数据进行校正(龚洪林等,2008),校正前的纵波速度为虚线,而校正后为实线,其水合物分布于190~201mbsf,预测的水合物含量为12.5%~25.5%.依据于保压取芯(PCA) 的天然气水合物实测含量数据,三口钻位预测的结果均比较可靠.
|
图 11 南海神狐海域三口钻位的位置图 Fig. 11 The location of three stations in Shenhu area,South China Sea |
|
图 12 南海神狐海域SH7、SH2与SH3井水合物含量预测结果 Fig. 12 The prediction results of hydrate concentration from well SH7,SH2 and SH3 in Shenhu area,South China Sea |
为了更好地研究海洋天然气水合物引起的衰减特征,本文基于Q值提取的层剥离法(Zhang and Ulrych,2002; Liu and Wei,2005),提取了与BSR相关的等效地震品质因子(图 13a).地震等效Q值基本位于180~280之间,平均值为230左右.在强而连续BSR的区域(CDP#600-720,#900-1100),等效Q值比较集中且较低,平均为200左右;在弱且不连续BSR的区域(CDP#250-500,#720-900),提取的等效Q值比较分散,平均值均高于前者,为250左右.表明强BSR区域的地震衰减要大于弱BSR区域,在一定程度上说明,随着天然气水合物饱和度的增加,衰减会逐渐增加(Q值会逐渐减少),这与本文方法研究的结论比较一致.同时采用本文方法,依据提取的等效Q值来估算天然气水合物的含量(图 14),大约区于15%~30%之间,与距离较近的SH3井的实测水合物饱和度12.5%~25.5%有一定的吻合关系.但需要说明的是,由于提取的是等效Q值,与真实地层的Q值对比,可能会受到地震子波、几何扩散、薄层调谐以及非弹性以外散射的影响,所估算的天然气水合物的含量会存在一些误差,但其变化趋势具有一定的可信度.
|
图 13 南海神狐海域地震测线提取的等效品质因子(a) 及时间偏移地震剖面(b) Fig. 13 (a)The variation in effective quality factor(Q)along the inline seismic profile in the Shenhu area,South China Sea. (b)The interpreted time-migrated seismic section highlighting major features such as BSR |
本文采用BISQ理论替代有效介质模型中的Gassmann方程,具体分析了全频带范围内海洋含水合物沉积层的速度频散与衰减特征,有助于水合物含量的估计.天然气水合物含量的增加会引起纵、横波速度的非线性增加,但由于海洋含水合物沉积物一般为未固结状态(高孔隙度),变化趋势要明显小于低孔隙度岩石,同时横波速度的变化趋势要小于纵波速度.天然气水合物的速度频散与衰减特征同样比较明显,纵波速度随频率是一个非线性变化的过程,中低频段时( <10 kHz),纵波速度基本不变,当达到特征频率时,快速增加到一定的值.而在超高频时(>10 MHz),纵波速度再次变化趋势不明显.同时随着水合物含量的增加,纵波速度随频率的变化特征会整体上升,并且低频与高频的变化趋势更加明显.同时随着水合物含量的增加,频散度与衰减系数也会随之非线性增加.而岩石孔隙度的变化仅影响衰减峰值出现的频率位置,泥质含量既不能改变峰值出现的频率位置,也无法较大地改变衰减峰值的大小,可以说明沉积层中水合物含量的变化是引起衰减变化的关键因素之一.北美布莱克海脊与南海神狐海域的实例分析表明,采用本文方法估算的天然气水合物含量均与保压取芯的实测数据有着较好的对应关系,同是采用叠前地震数据提取BSR层的等效Q值,也是估算水合物含量以及变化趋势的有效手段.联合采用速度与衰减来估算水合物含量,能够在一定程度上提高其预测的精度,也可以对不同频率的数据进行匹配融合使用,是以后天然气水合物分析的主要研究方向之一.
|
图 14 依据Q值采用本文方法估算的等效天然气水合物含量 Fig. 14 The estimated effective gas hydrate saturation using the method in this paper based on the seismic Q-values |
本文部分实验数据来源于ODP-164航次,感谢该航次全体研究人员.
| Bellefleur G, Riedel M, Brent T, et al. 2007. Implication of seismic attenuation for gas hydrate resource characterization, Mallik, Mackenzie Delta, Canada. J. Geophys. Res. , 112 : B10311. DOI:10.1029/2007JB004976 | |
| Best A I, Priest J A, Clayton C R I, et al. 2013. The effect of methane hydrate morphology and water saturation on seismic wave attenuation in sand under shallow sub-seafloor conditions. Earth and Planetary Science Letters , 368 : 78-87. DOI:10.1016/j.epsl.2013.02.033 | |
| Carcione J M, Tinivella U. 2000. Bottom-simulating reflectors:Seismic velocities and AVO effects. Geophysics , 65 (1) : 54-67. DOI:10.1190/1.1444725 | |
| Dewangan P, Mandal R, Jaiswal P, et al. 2014. Estimation of seismic attenuation of gas hydrate bearing sediments from multi-channel seismic data:A case study from Krishna-Godavari offshore basin. Marine and Petroleum Geology , 58 : 356-367. DOI:10.1016/j.marpetgeo.2014.05.015 | |
| Dickens G D, Paull C K, Wallace P. 1997. Direct measurement of in situ methane quantities in a large gas-hydrate reservoir. Nature , 385 (6615) : 426-428. DOI:10.1038/385426a0 | |
| Dvorkin J, Nur A. 1993. Dynamic poroelasticity:A unified model with the squirt and the Biot mechanisms. Geophysics , 58 (4) : 524-533. DOI:10.1190/1.1443435 | |
| Dvorkin J, Prasad M, Sakai A, et al. 1999. Elasticity of marine sediments:rock physics modeling. Geophys. Res. Lett. , 26 (12) : 1781-1784. DOI:10.1029/1999GL900332 | |
| Dvorkin J, Uden R. 2004. Seismic wave attenuation in a methane hydrate reservoir. The Leading Edge , 23 (8) : 730-732. DOI:10.1190/1.1786892 | |
| Ecker C, Dvorkin J, Nur A M. 1998. Sediments with gas hydrates:Internal structure from seismic AVO. Geophysics , 63 (5) : 1659-1669. DOI:10.1190/1.1444462 | |
| Ecker C, Dvorkin J, Nur A M. 2000. Estimating the amount of gas hydrate and free gas from marine seismic data. Geophysics , 65 (2) : 565-573. DOI:10.1190/1.1444752 | |
| Gong H L, Su M J, Wang Z Q, et al. 2008. Analysis of environmental impact factors of well logging data and its application. Computing Techniques for Geophysical and Geochemical Exploration (in Chinese) , 30 (1) : 43-47. | |
| Guerin G, Goldberg D, Meltser A. 1999. Characterization of in situ elastic properties of gas hydrate-bearing sediments on the Blake Ridge. J. Geophys. Res. , 104 (B8) : 17781-17795. DOI:10.1029/1999JB900127 | |
| Guerin G, Goldberg D. 2002. Sonic waveform attenuation in gas hydrate-bearing sediments from the Mallik 2L-38 research well, Mackenzie Delta, Canada. Journal of Geophysical Research , 107 (B5) : EPM 1-1-EPM 1-11. | |
| Helgerud M B, Dvorkin J, Nur A, et al. 1999. Elastic-wave velocity in marine sediments with gas hydrates:Effective medium modeling. Geophysical Research Letters , 26 (13) : 2021-2024. DOI:10.1029/1999GL900421 | |
| Hill R. 1952. The elastic behavior of a crystalline aggregate. Proceedings of the Physical Society , 65 (5) : 349-354. DOI:10.1088/0370-1298/65/5/307 | |
| Holbrook W S, Hoskins H, Wood W T, et al. 1996. Methane Hydrate and free gas on the Blake Ridge from vertical seismic profiling. Science , 273 (5283) : 1840-1843. DOI:10.1126/science.273.5283.1840 | |
| Hyndman R D, Spence G D. 1992. A seismic study of methane hydrate marine bottom simulating reflectors. J. Geophys. Res. , 97 (B5) : 6683-6698. DOI:10.1029/92JB00234 | |
| Lee M W, Hutchinson D R, Collet T S, et al. 1996. Seismic velocities for hydrate-bearing sediments using weighted equation. J. Geophys. Res. , 101 (B9) : 20347-20358. DOI:10.1029/96JB01886 | |
| Lee M W, Waite W F. 2008. Estimating pore-space gas hydrate saturations from well log acoustic data. Geochemistry, Geophysics, Geosystems , 9 (7) : Q07008. | |
| Liang J, Wang M J, Lu J A, et al. 2013. Characteristics of sonic and seismic velocities of gas hydrate bearing sediments in the Shenhu area, northern South China Sea. Natural Gas Industry (in Chinese) , 33 (7) : 29-35. | |
| Liu Y, Wei X C. 2005. Interval Q inversion from CMP gathers:part I-absorption equation.//75th Ann. Internat. Mtg., Soc. Expl. Geophys., Expanded Abstracts, 1717-1720. | |
| Lu J A, Yang S X, Wu N Y, et al. 2008. Well logging evaluation of gas hydrates in Shenhu area, South China Sea. Geoscience (in Chinese) , 22 (3) : 447-451. | |
| Matsushima J. 2006. Seismic wave attenuation in methane hydrate-bearing sediments:Vertical seismic profiling data from the Nankai Trough exploratory well, offshore Tokai, central Japan. J. Geophys. Res. , 111 (B10) : B10101. DOI:10.1029/2005JB004031 | |
| Nie J X, Yang D H, Ba J. 2010. Velocity dispersion and attenuation of waves in low-porosity-permeability anisotropic viscoelastic media with clay. Chinese J. Geophys. (in Chinese) , 53 (2) : 385-392. DOI:10.3969/j.issn.0001-5733.2010.02.016 | |
| Niu B H, Wen P F, Wen N, et al. 2006. Estimation of hydrate concentration based on AVO modeling of BSR. Chinese J. Geophys. (in Chinese) , 49 (1) : 143-152. | |
| Priest J A, Best A I, Clayton C R I. 2006. Attenuation of seismic waves in methane gas hydrate-bearing sand. Geophys. J. Int. , 164 (1) : 149-159. DOI:10.1111/gji.2006.164.issue-1 | |
| Singh S C, Minshull T A, Spence G D. 1993. Velocity structure of a gas hydrate reflector. Science , 260 (5105) : 204-207. DOI:10.1126/science.260.5105.204 | |
| Sloan E D. Clathrate Hydrates of Natural Gases, 2nd ed. New York: Marcel Dekker, 1998 . | |
| Song H B, Wu S G, Jiang W W. 2007. The characteristics of BSRs and their derived heat flow on the profile 973 in the northeastern South China Sea. Chinese J. Geophys. (in Chinese) , 50 (5) : 1508-1517. | |
| Wang X J, Wu S G, Liu X W. 2006. Factors affecting the estimation of gas hydrate and free gas saturation. Chinese J. Geophys. (in Chinese) , 49 (2) : 504-511. | |
| Xu H N, Zhang G X, Zheng X D, et al. 2014. Integrated analysis of well logs and seismic data to deduce the possible distribution in depth of gas hydrate in Shenhu Area, South China Sea. Chinese Journal of Geophysics (in Chinese) , 57 (10) : 3363-3372. DOI:10.6038/cjg20141023 | |
| Zhang C J, Ulrych T J. 2002. Estimation of quality factors from CMP records. Geophysics , 67 (5) : 1542-1547. DOI:10.1190/1.1512799 | |
| Zhang G X, Xu H N, Liu X W, et al. 2014. The acoustic velocity characteristics of sediment with gas hydrate revealed by integrated exploration of 3D seismic and OBS data in Shenhu area. Chinese J. Geophys. (in Chinese) , 57 (4) : 1169-1176. DOI:10.6038/cjg20140414 | |
| Zhang R W, Zhang B J, Huang H D, et al. 2011. AVA characters on gas hydrate-bearing sedimentary deposit. Oil Geophysical Prospecting (in Chinese) , 46 (4) : 634-639. | |
| Zhang R W, Li H Q, Zhang B J, et al. 2015. Detection of gas hydrate sediments using prestack seismic AVA inversion. Applied Geophysics , 12 (3) : 453-464. DOI:10.1007/s11770-015-0503-3 | |
| Zhang Y W, Liu X W, Jin Y J. 2004. The velocity and attenuation research of hydrate-bearing sediments. Oil Geophysical Prospecting (in Chinese) , 39 (2) : 205-214. | |
| 龚洪林, 苏明军, 王振卿, 等. 2008. 测井资料环境影响因素分析及实用校正方法研究. 物探化探计算技术 , 30 (1) : 43–47. | |
| 梁劲, 王明君, 陆敬安, 等. 2013. 南海北部神狐海域含天然气水合物沉积层的速度特征. 天然气工业 , 33 (7) : 29–35. | |
| 陆敬安, 杨胜雄, 吴能友, 等. 2008. 南海神狐海域天然气水合物地球物理测井评价. 现代地质 , 22 (3) : 447–451. | |
| 聂建新, 杨顶辉, 巴晶. 2010. 含泥质低孔渗各向异性黏弹性介质中的波频散和衰减研究. 地球物理学报 , 53 (2) : 385–392. DOI:10.3969/j.issn.0001-5733.2010.02.016 | |
| 牛滨华, 文鹏飞, 温宁, 等. 2006. 基于BSR的AVO正演估算水合物含量方法的研究. 地球物理学报 , 49 (1) : 143–152. | |
| 宋海斌, 吴时国, 江为为. 2007. 南海东北部973剖面BSR及其热流特征. 地球物理学报 , 50 (5) : 1508–1517. | |
| 王秀娟, 吴时国, 刘学伟. 2006. 天然气水合物和游离气饱和度估算的影响因素. 地球物理学报 , 49 (2) : 504–511. | |
| 徐华宁, 张光学, 郑晓东, 等. 2014. 井震联合分析预测神狐海域天然气水合物可能的垂向分布. 地球物理学报 , 57 (10) : 3363–3372. DOI:10.6038/cjg20141023 | |
| 张光学, 徐华宁, 刘学伟, 等. 2014. 三维地震与OBS联合勘探揭示的神狐海域含水合物地层声波速度特征. 地球物理学报 , 57 (4) : 1169–1176. DOI:10.6038/cjg20140414 | |
| 张如伟, 张宝金, 黄捍东, 等. 2011. 天然气水合物沉积层的AVA特征. 石油地球物理勘探 , 46 (4) : 634–639. | |
| 张聿文, 刘学伟, 金玉洁. 2004. 含天然气水合物地层的速度和衰减研究. 石油地球物理勘探 , 39 (2) : 205–214. | |
2016, Vol. 59
