2. 连云港市气象局, 江苏 连云港 222006;
3. 中国人民解放军61741部队, 北京 100081
2. Lianyungang Meteorological Bureau, Lianyungang Jiangsu 222006, China;
3. The 61741 Troop of PLA, Beijing 100081, China
西太平洋副热带高压(简称副高,后同)是位于低纬度的重要大型环流系统,是直接影响我国气候的重要天气系统之一,我国很多区域,特别是江淮流域的洪涝和干旱灾害就是经常由于其异常活动所导致的.如1998年8月副高的异常南落导致位于长江流域的特大洪涝灾害(Lu et al.,2007);2010年5至7月14轮暴雨袭击华南、江淮流域也是由于夏季副高的异常活动(黄露等,2012);2013年夏季副高的异常增强活动导致7至8月江南、江淮、江汉及重庆等地的异常高温天气.这些灾害均是由副高的异常活动所致,因此关于副高的研究历来为气象学家所重视(任荣彩和吴国雄,2003).
西太平洋副高是高度非线性的动力系统,它们的发展演变和异常是由夏季风系统中众多因子通过非线性过程共同制约的.前人对此做了大量的研究,如张庆云和陶诗言(1999)指出夏季副高脊线的二次北跳与赤道对流向北移动及低层赤道西风二次北跳关系密切;徐海明等(徐海明等,2001; 许晓林等,2007)认为孟加拉湾对流的增强发展,一方面中断西太平洋—南海周边的对流活跃,同时又促使副高西部脊西伸增强;张韧等分别对季风降水、太阳辐射加热和季风槽降水对流凝结潜热等热力因素对副高稳定性和形态变化的影响进行了诊断分析和研究(Zhang and Yu,2000).但是到目前为止,对副高这样的复杂天气系统,影响要素众多和动力机理复杂,造成了副高预报的困难性(吴国雄等,2003).目前,无论是副高的数值预报产品还是统计预报产品都存在不同程度的预报偏差,尤其是副高中长期预报和异常活动预报的误差更加明显(吴国雄等,2003).所以季节内副高异常活动和中、长期趋势预测已成为制约夏季我国长江流域天气预报和汛期趋势预测的难点问题和核心内容.
正是因为副高系统的复杂性和非线性,“精确”建立描述副高活动的动力预报模型就显得极其困难,近年来,用历史资料反演微分方程成为大气和海洋领域较为新兴的技术,如Jia和Zhu(2010),Jia等(2010)用历史资料反演动力—统计模型对夏季中国降水和北美气温进行了预测,取得了较好的预报效果.而洪梅等(2007)基于历史资料反演重构了副高位势高度场动力模型,并开展了预报检验,取得了较好的中短期预报效果.但是建立的动力预报方程利用一个初值进行积分预报,对初值的依赖性较大,所以超过15天的中长期预报发散明显,预报效果并不是很好.针对这种问题,为了克服预报方程对初值的依赖性,本文考虑引入动力自忆性原理来进行改进.动力系统自忆性原理是曹鸿兴(Cao,1993)最早提出,此方法不但在更广意义上将动力学方程转化为一个自忆性方程,即一个差分-积分方程,而且在方程中能容纳初始时刻前多个时刻的测量值,并且记忆系数还可以利用观测数据来进行估计.这样就可以避免微分方程过分依赖初值的缺点,也可以把统计学中从过去观测资料提取预报信息的优点借鉴进来.因此此方法后来被广泛用于气象研究,用于水文、环境领域的预报问题(Chen et al.,2009; Gu,1998; 贾晓静等,2003; Feng et al.,2001).
但是此方法的动力核设置较为简单,且记忆函数的设置也比较简单,对周期性和线性系统的预测效果较好,对于非线性,特别是混沌系统效果不好(Cao,1993).考虑到副热带高压是一个非线性混沌系统,所以本文对记忆函数进行了改进,既考虑到了混沌系统的特性,又把过去观测资料的信息吸收进来;并且将我们之前重构的动力系统作为其动力核进行改进.这样就将动力重构思想和自忆性原理互相取长补短,很好地结合在一起,并更加有效地针对混沌系统,使改进的模型在副高正常年份和异常年份脊线指数中长期预报(15天以上)方面取得了较好的结果.
2 资料和预报因子的选择 2.1 资料研究资料选取NECP/NCAR近三十年(1982—2011)的夏半年(5—10月)逐日500 hPa位势高度场再分析资料,资料范围为 [90°E—180°E,0°N—0°N]..
2.2 副高脊线指数变化副高季节内变化在不同年份的表现会与平均状况很大不同,正是因为一些特殊年份出现的副高异常活动会导致副热带环流的异常和我国的极端天气现象.副高南北活动的异常,特别是夏季副高的三次北跳,与我国雨带变化有着重要关系.基于此,我们首先对副高活动的典型个例进行分析和筛选.为了更好地描述副高南北位置的异常变化,本文研究对象为副高脊线指数(RI),其主要用来表征副高南北位置,采用中央气象台(1976)的定义:在2.5°×2.5°网格的500 hPa位势高度图上,10°N向北,110°E—150°E(间隔2.5°)的范围以内17条经线,对每条经线上的位势高度最大值点所在的纬度求平均,这个值就是副高脊线指数.其值越大,所代表的副高范围越偏北.
参照中央气象台定义的副高脊线指数,计算并绘制了近三十年夏半年平均的副高脊线指数变化图(图 1),直线为平均值.从图上可以看出,各年副高的变化差别较大,有些年份副高脊线指数的异常变动很明显,表明了在那些年份副高南北位置会有异常活动.
|
图 1 1982到2011年夏半年(5月至10月)的副高脊线指数分布图 Fig. 1 The area index of summer half-year(from May to October)from 1982 to 2011 |
根据前人的研究,夏季风系统成员较多,与副高关系密切的因子就有21个(余丹丹等,2007).除此以外,前人研究(徐海明等,2001)中也指出,亚洲中高纬度环流系统(如阻塞高压)对副高的中期变化有重要影响,特别是梅雨期间.另外由于海气相互作用,ENSO,赤道印度洋海温和赤道东太平洋海温状况冷暖变化和变化快慢可能对副高活动产生影响(张韧等,2013).虽然影响副高活动变化的因子很多,但是考虑到计算的复杂性,我们所建立的模型的变量数不能太多,一般3到4个因子最佳,原因在我们以前的研究中已经详细介绍过了(张韧等,2008).如果建立的模型方程变量超过4个,就会在预报过程中造成很大的计算量,并且根据我们以前的计算也可以发现当模型变量数超过4的时候,预报的准确率并不会随着变量数目的增大出现明显的增加.但是如果我们选择比较少的因子,比如2个因子,模型的预报效果也会变得很差.太少的模型因子会造成太少的重构参数,造成模型中有很多重要信息的丢失.综上所述,一般3到4个因子进行建模效果是最好的.所以,我们要在这些对副高有影响的众多因子中挑出3个因子作为预报因子.
首先将前面所提到的这些因子与副高脊线指数进行时滞相关分析(表略).筛选出其中相关性最好的3个因子作为预报因子进行下一步研究,其分别是:
马斯克林冷高强度指数(MH):(40°E—60°E,25°S—35°S)区域内海平面气压的格点平均值;
ENSO指数(D):Nino3+4区(5°S—5°N; 120°W—170°W范围的海区)的海温(SST)指数.
孟加拉湾经向风环流指数(J1V):(80°E—100°E,0°N—20°N)区域范围内J1V=V850-V200格点平均值;
这三个指数与副高脊线指数(RI)的相关分析结果如表 1.
|
|
表 1 3个主要影响因子与副高脊线指数的相关分析表 Table 1 The correlation coefficients between AI and three factors |
从表 1可以看出,这三个因子与副高脊线指数的相关系数均能达到0.8以上.表 1用的数据是从1982年到2011年30年平均5月1日至10月31日的数据,共184个样本值.由于所取样本数均大于150,用t检验法可以求出通过检验的相关系数临界值,即当显著水平α=0.05时,自由度为120的显著相关系数临界值r=0.179,也就是说只要相关系数大于0.179,则结果均可以满足95%的置信度检验.南半球马斯克林高压MH在早期就对副高位置南北变化产生影响,两者关系十分密切,而且是正相关,这与前人所做的研究基本一致(薛峰等,2003).ENSO指数(ENSO)以及孟加拉湾经向风环流指数(J1V)与副高南北位置关系密切,这与前人做的研究也是基本相符的(王会军和薛峰,2003; 余丹丹等,2007).
3 副高脊线指数动力预报模型反演从观测资料重构非线性动力系统的基本思想在Takens(1981)的相空间重构的理论中有着严格的阐述与证明,系统演变的非线性动力学模型可以从有限的观测数据中重构出来,从有限的观测数据时间序列中能够重构出系统演变的动力学模型.为此,基于前面对于2.3节因子选择的基础上,我们拟用副高脊线指数、马斯克林高压、ENSO指数和孟加拉湾经向风环流指数这四个时间序列,通过动力系统反演的思想和模型参数优化等途径,副热带高压脊线指数及其相关因子的动力预报模型可以被反演重构出来.
设任一非线性系统随时间演变的物理规律可表示为
|
(1) |
函数fi为q1,q2,…,qi,…,qN 的广义非线性函数,状态变量有N个,可以通过动力系统复杂性(计算其分维数来衡量)来确定.方程(1)的差分形式写为下式:
|
(2) |
M为观测样本时间序列的长度,系统结构与模型参数均可通过计算反演从观测数据里面获取.
fi(q1jΔt,q2jΔt,…,qijΔt,…,qNjΔt)为未知非线性函数,设fi(q1jΔt,q2jΔt,…,qijΔt,…,qNjΔt)有Gjk个包含变量qi的函数展开项和对应的Pik个参数,(其中i=1,2,…,N,j=1,2,…M,k=1,2,…,K)可设为
|
(3) |
式(3)的矩阵形式是 D = GP,其中
|
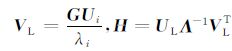
上述方程的系数项可以通过实际观测数据反演来确定.即给定向量 D,求向量 P,使得上式满足.对参数q而言,这确实是一个非线性系统,但换个角度,对参数 P 而言(即拿参数 P 当成未知数),上式则为一个线性系统,这里可以用最小二乘进行估计,使得残差平方和 S =(D - GP)T(D - GP)达到最小,进一步得到正则方程 G T GP = G T D .因为 G T G 是奇异矩阵,所以可以求出其特征向量与特征值,剔除其中那些为0的项,剩下的K个λ1,λ2,…,λi组成对角矩阵 Λ k和对应的K 个特征向量组成的特征矩阵 U L.

我们拟以T1,T2,T3,T4表征2.3节选定的副高脊线指数、马斯克林高压、ENSO指数和孟加拉湾经向风环流指数这四个时间序列,假设下面(4)式二阶非线性常微分方程组作为拟重构反演动力学模型,副高脊线指数、马斯克林高压、ENSO指数和孟加拉湾经向风环流指数这四个因子选择都是1982年到2011年30年平均5月1日到10月31日的数据.四个时间序列的总长都是184天.将这四个时间序列作为模型输出的“期望数据”,从而进行模型参数的反演与优化.
|
(4) |
基于前面描述动力重构的途径与方法,可以确定出非线性动力系统(4)中各个系数,在计算出参数P之后,可以定量比较方程各项对系统演变的相对贡献大小.计算方程中各项的相对方差贡献公式如下:
|
式中m=184为资料序列的长度,Ti=a1x1,a2x2,…,a14x3x4为方程中的各项,我们设定0.005为衡量标准,凡是Ri<0.005的Ti项由于方差贡献太小,可以删除.比如方程中的0.1044x4由于计算出来的R4为0.0012,小于标准而被删除,而-4.1187×10-2x1x2虽然系数较小,但是其计算出的方差贡献R5为0.0153,大于标准而可以保留.最终我们将方程(5)删除的各项的方差贡献相加,发现其总和在1%以下,由此可见剔除项的方差贡献较小,对方程影响较小.
最终得到该样本时期描述副高脊线指数非线性动力预报模型方程组为
|
(5) |
动力-统计预报一般要求预报因子之间具有一定的独立性,否则容易产生计算冗余,表 1显示了三个预报因子(马斯克林高压、ENSO指数和孟加拉湾经向风环流指数)与预报量(副高脊线指数)之间的较好的相关性.但是这并不代表预报因子之间就有较好的相关性,实际上三个因子之间的相关系数均小于0.48,说明了预报因子之间有一定的独立性.这样在计算过程不容易产生冗余,也不会破坏模型的稳定性.
对上面反演动力模型进行积分拟合检验,通过从指数时间序列中选取真实预报初始值(选择1998年8月1日作为预报初值)对模型进行数值积分,从而进行预报试验,四个指数时间序列的积分预报值与真实值之间相关系数在15天以内分别可以达到0.7659,0.7746,0.7091,0.8023.但是15~25天内,相关系数变为0.4432,0.3987,0.4890,0.5211. 表明上述反演的动力预报模型在短期能对副高脊线指数的变化得到比较可靠、准确的描述,但中长期预报效果并不好,这主要是由于预报方程对初值的依赖性较大,所以考虑引入动力自忆性原理来进行改进.
4 引入自忆性原理对反演模型的改进根据曹鸿兴的研究(Cao,1993),自忆性原理这里就不详细描述了,具体可见附录.
对附录里面的自忆性方程(A9)进行离散化,这是为了便于后面计算的一种简化.曹鸿兴在1993年分析自忆性原理(Cao,1993)在大气运用中进行离散化就用了这种中值替代的简化方法.这是为了离散化后面计算方便,而不得已采取的一种近似简化.当然,这种简化势必会带来一些误差,但是后来大量学者根据实际的试验检验后发现这种误差的影响并不大(Chen et al.,2009; Gu,1998; Feng et al.,2001),比如在Gu(1998)利用自忆性原理改进T42模型对500 hPa位势高度场进行预报时也用了中值定理进行离散化,其最后的预报结果很好.同样Feng等(2001)建立自忆性模型对降水进行预报时,也用了中值定理进行离散化,其最后预报效果也很好.所以我们这里为了后面的计算方便,还是沿用这种近似离散化.
对(A9)式,积分可以用求和来代替,微分变为差分,中值xim可以用两个时次值简单的代替,即 xim≈ 1 2(xi+1+xi)≡yi,
|
附录里面的自忆性方程(A9)变为
|
(6) |
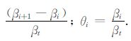
F是自忆性方程的动力核; 而方程里面的αi=
这样结合前面所反演的副高脊线指数动力模型,也就是以第3节中的方程组(5)作为动力核F,引入自忆性原理的改进模型就为
|
(7) |
因为我们要预报的结果是副高的脊线指数,即x1,所以我们最终要预报的式子是(7)这个方程组里面的第一个式子,也就是
|
(8) |
用(8)式预报时,模式必须用到以前的p个值,因而(8)式起了记忆前面p+1个时次x效应的作用. 这是引入自忆性原理的数学理由.而引入自忆性原理的物理理由是,大气运动方程组里面含有热力学方程,因为大气是一个复杂的开放系统,不断地接收太阳能与发射红外辐射,因而大气运动实际上是一种不可逆的过程.不可逆过程研究对于物理学上的杰出贡献是把记忆的概念引入物理中,这就是说,大气未来的发展不仅仅与上一时刻的状态有关,并且也与它过去的状态相关,这代表大气并不会遗忘过去.
这样只要能求出α,θ的值,改进模型就可以进行预报了,而α,θ值与自忆性函数β有关,下面一节就来定义这个自忆性函数.
5 针对混沌系统改进的自忆性函数曹鸿兴(Cao,1993)提到记忆函数的指派问题,根据多年经验和实验检验,其考虑记忆程度随起报时刻tN远近而逐渐下降,可以令记忆函数为
|
e-k(tN-ti) tN-P≤ti <tN1 ti≥tN 其指出了记忆函数的形式会决定预报的效果.但是我们认为其定义的记忆函数仅考虑了记忆程度随起报时刻tN远近而逐渐下降的特性;而忽视了记忆函数本身应该有的非线性特征,所以我们将记忆函数改写为
|
这样此记忆函数中e-k(tN-ti)体现了记忆程度随起报时刻tN远近而逐渐下降的特性;而ti(1-r)则体现了记忆函数的非线性特征.r和k为待确定参数,记忆函数指派的好坏取决于参数(如r和k)的确定,但曹鸿兴对记忆函数的参数k确定并没有什么太好方法,只认为参数的确定与对过去观测值的重视程度有关.
5.1 参数r的确定李雅普诺夫指数用于大气和海洋的预报性这个问题的研究由来已久(Fraedrich,1987).在混沌动力系统理论中,最大李雅普诺夫指数可以刻画混沌系统预报误差的整体(长期)平均增长速率,一般被用来描述非线性混沌系统的发散情况,所以经常被学者用于研究大气和海洋中的混沌系统的可预报性和可预报期限的研究(Kazantsev,1999; Yoden and Nomura,1993).再加上传统的自忆性函数针对线性周期系统,而对于混沌系统预报效果较差,考虑到最大李雅普诺夫指数又是系统混沌性的一个比较好的表现.出于这两点考虑,所以我们引入了最大李雅普诺夫指数来定义r参数,可以从第3节中重构的动力学方程中计算出来.
5.1.1 李雅普诺夫指数(Lyapunov exponent)谱的计算方法在已知动力学微分方程的情况下,经过理论推导或对微分方程离散化采用某种数值迭代算法,就可以得到已知动力学系统的精确李雅普诺夫指数谱.本文采用的Eckmann等(Udwadia and von Bremen,2002)在1985年提出的算法,其基本理论是先将系统常微分方程的近似解求出,接着对系统Jacobi矩阵进行QR的分解,同时对多个小时间段进行必要的正交化重整过程,反复迭代计算后从而得到系统的李雅普诺夫指数(Lyapunov exponent)谱.这种算法的具体流程由于篇幅原因这里就不具体介绍,详细的过程可以见相关参考文献(Udwadia and von Bremen,2002; Von Bremen et al.,1997).
5.1.2 动力系统的李雅普诺夫指数谱和r的确定根据这种计算方法,我们可以求出第3节重构的动力系统(5)的李雅普诺夫指数谱,如图 2所示.
|
图 2 动力系统的李雅普诺夫指数计算图 Fig. 2 The Lyapunov spectrum of the reconstructed dynamical model |
从图上可以看出,收敛速度较快,波动也不太大,比较稳定.最终求出的李雅普诺夫指数分别是0.3744,0.1054,-0.9987,既含有负数的李雅普诺夫指数,也有2个正数的李雅普诺夫指数,也证明了我们的动力系统确实是一个混沌系统.
最终r取最大李雅普诺夫指数,r=0.3744.
5.2 参数k的确定k可以根据历史资料通过遗传算法求出.除了要考虑混沌系统自身的特性以外,我们还要考虑过去观测资料对自忆性函数的影响,所以要对参数k进行优化.
将(8)式写成
|
(9) |
初值为
|
(10) |
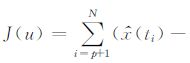
我们的目标是使对之前p个时次的观测值拟合的误差最小,即二次品质指标达最小.
|
(11) |
式中
|
(12) |
这样求解记忆函数中的参数k就变成在约束条件(12)下求(11)的最优化问题. 把

通过上面计算过程,我们可以看出k值与预报时刻t的前p次数据有关.预报的值又可以保存下来作为下次预报的前期数据.所以数据的变化会导致参数k值也会变化.第一次计算的k1=0.349,是通过36次遗传迭代算出的最优值,后面每一步的预报k也会变化,我们就不在这里一一列举了.事实上,这样不断调整记忆参数k使其更加精确.
记忆函数β确定好了之后,再将其代入(8)式,就可以利用此式进行预报了.
6 模型预报实验 6.1 对1998年副高脊线指数预报试验从前面2.2节的图 1中可以看出,1998年的副高脊线指数在均值之下,是副高异常活动较为明显年份(图中箭头所示),并且该年是近三十年来的最大谷值.正是由于副高脊线指数的这种异常(异常南落),造成了我国气候在1998年较为异常.图 3是1998年5月份到8月份,沿110°E、120°E和130°E三个剖面的586 dagpm特征线纬度-时间分布(实线表示),用来代表副高的南撤与北跳活动.从3个经度剖面图上都清楚地再现了7月中旬副热带高压突然大幅度从长江流域南撤的过程(图中箭头所示),正是由于该年从5月开始到9月,副高脊线指数异常偏小,达到近30 年来的最小值,所以副高活动表现为异常南落,特别是副高的三次异常南撤活动(图 3)导致了我国江南地区和长江中下游天气的异常变化,在我国长江流域出现了百年未遇的罕见的暴雨洪涝灾害,给国家和人民造成了巨大的经济损失.因此,我们选取1998年夏季副高异常变化过程作为典型例子来检验副高脊线指数预报模型的预报效果.
|
图 3 1998年5—8月逐日沿110°E、120°E和130°E 586特征线纬度-时间剖面 阴影区表示OLR距平≤-200 W·m-2的纬度-时间分布,表示热带强对流活动区以及对流降水区的位置. Fig. 3 The daily latitude-time section of 586 feature lines along 110 °E,120 °E and 130 °E from May 01 to August 31 in 1998 |
对实际预测效果进行检验,选择时段(1998-08-02—1998-09-05)的副高脊线指数的时间序列来检验模型的预报效果.这里面包含了副高较易出现异常活动的8月份.
6.1.1 p的确定曹鸿兴(Cao,1993)提出过引入自忆性原理进行预报,选择的回溯阶数p与系统自身记忆能力相关.如果系统遗忘慢,参数a和r都比较小,则应该选择高阶数.我们的副高脊线指数异常变化一般是旬尺度(吴国雄等,2003),对大尺度大气运动而言是一种较慢过程,遗忘因子a和r较小,一般取p在5~15的范围内.从表 2可以看出,当p=8时,相关系数最大,相对误差最小,所以我们选择p=8.
|
|
表 2 模型预报值与真实值之间的相关系数和相对误差随回溯阶p的变化 Table 2 The correlation coefficient(C.C.)and root mean square errors(RMSE)when the retrospective order p is different |
p确定以后,就可以用引入自忆性原理的改进模型(8)进行数值预报试验了,进行积分15天,25天,35天的短、中、长期预报.回溯阶p=8,积分时候运用了p+1=9次前期的观测资料,后面每次积分1天的结果都会当成前期资料来保存,以便继续积分.
6.1.2 预报实验不像前面第3节动力重构模型(公式(5))是靠数值积分来预报,这里的预报结果主要是通过公式(8)求和获得,我们称之为逐步预报.其过程如下:
逐步预报首先要确定回溯阶数p,这就意味着当我们预报1998年8月2日的副高脊线指数时,必须求出p+1时次前的yi值和p时次前的F(x1i,x2i,x3i)值.然后将这些结果代入(8)式中,就可以获得1998年8月2日的副高脊线指数预报值.然后,将这个8月2日的预报值作为下次预报的初值保存下来,又可以继续求出8月3日的预报值,以此类推.最终得到1998年8月2日至1998年9月5日共35天的副高脊线指数数值积分预测结果,如图 4所示.由于篇幅关系,这里把15,25,35天的短、中、长期预报效果集中在一幅图中表示.
从图 4上可以看出,改进模型的副高脊线指数的预报效果还是很好的.在前15天,不仅趋势预报的准确,相关系数达到0.9511,而且预报值与真实值之间的相对误差也很小,只有2.86%.两次副高异常增大的峰值和一次副高减小的谷值也预报的很准确.在15~25天的时候,也是一样,趋势预报准确,相关系数达到0.9183,虽然预报值出现了一定离散的趋势,但误差也不大,为6.55%,预报准确率仍然较高,在8月16日到8月21日左右的一次副高脊线指数异常增大的峰值(副高北跳)也预报的较为准确.在25~35天的时候,趋势预报还算准确,相关系数为0.8090,但预报发散较为厉害,波动较大,特别是在接近31天的时候,误差已经开始明显增大.如9月4日预报值将近大了实际值5个纬度,造成误报了一个小峰值.这与数值积分后期易发散的特性有关,特别是31天以后,误差增大到17.28%.综合而言,在28天之内中短期预报效果,趋势预报很好,都在0.8以上,预报值与真实值的误差也都控制在10%以内.但是31天以后,其发散程度增加,误差也增大,基本达到了20%~30%.
|
图 4 副高脊线指数的35天预报图 Fig. 4 The 35 day forecast results of the subtropical high area index |
为了进一步检验我们模型的预报能力,需要进行更多试验.我们选择4个副高异常南落(脊线指数较小)年份(1992、1999、1986和2002)和5个副高异常北跳(脊线指数较大)年份(2010、1991、1989、1985和1982),用前面的1998年的模型来进行预报检验.预报结果根据不同的时段(1~15天是短期,16~25天是中期,26~35天是长期)与真实天气情况进行对比.结果如表 3所示.
通过表 3可以看出,副高脊线指数的短期和中期预报效果比较好,长期的预报效果(大于25天)虽然增加到16.66%,但也基本在可以接受的范围.从表上还可以看出1986年的预报效果相较其他年份来说比较差,从相关文献(占瑞芬等,2005)可知1986年的副高双脊线较其他年份来说比较频繁,且其双脊线事件持续时间也较长,最长一次可以达到 16天之久,所以1986年的脊线变化情况比较复杂,造成了我们的预报准确率较其他年份稍微差了一些.
|
|
表 3 副高异常年份的相关系数和相对误差表 Table 3 The correlation coefficients(C.C.)and root mean square errors(RMSE)between forecast value and real value of different events of WPSH abnormal years |
|
|
表 4 副高正常年份的相关系数和最小均方根误差表 Table 4 The correlation coefficients(C.C.)and root mean square errors(RMSE)between forecast value and real value of different events of WPSH normal years |
通过上节,我们可以看出副高异常年份预报效果较好.但是为了进一步验证我们的模型,我们对副高正常年份也进行了试验.选择了8个副高正常年份,分别是1983,1988,1994,1995,2000,2003,2004和2009. 我们仍然用前面的1998年模型进行预报试验.预报结果根据不同的时段(1~15天是短期,16~25天是中期,26~35天是长期)与真实天气情况进行对比.结果如表 4所示.
通过表 4我们可以看出中短期的预报效果比较好,误差不超过8%.尽管长期预报效果比中短期效果要差,平均误差14.8%,但仍然在可以接受的范围.从表 4可以看出2003年的预报效果较其他年份来说比较差,从图 1可以看出,2003年较其他正常年份来说脊线指数较高,异常状况更多,而且从相关文献(余丹丹等,2007)中可知,2003年的副热带高压异常的偏强和偏西以及长时间在24°N 南北的两个纬距范围内摆动,导致淮河流域30多天的连续强降水,所以2003年的副高脊线指数较难预报,其预报效果较其他年份来说较差.
6.2.3 两类试验结果比较根据上面两节,可以看出异常年份和正常年份的相关系数和误差是不太一样的.比较可知,正常年份的预报效果要明显好于异常年份.这与前人的预报方法一样,副高异常年份由于脊线变化过程较为复杂,所以预报会有一定难度.但是异常年份的短期预报误差也不超过7%,长期误差也不超过20%.所以预报结果仍然是可以接受的.总体来说,两种试验结果都还是比较好的,充分显示了我们的模型有比较好的普适性.
6.3 对于副高面积指数和西脊点指数的延伸实验副热带高压的整体预报不仅与副高脊线指数有关,还和副高面积指数和西脊点指数有关.一旦这三个指数都能预报准确,副高的整体预报就可以实现.面积指数和西脊点指数的定义可以采用中央气象台长期预报组(1976)的定义.面积指数的值越大,代表副热带强度越大,范围越广;西脊点指数越小,代表副热带高压位置越西.
依据历史数据,用相同的方法对异常年份的面积指数和西脊点指数进行预报.虽然方法相同,但是由于数据不同,选择的因子和预报模型并不和脊线指数相同,由于篇幅原因,这里就不详细叙述建模过程了.我们选择副高强度异常增强(面积指数较大)的四个年份(1998,2006,2003和1983)和西太副高强度异常减弱(面积指数较小)的五个年份(1984,2000,1994,1999和1985)进行副热带高压面积指数预报的实验.选择副热带高压脊线异常偏西(西脊点指数偏小)的四个年份(2010,2003,1989和1988)和副热带高压脊线异常偏东(西脊点指数偏大)的五个年份(1984,1985,2008,1994和1995)进行副热带高压西脊点指数预报的实验.三个指数的预报效果可以进行对比,结果如表 5所示.
|
|
表 5 副高三个指数异常年份的相关系数和最小均方根误差 Table 5 The correlation coefficients(C.C.)and root mean square errors(RMSE)between forecast value and real value of different events of WPSH three indexes |
从表 5可以看出,副高面积指数预报结果和副高脊线指数预报结果比较接近,在25天之内效果都较好.而西脊点指数的预报效果明显比脊线指数和面积指数要差,在25天之内误差接近15%.这可能是因为副高西脊点指数在建模过程中,选择的三个因子与其相关性平均在0.7左右,没有另外两个指数建模时候因子选择的显著性强.所以,西脊线指数的预报效果要比其他两个因子的预报效果稍微差一些.但是总体来说,25天以内,三个指数的预报效果都比较好,证明了我们的方法可以用于副热带高压的整体预报.
7 结论针对副热带高压活动机理复杂,中长期预报的困难,提出了用动力系统反演思想和改进自忆性原理相结合的方法从实际观测资料中反演建立了副高脊线指数动力预报模型,对于副高南北位置和异常活动的中长期预测具有一定的科学意义和实用价值;创新性地引入了最大李雅普诺夫指数改进了自忆性函数,使其对混沌系统更加具有针对性,并且通过了9次副高异常年份和8次副高正常年份的两种不同类型实验,充分证明了改进的模型对于副高的脊线指数具有较好的中长期预报效果.结果表明,对于中短期(1~25天)预报,模型预报效果很好,不仅预报出了副高脊线指数的变化趋势,误差也控制在了8%以内;对于长期(1~35天)预报,预报准确率随着积分时间增加逐渐降低,特别是最大积分步长31天之后,误差更加明显增大,但整体副高脊线指数变化趋势预报较为准确,平均误差也控制在20%以内,仍然在可以接受的范围.进一步将模型推广到对副热带高压的面积指数和西脊点指数的预报,也取得了较好的预报效果,证明此方法适合于副热带高压的整体预报.鉴于副热带高压发生发展机理的复杂性和影响制约因子的多样性(余丹丹等,2007; 祁莉,2008),本文研究方法和所建模型是一种较新的探索和尝试.
副高预报一直都比较困难.副高的预报问题,主要还是以下两类方法:数值预报与统计预报.对于数值预报,以欧洲中心中期数值预报模式为例子(李泽椿和陈德辉,2002),计算比较复杂并且效率不高,边界场的要求较高,造成计算结果的稳定性不好.对于统计预报,虽然可以比较充分地利用历史资料,但是却无法解释副高的物理机理(Kurihara,1989).而且统计预报的可靠性随着预报时间增加降低的很明显,一般一周之后预报的可信度就已经很低了(邹立维等,2009).而本文的改进模型不管是对副高异常年份还是正常年份的脊线指数预报,都取得了31天以内较好的预报效果,较传统的预报方法在预报时效有了较大的拓展和延伸.
改进模型取得较好的中长期预报效果的原因为:(1)将动力系统反演思想和改进自忆性原理相结合,动力系统反演方法克服了改进自忆性原理的动力核简单问题,而改进自忆性原理则客服了动力系统反演方法的积分初值单一的问题,两种方法取长补短,有机结合,使改进模型较用单一方法建立的副高脊线指数预报模型更加先进.(2)创新性地引入了最大李雅普诺夫指数,改进了传统的自忆性函数,使其更好地专门针对副高这种非线性混沌系统.(3)不管是动力系统反演思想还是改进自忆性原理,其参数的获得都是充分利用了历史观测资料,包含了较为充分的副高作用过程信息和影响因素,使建立的模型更加具有优越性,也使预报时效得到较大的拓展和延伸.
虽然改进模型预报效果较好,但仍有一些问题需要进一步完善:(1)模型中因子的具体的物理意义还没有清楚解释,特别是对其动力特性还要进一步分析.(2)预报准确率与记忆函数有很大关系,是否还可以找到更优的记忆函数提高长期预报准确率.这两个问题都是我们下一步准备工作的重心.
附录A 系统自忆性的数学原理根据曹鸿兴的研究(Cao,1993),一般来说,系统动态方程组可以写为如下形式:
|
(A1) |
J为整数,xi为第i个变量,λ为参数.公式(A1)反映了x的局地变化与源函数F的关系.时间集合 T =,其中t0为初始时次;空间集合 R =,其中ri为被考察的空间点.内积空间 L 2 :T × R 由内积来定义:
|
(A2) |
相应地定义范数:
|
L2完备化就得到 Hilbert 空间H. 可将多时次模式的解视为H中的广义解.在(A1)式中抹去i后,运用(A2)式定义的内积运算到(A1)式,引入一个记忆性函数β(r,t),我们可以获得
|
(A3) |
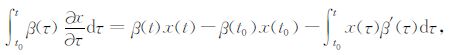
因为推导中固定在空间点r0上,所以β(r,t)中省写r.设所讨论的变量和函数皆连续、可微、可积,对(A3)式左边用分部积分可得
|
(A4) |
式中β′(t)=β(t)/t. 对(A4)式右边第三项运用微积分中的中值定理得
|
(A5) |
式中,中值xm(t0)≡x(tm),t0<tm <t. 将(A4)式和(A5)式代入(A1)式,经归并移行得
|
(A6) |
(A6)式的右边第一和第二项,只涉及到本空间点(即r0点)的初始时次t0和中间时刻tm的预报量x的值,故称它们为自忆项;而称第三项为他效项,即其他空间点对r0点在时间间隔 t0,t ]中的总效应.
对多个时次ti(i=-p,-p+1,…,t0,t)对(A3)式进行积分得
|
消去相同的项β(ti)x(ti)(i=-p+1,-p+2,…,0),得
|
(A7) |
为了简便,设置βt≡β(t),β0≡β(t0),xt≡x(t),x0≡x(t0),类似的符号可类推.(A7)式可以写成
|
(A8) |
设x-p≡x-p-1m,β-p-1=0,可以将(A8)式写成
|
(A9) |
我们称S1为自忆项,S2为他效项,我们称(A9)式为自忆性方程,它是我们后面进行预报和计算的基础.
| Cao H X. 1993. Self-memorization equation in atmospheric motion. Science China Chemistry , 36(7): 845–855. | |
| Chen X D, Xia J, Xu Q. 2009. Differential Hydrological Grey Model (DHGM) with self-memory function and its application to flood forecasting. Science in China Series E: Technological Sciences , 52(4): 1039–1049. | |
| Feng G L, Cao H X, Gu X Q, et al. 2001. Prediction of precipitation during summer monsoon with self-memorial model. Adv. Atmos. Sci. , 18(5): 701–709. | |
| Fraedrich K. 1987. Estimating weather and climate predictability on attractors. J. Atmos. Sci. , 44: 722–728. | |
| Gu X Q. 1998. A spectral model based on atmospheric self-memorization principle. Chinese Sci. Bull. , 43(20): 1692–1702. | |
| Hong M, Zhang R, Wu G X, et al. 2007. A non-linear dynamic system reconstruction of the subtropical high characteristic index based on genetic algorithm. Chinese Journal of Atmospheric Sciences (in Chinese) (in Chinese) , 31(2): 346–352. | |
| Huang L, He J H, Lu C H. 2012. Review and outlook of researches about western Pacific subtropical high. Journal of Arid Meteorology (in Chinese) (in Chinese) , 30(2): 255–260. | |
| Jia X J, Feng G L, Cao H X. 2003. Use of the mesoscale self-memorization model in the heavy rainfall forecasting experiments. Chinese Journal of Atmospheric Sciences (in Chinese) (in Chinese) , 27(2): 265–272. | |
| Jia X J, Zhu P J. 2010. Improving the seasonal forecast of summer precipitation in China using a dynamical-statistical approach. Atmospheric and Oceanic Science Letters , 3(2): 100–105. | |
| Jia X J, Lin H, Derome J. 2010. Improving seasonal forecast skill of North American surface air temperature in fall using a postprocessing method. Monthly Weather Review , 138(5): 1843–1857. | |
| Kazantsev E. 1999. Local lyapunov exponents of the quasi-geostrophic ocean dynamics. Appl. Math. Comput. , 104(2-3): 217–257. | |
| Kirkpatrick D. 1983. Optimal search in planar subdivisions. SIAM J. Comput. , 12(1): 28–35. | |
| Kurihara K. 1989. A climatological study on the relationship between the Japanese summer weather and the subtropical high in the western northern Pacific. Geophys. Mag. , 43: 45–104. | |
| Li Z C, Chen D H. 2002. The development and application of the operational ensemble prediction system at national meteorological center. Journal of Applied Meteorological Science (in Chinese) (in Chinese) , 13(1): 1–15. | |
| Lu R Y, Ding H, Ryu C S, et al. 2007. Midlatitude westward propagating disturbances preceding intraseasonal oscillations of convection over the subtropical western north Pacific during summer. Geophys. Res. Lett. , 34: L21702. doi: 10.1029/2007GL031277. | |
| Qi L, Zhang Z Q, He J H, et al. 2008. A probe into the maintaining mechanism of one type of the double-ridges processes of West Pacific subtropical high. Chinese J. Geophys. (in Chinese) (in Chinese) , 51(3): 682–691. | |
| Ren R C, Wu G X. 2003. On the short-term structure and formation of the subtropical anticyclone in the summer of 1998. Acta Meteorologica Sinica (in Chinese) (in Chinese) , 61(2): 180–195. | |
| Takens F M. Detecting Strange Attractors in Fluid Turbulence. Berlin: Springer, 1981 . | |
| The Central Meteorological Station Long-Term Forecasting Group. The Technology Experience of the Long Term Weather Forecast (Appendix) (in Chinese). (in Chinese) Beijing: Central Meteorological Observatory, 1976 . | |
| Udwadia F E, von Bremen H F. 2002. Computation of lyapunov characteristic exponents for continuous dynamical systems. Zeitschrift für angewandte Mathematik und Physik ZAMP , 53(1): 123–146. | |
| Von Bremen H F, Udwadia F E, Proskurowski W. 1997. An efficient QR based method for the computation of Lyapunov exponents. Physica D: Nonlinear Phenomena , 101(1-2): 1–16. | |
| Wang H J, Xue F. 2003. Interannual variability of somali jet and its influences on the inter-hemispheric water vapor transport and on the east Asian summer rainfall. Chinese Journal of Geophysics (in Chinese) (in Chinese) , 46(1): 18–25. | |
| Wang L. Intelligent Optimization Algorithms with Applications (in Chinese). (in Chinese) Beijing: Tsinghua University Press, 2001 . | |
| Wang X P, Cao L M. Genetic Algorithm Theory and its Software Implementation (in Chinese). (in Chinese) Xi'an: Xi'an Jiaotong University Press, 2002 . | |
| Wu G X, Chou J F, Liu Y M, et al. 2003. Review and prospect of the study on the subtropical anticyclone. Chinese Journal of Atmospheric Sciences (in Chinese) (in Chinese) , 27(4): 503–517. | |
| Xu H M, He J H, Zhou B. 2001. The features of atmospheric circulation during MeiYu onset and possible mehanisms for westward extension (northward shift) of pacific subtropical high. Quarterly Journal of Applied Metemorology (in Chinese) (in Chinese) , 12(2): 150–158. | |
| Xu X L, Xu H M, Si D. 2007. Relationship between June sustained torrential rain in South China and anomalous convection over the bay of Bengal. Journal of Nanjing Institute of Meteorology (in Chinese) (in Chinese) , 30(4): 463–471. | |
| Xue F, Wang H J, He J H. 2003. The influence of Mask Lin high and Australia high interannual variation to the East Asian summer monsoon precipitation. Chinese Science Bulletin (in Chinese) (in Chinese) , 48(3): 287–291. | |
| Yoden S, Nomura M. 1993. Finite-time lyapunov stability analysis and its application to atmospheric predictability. J. Atmos. Sci. , 50: 1531–1543. | |
| Yu D D, Zhang R, Hong M, et al. 2007. A characteristic correlation analysis between the Asia summer monsoon memberships and west Pacific subtropical high. Journal of Tropical Meteorology (in Chinese) (in Chinese) , 23(1): 78–84. | |
| Zhan R F, Li J P, He J H. 2005. Statistical characteristics of the double ridges of subtropical high in the Northern Hemisphere. Chinese Science Bulletin , 50(20): 2336–2341. | |
| Zhang Q Y, Tao S Y. 1999. The study of the sudden northward jump of the subtropical high over the Western Pacific. Acta Meteorologica Sinica (in Chinese) (in Chinese) , 57(5): 539–548. | |
| Zhang R, Yu Z H. 2000. Numerical and dynamical analyses of heat source forcing and restricting subtropical high activity. Adv. Atmos. Sci. , 17(1): 61–71. | |
| Zhang R, Hong M, Wang Z H, et al. 2008. Retrieval the non-linear dynamic forecast model of El Nino/La Nina index based on the genetic algorithm optimization. Chinese Journal of Geophysics (in Chinese) (in Chinese) , 51(5): 633–645. | |
| Zhang R, Peng P, Hong M, et al. 2013. Influence mechanism of equatorial SST on West Pacific subtropical high intensity: Fuzzy mapping diagnosis. Trans. Atmos. Sci. (in Chinese) (in Chinese) , 36(3): 267–276. | |
| Zou L W, Zhou T J, Wu B, et al. 2009. The interannual variability of summertime western Pacific subtropical high hindcasted by GAMIL CIiPAS experiments. Chinese Journal of Atmospheric Science (in Chinese) (in Chinese) , 33(5): 959–970. | |
| 洪梅, 张韧, 吴国雄, 等. 2007. 用遗传算法重构副热带高压特征指数的非线性动力模型. 大气科学 , 31(2): 346–352. | |
| 黄露, 何金海, 卢楚翰. 2012. 关于西太平洋副热带高压研究的回顾与展望. 干旱气象 , 30(2): 255–260. | |
| 贾晓静, 封国林, 曹鸿兴. 2003. 中尺度自忆模式在强降水预报中的应用. 大气科学 , 27(2): 265–272. | |
| 李泽椿, 陈德辉. 2002. 国家气象中心集合数值预报业务系统的发展及应用. 应用气象学报 , 13(1): 1–15. | |
| 祁莉, 张祖强, 何金海, 等. 2008. 一类西太平洋副热带高压双脊线过程维持机制初探. 地球物理学报 , 51(3): 682–691. | |
| 任荣彩, 吴国雄. 2003. 1998年夏季副热带高压的短期结构特征及形成机制. 气象学报 , 61(2): 180–195. | |
| 王会军, 薛峰. 2003. 索马里急流的年际变化及其对半球间水汽输送和东亚夏季降水的影响. 地球物理学报 , 46(1): 18–25. | |
| 王凌. 智能优化算法及其应用. 北京: 清华大学出版社, 2001 . | |
| 王小平, 曹立明. 遗传算法: 理论、应用与软件实现. 西安: 西安交通大学出版社, 2002 . | |
| 吴国雄, 丑纪范, 刘屹岷, 等. 2003. 副热带高压研究进展及展望. 大气科学 , 27(4): 503–517. | |
| 徐海明, 何金海, 周兵. 2001. 江淮入梅前后大气环流的演变特征和西太平洋副高北跳西伸的可能机制. 应用气象学报 , 12(2): 150–158. | |
| 许晓林, 徐海明, 司东. 2007. 华南6月持续性致洪暴雨与孟加拉湾对流异常活跃的关系. 南京气象学院学报 , 30(4): 463–471. | |
| 薛峰, 王会军, 何金海. 2003. 马斯克林高压和澳大利亚高压的年际变化及其对东亚夏季风降水的影响. 科学通报 , 48(3): 287–291. | |
| 余丹丹, 张韧, 洪梅, 等. 2007. 亚洲夏季风系统成员与西太平洋副高的相关特征分析. 热带气象学报 , 23(1): 78–84. | |
| 占瑞芬, 李建平, 河金海. 2005. 北半球副热带高压双脊线的统计特征. 科学通报 , 50(18): 2022–2026. | |
| 张庆云, 陶诗言. 1999. 夏季西太平洋副热带高压北跳及异常的研究. 气象学报 , 57(5): 539–548. | |
| 张韧, 洪梅, 王辉赞, 等. 2008. 基于遗传算法优化的ENSO指数的动力预报模型反演. 地球物理学报 , 51(5): 1346–1353. | |
| 张韧, 彭鹏, 洪梅, 等. 2013. 近赤道海温对西太平洋副高强度的影响机理—模糊映射诊断. 大气科学学报 , 36(3): 267–276. | |
| 中央气象台长期预报组. 长期天气预报技术经验总结. 北京: 中央气象台, 1976 . | |
| 邹立维, 周天军, 吴波, 等. 2009. GAMIL CliPAS试验对夏季西太平洋副热带高压的预测. 大气科学 , 33(5): 959–970. | |
2016, Vol. 59
