2. 中国气象局兰州干旱气象研究所, 甘肃省干旱气候变化与减灾重点实验室, 中国气象局干旱气候变化与减灾重点实验室, 兰州 730020;
3. 兰州大学大气科学学院, 兰州 730000
2. Institute of Arid Meteorology, CMA;Key Laboratory of Arid Climatic Change and Reducing Disaster of Gansu Province;Key Laboratory of Arid Climatic Change and Disaster Reduction of CMA, Lanzhou 730020, China;
3. College of Atmospheric Sciences, Lanzhou University, Lanzhou 730000, China
地气之间的动量、能量和物质交换,深刻影响着全球大气环流和气候系统,是极端天气形成和气候变化的关键环节之一(张强和王胜,2008).潜热、感热通量是反映地表与大气相互作用的关键性参量,对其进行准确的观测分析,有利于更好地研究边界层的微气象理论以及改善各种尺度气象预报模式、污染扩散和空气质量模式的次网格参数化方法,对天气气候预报、水循环过程分析、农业和水资源管理等意义重大(Dickinson,1995;卢俐等,2005;彭谷亮等,2007).
涡动相关仪(Eddy Covariancesystem,ECS)是当前公认最精确的通量观测系统.但从理论上讲,ECS是单点观测,数据的空间代表性有限,应用于 非均匀下垫面有局限性(刘绍民等,2010;Liu et al.,2013).大孔径闪烁仪(Large Aperture Scintillometer,LAS)的出现较好地解决了传统观测(ECS)的问题,它可以测量几百米到数公里甚至10 km以上的路径平均感热通量,适合于非均匀下垫面观测.正是由于这一优势,近年来该方法在国内外很多通量观测实验中获得日益广泛的应用.随着LAS的广泛应用,关于LAS与公认的通量观测技术ECS测量感热通量差异的研究也越来越多.当前有不少研究(Hoedjes et al.,2007;白洁等,2010;Liu et al.,2011)表明下垫面的不均匀性是导致两者观测差异 的一个重要原因.但以往的研究多以定性分析为主,很少定量研究下垫面不均匀性对两者观测差异的影响.
目前,地表温度空间差异常被用来反映下垫面不均匀性程度.但是空间地表温度的实地观测具有一定的技术困难,大范围高密度观测成本也太大,所以当前主要是借助遥感技术反演空间地表温度,视其不均匀性程度.不少学者在这方面做出了有意义的工作,如与本研究相关的,Hoedjes等(2007)用陆地资源卫星L and sat 7/ETM+和先进星载热发射和反射辐射仪(ASTER)测得摩洛哥马拉喀什的橄榄园灌溉期7个30 min间隔的地表温度热红外影像,结合足迹模型计算出LAS和ECS各自源区的加权地表温度,分析每个间隔LAS和ECS的感热通量差异与各自加权地表温差的关系,发现当加权地表温差大于0.5 K时,两者相关性较好.Liu等(2011)用陆地资源卫星L and sat 5/TM和先进星载热发射和反射辐射仪(ASTER)在中国黑河流域阿柔草地站获得了地表温度的4个遥感影像,结合足迹模型计算了LAS和ECS源区的非重叠区域地表温度的标准差,发现标准差越大,LAS和ECS的感热通量差异越大,通过地表温度的空间差异反映了 下垫面不均匀性对LAS和ECS测量感热通量的影响.
然而,一方面,遥感技术本身存在着反演精度的问题.比如,遥感在反演地表温度前对大气辐射进行了各种近似和假设,这些近似和假设必然会直接影响到对地表温度的反演精度;大气的微气象过程,比如云、雾、气溶胶等的存在也会影响到遥感反演精度. 另一方面,同一遥感系统先后探测同一地点的影像存在着时间间隔即遥感的时间分辨率,不同遥感器的时间分辨率不同,除了静止气象卫星的时间分辨率为几十分钟,一般至少也要数小时以上,这便限制了一些短时的专题性研究.
考虑到卫星遥感反演地表温度存在的一些局限性问题.本文基于黄土高原2012年6、7月庆阳观测站典型晴天的陆面过程综合观测资料,尝试寻找一种新的定量化判断指标来研究下垫面的不均匀性,并分析其对LAS与ECS观测感热通量差异的影响.
2 数据与方法 2.1 站点资料介绍本文研究资料来自坐落在陇东黄土高原董志塬的兰州大学庆阳黄土高原草地农业系统试验站.该 试验站位于35°41′N和107°51′E,海拔高度为1297 m,年平均降水562 mm,年均蒸发量1504 mm,属于半湿润气候区,土壤为黑垆土,当地传统耕作方式以冬小麦—春玉米轮作为主.观测场及其周围比较空旷平坦.
该观测基地安装了大孔径闪烁仪(LAS150,Kipp&Zonen,荷兰),涡动相关仪(含三维超声风速 温度仪CSAT-3、二氧化碳/水汽分析仪Li-7500),风、温、湿梯度观测系统(HMP45D/WAA151/WAV151),土壤温度测定仪(109)等.试验区仪器观测项目及配置情况详见表 1.大孔径闪烁仪的光径长度约为1000 m,光程上地形近似无起伏,发射端和接收端架设在相同的高度,架高为11.5 m,光程走向为NE-SW型.涡动相关仪架在梯度观测塔上,距离LAS的光径约20 m.试验区仪器架设如图 1所示.
| | 表 1 试验仪器观测项目及配置情况 Table 1 Overview of observations and instrument for experiment |
![]() | 图 1 试验区仪器架设Fig. 1 Schematic diagram of the experimental field |
本研究主要用2012年6月1日至8月1日期间的观测资料,这段时间的观测资料相对比较连续,仪器性能较好,资料误差较小.并且,为了减少能量不平衡问题的复杂性,本文排除了云和降水对地表能量收支的影响,仅用试验期间典型晴天的下垫面过程同步观测资料.典型晴天如下,6月13日、6月15日、6月16日、6月20日、6月21日、7月1日和7月10日,分析的晴天日数总共7 d.本文所用时间均为北京时,比观测站的地方时早大约1 h.
2.2 观测数据处理 2.2.1 风向统计对试验期间典型晴天(7 d)的风向进行统计,如 图 2所示,庆阳下垫面风向主要分布在两个范围E-SE和SW-W,E-SE风向的频次占总频次的22.45%,SW-W风向的频次占总频次的55.10%.试验期间以ECS为中心E-SE走向下垫面主要是玉米和小麦等农作物,SW-W走向主要是杂草和树木以及其他试验所需的小型建筑.为了减少问题的复杂性,本文将利用这两主风向范围的数据展开研究.
![]() | 图 2 试验期间典型晴天(7 d)庆阳下垫面的风向玫瑰图Fig. 2 Wind rose over underlying surface of Qingyang site during the typical sunny days (7 d) |
在对ECS观测数据的处理过程中,本文利用英 国爱丁堡大学发展的EdiRe软件(http://www.geos. ed.ac.uk/abs/research/micromet/EdiRe)对ECS的数据进行后处理,包括对原始湍流资料去野点、坐标旋转处理(倾斜修正)、时间滞后修正、感热通量的超声虚温修正、WPL修正、频率响应修正,最后计算得到感热通量.
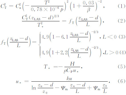
2.2.3 大孔径闪烁仪利用LAS观测资料计算感热通量时,首先由观测的空气折射指数结构参数Cn2经过湿度订正计算,得到与感热通量有关的温度结构参数CT2,再结合气象数据、下垫面状况,以及LAS的有效高度,基于莫宁-奥布霍夫(M-O)相似理论,通过对大气稳定度的判断,并选取适合的稳定度函数,分别在稳定和不稳定状态计算得到30 min平均的感热通量T*LAS.CT2和H依据下列关系式计算得到:
本文按照以下原则对观测数据进行筛选: ① 选用同一时刻的HLAS、HECS数据、辐射数据以及梯度塔的风温湿数据完整的数据(半小时数据); ② 仅用白天8: 00—18: 00的观测数据,该时段大气主要处于不稳定层结状态.波恩比β通过涡动相关仪测量的感热、潜热通量利用公式
计算得到;计算中所需的零平面位移根据观测当地对应时段的植被高度h,由
计算得到(Liu et al.,2007);动力学粗糙度z0利用近地层风廓线公式u=
计算得到.HLAS计算中需要的气象数据来自同一观测实验中涡动相关仪以及梯度塔的观测.
通量源区是指仪器所能观测到的实际下垫面的通量贡献区域,往往通过印痕模型模拟出来.目前流行的印痕分析模型主要有两种:欧拉模型和拉格朗日随机模型.基于计算效率的考虑,本文选择欧拉解析方法,依据彭谷亮等(2007),蔡旭晖等(2010)基于Kormann和Meixner(2001)的模型以及将点通量的足迹函数与LAS的空间权重函数相结合的方法建立了LAS和ECS的通量印痕模型.涡旋印痕模型的主要输入参数有:奥布霍夫长度(L)、平均风速(u)、摩擦速度(u*)、风向(Dir)、湍流侧向风速标准差(σv)、观测区域的粗糙度(z0)以及风速计的观测高度(z).对于LAS印痕模型,除了以上参数还需要输入LAS的架设高度(zLAS)、光程长度(Path)以及LAS发射光的波长(λ)和仪器光学镜面直径(d).本文计算LAS通量印痕的区域是以100×100的网格矩阵,分辨率是20 m.
3 下垫面不均匀性定量化指标的建立不均匀下垫面的热力强迫往往会引起局地环流或中小尺度运动,这种有组织的局地环流会形成十分关键的垂直运动(黄先伦和李国平,2008;张强和李宏宇,2010;张强等,2012).黄先伦和李国平(2008)用积分变换法求出了Boussinesq方程组的解析解:
鉴于本文的研究目的,建立的不均匀性指标还要能够反映出下垫面不均匀性对LAS和ECS观测感热通量的影响.我们知道LAS和ECS所测量的感热通量是各自通量源区范围内感热通量的平均值.根据加权平均理论,每个时刻总能在LAS的通量源区上找到一点,该点的感热通量可以代替LAS观测的平均感热通量HLAS;同时,也总能在ECS的通量源区上找到一点,该点的感热通量也可以代替ECS观测的平均感热通量HECS.以主风向E为例,用LAS和ECS印痕模型计算得到了各自的通量源区(图 3).可在LAS源区(图 3a)和ECS源区(图 3b)内各找一加权平均点,假设为a点和b点,见图中矩形所在位置,a点的感热通量可代替LAS的平均感热通量HLAS,b点的感热通量可代替ECS的平均感热通量HECS,那么LAS和ECS测量的感热通量差异就可以表示为a点感热通量Ha与b点感热通量Hb的差.即
![]() | 图 3 E风向LAS (a)和ECS (b)的通量源区 ● 代表ECS所在位置; ▲ 代表LAS发射端和接收端的位置; ■ 代表E风向LAS和ECS加权平均点a和b所在位置;箭头代表风向;等值线由内到外分别为50%、70%和90%通量贡献率区域.Fig. 3 Flux sources for LAS (a) and ECS (b) in wind direction E ● Location of ECS; ▲ Locations of transmitter and receiver of LAS; ■ Locations of weighted average points in wind direction E, Point a for LAS and point b for ECS; Arrow stands for wind direction; Contours from outer to inner denote 50%, 70%, 90% source contributions. |
考虑到感热通量是地面感热加热造成的,理论上,地面感热加热量越大,感热通量也应越大.(10)式给出了垂直速度与地面热源强度(地面感热加热)的关系,这里我们假设地面热源强度Q0与感热通量H呈简单的线性关系,将Q0用nH进行替换,其中n为两者的比例系数,那么(10)式可变为
从以上两式可以看出,LAS和ECS的感热通量差与单点的垂直速度ω成正比关系,并同时受a、b点的垂直速度ωa、ωb,浮力频率N,浮力b,Q和H的比例系数 n以及ω和ωb-ωa的比例系数m等量的影响.
上面的数学分析利用加权平均的假设证明了单点垂直速度ω可以反映下垫面不均匀性对LAS和ECS测量感热通量差异的影响.另外,考虑到要是在LAS的光径路线较长或下垫面很不均匀的情况下,垂直速度的空间代表性可能会存在一定的局限性,而本文中LAS的光径路线较短,观测站所在下垫面也较均匀,无大的地形起伏等因素,这也为用垂直速度做不均匀性指标提供了可行性.最后,图 4给出了庆阳站试验期间典型晴天(7d)近地层大气局地垂直风速的平均日变化特征,该图显示,庆阳观测站白天局地垂直运动均表现为下沉运动,单向运动减少了双向运动可能造成的量值上的复杂性.据此,本文将尝试以垂直速度作为下垫面不均匀性的判断指标,研究下垫 面不均匀性对LAS和ECS测量感热通量差异的影响.
![]() | 图 4 试验期间典型晴天(7d)近地层4 m高处垂直风速的平均日变化Fig. 4 Average diurnal variation of vertical velocity at the height of 4 m for the typical sunny days (7 d) in the experimental period |
考虑到下垫面不均匀性程度理应是一无量纲量,对垂直速度进行归一化处理,定义下垫面不均匀性程度大小为η,表示如下:
地表温度空间差异作为一个经常用来标定下垫面不均匀性程度的物理量,有必要将本文新建立的不均匀性指标计算结果与其进行对比分析.由于地面观测仪器有限,空间地表温度的获取有一定难度.考虑到地表温度空间差异的变化可视为无数个单点上的地表温度变化的积分,在空间地表温度无法获取的时候,单点地表温度的变化有一定的代表性.在此基础上,本文提出地表温度变率的概念,表达式如下:
在利用(19)式、(21)式分别计算了下垫面不均匀性大小和地表温度变率后,图 5给出了试验期间典型晴天(7 d)下垫面不均匀性大小与地表温度变率的平均日变化比较,图 6给出了两者的相关散点 图.由图 5可看出不均匀性大小与地表温度变率的 平均日变化趋势比较一致,在中午前呈小幅缓慢增加趋势,13: 30达到最大值,然后以较快的速度下降,两者总体均呈先小幅增加后减小的单峰型日变化趋势.图 6的散点图进一步说明了不均匀性大小与地表温度变率的关系.图 6显示,无论是图(a)中地表温度变率大于0的时候还是图(b)中地表温度变率小于0的时候,下垫面不均匀性程度都表现出随着地表温度变率绝对值增大而增大的趋势.而且不均匀性大小与地表温度变率具有很好的相关关 系,地表温度变率大于0时,两者相关系数为0.566,地表温度变率小于0时,两者相关系数达到0.601.两者很好的相关性说明垂直速度可以代替地表温度来表征下垫面的不均匀性.
![]() | 图 5 试验期间典型晴天(7d)下垫面不均匀性大小η与地表温度变率г的平均日变化 Fig. 5 Average diurnal variation of land surface inhomogeneity (η) and surface temperature variability (г) for the typical sunny days (7 d) in the experimental period |
![]() | 图 6 试验期间典型晴天(7 d)下垫面不均匀性大小η与地表温度变率г((a): г>0,(b):г < 0)的相关性Fig. 6 Correlation of land surface inhomogeneity (η) and surface temperature variability (г) for the typical sunny days (7 d) in the experimental period, ((a) for г>0, (b) for г < 0) |
深究其原因,热力学能量方程可以很好地解释这种相关性并不是偶然的,而是存在着必然性.局地温度变化是垂直绝热项、温度平流项和非绝热项三 者共同作用的结果,公式表示如下(朱乾根等,2007):
为温度的局地变化量.ω是垂直速度,γd是干绝热温度直减率,γ是温度直减率,γd-γ>0表示大气处于稳定层结状态,γd-γ < 0表示大气处于不稳定层结状态,ω(γd-γ)为垂直绝热加热项.u、v分别是水平运动x和y方向的速度分量,
为温度平流项.
是加热率,cp是空气定压比热,
为非绝热加热项.本研究主要考虑下垫面不均匀性的影响,暂且忽略温度平流项和非绝热加热项的影响,于是(22)式可以简化为
与垂直速度ω成正比关系,在量值上ω越大则
越大,ω越小则
亦越小,证实了图 5、图 6的结果.另外,本研究选用的主要是大气不稳定层结下的数据,即γd-γ < 0,这也是为什么本文ω全为负值,对应着绝大部分的
为正值.在早晨和傍晚可能存在着部分稳定层结的情况,即 γd-γ>0,于是有少量的
表现为负值.而
与垂直速度ω间的相关系数未达到很高,以及在
为0时ω不为0,这都可能与温度平流项和非绝热加热项的影响有关.
通过研究新旧两种不均匀性判断指标之间的关系,垂直速度作为新不均匀性判断指标的合理性得到了进一步的佐证.下面将借助垂直速度这一新的不均匀性指标分析下垫面不均匀性对LAS和ECS测量感热通量差异的影响.
5 下垫面不均匀性对LAS、ECS测量感热通量差异的影响 5.1 LAS、ECS测量感热通量差异与下垫面不均匀性的关系图 7是试验期间典型晴天(7 d)LAS、ECS观测感热通量差异与下垫面不均匀性大小的平均日变化比较(a)及其相关性(b).由图 7a可看出LAS、ECS感热通量差异和下垫面不均匀性大小平均日变化趋势比较一致,两者都主要表现为先增加后减少的变化趋势.只是在早晨和傍晚时HLAS-HECS的增加和减少幅度比同时段下垫面不均匀性程度的变化幅度大,这可能是因为早晚存在部分HLAS-HECS小于0的情况,而午间HLAS-HECS总是为正值,对总日数进行半小时平均计算后就出现了早晚差值偏离午间差值较大的情况,即早晚变化幅度较大.从图 7b给出的LAS、ECS观测感热通量差异HLAS-HECS与下垫面不均匀性大小η的相关散点统计图可看出,HLAS-HECS随着η的增大而增大,下垫面越不均匀LAS和ECS观测感热通量的差异越大.HLAS-HECS和η在大多时候保持了很好的一致性,相关系数高达0.634,可以建立如下线性拟合关系式:
![]() | 图 7 试验期间典型晴天(7 d)LAS、ECS观测感热通量差HLAS-HECS与下垫面不均匀性大小η的平均日变化(a)及其相关性(b)Fig. 7 Average diurnal variation (a) of the difference between LAS and ECS measured sensible heat fluxes (HLAS-HECS) and land surface inhomogeneity (η), and their correlation (b) for the typical sunny days (7 d) in the experimental period |
以上分析说明,下垫面不均匀性对LAS、ECS测量的感热通量差异存在着显著的影响,下垫面越不均匀LAS和ECS测量的感热通量差异就越大.LAS和ECS测量的感热通量差异除了可以用HLAS-HECS表示,HLAS/HECS也是一种表示两者差异的方式,并且相对用得更多.这两种表示方式之间存在以下关系:
图 8给出了庆阳观测站试验期间典型晴天(7 d)两主风向范围LAS和ECS观测的感热通量散点图.由图可看出LAS测量的HLAS和ECS测量的HECS有很好的相关性,相关系数为0.867,HLAS大于HECS,HLAS是HECS的1.293倍.试验期间庆阳站下垫 面性质的不均匀性是造成这种差异的一个重要原因.
![]() | 图 8 试验期间典型晴天(7 d)两主风向范围LAS与ECS测量感热通量的比较Fig. 8 Comparison between LAS and ECS measured sensible heat fluxes in two prevailing wind directions for the typical sunny days (7 d) in the experimental period |
风向指明了仪器观测到湍流通量的来源方位,本研究试验期间主要存在两个主风向范围,下面将分别分析两个主风向范围下垫面不均匀性对LAS、ECS观测感热通量差异的影响程度.
图 9为试验期间典型晴天(7 d)两个主风向范围LAS、ECS观测感热通量差异与下垫面不均匀性大小的相关散点图.该图显示,E-SE风向HLAS-HECS和η的相关系数为0.430,SW-W风向HLAS-HECS和η的相关系数为0.680,说明下垫面不均匀性对E-SE风向LAS、ECS观测感热通量差异的影响程度要小于SW-W风向的.分别计算两主风向下垫面不均匀性大小的平均值,E-SE风向η的平均值为0.400,SW-W风向η的平均值为0.410,说明E-SE风向的下垫面要比SW-W风向的稍均匀,这与各自风向的下垫面类型有关.在2.2.1节已有说明,E-SE风向主要是两种农作物覆盖,而SW-W风向的下垫面类型则比E-SE风向的稍复杂.对比分析发现E-SE风向η的平均值稍小,相应的该风向η对HLAS-HECS的影响程度也较小;SW-W风向η的平均值稍大,该风向η对HLAS-HECS的影响程度也较大.王婵(2011)的研究表明:下垫面不均匀性的影响对风向的依赖性很明显,当背景风向和不均匀下垫面的走向一致,即背景风沿着不均匀下垫面时,下垫面不均匀性的影响非常显著.对此我们可以进一步理解为:当某风向的下垫面不均匀性越大时,该风向下垫面不均匀性的影响就越大.这就合理解释了以上结果,SW-W风向下垫面不均匀性程度比E-SE风向的大,SW-W风向下垫面不均匀性对LAS、ECS观测感热通量差异的影响程度也就比E-SE风向的大.
![]() | 图 9 试验期间典型晴天(7 d)风向在E-SE范围(a)和在SW-W范围(b)LAS、ECS观测感热通量差HLAS-HECS与下垫面不均匀性大小η的相关性Fig. 9 Correlation of difference between LAS and ECS measured sensible heat fluxes (HLAS-HECS) and land surface inhomogeneity (η) in wind direction E-SE (a) and SW-W (b) for the typical sunny days (7 d) in the experimental period |
下垫面不均匀性对LAS、ECS观测感热通量差异影响程度的大小应该直接反应到LAS与ECS观测感热通量差异的大小上.为此,图 10进一步给出了试验期间典型晴天(7 d)两主风向范围LAS与ECS测量感热通量的相关性.由图可见,E-SE风向观测的感热通量,LAS是ECS的1.279倍,相关系数为0.888;SW-W风向观测的感热通量,LAS是ECS的1.297倍,相关系数为0.856.该结果与以上分析相符,E-SE风向下垫面不均匀性对LAS、ECS 观测感热通量差异的影响程度较小,LAS和ECS 观测感热通量差异就较小,相关系数也较高;SW-W风向下垫面不均匀性对LAS、ECS观测感热通量差异的影响程度较大,LAS和ECS观测感热通量差异就较大,相关系数也较低.表 2详细列出了试验期间典型晴天(7 d)两主风向下垫面不均匀性大小的平均值、下垫面不均匀性与LAS、ECS观测感热通量差HLAS-HECS的相关系数以及LAS和ECS观测感热通量的拟合结果.
![]() | 图 10 试验期间典型晴天(7 d)风向在E-SE范围(a)和在SW-W范围(b)LAS与ECS测量感热通量的比较Fig. 10 Comparison of LAS and ECS measured sensible heat fluxes in wind direction E-SE (a) and SW-W (b) for the typical sunny days (7 d) in the experimental period |
| | 表 2 试验期间典型晴天(7 d)两个主风向范围η的平均值、η和HLAS-HECS的相关系数以及HLAS和HECS拟合结果的比较 Table 2 Comparison of average η,correlation coefficient between η and HLAS-HECS,and fitting results of HLAS and HECS in two prevailing wind directions for the typical sunny days (7 d) in the experimental period |
以上分析通过本文新建立的不均匀性判断指标——垂直速度,讨论了黄土高原陇东地区下垫面不均匀性对LAS和ECS两种方法测量感热通量差异的影响,结果表明下垫面不均匀性对两者差异的影响很大,下垫面越不均匀LAS和ECS的感热通量差异越大.就不均匀性的影响而言,这与Hoedjes等(2007)在摩洛哥马拉喀什的橄榄园以及Liu等(2011)在中国黑河流域阿柔草地站的研究结论一致.当然,除了垂直风的影响,水平风对LAS、ECS测量感热通量差异的影响也是不可忽略的.其中,水平风向主要是决定了湍流通量的来源方位,在图 3的源区图中已有体现.至于水平风速的影响,郝小翠等(2014)曾有研究表明:水平风速对LAS、ECS测量的感热通量差异有显著影响,风速越大两者差异越小.另外,LAS和ECS的感热通量差异还与两者源区差异、ECS的能量闭合程度及其对低频涡旋的低估有关(von R and ow et al.,2008;Liu et al.,2013;郝小翠等,2013),由于篇幅有限,本文不做深入探讨.
6 结论与讨论基于黄土高原庆阳观测站2012年6、7月典型晴天的陆面过程数据,本文建立了下垫面不均匀性定量化指标,分析了下垫面不均匀性大小与地表温度变率的关系,主要研究了下垫面不均匀性对 LAS、ECS观测感热通量差异的影响.主要结论如下:
(1)通过对庆阳站下垫面不均匀性大小和地表温度变率的相关性分析,发现两者具有很好的相关性,相关系数达到0.566以上,新旧两种不均匀性指 标之间较好的相关性更好地佐证了新指标的合理性.
(2)下垫面不均匀性大小η与LAS、ECS感热通量差HLAS-HECS的变化趋势具有很好的一致性,两者相关系数达到0.634.下垫面不均匀性对LAS和ECS测量的感热通量差异有着显著的影响,下垫面越不均匀两者差异越大.
(3)对两主风向分别进行分析,下垫面不均匀性大小η和LAS、ECS感热通量差异HLAS-HECS的相关系数在E-SE风向范围为0.430,在SW-W风向范围为0.680.不同风向范围下垫面不均匀性对LAS和ECS观测感热通量差异影响程度不同,以致不同风向LAS和ECS观测感热通量差异大小也有所不同,LAS和ECS的感热通量拟合系数在E- SE风向范围为1.279,在SW-W风向范围为1.297. 总体表现为不均匀性的影响程度越大,LAS和ECS观测差异越大.
本文通过实验分析与数学推理相结合的方式探索了一种新的下垫面不均匀性定量化指标——垂直风速,并通过其研究了下垫面不均匀性对LAS和ECS测量感热通量差异的影响.一方面,相比于以往通过遥感反演地表温度的空间差异来反映下垫面不均匀性,垂直速度的获取要更容易实现,直接通过地面仪器实地观测即可获得,而且由于是实地观测,精度上也要优于遥感反演.另一方面,文中应用加权平均理论,结合数学推理,说明了单点垂直速度也可以用来反映下垫面不均匀性对LAS和ECS测量感热通量差异的影响,对以往我们认为的单点观测难以研究LAS和ECS源区下垫面不均匀性的影响而言是一个突破.
不过,本文还存在一些有待改进的地方.本研究中LAS光线路径较短、下垫面较均匀是新指标成立的前提,在LAS光径路线较长或者下垫面很不均匀的情况下,单点垂直速度的指标可能会存在一定的空间局限性.另外,在进行某些数学分析时为了减少问题的复杂性做了一些简化和假设,这些假设可能会对结果造成不可避免的影响,有必要开展进一步的工作加以完善.本文作为对下垫面不均匀性定量化的初步探索,具有一定的参考意义,下垫面不均匀性指标体系的定量化研究仍是一项长期而艰巨的过程,尚待进一步探索.
致谢 本文所用观测数据为兰州干旱气象研究所王胜副研究员提供,中国科学院寒区旱区环境与工程研究所的王介民研究员、兰州干旱气象研究所的岳平老师也对本文给予了帮助,作者一并在此表示衷心的感谢.| [1] | Andreas E L. 1988. Estimating Cn2 over snow and sea ice from meteorological data. Journal of the Optical Society of America A, 5(4):481-495. |
| [2] | Bai J, Liu S M, Ding X P. 2010. Temporal-spatial characteristics analysis of area-averaged sensible heat fluxes by large aperture scintillometer over Hai River Basin. Advances in Earth Science(in Chinese), 25(11):1187-1198. |
| [3] | Cai X H, Zhu M J, Liu S M, et al. 2010. Flux footprint analysis and application for the large aperture scintillometer. Advances in Earth Science(in Chinese), 25(11):1166-1174. |
| [4] | Dickinson R E. 1995. Land-atmosphere interaction. Reviews of Geophysics, 33(S2):917-922. |
| [5] | Hao X C, Zhang Q, Yue P, et al. 2013. Study of characteristic quantity T* by large aperture scintillometer over Chinese Loess Plateau. Plateau Meteorology(in Chinese), 32(3):665-672. |
| [6] | Hao X C, Zhang Q, Yue P, et al. 2014. Analysis of physical factor of sensible heat flux by LAS over Loess Plateau. Plateau Meteorology(in Chinese), 33(4):957-966. |
| [7] | Hoedjes J C B, Chehbouni A, Ezzahar J, et al. 2007. Comparison of large aperture scintillometer and eddy covariance measurements:can thermal infrared data be used to capture footprint-induced differences. Journal of Hydrometeorology, 8(2):144-159. |
| [8] | Huang X L, Li G P. 2008. Effects of thermal forcing on the local circulation. Journal of Applied Meteorological Science(in Chinese), 19(4):488-495. |
| [9] | Kormann R, Meixner F X. 2001. An analytical footprint model for non-neutral stratification. Boundary-Layer Meteorology, 99(2):207-224. |
| [10] | Liu S M, Lu L, Mao D, et al. 2007. Evaluating parameterizations of aerodynamic resistance to heat transfer using field measurements. Hydrology and Earth System Sciences, 11(2):769-783. |
| [11] | Liu S M, Li X W, Shi S J, et al. 2010. Measurement, analysis and application of surface energy and water vapor fluxes at large scale.Advances in Earth Science(in Chinese), 25(11):1113-1127. |
| [12] | Liu S M, Xu Z W, Wang W Z, et al. 2011. A comparison of eddy-covariance and large aperture scintillometer measurements with respect to the energy balance closure problem. Hydrology and Earth System Sciences, 15(4):1291-1306. |
| [13] | Liu S M, Xu Z W, Zhu Z Z, et al. 2013. Measurements of evapotranspiration from eddy-covariance systems and large aperture scintillometers in the Hai River Basin, China. Journal of Hydrology, 487:24-38. |
| [14] | Lu L, Liu S M, Sun M Z, et al. 2005. Advances in the study of areal surface fluxes with large aperture scintillometer. Advances in Earth Science(in Chinese), 20(9):932-938. |
| [15] | Peng G L, Cai X H, Liu S M. 2007. A flux footprint model for large aperture scintillometer. Acta Scientiarum Naturalium Universitatis Pekinensis (in Chinese), 43(6):822-827. |
| [16] | von Randow C, Kruijt B, Holtslag A A M, et al. 2008. Exploring eddy-covariance and large-aperture scintillometer measurements in an Amazonian rain forest. Agricultural and Forest Meteorology, 148(4):680-690. |
| [17] | Wang C. 2011. Simulation study of effects of surface heterogeneities on vertical velocity field in the boundary layer[Ph. D. thesis](in Chinese). Lanzhou:Lanzhou University. |
| [18] | Zhang Q, Wang S. 2008. On land surface processes and its experimental study in Chinese Loess Plateau. Advances in Earth Science(in Chinese), 23(2):167-173. |
| [19] | Zhang Q, Li H Y. 2010. The relationship between surface energy balance unclosure and vertical sensible heat advection over the Loess Plateau. Acta Physica Sinica (in Chinese), 59(8):5888-5895. |
| [20] | Zhang Q, Li H Y, Zhao J H. 2012. Modification of the land surface energy balance relationship by introducing vertical sensible heat advection and soil heat storage over the Loess Plateau. Sci. China Earth Sci., 55(4):580-589. |
| [21] | Zhu Q G, Lin J R, Shou S W, et al. 2007. Principle and Method of Synoptic Meteorology. 4th ed.(in Chinese). Beijing:China Meteorological Press. |
| [22] | 白洁, 刘绍民, 丁晓萍. 2010. 海河流域不同下垫面上大孔径闪烁仪观测显热通量的时空特征分析. 地球科学进展, 25(11):1187-1198. |
| [23] | 蔡旭晖, 朱明佳, 刘绍民等. 2010. 大孔径闪烁仪的通量印痕分析与应用. 地球科学进展, 25(11):1166-1174. |
| [24] | 郝小翠, 张强, 岳平等. 2013. 黄土高原大孔径闪烁仪观测特征量T*的研究. 高原气象, 32(3):665-672. |
| [25] | 郝小翠, 张强, 岳平等. 2014. 黄土高原影响LAS观测感热通量的物理因素分析. 高原气象, 33(4):957-966. |
| [26] | 黄先伦, 李国平. 2008. 热力强迫对局地环流的扰动作用. 应用气象学报, 19(4):488-495. |
| [27] | 刘绍民, 李小文, 施生锦等. 2010. 大尺度地表水热通量的观测、分析与应用. 地球科学进展, 25(11):1113-1127. |
| [28] | 卢俐, 刘绍民, 孙敏章等. 2005. 大孔径闪烁仪研究区域地表通量的进展. 地球科学进展, 20(9):932-938. |
| [29] | 彭谷亮, 蔡旭晖, 刘绍民. 2007. 大孔径闪烁仪湍流通量印痕模型的建立与应用. 北京大学学报(自然科学版), 43(6):822-827. |
| [30] | 王婵. 2011. 下垫面非均一性影响边界层垂直速度场的数值模拟研究[博士论文]. 兰州:兰州大学. |
| [31] | 张强, 王胜. 2008. 关于黄土高原陆面过程及其观测试验研究. 地球科学进展, 23(2):167-173. |
| [32] | 张强, 李宏宇. 2010. 黄土高原地表能量不闭合度与垂直感热平流的关系. 物理学报, 59(8):5888-5895. |
| [33] | 张强, 李宏宇, 赵建华. 2012. 垂直平流输送和土壤热储存补偿对黄土高原地表能量平衡的修正. 中国科学:地球科学, 42(1):42-51. |
| [34] | 朱乾根, 林锦瑞, 寿绍文等. 2007. 天气学原理和方法(4版). 北京:气象出版社. |
2016, Vol. 59











