2. 中国科学院大学, 北京 100049
2. University of Chinese Academy of Sciences, Beijing 100049, China
南海北部通过深度超过2500 m的吕宋海峡与西北太平洋相通,能量巨大的大洋潮波在通过海峡进入南海时,受横跨海峡的高耸海脊作用,产生强烈的内潮波并向西北传入南海北部,使南海北部成为一个内潮波和孤立内波十分活跃的海域(Alford et al.,2011).这些西向传播的内波对南海北部陆架-陆坡区的动力、生态环境场(Wang et al.,2007;Jan and Chen,2009)以及海上航运和工程设施具有重要影响,为人们所关注.
近年来,随着现场观测数据的累积,关于南海东北部内潮波特征的研究取得显著进展.Duda等(2004)以及Duda和Rainville(2008)先后使用“亚洲海洋国际声学试验”于东沙平台东北陆坡获得的资料分析了包括内潮流椭圆和能通量等局地内潮特征参数,发现该海域以全日内潮为主,其在向陆架浅水传播的过程中能通量增强.Klymak等(2011)的资料亦有类似结果.此外,东沙岛以西强全日内潮(张效谦等,2005;Guo et al.,2006;李俊德等,2011)、 陆架-陆坡区内潮的季节变化以及显著异相(incoherent)特征亦被报道(Guo et al.,2012;Xu et al.,2013).与上述海域全日内潮占优不同,紧邻吕宋海峡的南海东北部深水区半日内潮能量更强,异相运动特征更显著,可达总潮能的3/4(Lee et al.,2012;Liao et al.,2012).由此可见,仅仅是南海东北部,内潮的空间差异就极其显著.
南海西北部亦是一个内波活动频繁的海域,然而目前内潮的研究仍不多见.Xu等(2011)发现在海南岛东部陆架区全日内潮流显著强于半日内潮并以第一模态为主,而半日内潮主要表现为第二模态.
本文利用南海海洋研究所布放于南海西北部海南岛至西沙群岛之间深水区长达5年的潜标测流资料,通过谱分析、调和分析、滤波和动力模态分解的方法主要探讨了该海域内潮的垂向结构及其时间变化,全日和半日分潮的能量以及在各模态之间的分布情况.
2 现场观测数据潜标系统的经纬度为(17°07.012′N,110°18.102′E),局地水深约1400 m(图 1a),由两台分别向上和向下观测的ADCP及一条300 m长的温盐链组成.观测时间段为2007年8月—2012年8月,期间因维护仪器的需要,整个观测过程分为5段.潜标系统的详细配置、仪器观测范围和跨陆坡地形示意图分别见表 1和图 1b.ADCP测流数据采用“最邻近”插值方法垂向插值到10 m间隔的固定层上,为避免海底回波反射的影响,向下观测的ADCP测量范围取至1350 m,时间采样间隔取1 h.两流速分量逆时针旋转45流至沿等深线和垂直于等深线方向.另外,收集了不同航次期间站点附近十几条CTD垂向剖面观测数据,用以在动力模态分解中求解本征方程.
|
图 1 (a)由TPXO中国近海正压潮汐模型所得南海北部正压潮能通量(蛋青色底色和黑色等值线代表水深,黑色五角星表示潜标系统位置),(b)包括潜标配置的跨陆坡截面(图 1a中红色直线)地形(空心圆圈表示海底全日临界和超临界地形) Fig. 1 (a)Barotropic tidal energy flux derived from the TPXO global tidal solution in the Northern South China Sea with bathymetry represented by cyan and black contours. The mooring location is indicated by the black star.(b)Schematic topography crossing mooring location with designed depths of ADCP and CTs. Critical and super-critical diurnal slopes at seabed are indicated by open circles |
|
|
表 1 潜标系统基本信息 Table 1 Information on the mooring |
南海的潮波主要为大洋潮波经吕宋海峡传入,其中一支沿南海北部陆坡向西南进入研究海域,自东向西经过观测站跨陆架流入北部湾(图 1a).图 1b显示潜标所在深水区西侧为陡峭的陆坡地形,100~600 m的陆架坡折带属全日临界、超临界地形,在较强的垂直于陆坡的正压潮流分量作用下,有可能产生显著的内潮波.
3.1 观测海流与海水密度流速矢量旋转谱可以给出顺时针和逆时针旋转分量能量在频率域的分布情况,通过计算旋转系数还可以确定海流的极化特征.图 2所示为正压及观测海流旋转谱在不同深度范围的垂向平均.正压海流为对第三、四和五段包括近底层观测海流数据在垂向上做深度加权平均得到,旋转谱计算采用60天时间窗口和30天滑动步长.全日和半日振荡在各旋转谱中均较显著,其中全日振荡(D1)因O1和K1分 潮成典型双峰结构,峰值远大于半日潮谱峰(D2).周期为40.7h的惯性振荡谱峰(f)亦较明显,且均存在频率蓝移现象.高阶谐波在上层和近底层谱中可清晰看到,表明内潮波之间的非线性相互作用.因在北半球受向右的科氏力影响,振动以顺时针旋转分量为主.
|
图 2 水平流速旋转谱于不同深度的垂向平均(实线为顺时针分量,虚线为逆时针分量,灰色虚线是Garret-Munk75内波谱) Fig. 2 Vertically averaged rotary spectra at different depths. Solid line is clockwise component. Dashed line is counter-clockwise component. Gray solid line is GM75 internal wave spectrum |
根据Gonella(1972),动能谱可写为S=S-+S+,S-和S+分别为顺时针和逆时针谱,代表流矢量极化特征的旋转系数定义为CR=(S--S+)/S.当CR=0时,海流为直线的往复流;CR=±1时,为纯圆周运动.表 2给出图 2中各旋转谱在近惯性、全日和半日频带上的动能谱值和旋转系数.惯性振荡能量从海洋上层向深层逐渐递减,近底层能量很小,惯性流均呈近圆周运动.全日潮流显著大于半日潮流,二者在海洋上层能量最强,中层相对近底层能量略有减弱,暗示局地内潮可能以一阶斜压模态为主.全日和半日潮流在上层做椭圆运动,近底层接近往复流.正压半日潮流亦具有较强的极化性.
|
|
表 2 图 2所示流速旋转谱特征 Table 2 Features of current records determined from vertical averaged rotary spectral analysis in Fig. 2 |
内潮在层化海洋中的运动直接导致等密度面的起伏,图 3a为第三和四段观测期间温盐链记录的2009年7月和2011年1月两个月中15天内海水密度随时间变化情况,其垂向位移大小代表观测站 海洋中层内潮垂向振幅.可见海水等密度面周日起伏特征显著,振幅可达40m.在某些时段,如2009年7月7日至10日和2011年1月6日至10日,等密度面主要表现为具有非线性特征的高频抖动而非规则正弦形波动.对各层密度时间序列的功率谱分析结果表明全日振荡最显著,半日振荡次之(图 3b).功率谱计算取60天时间窗口和30天滑动步长,与ADCP观测海流的旋转谱结果不同,这里没有显著的近惯性振荡谱峰存在,原因可能是潜标温盐链处于较深的海洋中层,上层风生近惯性波能量在该处通常向下传播的最大深度不会超过450 m(Chen et al.,2013;毛华斌等,2013).
|
图 3 第三段和第四段布放期间(a)温盐链观测的等密度面深度时间变化序列,(b)垂向平均的功率谱 Fig. 3 (a)Potential density from CTs-chains over a period of 15 days in third and fourth deployments,(b)Vertically averaged power spectra of potential density |
对第三、四和五段观测期间得到的正压海流分量利用UTide工具包做标准调和分析(Codiga,2011),得到主要分潮的潮流椭圆(图 4).海区正压全日潮显著强于半日潮流,全日O1和K1分潮倾角近乎东-西方向,与图 1a中正压潮能通量传播方向一致.半日潮流倾角皆与正东方向呈30压左右夹角,主轴接近沿等深线方向.除M2外,O1、K1和S2均表现为顺时针旋转.
|
图 4 正压分潮流椭圆(红色为顺时针旋转潮流矢量,蓝色代表逆时针旋转,椭圆内黑线与长轴夹角表示格林威治迟角) Fig. 4 Barotropic tidal ellipses of O1,K1,M2 and S2. Red ellipses indicate the tip of the tidal current vector rotating clockwise. Blue one refers to counterclockwise rotation. The angle between black lines in the ellipses and major axes denote phase lag with respect to Greenwich Time |
对后三段观测,从实测海流中减去正压海流即为斜压海流,再分别进行调和分析便可将内潮流分离出来.由于在前两段观测中,缺少深层的海流记录,本文利用3.2节得到的正压潮流椭圆参数回报前两段观测时期的正压潮流,然后对扣除该正压潮流的实测海流做调和分析以得到前两段观测期间的斜压潮流.图 5仅列出第二、三和四段观测期间内潮流椭圆垂向分布,以作说明.由于各段观测期长短不一(第二、三、四段观测分别长达8个月、16个月和1年),并且垂向采样深度不同,同一分潮在同一深度不同观测段的内潮流椭圆略有差异,但内潮总体垂向结构特征基本一致.全日O1和K1内潮显著大于半日内潮,代表内潮能通量传播方向的椭圆长轴倾角在观测深度范围内基本为稳定的跨陆坡方向.O1内潮表现为显著第一模态特征,海洋上层和近底层内潮流较强,在500~600 m的中层潮流最弱.K1内潮小于O1内潮,400 m左右内潮流振幅减弱至最小,向下复又增强.半日内潮流振幅较弱,100 m以下振幅小于1 cm·s-1.
|
图 5 第二、三和四段观测期间四个主要分潮的内潮流椭圆垂向分布 Fig. 5 Internal tidal ellipses for four major constituents in second,third and fourth deployments |
图 5中由标准调和分析所得内潮振幅和相位在长约数个月至十几个月的各段观测期间内分别保持不变并与天文潮呈锁相关系,被认为是内潮中的可预报分量(Nash et al.,2012).分别检查各段观测期内全日和半日的这种锁相内潮在相应频带内潮流中的比例(
|
|
表 3 各段观测期内锁相的全日(半日)内潮对全日(半日)内潮总能量的贡献(单位:%) Table 3 Contributions of diurnal(semidiurnal)internal tidal kinetic energy explained by diurnal(semidiurnal)coherent internal tide during different deployments(unit: %) |
本文所得到的锁相内潮运动比例与Xu等(2013)在同为南海西北部的东沙群岛西侧陆坡处得到的结果一致,他们发现全日内潮运动中有40%是与天文潮强迫锁相的,较弱的半日内潮则为10%.与此不同,Lee等(2012)在南海东北部陆坡处的研究结果表明锁相的同时包括正压和斜压的潮流运动 仅占观测的潮频带流速方差的21%.对比结果表明南海东北部和西北部的内潮因地理位置(包括地形、相对源区的位置等)和局地的海洋水文状况不同具有很强的空间差异性.
除上述锁相的内潮外,剩余很大一部分为异相内潮,其振幅和相位在传播过程中因层结和背景流场的调制会在短时间内发生改变.为检查内潮强度在长期观测中的变化,根据其传播方向和调和分析的频率分辨率,对扣除正压潮流的垂直于等深线方向的斜压海流分量进行14天长度时间窗口和7天滑动步长的标准调和分析(van Aken et al.,2007),所得四个主要分潮振幅的深度-时间变化如图 6所示,注意结果中同时也包括与天文潮锁相的内潮分量的贡献.O1内潮为显著第一模态特征,近底层平均振幅达3.4 cm·s-1,方差为1.3 cm2·s-2.海洋上层O1内潮时间变化显著,从年变化角度讲,振幅在除2011年外的其他年份夏秋季,均有增强现象.K1内潮在2010年冬季近底层振幅显著增强,海洋上层振幅则表现为冬季和夏季分别增强的半年周期变化.半日内潮流较弱,其中M2分潮仅在150 m以浅振幅较强,可以超过3 cm·s-1.
|
图 6 跨陆坡方向的全日(a)和半日(b)内潮流振幅垂向结构随时间的变化 Fig. 6 Temporal variation of internal tide amplitude across slope for four major constituents |
长达5年的定点流速观测允许本文一窥局地海域内潮的低频变化特征.在内潮运动非常活跃的夏威夷群岛附近,M2内潮的低频变化已经从长时间 序列的潮位计数据中提取出来.Mitchum和Chiswell(2000)发现内潮振幅或者相位的年际尺度低频变化与温跃层深度的低频变化显著相关,较大的M2内潮振幅经常伴随着较深的温跃层亦或较高的海平面高度.Colosi和Munk(2006)将这种年际甚至更长期的变化归因于内潮产生地和观测站之间密度场的改变对传播中内潮相速度的调制作用,温跃层的加深会导致内潮相速度的增加从而减小观测站处内潮相对于源区强迫正压潮的相位延迟.另外,源区跃层的变化亦可调制产生内潮的振幅.在线性理论框架下,Vlasenko等(2005)证明温跃层距离海底越近,产生的内潮波振幅越大.所以,海洋上层密度结构的变化对内潮的传播和生成有非常重要的调制作用,而海面高度在南海可以有效的指示温跃层的起伏变化(Liu et al.,2001),从而,南海内潮和海面高度的相关关系值得期待.
图 7为图 6a中跨陆坡方向O1内潮400m以浅垂向平均振幅(蓝色实线)与卫星观测海面高度(绿色实线)的变化关系,二者峰值在大部分时间呈很好的一一对应关系,相关系数为0.58,超过95%置信检验.尤其是2010年夏秋季,在一异常强的暖涡影 响下(Chu et al.,2014),O1内潮振幅伴随显著升高的海面高度亦有较强的增长.经360天低通滤波后(虚线),二者在年际尺度上的正相关关系更加显著,相关系数可达0.82.这说明研究海域内潮同样具有显著的低频变化特征,受上层密度场调制,其振幅在季节内及其更长时间尺度上正比于温跃层的深度或者海平面的高度.
|
图 7 跨陆坡方向400 m以浅O1内潮垂向平均振幅和海面高度变化时间序列(虚线为360天低通滤波后的相应年际变化,各序列已扣除总体时间平均项) Fig. 7 Time series of cross-passage internal O1 tidal amplitude averaged above depth 400m(blue lines)and absolute dynamic height from AVISO(green lines). Dashed lines indicate corresponding inter-annual variation by low bass filter with 360 day cutoff frequency |
与O1不同,K1内潮并未显示出与局地海面高度的显著正相关关系,而是呈冬、夏季分别增强的半年周期变化特征(图 6a).这种半年循环恰是正压K1和P1分潮耦合强迫所致(Danielson and Kowalik,2005).
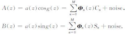
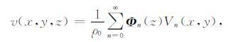
3.5 动力模态分解在Boussinesq近似条件下,同时忽略耗散和底边界坡度,水平流速的垂向结构可以写成一系列正交垂向动力模态的线性叠加,公式为
|
(1) |
除代表正压的n=0阶模态外,其余水平速度的垂向结构函数
|
(2) |
其中cn是模态 Φ n 的相速度,N2(z)是浮力频率.平底(d Φ n/dz=0)和刚盖(Φn=0)边界条件被用来求解该本征值问题(Kundu et al.,1975;Pedlosky,1987).
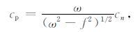
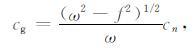
同时,波的相速度和群速度分别写为
|
(3) |
|
(4) |
其中ω为分潮的振动频率.Φn 得到后,即可通过最小二乘估计各模态的振幅Vn.
图 8a所示为观测站处冬、夏两季的海水N2垂向廓线.夏季,从表层至200 m左右N2均较大,上层海水层化特征显著;冬季,N2仅在50~100 m的次表层较强,峰值甚至超过夏季.200 m以深,N2较小,没有明显季节变化.
|
图 8 (a)观测站处冬(虚线)、夏季(实线)层结垂向分布以及(b)前三个斜压水平速度垂向动力模态(这里为 了更好的显示模态的垂向结构根据各个模态的最大振 幅已做标准化处理) Fig. 8 (a)Vertical profile of square Brunt-Visl frequency calculated from cumulative CTD casts,(b)First three normalized baroclinic modes for horizontal velocity |
将N2(z)代入方程(2)求得冬、夏两季水平速度的斜压垂向模态,图 8b列出前3个模态.第一斜压模没有季节差异,跨零点深度在500 m左右;第二和三斜压模,冬季的垂向振幅略强于夏季,但二者跨零点的位置基本一致.据此,本文利用年平均N2(z)及其对应的垂向动力模态分别最小二乘拟合包括近底层观测的第三、四和五段观测期的全日分潮流在跨陆坡方向上的振幅和相位(Sánchez-Román et al.,2008).表 4列出O1和K1分潮前三个斜压模态的波长、群速度和相速度信息.
|
|
表 4 O1和K1分潮前三个斜压模态的相速度、群速度和波长 Table 4 Phase speeds,group speeds and wavelengths of the first three baroclinic modes by dynamical mode decomposition for diurnal O1 and K1 constituent |
观测期内,跨陆坡的潮流分量可写为
|
(5) |
其中,a和g分别为分潮流的振幅和相位,A和B则可写为动力模态的线性叠加,公式为
|
(6) |
通过最小二乘法令噪声最小即可求得模态系数Cn和Sn,则分潮的每一个模态可表示为(Cn,Sn)Φ n, 模态振幅为

|
(7) |
其量值大小代表各模态的相对重要性.表 5列出拟合后得到的O1和K1分潮零阶模和前四个主要斜压模的能量贡献,由其重构的振幅和相位廓线绘于图 9.可见,对于内潮振幅较强的O1和K1分潮,动力模态分解所得零阶和前四个斜压模态联合能够比较准确的表示观测期间潮流的平均垂向结构.
|
|
表 5 第三、四和五段观测时期各模态动能对相应分潮总动能的贡献百分比(单位:%) Table 5 Percentage of energy for the zero and first four baroclinic modes by dynamical mode decomposing during the third,fourth and fifth deployments(unit: %) |
|
图 9 (a)由零阶模和前四个斜压模重构得到的O1和(b)K1分潮的振幅和相位廓线(实线表示实际观测的分潮流振幅和相位廓线,虚线代表重构所得) Fig. 9 Reconstruction of amplitude and phase of the O1(a)and K1(b)tidal constituents(dashed lines)from combination of barotropic and first four baroclinic modes separately from third,fourth and fifth deployments. Real profiles of tidal current are displayed by solid lines |
总体来看,在跨陆坡方向上,全日潮流能量主要集中于第一和第二斜压模态上.后三段观测期间,O1分潮的前两个斜压模态的能量贡献和分别达74.6%、77.4%和74.6%,比较一致;K1分潮则为41.1%、66.0%和47.0%.与O1的第三和第四高阶模态能量贡献较小不同,K1的第三模态对K1总潮能亦有相当贡献,在第三和第五段观测期内,甚至达到25%.不同观测期的结果相互比较,第四段观测期的模态分解结果与另外两段存在一定出入.代表正压的零阶模贡献显著减小;O1的第三阶模态贡献增强,K1的则减弱;并且K1的前两个斜压模的贡献和远大于第三和五段观测结果.这种差异可能源于第四段观测的垂向采样深度范围不同于第三和五段观测.由图 9可知,O1潮流振幅在150~200 m之 间存在一个拐点,K1潮流振幅在150 m以浅垂向结构复杂存在多个极值点.缺少对潮流垂向变化复杂的150 m以浅近表层的观测,很可能是第四段动力模态分解结果显著不同于第三、五段的主要原因.
4 结论本文主要利用2007年8月20日至2012年8月22日锚定于海南岛至西沙群岛之间深水海域的一个长达5年的潜标测流资料,通过谱分析、调和分析、滤波和动力模态分解方法分析了该海区内潮流的特征,主要结果如下:
(1) 研究海域以全日潮流为主,上层惯性振荡亦具有相当能量.海洋中层等密度线周日垂向振幅可达40 m.
(2) 全日O1和K1内潮显著大于半日内潮,主要为顺时针旋转.斜压潮流椭圆倾角一致为西北—东南走向,表明内潮能通量沿跨陆坡方向传播;向下增长的迟角表明群速度向上传,内潮能量由下层传向海表.
(3) 与天文潮强迫锁相的全日内潮约占全日内潮总能量的41%,远高于南海东北部的锁相内潮比例.考虑异相内潮后,海洋上层全日O1内潮在跨陆坡方向上的振幅有夏、秋季增强的特征,K1内潮则呈夏、冬季增强的半年循环特征.上层O1内潮振幅的时间变化与局地海面高度有显著正相关关系,表明海洋上层密度场对内潮的显著调制作用;而K1 内潮的半年循环是正压K1和P1分潮耦合强迫所致.
(4) 动力模态分析表明O1分潮能量主要集中于第一和二阶斜压模态上,K1分潮的第三阶斜压模亦包含相当能量,最高可达总能量的25%.
(5) 由本文分析所得到的跨陆坡内潮能量传播方向、较高的锁相内潮比例以及与局地海面高度的显著相关性,结合附近陆坡处的全日临界、超临界地形(图 1b),暗示观测的内潮可能于潜标附近陡峭地形处产生.单点的潜标观测无法确切断定内潮源区,而海南岛南部活跃的内波已被大量卫星遥感数据所证明,海南岛东南部陡峭的大陆架坡折被认为是这些内波的产生源(王隽,2012).未来,南海西北部内潮波的生成耗散和在三维海洋中的传播演变特征仍需潜标阵列等更详细的现场观测资料并辅以数值模型支持.
致谢感谢甘子钧先生对本文提出的宝贵意见.
| Alford M H, MacKinnon J A, Nash J D, et al. 2011. Energy flux and dissipation in Luzon Strait: Two tales of two ridges. J. Phys. Oceanogr. , 41(11): 2211–2222. doi: 10.1175/jpo-d-11-073.1. | |
| Chen G X, Xue H J, Wang D X, et al. 2013. Observed near-inertial kinetic energy in the Northwestern South China Sea. J. Geophys. Res. , 118(10): 4965–4977. doi: 10.1002/jgrc.20371. | |
| Chu X Q, Xue H J, Qi Y Q, et al. 2014. An exceptional anticyclonic eddy in the South China Sea in 2010. J. Geophys. Res. , 119(2): 881–897. doi: 10.1002/2013JC009314. | |
| Codiga D L. 2011. Unified Tidal Analysis and Prediction Using the UTide Matlab Functions. Technical Report 2011-01. Graduate School of Oceanography,University of Rhode Island,Narragansett,RI. 59pp. ftp://www.po.gso.uri.edu/pub/downloads/codiga/pubs/2011Codiga-UTide-Report.pdf | |
| Colosi J A, Munk W. 2006. Tales of the venerable honolulu tide gauge. J. Phys. Oceanogr. , 36(6): 967–996. doi: 10.1175/jpo2876.1. | |
| Danielson S, Kowalik Z. 2005. Tidal currents in the St. Lawrence Island region. J. Geophys. Res. , 110(C10): C10004. doi: 10.1029/2004jc002463. | |
| Duda T F, Lynch J F, Irish J D, et al. 2004. Internal tide and nonlinear internal wave behavior at the continental slope in the northern south China Sea. IEEE J. Oceanic. Eng. , 29(4): 1105–1130. doi: 10.1109/joe.2004.836998. | |
| Duda T F, Rainville L. 2008. Diurnal and semidiurnal internal tide energy flux at a continental slope in the South China Sea. J. Geophys. Res. , 113(C3): C03025. doi: 10.1029/2007jc004418. | |
| Gonella J. 1972. A rotary-component method for analysing meteorological and oceanographic vector time series. Deep Sea Res. Oceanogr. Abstr. , 19(12): 833–846. doi: 10.1016/0011-7471(72)90002-2. | |
| Guo P, Fang W D, Gan Z J, et al. 2006. Internal tide characteristics over northern South China Sea continental slope. Chinese. Sci. Bull. , 51(Supp. II): 17–25. doi: 10.1007/s11434-006-9017-y. | |
| Guo P, Fang W D, Liu C J, et al. 2012. Seasonal characteristics of internal tides on the continental shelf in the northern South China Sea. J. Geophys. Res. , 117(C4): C04023. doi: 10.1029/2011jc007215. | |
| Jan S, Chen C-T A. 2009. Potential biogeochemical effects from vigorous internal tides generated in Luzon Strait: A case study at the southernmost coast of Taiwan. J. Geophys. Res. , 114(C4): C04021. doi: 10.1029/2008jc004887. | |
| Klymak J M, Alford M H, Pinkel R, et al. 2011. The breaking and scattering of the internal tide on a continental slope. J. Phys. Oceanogr. , 41(5): 926–945. doi: 10.1175/2010jpo4500.1. | |
| Kundu P K, Allen J S, Smith R L. 1975. Modal decomposition of the velocity field near the Oregon Coast. J. Phys. Oceanogr. , 5(4): 683–704. doi: 10.1175/1520-0485(1975)005〈0683:MDOTVF〉2.0.CO;2. | |
| Lee I H, Wang Y-H, Yang Y, et al. 2012. Temporal variability of internal tides in the northeast South China Sea. J. Geophys. Res. , 117(C2): C02013. doi: 10.1029/2011jc007518. | |
| Li J D, Liang C J, Jin W F, et al. 2011. Characteristics of the internal tide at the continental slope southwest of Dongsha Island, the South China Sea. Journal of Marine Sciences (in Chinese) (in Chinese) , 29(1): 1–8. | |
| Liao G H, Yuan Y C, Yang C H, et al. 2012. Current observations of internal tides and parametric subharmonic instability in Luzon Strait. Atmos. Ocean , 50(sup1.): 59–76. doi: 10.1080/07055900.2012.742007. | |
| Liu Q Y, Jia Y L, Liu P H, et al. 2001. Seasonal and intraseasonal thermocline variability in the central south China Sea. Geophys. Res. Lett. , 28(23): 4467–4470. doi: 10.1029/2001gl013185. | |
| Mao H B, Chen G Y, Shang X D, et al. 2013. Interaction between internal tides and near-inertial waves at Xisha area. Chinese J. Geophys. (in Chinese) , 56(2): 592–600. doi: 10.6038/cjg20130222. | |
| Mitchum G T, Chiswell S M. 2000. Coherence of internal tide modulations along the Hawaiian Ridge. J. Geophys. Res. , 105(C12): 28653–28661. doi: 10.1029/2000jc900140. | |
| Nash J D, Alford M H, Kunze E. 2005. Estimating internal wave energy fluxes in the ocean. J. Atmos. Oceanic Technol. , 22(10): 1551–1570. doi: 10.1175/jtech1784.1. | |
| Nash J D, Shroyer E L, Kelly S M, et al. 2012. Are any coastal internal tides predictable?. Oceanography , 25(2): 80–95. | |
| Pedlosky J. Geophysical Fluid Dynamics. New York: Springer-Verlag, 1987 . | |
| Sánchez-Román A, Criado-Aldeanueva F, García-Lafuente J, et al. 2008. Vertical structure of tidal currents over Espartel and Camarinal sills, Strait of Gibraltar. J. Marine. Syst. , 74(1-2): 120–133. doi: 10.1016/j.jmarsys.2007.11.007. | |
| van Aken H M, van Haren H, Maas L R M. 2007. The high-resolution vertical structure of internal tides and near-inertial waves measured with an ADCP over the continental slope in the Bay of Biscay. Deep Sea Res. Part I , 54(4): 533–556. doi: 10.1016/j.dsr.2007.01.003. | |
| Vlasenko V, Stashchuk N, Hutter K. Baroclinic Tides: Theoretical Modeling and Observational Evidence. New York: Cambridge University Press, 2005 . | |
| Wang J. The sourecs and propagation analysis of internal waves in the South China Sea based on satellite remote sensing [Ph. D. thesis] (in Chinese).. (in Chinese) Qingdao: Ocean University of China, 2012 . | |
| Wang Y H, Dai C F, Chen Y Y. 2007. Physical and ecological processes of internal waves on an isolated reef ecosystem in the South China Sea. Geophys. Res. Lett. , 34(18). doi: 10.1029/2007gl030658. | |
| Xu Z H, Yin B S, Hou Y J. 2011. Multimodal structure of the internal tides on the continental shelf of the northwestern South China Sea. Estuar. Coast. Shelf Sci. , 95(1): 178–185. doi: 10.1016/j.ecss.2011.08.026. | |
| Xu Z H, Yin B S, Hou Y J, et al. 2013. Variability of internal tides and near-inertial waves on the continental slope of the northwestern South China Sea. J. Geophys. Res. , 118(1): 197–211. doi: 10.1029/2012jc008212. | |
| Zhang X Q, Liang X F, Tian J W. 2005. Observation of internal tides and near-inertial motions in the upper 450 m layer of the northern South China SeaChinese. Sci. Bull. , 50(18): 2027–2031. | |
| 李俊德, 梁楚进, 金魏芳, 等. 2011. 南海东沙岛西南大陆坡内潮特征. 海洋学研究 , 29(1): 1–8. | |
| 毛华斌, 陈桂英, 尚晓东, 等. 2013. 西沙海域内潮与近惯性内波的相互作用. 地球物理学报 , 56(2): 592–600. | |
| 王隽. 2012. 基于卫星遥感观测的南海内波发生源与传播路径分析[博士论文]. 青岛: 中国海洋大学. | |
| 张效谦, 梁鑫峰, 田纪伟. 2005. 南海北部450m以浅水层内潮和近惯性运动研究,. 科学通报 , 50(18): 2027–2031. | |
2016, Vol. 59

