在近地层,湍流是大气运动的主要形式,引起各物理属性在地-气之间的交换输送,地表热量、水汽、CO2等物质的传输过程受到广泛关注(Jiang et al.,2013;刘树华等,2005a,2005b;徐自为等,2008),截至2014年4月全球通量观测站网络(FLUXNET)已有683个站点(http://fluxnet.ornl.gov/).涡动相关法(eddy covariance,EC)可以用来长期连续观测CO2、水汽和热通量,广泛应用于地气间通量交换的测量,已成为FLUXNET测量通量的主要技术手段(Baldocchi et al.,2001).EC建立在一定的假设之上,如湍流平稳、下垫面水平均匀、湍流充分发展、存在常通量层等(Foken and Wichura,1996),而在黄土高原复杂下垫面上,这些假设条件通常难以得到满足,地形起伏对EC测量通量有重要影响(王介民等,2007).如何准确地计算近地层通量一直受到地球科学界的重视(丁一汇,1997;姜海梅等,2013;刘树华等,2005c,2009),已有不少学者对湍流资料处理和质量控制进行研究:Mauder等(2006)通过对LITFASS-2003实验中14个测点的数据进行总体质量检验,发现80%的潜热通量为高质量数据;Göckede等(2008)将拉格朗日随机足迹模型与质量评价相结合应用到CarboEurope的25个森林测站来研究通量测量的空间代表性、仪器以及坐标旋转方法对湍流通量的影响;王少影等(2009)讨论了在绿洲和戈壁测站不同坐标旋转方法对摩擦速度、感热、潜热通量和湍流平稳性检验以及总体湍流特征检验的影响;朱治林等(2004)讨论了在非平坦、非均匀下垫面上,仪器安装不垂直在EC计算通量时可能产生的误差及其校正方法,对比分析了不同坐标旋转方法的校正效果和适用条件;在平坦均匀下垫面上,谌志刚等(2008)的分析发现,平面拟合方法优于三次坐标旋转方法;姜海梅等(2012)运用EBEX-2000实验的湍流、净辐射和土壤观测资料,运用涡动相关方法分析了非均匀灌溉引起的热内边界层发展条件下近地层感热、潜热通量特征,并对有无灌溉两种条件下的能量闭合度进行了对比分析.黄土高原半干旱地区面积广阔,其陆气相互作用不仅对西北干旱气候的形成以及东亚季风环流有着不可忽视的影响,同时对全球气候和大气环流的变化也可能产生比较重要的作用(杨文治和邵明安,2000).这一区域的陆气相互作用问题已经成为我国迫切需要研究的重要基础性科学问题之一.在黄土高原复杂下垫面上,地形起伏,沟壑纵横,植被稀疏,湍流更为复杂,而关于湍流资料处理和质量控制的研究较少,获取高质量通量数据对深入认识该地区地气交换特征非常必要.
本文主要讨论在黄土高原复杂地形上各种湍流资料处理方法对EC观测结果的影响,应用超声虚温订正、坐标旋转、空气密度脉动订正以及平稳性检验、总体湍流特征检验、总体质量分级处理方法,对兰州大学半干旱气候与环境观测站(Semi-Arid Climate and Environment Observatory of Lanzhou University,SACOL)2008年11月1日至21日的10 Hz原始湍流观测数据进行了质量控制,有效地减少了因地形等原因造成的湍流观测数据附加误差,使其湍流观测数据质量得到提高.根据SACOL风向特点使用分风区平面拟合方法,着重关注二次坐标旋转、平面拟合及分风区平面拟合的适用性,进而分析SACOL所代表的黄土高原复杂地形上近地层湍流特征.
2 观测资料SACOL建立于2005年,位于海拔高度为1965.8 m的萃英山顶(35.95°N,104.13°E),距兰州市中心约48 km,位于中国黄土高原半干旱区,下垫面为典型的黄土高原残塬地貌,沟壑纵横,土壤为第四纪黄土风蚀形成的灰钙土.拥有国际先进的观测仪器,是继中国科学院吉林通榆站之后,第二个由我国自主建设的半干旱区长期观测站.已被批准加入国际协同观测计划项目(The Coordinated Enhan-ced Observing Period),并作为此计划的全球协同加强观测站之一(Huang et al.,2008;梁捷宁等,2014).
通量观测场地较为平坦,东西方向约200 m,南北方向约1000 m.地表为长芒草、冷蒿、赖草等短小植被覆盖,冬季地表植被高约0.10 m(Huang et al.,2008;梁捷宁等,2014).
涡动相关系统分别利用三维超声风温仪(CSAT3,Campbell)测量u,v,w三维风速和超声虚温Ts,开路红外CO2/H2O气体分析仪(LI7500,LI-COR)测量CO2和H2O密度,感应器采样频率为10 Hz,观测高度为3 m,数据采集器(CR5000,Campbell).
2008年夏季对观测仪器进行校准,此后数据可信度较高.冬季下垫面植被低矮稀疏,对湍流通量影响较小,故选取2008年11月1日至21日的10 Hz原始观测数据,资料完好率高,由于11月3日数据中有大量异常值出现,所以剔除11月3日全天数据.
3 分析方法 3.1 涡动相关方法涡动相关方法由澳大利亚微气象学家Swinbank于1951年提出(Swinbank,1951),某物理量X的垂直湍流通量定义为
|
(1) |
其中,w、x分别是垂直速度和物理量的浓度,T为平均时间.根据雷诺平均w=w+w',χ=χ+χ'(-表示平均值,′表示脉动值),得垂直通量FX=wχ+w'χ',wχ为垂直平流项,w'χ'为湍流通量项.假设下垫面均匀平坦,即w=0,则FX=w'χ'.感热通量(H),潜热通量(LvE),碳通量(Fc),动量通量(τ)分别表示为:
|
(2) |
|
(3) |
|
(4) |
|
(5) |
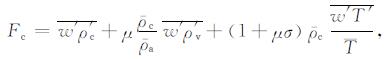
其中,ρ是空气密度(kg·m-3),cp=cpd(1+0.84q)是湿空气比热(J/(kg·K)),cpd=1004.67 J/(kg·K)为干空气比热,q是比湿;Lv是汽化潜热,在计算潜热时应考虑温度的影响:Lv=(2.501-0.00237T)×106 J·kg-1,ρv是水汽绝对密度(kg·m-3);ρc是CO2绝对密度(mg·m-3); w′,u′,v′,T′s 分别代表三维风速分量和超声虚温的扰动值,u*为摩擦速度(m·s-1).
3.2 数据处理方法 3.2.1 野点剔除和插补对x的10 Hz原始观测数据,以5 min为移动窗口,计算每个窗口的平均值及标准偏差SDx,如果某时刻x满足|x-x|≥3.25×SDx,且连续满足此条件点的个数小于4,则视之为野点,对野点剔除并用其相邻两侧的测量值做线性内插进行插补(Vickers and Mahrt,1997).
3.2.2 超声虚温订正超声风速计测得的温度为超声虚温Ts,受湿度影响.计算温度和感热通量时应考虑湿度订正.Schotanus等(1983)提出超声虚温的订正方法,Aubinet等(2011)对其进行简化,
|
(6) |
|
(7) |
坐标旋转方法主要有二次坐标旋转(double rotation,DR)、三次坐标旋转(triple rotation,TR)和平面拟合(planar fit,PF),三次坐标旋转在计算应力时误差较大,已不推荐使用(Kaimal and Finnigan,1994).
(1) 二次坐标旋转
DR(Kaimal and Finnigan,1994)首先将x-y平面绕z轴旋转,使得v=0,
|
(8) |
|
(9) |
|
(10) |
|
(11) |
其中u0,v0,w0为观测值,u1,v1,w1为第一次坐标旋转后的速度分量,第一次旋转后x轴平行于平均气流,然后将x-z平面绕y轴旋转,进行第二次坐标旋转,使得w=0.
u2,v2,w2为第二次坐标旋转后的速度分量,经过两次旋转后,v2=0,w2=0.
(2) 平面拟合
PF(Wilczak et al.,2001)是根据一个较长的时段,本文选取2008年1日至21日(3日除外)20天的数据,确定一个与地面平行的平均风场,并将各时次的u,v,w旋转到该平面上.利用u,v,w的30 min平均值计算方程组,
|
(16) |
|
(17) |
|
(18) |
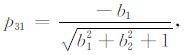
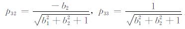
求得b0,b1,b2进而确定各p值,

|
(19) |
把逐时次的u,v和w旋转到此平面上,实现坐标旋转,
|
(20) |
温度和湿度扰动会引起关注的微量气体浓度变化,影响湍流通量测量,对水汽通量(Fv)和CO2通量(Fc)需进行WPL订正以消除密度效应的影响.
|
(21) |
|
(22) |
其中μ=1.6,为干空气与水汽分子量之比,σ=ρv/ρa,为水汽和干空气密度之比,ρa为干空气密度(Webb et al.,1980).WPL订正在水汽通量上是加一个感热通量订正项,在CO2通量上是加一个水汽通量和一个感热通量订正.
4 结果与讨论 4.1 超声虚温订正和WPL订正超声虚温订正结果(w′T′相对w′T′s的减小程度)如表 1所示.DR得到的感热通量经过超声虚温订正减小了7.3%,PF得到的感热通量减小了5.9%.Liu等(2001)利用LITFASS-1998实验数据做了相似的研究,实验期间测站植被高度约为0.1 m,植被覆盖率低于10%,研究表明稳定和不稳定条件下超声虚温订正的效果不同,在稳定条件下订正后的w′T′减小10%,不稳定条件下w′T′减小30%.在SACOL,冬季下垫面与LITFASS-1998实验相似,经过超声虚温订正后稳定条件下DR得到的w′T′减小8.5%,PF得到的w′T′减小3.5%,不稳定条件下DR得到的w′T′减小5.5%,PF得到的w′T′减小9.4%.Liu等(2001)认为超声虚温订正因稳定度的差异而订正效果不同,在稳定条件下订正前后差异较小是由于夜间稳定层结空气中水汽含量少而引起,但在使用相同时间数据的前提下(水汽含量、平均温度相同),PF得到的结果与Liu等相似,而DR在稳定条件下w′T′订正前后的差异高于不稳定条件,与Liu等的研究结果是相反的,所以水汽含量的多少不能完全解释超声虚温订正前后感热通量的差异,可能还与坐标旋转得到的垂直速度大小有一定关系.
|
|
表 1 超声虚温订正结果(百分比为(w′T′s-w′T′)/w′T′s) Table 1 Comparison of sonic temperature correction of DR and PF |
图 1为WPL订正前后潜热通量和碳通量对比.由图 1a,1c可知,潜热通量日变化为白天高,最高可达120 W·m-2,夜间基本低于5 W·m-2.WPL订正使潜热通量总体增加了7.4%,白天增加5.6%,夜间降低3.4%,这与感热输送方向的昼夜差异有关.白天,向上输送的感热加热空气,使观测高度处水汽密度减小,导致EC对水汽通量的观测值偏低,夜间则相反.由图 1b,1d可看出,向下的CO2通量在正午前后达到最高,向上的最高值出现在0时左右.白天,植物光合作用吸收大气中的CO2,形成向下的CO2通量,并于正午达到最强;夜间,植物呼吸作用释放出CO2,使得CO2通量向上传递,形成一峰一谷的日变化趋势.总体上,WPL订正使CO2通量降低了72.2%,白天向下的CO2通量降低64.7%,夜间向上的CO2通量降低23.4%.
|
图 1 潜热通量(a, c)和碳通量(b, d)的WPL订正(2008年11月1—6日,3日除外) Fig. 1 WPL correction of latent heat flux (a, c) and CO2 flux (b, d) (1—6 Nov 2008 except 3rd) |
图 2A为原始、DR和PF得到的观测资料经过超声虚温订正和WPL订正后的u*、Fc、LvE和H的对比.不同坐标旋转方法对Fc、LvE和H的结果影响很小;坐标旋转剔除了仪器倾斜引起的侧向应力的影响,DR和PF分别使u*减小6%和3%.图 2B比较了两种坐标旋转方法得到的通量值,可以看出,两种方法的H和LvE相差不多,PF得到的Fc较DR偏低,而PF得到的u*比DR高6.18%,这表明两种坐标旋转方法得到的三维风速有较大差异.
|
图 2 DR、PF得到的各通量对比(2008年11月1—21日,3日除外) Fig. 2 Comparison of DR and PF fluxes during 1—21 Nov 2008 (except 3rd) |
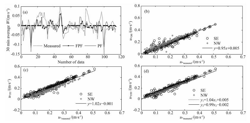
利用20天的风向做风向玫瑰图(图 3),可知SACOL主导风向为东南风和西北风.沿不同风向,地形有较大差异,为此分别选取风向范围为100°~150°和280°~330°的观测资料做平面拟合,称为分风区平面拟合法(fetch planar fit,FPF).
|
图 3 SACOL 2008年11月1—21日风向频数分布 Fig. 3 Frequency distribution of wind directions during 1—21 Nov 2008 |
坐标旋转目的在于使w=0,DR是在某一时间段(如30 min)上的平均,PF是在一个较长的时间段(如数日)上得到一个平均平面,而不要求短时段上的平均垂直速度为零.图 4a为分别经FPF和PF校正后30 min平均的垂直速度,可以看出PF校正后的平均垂直速度一般小于未校正的平均垂直速度,但不全为零,FPF对垂直速度的校正效果较PF有明显提高,大部分垂直速度满足w=0.在复杂如SOCAL的地形条件下,PF很难拟合出一个理想的平面对各个风向的风都能有很好的校正,根据风向分别进行拟合的FPF能更好地适应实际下垫面,提高计算精度.FPF和PF得到的LvE、H和Fc差异很小,u*差异很大(图未列出).提取风向在100°~150°和280°~330°范围的资料,比较了分别使用DR、PF和FPF计算所得的u*(图 4b,4c,4d).结果表明DR对u*的订正效果与风向无关,只考虑主导风向DR相对原始的u*减小了5%;而PF和FPF对u*的订正效果与湍流交换强度和风向有关:随着湍流交换增强(u*>0.3 m·s-1)逐渐呈现出东南风区(SE)订正后的值要高于西北风区(NW)订正后的值,NW风区的拟合效果要比SE风区好,且不管使用哪种坐标旋转u*的高值都位于SE风区,这是由SE方向地形高度差大于其他方向,地形抬升作用引起的加速较明显造成的(鲍靖,2012).PF在SE风区使u*增大了9.23%,在NW风区使u*减小3.86%;而FPF在SE风区使u*增大了10.09%,在NW风区使u*减小1.18%.
|
图 4 三种坐标旋转对比 (a) 未订正、PF订正、FPF订正垂直速度比较; (b) DR、(c)PF、(d)FPF对u*订正结果. Fig. 4 Comparison of three coordinate rotations (a) Vertical velocity without correction, with PF correction and PDF correction; (b) u* with DR correction;(c) u* with PF correction; (d) u* with FPF correction. |
根据Foken和Wichura(1996)提出的方法,将30 min长度的时间窗区分成M个(M=6)时长为5 min的子窗区,每个子窗区有N个(N=3000)数据点,计算每个子窗区的协方差,
|
(23) |
6个子窗区的平均协方差为:
|
(24) |
结合30 min的协方差,
|
(25) |
定义湍流平稳性检验指数:
|
(26) |
如果SS<30%,该时间段内湍流平稳.根据SS按表 2所示的分类方法对观测数据进行等级划分.图 5是20天的数据湍流平稳性质量等级频率分布,图 5a和图 5b分别代表采用DR和PF进行坐标旋转所得的结果.不管是对于DR还是PF,都有64%的CO2通量,74%的潜热通量,85%的感热通量平稳性检验质量较高(质量等级1~3),但两种坐标旋转方法所得动量通量(w′u′,w′v′)相差很多,DR得到的动量通量有75%的w′u′和57%的w′v′平稳性等级为1~3,PF得到的动量通量有60%的w′u′和74%的w′v′平稳性较好.DR得到的w′u′平稳性比w′v′好,而PF得到的w′v′平稳性比w′u′好,进一步表明了摩擦速度对坐标旋转的敏感性.
|
|
表 2 湍流平稳性和ITC检验质量划分 Table 2 Classification of data quality by steady state test and ITC test |
|
图 5 两种坐标旋转方法的SST质量等级频率分布 (a) DR; (b) PF. Fig. 5 Frequency distributions of quality level for steady state with different coordinate corrections |
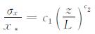
总体湍流特征检验是对湍流是否充分发展的检验,如果湍流充分发展,Monin-Obukhov相似理论成立,在近地层中,归一化无量纲参数只是大气稳定度的函数,即










|
图 6 不稳定条件下T、u、w的无量纲标准差与大气稳定度z/L在(a,b,c)DR和(d,e,f)PF两种坐标旋转方法下的相似性关系 Fig. 6 Standard deviations of temperature normalized by T* , and horizontal (u) , vertical velocity (w) normalized by u* as a function of stability (z/L) under unstable stratifications of DR (a,b,c) and PF (d,e,f) |
由于u*<0.1 m·s-1时EC对湍流通量观测存在较大误差(Zuo et al.,2009),在考察无量纲标准差与大气稳定度关系时,剔除了u*<0.1 m·s-1时的资料.由图 6,无论是采用哪种坐标旋转方法,垂直速度、温度的无量纲标准差对稳定度的拟合情况较好.张宏升等(2004)认为σw/u*和σT/T*主要受近地层局地特征尺度影响,尺度相对较小,而σu/u* 并不完全取决于近地层局地特征尺度,在强不稳定条件下,其影响尺度为混合层尺度.Wyngaard和Coté(1971)、Kaimal等(1982)的研究也表明σw/u* 能较好地满足相似性关系且与地形无关.这是由于垂直方向以小尺度高频湍涡为主,尺度小的湍涡对地形变化的适应较快,地形起伏变化及下垫面物理特性差异对垂直风速的统计量影响较小,即黄土高原复杂下垫面不稳定条件下的 σw/u* 与平坦下垫面接近且较好地满足相似性关系(Moraes,2000;Al-Jiboori,2001).水平方向的风速脉动主要由尺度较大的准水平湍流产生,一般为几百米甚至更大,对地形的适应较慢,观测到的气流一般会“记忆”着上风方向的地形特点,产生较大的方差(赵鸣等,1991).根据两种坐标旋转方法得到的相似性关系得出SOCAL的无量纲参数和稳定度的关系,即c1,c2的值(表 3).
|
|
表 3 不同参数化方案各稳定度对应的c1,c2 Table 3 Values of c1 and c2 of different parameterization schemes |
根据Foken和拟合出SACOL的c1,c2分别计算模拟出的归一化标准差,得出ITC指数,进行质量分类如图 7.采用DR进行坐标旋转时,SACOL参数化方案得到u,w,T相对于Foken参数化方案得到的质量明显提高,即高质量频率分布增大,低质量频率分布减小.采用PF进行坐标旋转时,SACOL参数化方案得到的w和T质量有明显提高,但u的质量无明显变化.SACOL参数化方案对两种坐标旋转方法的适用性较好.不管是采用哪种坐标旋转方法和参数化方案,w的质量都要比u和T高,这说明湍流方差相似理论对w的适用性最好.
|
图 7 不同的参数化方案下两种坐标旋转的ITC检验质量等级频率分布 (a, b)Foken参数化方案;(c, d) SACOL参数化方案. (a, c) DR; (b, d) PF. Fig. 7 Frequency distributions of quality level for ITC test using different parameterization schemes (a, b) Foken parameterization scheme; (c, d) SACOL parameterization scheme. |
将资料进行湍流平稳性检验和ITC检验是为了筛选出高质量数据,以用于进一步的研究.为了方便使用,Lee等(2005)提出了一套总体质量的划分方法,见表 4.质量等级为1~3的为高质量数据,可用于基本研究,例如参数化方案的发展;质量等级为4~6的为中等质量数据,可用于长期观测资料处理;质量等级为7~9的为低质量数据,应舍弃,必要时对缺失数据做插补.
|
|
表 4 总体湍流质量分级 Table 4 Overall quality classification |
表 5给出了分别采用DR、PF和FPF进行坐标变换时,所得湍流通量总体质量分布情况.66%~68%的感热通量、62%~65%的潜热通量和52%~54%的CO2通量为高质量数据,坐标旋转对这三者的总体质量影响不大,PF相比DR得到的高质量数据所占比例提高2%~3%,但对于摩擦速度,PF得到的高质量u*只占45%,这与Zuo等(2009)的研究结果一致:复杂地形导致PF得到的u*质量不高,需进一步研究以提高u*质量;而DR得到的高质量u*占到62%,相较于PF,DR能够将高质量数据所占比例提高17%.为了与FPF得到的u*数据质量进行比较,选取主导风向资料进行分析.由于使用DR和PF两种坐标旋转方法时,利用全部风向数据确定旋转角度,即便有非主导风向的影响,但主导风向在决定旋转角度时仍占主导地位,因此当剔除非主导风向时,PF和DR得到的u*质量也得到提高.FPF得到的高质量u*占61%,比PF有明显提高,但DR得到的u*质量仍然是最高的.Wilczak等(2001)指出:平均垂直速度的抽样误差可能导致DR的倾角估计误差,增加纵向应力的随机噪声,从而导致应力计算的不确定性,PF使用的数据量增加,有效减小了随机误差.朱治林等(2004)研究表明:在复杂的地形条件下,PF方法是不合适的.综合兼顾数据质量和计算工作量,在复杂地形上处理湍流观测资料的最优坐标旋转方法是DR.
|
|
表 5 不同坐标旋转方法得到的H,LvE,Fc和u*总体质量 Table 5 Overall quality of H, LvE, Fc and u* using different coordinate rotations |
利用SACOL的湍流通量观测资料,比较分析了DR、PF、FPF坐标旋转方法在黄土高原复杂地形上的适用性.应用超声虚温订正、坐标旋转、空气密度脉动订正以及平稳性检验、总体湍流特征检验、总体质量分级处理对原始观测数据进行处理和质量控制,有效地减少了因地形等原因造成的湍流观测数据附加误差,使湍流观测数据质量得到提高.
(1) DR和PF得到的感热通量经过超声虚温订正分别减小了7.3%和5.9%,且稳定度会影响超声虚温订正效果.WPL订正使潜热通量增加了7.4%、CO2通量减小72.2%.
(2) 经过DR和PF订正,u*分别减小6%和3%.只考虑主导风向,DR对u*的订正效果与风向无关,随着湍流交换强度增大(u*>0.3 m·s-1),PF和FPF逐渐呈现出SE风区的订正值高于NW风区的订正值,PF在SE风区使u*增大了9.23%,在NW风区使u*减小3.86%;而FPF在SE风区使u*增大了10.09%,在NW风区使u*减小1.18%.
(3) 在ITC检验中得到的SACOL参数化方案对两种坐标旋转方法的适用性都比较好.
(4) 采用DR得到的高质量数据比例与采用PF相比,u*提高了17%,感热通量、潜热通量、CO2通量略降低2%~3%.PF和FPF两种结果的差别主要体现在u*上,只考虑主导风向数据DR得到的u*质量仍最好.综合兼顾数据质量和计算工作量,在复杂地形上处理湍流观测资料的最优坐标旋转方法是DR.
致谢感谢兰州大学半干旱气候与环境观测站(SACOL)为本文提供涡动相关等数据资料.感谢审稿专家的评议意见.
| Al-Jiboori M H, Xu Y M, Qian Y F. 2001. Turbulence characteristics over complex terrain in west China. Boundary-Layer Meteorology , 101(1): 109–126. | |
| Aubinet M, Vesala T, Papale D. Eddy Covariance: A Practical Guide to Measurement and Data Analysis. New York: Springer, 2011 . | |
| Baldocchi D, Falge L, Gu L H, et al. 2001. FLUXNET: A new tool to study the temporal and spatial variability of ecosystem-scale carbon dioxide, water vapor, and energy flux densities. Bull. Amer. Meteor. Soc. , 82(11): 2415–2434. | |
| Bao J. 2012. Study on land-atmosphere interaction in surface layer over semi-arid Loess Plateau of China[Ph. D. thesis] (in Chinese). Lanzhou: Lanzhou University. | |
| Chen Z G, Bian L G, Lu L H, et al. 2008. Contrast and application of tilt correction methods for eddy covariance measurement. Meteor. Sci. Technol. (in Chinese) , 36(3): 355–359. | |
| Ding Y H. 1997. On some aspects of estimates of the surface fluxes. Quarterly Journal of Applied Meteorology (in Chinese) , 8(S): 29–35. | |
| Foken T, Wichura B. 1996. Tools for quality assessment of surface-based flux measurements. Agricultural and Forest Meteorology , 78(1-2): 83–105. | |
| Foken T. 2008. The energy balance closure problem: An overview. Ecol. Appl. , 18(6): 1351–1367. | |
| Göckede M, Foken T, Aubinet M, et al. 2008. Quality control of CarboEurope flux data-Part 1: Coupling footprint analyses with flux data quality assessment to evaluate sites in forest ecosystems. Biogeosciences , 5(2): 433–450. | |
| Huang J P, Zhang W, Zuo J Q, et al. 2008. An overview of the semi-arid climate and environment research observatory over the loess plateau. Adv. Atmos. Sci. , 25(6): 906–921. | |
| Jiang H M, Liu S H, Liu H P. 2012. A study on energy budget characteristics over a heterogeneously irrigated cotton field. Chinese J. Geophys. , 55(2): 428–440. doi: 10.6038/j.issn.0001-5733.2012.02.007. | |
| Jiang H M, Liu S H, Zhang L, et al. 2013. A study of turbulent heat flux corrections and energy balance closure problem on the surface layer in EBEX-2000. Acta Scientiarum Naturalium Universitatis Pekinensis (in Chinese) , 49(3): 443–451. | |
| Jiang H M, Liu S H, Liu H P. 2013. Spectra and cospectra of turbulence in an internal boundary layer over a heterogeneously irrigated cotton field. Acta Meteor. Sin. , 27(2): 233–248. | |
| Kaimal J C, Finnigan J J. Atmospheric Boundary Layer Flows: Their Structure and Measurement. Oxford: Oxford University Press, 1994 . | |
| Kaimal J C, Eversole R A, Lenschow D H, et al. 1982. Spectral characteristics of the convective boundary layer over uneven terrain. J. Atmos. Sci. , 39(5): 1098–1114. | |
| Lee X H, Massman W, Law B. Handbook of Micrometeorology: A Guide for Surface Flux Measurement and Analysis. Netherlands: Springer, 2005 . | |
| Liang J N, Zhang L, Tian P F, et al. 2014. Impact of low-level jets on turbulent in nocturnal boundary layer over complex terrain of the Loess Plateau. Chinese J. Geophys. , 57(5): 1387–1398. doi: 10.6038/cjg20140504. | |
| Liu H P, Peters G, Foken T. 2001. New equations for sonic temperature variance and buoyancy heat flux with an omnidirectional sonic anemometer. Boundary-Layer Meteorology , 100(3): 459–468. | |
| Liu S H, Li J, Liu H P, et al. 2005a. Characteristics of macroturbulence variables in EBEX-2000. Chin. J. Atmos. Sci. (in Chinese) , 29(4): 503–509. | |
| Liu S H, Liu H P, Li J, et al. 2005b. Characteristics of turbulence dissipation rates, characteristic length scales and structure parameters in EBEX-2000. Chin. J. Atmos. Sci. (in Chinese) , 29(3): 475–481. | |
| Liu S H, Hu Y, Hu F, et al. 2005c. Numerical simulation of land-atmosphere interaction and oasis effect over oasis-desert. Chinese J. Geophys. , 48(5): 1019–1027. doi: 10.3321/j.issn:0001-5733.2005.05.007. | |
| Liu S H, Mao Y H, Hu F, et al. 2009. A comparative study of computing methods of turbulent fluxes on different underling surfaces. Chinese J. Geophys. (in Chinese) , 52(3): 616–629. | |
| Mauder M, Liebethal C, Göckede M, et al. 2006. Processing and quality control of flux data during LITFASS-2003. Boundary-Layer Meteorology , 122(1): 67–88. | |
| Moraes O L L. 2000. Turbulence characteristics in the surface boundary layer over the South American Pampa. Boundary-Layer Meteorology , 96(3): 317–335. | |
| Schotanus P, Nieuwstadt F T M, De Bruin H A R. 1983. Temperature measurement with a sonic anemometer and its application to heat and moisture fluxes. Boundary-Layer Meteorology , 26(1): 81–93. | |
| Swinbank W C. 1951. The measurement of vertical transfer of heat and water vapor by eddies in the lower atmosphere. J. Meteor. , 8(3): 135–145. | |
| Vickers D, Mahrt L. 1997. Quality control and flux sampling problems for tower and aircraft data. J. Atmos. Oceanic. Technol. , 14(3): 512–526. | |
| Wang J M, Wang W Z, Ao Y H, et al. 2007. Turbulence flux measurements under complicated conditions. Adv. Earth Sci. , 22(8): 791–797. doi: 10.3321/j.issn:1001-8166.2007.08.004. | |
| Wang S Y, Zhang Y, Lü S H, et al. 2009. The preliminary study on turbulence data quality control of Jinta oasis. Plateau Meteorology (in Chinese) , 28(6): 1260–1273. | |
| Webb E K, Pearman G I, Leuning R. 1980. Correction of flux measurements for density effects due to heat and water vapour transfer. Quart. J. Roy. Meteor. Soc. , 106(447): 85–100. | |
| Wilczak J M, Oncley S P, Stage S A. 2001. Sonic anemometer tilt correction algorithms. Boundary-Layer Meteorology , 99(1): 127–150. | |
| Wyngaard J C, Coté O R. 1971. The budgets of turbulent kinetic energy and temperature variance in the atmospheric surface layer. J. Atmos. Sci. , 28(2): 190–201. | |
| Xu Z W, Liu S M, Gong L J, et al. 2008. A study on the data processing and quality assessment of the eddy covariance system. Adv. Earth Sci. , 23(4): 357–370. doi: 10.3321/j.issn:1001-8166.2008.04.005. | |
| Yang W Z, Shao M A. The Research of the Loess Plateau Soil Moisture. (in Chinese) Beijing: Science Press, 2000 . | |
| Zhang H S, Li F Y, Chen J Y. 2004. Statistical characteristics of atmospheric turbulence in different underlying surface conditions. Plateau Meteorology (in Chinese) , 23(5): 598–604. | |
| Zhao M, Miao M Q, Wang Y C. Boundary-Layer Meteorology. (in Chinese) Beijing: China Meteorological Press, 1991 . | |
| Zhu Z L, Sun X M, Yuan G F, et al. 2004. Correcting method of eddy covariance fluxes over non-flat surfaces and its application in China FLUX. Sci. China Ser. D: Earth Sci. , 48(S1): 42–50. | |
| Zuo J Q, Huang J P, Wang J M, et al. 2009. Surface turbulent flux measurements over the loess plateau for a semi-arid climate change study. Adv. Atmos. Sci. , 26(4): 679–691. | |
| 鲍婧. 2012. 黄土高原半干旱区近地层陆气相互作用研究[博士论文]. 兰州: 兰州大学. | |
| 谌志刚, 卞林根, 陆龙骅, 等. 2008. 涡度相关仪倾斜订正方法的比较及应用. 气象科技 , 36(3): 355–359. | |
| 丁一汇. 1997. 地表通量的计算问题. 应用气象学报 , 8. | |
| 姜海梅, 刘树华, 刘和平. 2012. 非均匀灌溉棉田能量平衡特征研究. 地球物理学报 , 55(2): 428–440. | |
| 姜海梅, 刘树华, 张磊, 等. 2013. EBEX-2000湍流热通量订正和地表能量平衡闭合问题研究. 北京大学学报(自然科学版) , 49(3): 443–451. | |
| 梁捷宁, 张镭, 田鹏飞, 等. 2014. 黄土高原复杂地形上边界层低空急流对近地层湍流的影响. 地球物理学报 , 57(5): 1387–1398. | |
| 刘树华, 李洁, 刘和平, 等. 2005a. 在EBEX-2000实验资料中的湍流宏观量特征. 大气科学 , 29(4): 503–509. | |
| 刘树华, 刘和平, 李洁, 等. 2005b. 在EBEX-2000实验资料中湍流耗散率、长度尺度和结构参数特征. 大气科学 , 29(3): 475–481. | |
| 刘树华, 胡予, 胡非, 等. 2005c. 沙漠-绿洲-陆-气相互作用和绿洲效应的数值模拟. 地球物理学报 , 48(5): 1019–1027. | |
| 刘树华, 茅宇豪, 胡非, 等. 2009. 不同下垫面湍流通量计算方法的比较研究. 地球物理学报 , 52(3): 616–629. | |
| 王介民, 王维真, 奥银焕, 等. 2007. 复杂条件下湍流通量的观测与分析. 地球科学进展 , 22(8): 791–797. | |
| 王少影, 张宇, 吕世华, 等. 2009. 金塔绿洲湍流资料的质量控制研究. 高原气象 , 28(6): 1260–1273. | |
| 徐自为, 刘绍民, 宫丽娟, 等. 2008. 涡动相关仪观测数据的处理与质量评价研究. 地球科学进展 , 23(4): 357–370. | |
| 杨文治, 邵明安. 黄土高原土壤水分研究. 北京: 科学出版社, 2000 . | |
| 张宏升, 李富余, 陈家宜. 2004. 不同下垫面湍流统计特征研究. 高原气象 , 23(5): 598–604. | |
| 赵鸣, 苗曼倩, 王彦昌. 边界层气象学教程. 北京: 气象出版社, 1991 . | |
| 朱治林, 孙晓敏, 袁国富等. 2004. 非平坦下垫面涡度相关通量的校正方法及其在ChinaFLUX中的应用. 中国科学D辑: 地球科学, 34(S2): 37-45. | |
2016, Vol. 59

