大气边界层是大气流动和下垫面相互作用的结果,它对地面和大气之间的动量、热量以及水汽交换起着十分重要的作用.针对大气边界层的研究不仅有助于加深对边界层物理过程的认识,更是中长期数值天气预报、气候变迁模拟和预测以及大气污染扩散研究等的理论基础(Stull,1988).地面气象要素场,在许多领域都扮演着重要角色,诸如区域尺度的污染物扩散(Darby,2005)以及风能资源评估(García-Bustamante et al.,2009; 杨罡等,2011)等.
对于某一特定区域的地面气象要素的研究,可以直接通过分析气象台站的观测资料进行(Klink,2002; Jiménez et al.,2009; Guo et al.,2011),也可以通过模式模拟获得更详尽更符合物理过程的研究结果(Rife et al.,2004; Jiménez and Dudhia,2013).以观测为基础的研究,需要假定气象台站所处的位置可以代表研究区域的特征,且气象台站的数量足以覆盖整个研究区域.但是气象台站的分布密度常受到限制,且分布极为不均匀,另外不同气象台站观测资料的质量也参差不齐.特别是在地形比较复杂的区域,一个气象台站的资料很难代表周边区域的气象要素特征(Whiteman,2000),而基于模式的模拟研究在一定程度上可以弥补这些不足.环流模式可以很好的模拟大尺度范围的地面气象要素,但是当研究的区域尺度变小,特别是研究区域的地形比较复杂时,就需要使用中尺度模式来进行模拟.
WRF(Weather Research and Forecasting)模式(Skamarock et al.,2008)作为新一代的中尺度气象模式被广泛的应用于大气、海洋和环境等领域.近年来,WRF中增加了越来越多的物理过程,大大增加了模式的复杂性.WRF模式模拟地面气象要素的能力,在许多研究中,通过将模拟结果与观测资 料进行对比已经获得了肯定(Jiménez et al.,2010). 但是从早期的版本开始WRF模式模拟的地面风速就偏大(Cheng and Steenburgh,2005),且仍不断有学者研究发现这个现象在新版本的WRF中仍然存在(Roux et al.,2009; Mass and Ovens,2010,2011; Shimada et al.,2011; Jiménez and Dudhia,2012; 张碧辉等,2012),这极大的限制了一些对地面风速模拟精度要求较高的领域的发展.Jiménez和Dudhia(2012)研究指出WRF模式的这种系统性误差的一个可能来源是模式在模拟大气运动时对地形进行了平滑处理,忽略了次网格地形对模拟的影响.实际上,这种观点在其他大气模式中已经得到了验证,在一些模式中,考虑了次网格地形对模拟的影响 后,模式的性能得到了明显的提升.Milton和Wilson(1996)通过在英国气象局的全球模式中引入一个考虑次网格尺度地形粗糙度的参数化方案增加了地表的阻力并且使得初始动量更为平衡,从而提高了模式的模拟性能.Rontu(2011)在高分辨率有限区域模式中加入了一个新的参数化方案,考虑了次网格地形的作用,使模拟得到的低层风场更符合实际情 况.还有研究发现,在地形复杂的地区,模式对不同地点地面气象要素的模拟效果有较大差异. Georgelin等(2000)用比利牛斯实验的数据检验了15个模式对中尺度地形风场的模拟能力,发现模式模拟的局地 风场偏弱,山区波振幅偏大.Jiménez和Dudhia(2012,2013)通过在伊比利亚半岛的风速观测实验发现WRF模式模拟的风速在山顶偏大,而在地形比较复杂的山谷地区偏小.
北京位于华北平原北端,地形较为复杂,其南、东南方向地势平坦,北、西北背靠燕山山脉和太行山脉,东临天津、塘沽沿海城市.北京地区的低层大气不仅受到山谷风、城市热岛环流的相互作用,还受海陆风环流的影响.北京地区大气边界层的特性直接影响着该地区的区域气候环境和可持续发展.近年来,北京的空气质量问题以及北京的宜居性引起了各方的广泛关注,而准确地用模式模拟出北京地区的地面气象要素正是研究这些问题的基础.
考虑到次网格地形对模式模拟的影响,在WRF v3.4.1以上版本的YSU边界层参数化方案中,增加了两个地形订正方法,而这些订正方法在国内还没有进行过适用性研究.本文通过比较YSU边界层方案中两种不同地形订正方法对北京地区两个时间段地面气象要素场的模拟效果,讨论这两个方法在北京地区的适用性,为国内外学者在今后的研究中是否采用相关的订正提供科学依据,为进一步模拟该地区大气颗粒物的传输与扩散以及局地极端天气等研究奠定基础.
2 边界层方案介绍及模式设置 2.1 边界层方案介绍YSU边界层方案(Hong and Pan,1996; Hong et al.,2006)是WRF中常用的边界层参数化方案,在前人的研究中得到广泛应用.YSU方案是对MRF(Medium-Range Forecasts)方案改进后的非局地K理论方案,通过在控制方程中加入反向梯度输送项来表示非局地通量.WRF中的两个地形订正方法都需要配合YSU边界层方案使用.
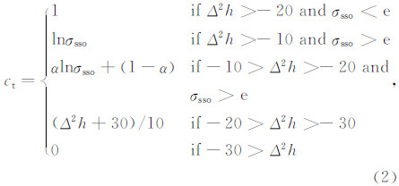
Jiménez方法通过在动量守恒方程中加入了参数ct来代表地形订正以及调节与植被有关的地表拖曳作用:
华盛顿大学的Mass和Ovens(2010,2011,2012)研究发现Jiménez方法仍存在一些不足,并在其基础上提出了一个更为简单的与地形变化相关的订正方法——UW方法.该方法通过建立摩擦速度u*与次网格地形方差之间的正相关关系,增强了摩擦速度,从而减小了模式模拟出的地表风速.此外,该方 法还能在一定程度上弥补了大风时以及夏季边界层混合得较好时,Jiménez方法对地表风场模拟的不足.
2.2 WRF模式设置本研究中使用的模式版本为WRF v3.5.1,由分辨率为1°×1°的NCEP/NCAR全球分析资料提供初始场和边界条件,再分析资料每6 h输入一次,使用的地表类型资料为欧航局提供的GlobCover 2009数据(Arino et al.,2008; Bontemps et al.,2010).WRF模式的模拟区域如图 1所示,采用三层双向嵌套,水平分辨率分别为27 km、9 km、3 km,水平格点数分别为120×110、121×115、79×79.模拟区域中心位于113.5° E,40.0° N,最外层覆盖中国大部分地区、朝鲜半岛以及黄海、渤海和东海的部分地区,最内层区域包括了北京市及周边地区.垂直方向分为32层,采用上疏下密的分层方式,其中1000 m以下分为11层,模式顶层高约20 km.模式的物理过程参数化方案选择如下:微物理过程采用WSM3方案(Hong et al.,2004);长波辐射采用RRTM方案(Mlawer et al.,1997);短波辐射采用Dudhia方案(Dudhia,1989);陆面过程采用Noah方案(Chen and Dudhia,2001),同时加入单层城市冠层方案UCM(Kusaka et al.,2001,2004)来更好地模拟城区的地面风场;积云对流采用KF方案(Kain,2004).边界层方案采用YSU方案,同时设置三个试验比较地形订正方法在北京地区的适用 性,分别是不采用地形订正方法(以下简称TWIND0试验)、 采用Jiménez方法(以下简称TWIND1试验)和采用UW方法(以下简称TWIND2试验).模拟时间选取了两个时间段,分别为2012年2月19日至21日和2012年7月13日至15日,期间没有明显的天气过程,每个时间段连续模拟90 h,其中前18 h为模式的调整时间.
![]() | 图 1 WRF模拟的区域设置(a)以及最内层区域的地形示意图(b)Fig. 1 Nested computational domains (a) and the topography of the innermost domain in the WRF model simulation (b) The hollow circle and crosses show the location of the meteorological observatories. |
为了解不同地形订正方法对模拟结果的影响,在图 2和图 3中给出了不同地形订正方法模拟的最内层区域的72 h平均的2 m温度差值场及10 m风速差值场.从图中可以看到,无论是冬季还是夏季,采用地形订正后,模式模拟的温度在西北及北部山区变低,而在城市所在的平原地区模拟结果变高,这种现象在冬季体现得更为明显.比较两种不同的地形订正方法发现,在温度模拟方面,两者的差异在冬季比较小,约为± 0.2 ℃;在夏季,TWIND2试验模拟的温度在大部分地区都高于 TWIND1的模拟结果,特别是在平原地区.对于10 m 风速的模拟结果显示,在冬夏两个季节,TWIND1的风速模拟值在山顶处均高于TWIND0,而在其他大部分地区TWIND1的模拟结果低于TWIND0;TWIND2模拟的风速在整个模拟区域内都低于TWIND0;因此,两种不同的地形订正方法对风速模拟的差异主要体现在山顶等海拔相对较高的区域.
![]() | 图 2 最内层区域模式模拟的72 h平均的2 m温度差值场 (a—c) 2012-02-19—21; (d—f) 2012-07-13—15;图中黑色实线表示地形高度.Fig. 2 The 72-hrs averaged simulated 2 m temperature in the innermost domain (a—c) 2012-02-19—21; (d—f) 2012-07-13—15. The black solid line indicated the terrain height. |
![]() | 图 3 最内层区域模式模拟的72 h平均的10 m风速差值场 (a—c) 2012-02-19—21; (d—f) 2012-07-13—15;图中黑色实线表示地形高度. Fig. 3 The 72 h averaged simulated 10 m wind speed in the innermost domain (a—c) 2012-02-19—21; (d—f) 2012-07-13—15. The black solid line indicated the terrain height. |
为了检验采用地形订正后WRF模式对地面温度及风速模拟的改进效果,以及两个地形订正方法在北京地区的适用性,我们将这两个要素的模拟结果与自动气象站的观测结果进行对比.结合Jiménez方法中对地形的分类方法和北京及周边地区实际的地形分布,将自动气象站分为位于平原、位于山谷以及位于山/丘陵三类.从每类中选择两个自动气象站,用其观测数据检验模式模拟的准确度,这6个自动气象站的相关信息及位置分布如表 1及图 1b所示.
| | 表 1 北京地区6个自动气象站基本情况一览表 Table 1 The list of the information of 6 automatic Weather Systems (AWS): locations, series number and names |
总体来看,在各个区域夏季的模拟准确度都高于冬季,温度的模拟准确度高于风速.在平原地区三个试验模拟的风速都略高于观测值,而模拟的温度基本低于观测值(图 4和图 5),采用地形订正方法对风速及温度的模拟效果改进不大.值得注意的是,同为平原地区,在模式口站模拟得到的温度偏低,模拟的风速偏大(图 5),而在昌平站模拟得到的温度和风速都与观测值比较相符(图 4).引起这种差异原因可能是,模式口站位于城区,昌平站位于郊区,WRF模式低估了城市对风场的摩擦减弱作用导致城区的风速模拟偏高(张碧辉等,2012),而模式中没有充分考虑城市中人为热的作用导致城区的温度模拟偏低.在山谷地区,三个试验模拟的温度基本没有差别,都与观测值比较相符(图 6a,b和图 7a,b). 而TWIND1和TWIND2试验模拟的风速比TWIND0 模拟的小0.5~1 m·s-1,且TWIND2的减小幅度大于TWIND1,使得模拟的风速与观测值更为接近,说明两种地形订正方法对风速的模拟效果都有所改进.另外,从图中还可以看到,在2月20日14: 00—22: 00,TWIND0试验模拟的苹果主题公园站的风速与观测值是比较一致的,而进行地形订正之后,模拟的风速降低,明显低于观测值,这种现象在TWIND2中更为明显,说明地形订正方案在某些情况下会出现过度订正(图 6d).在山地/丘陵地区,TWIND1模拟的风速明显大于TWIND0的模拟结果,导致模拟的风速与观测值差距加大;而TWIND2 模拟的风速明显减小,与观测值更为接近,但仍略大于观测值(图 8c,d和图 9c,d);三个试验模拟的温度仍无较大差异.
![]() | 图 4 昌平站观测和模拟的气温风速日变化 (a,b) 2 m温度; (c,d) 10 m风速; (a,c) 2012-02-19—21; (b,d) 2012-07-13—15.Fig. 4 Time series of observed and WRF-simulated (a,b) 2 m temperature and (c,d) 10 m wind speed in 54499 station during (a,c) 2012-02-19—21 and (b,d) 2012-07-13—15 |
![]() | 图 5 模式口站观测和模拟的气温风速日变化 (a,b) 2 m温度; (c,d) 10 m风速; (a,c) 2012-02-19—21; (b,d) 2012-07-13—15.Fig. 5 Time series of observed and WRF-simulated (a, b) 2 m temperature and (c, d) 10 m wind speed in A1036 station during (a, c) 2012-02-19—21 and (b,d) 2012-07-13—15 |
![]() | 图 6 苹果主题公园站观测和模拟的气温风速日变化 (a,b) 2 m温度; (c,d) 10 m风速; (a,c) 2012-02-19—21; (b,d) 2012-07-13—15. Fig. 6 Time series of observed and WRF-simulated (a,b) 2 m temperature and (c,d) 10 m wind speed in A1419 station during (a,c) 2012-02-19—21 and (b,d) 2012-07-13—15 |
![]() | 图 7 龙凤岭站观测和模拟的气温风速日变化 (a,b) 2 m温度; (c,d) 10 m风速; (a,c) 2012-02-19—21; (b,d) 2012-07-13—15. Fig. 7 Time series of observed and WRF-simulated (a,b) 2 m temperature and (c,d) 10 m wind speed in A1361 station during (a,c) 2012-02-19—21 and (b,d) 2012-07-13—15 |
![]() | 图 8 大城子站观测和模拟的气温风速日变化 (a,b) 2 m温度; (c,d) 10 m风速; (a,c) 2012-02-19—21; (b,d) 2012-07-13—15.Fig. 8 Time series of observed and WRF-simulated (a,b) 2 m temperature and (c,d) 10 m wind speed in A1654 station during (a,c) 2012-02-19—21 and (b,d) 2012-07-13—15 |
![]() | 图 9 大安山站观测和模拟的气温风速日变化 (a,b) 2 m温度; (c,d) 10 m风速; (a,c) 2012-02-19—21; (b,d) 2012-07-13—15.Fig. 9 Time series of observed and WRF-simulated (a,b) 2 m temperature and (c,d) 10 m wind speed in A1320 station during (a,c) 2012-02-19—21 and (b,d) 2012-07-13—15 |
综上所述,采用地形订正后对温度的模拟没有 明显影响,两种方法模拟得到的温度差约为±0.2 ℃,两种方法对风速模拟的差别主要体现在山/丘陵地区.在平原地区,采用地形订正后对风速模拟的改进效果不明显;在山谷地区,两种地形订正方法均能改进风速的模拟效果,但在某些情况下可能会出现过度订正;在山/丘陵地区,Jiménez方法模拟得到的风速比不采用地形订正更大,使风速的模拟准确度更差,而UW方法能显著的提高模式对风速的模拟能力,但模拟得到的风速仍略大于观测值.总的来说,在北京地区,对地面气象要素,尤其是地面风速的模拟,UW方法更为适用.
3.2 气象要素垂直廓线分析从3.1节中的分析可以发现,三个试验模拟得到的地面风速之间有比较明显的差异,在本节中,我们用Wyoming大学提供的探空资料来对比三个试验对气象要素垂直廓线的模拟情况.由于资料的限制,我们仅选取了南郊观象台这一个站点来进行分析,南郊观象台站位于116°28′10″ E,39°48′22″ N,海拔32.5 m,具体位置如图 1b所示.
图 10和图 11分别给出了冬季和夏季模拟时段内08: 00 LST和20: 00 LST的位温及风速廓线.从图中可以看到,无论是冬季还是夏季,三个试验模拟得到的位温廓线基本一致,且基本可以反应出实际情况下位温随高度的变化情况.
![]() | 图 102012年2月19日至21日南郊观象台站观测和模拟的位温及风速廓线 (a—c) 08: 00 LST; (c—d) 20: 00 LST. Fig. 10 Vertical profiles of observed and WRF-simulated potential temperature and wind speed on 54511 station during 2012-02-19—21 |
![]() | 图 11 2012年7月13日至15日南郊观象台站观测和模拟的位温及风速廓线 (a—c) 08: 00 LST; (c—d) 20: 00 LST.Fig. 11 Vertical profiles of observed and WRF-simulated potential temperature and wind speed on 54511 station during 2012-07-13—15 |
相较于位温廓线,三个试验对风速廓线的模拟有比较大的差异,特别是2000 m以下的风速廓线.在冬季的模拟时间段内,当边界层低层有明显的逆温发展时(即2月19日08: 00 LST以及2月20日08: 00 LST),三个试验模拟的风速廓线之间有明显差异,在这两个时刻,相较而言,TWIND2试验模拟出的风速廓线与观测更为符合(图 10a,b).在冬季的其他几个时刻,三个试验模拟得到的风速廓线基本一致,且能较好的反应出实际风速随高度的变化情况.另外,需要指出的是,风速廓线往往在1000 m以下变化比较剧烈,而探空资料在1000 m以下缺少观测数据,观测点的分布不足以反应风速的实际变化,因此模拟与观测得到的风速廓线在1000 m以下会有较大差异.
在夏季的模拟时段内,不同地形订正方法对风速廓线的影响也体现在2000 m以下,模式对风速廓线模拟的准确度不如冬季.低层观测点分布的不足而导致的实际与模拟得到的风速廓线的差异,也在这几个时刻中有所体现(图 11d—f),尽管如此,对于实际风速廓线表现出的风速随高度的变化,模拟结果还是有所体现.值得注意的是,在7月14日和7月15日08: 00 LST,探空资料显示在高度 600~800 m之间有一个急流,而模式在这两个时刻并没 有模拟出这一现象(图 11b,c).但进一步分析08: 00 LST 前后的模拟风速廓线可以发现,对这两个时刻的急流模式均能够模拟出,模拟得到的急流出现时刻为06: 00 LST,稍早于观测出现的时间(图 12).
![]() | 图 12 06: 00—08: 00南郊观象台站观测和模拟的风速廓线 (a) 2012-07-14; (b) 2012-07-15.Fig. 12 Vertical profiles of observed and WRF-simulated wind speed on 54511 station from 06: 00 LST to 08: 00 LST |
综上所述,不同地形订正方法除了对低层(2000 m以下)的风速影响比较明显外,对其他高度的风速以及位温廓线的模拟没有明显影响,模式基本能够模拟出风速和位温垂直廓线的变化趋势.对于风速廓线的模拟,不同地形订正方法的优劣还需要用更多站点的数据以及更多的个例进行进一步研究.
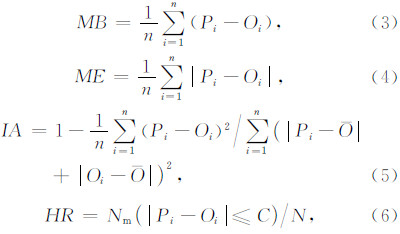
3.3 模拟结果的统计检验为了检验采用不同地形订正方法模拟的气象要素的准确度,利用6个自动气象站的观测数据对模拟结果进行统计检验,参加检验的气象数据包括2 m高度温度和10 m高度风速.本文选用了4个常用的统计参数:平均偏差(MB)、平均误差(ME)、命中率(Hit Rate,HR)以及Willmott等(1985)提出的相符指数(IA).命中率HR表示在所有参加统计的数据对中,观测和模拟的差值小于某一标准的数据对所占百分比,由于HR考虑了观测的不确定性,其结果可以反映模式的总体模拟性能,其值与所选标准值大小有关,本文取气温和风速的标准值参考张碧辉等(2012)设定的标准,具体分别为2 K和1 m·s-1.各统计量的定义如下:
冬季和夏季的统计结果分别如表 2和表 3所示.Emery等(2001)在评估不同模式不同尺度模拟效果的基础上提出了气温和风速的统计基准值(表 4).综合各个指标,两个气象要素中,2 m温度的模拟最为准确,总体的IA和夏季的ME都达到了表 4中的条件,但是温度模拟结果偏低,且在冬季表现的更为明显.整体上看,10 m风速模拟为正偏差,即模拟的风速大于观测值,且准确度低于温度.在模拟温度时,地形订正对模拟效果的改进作用不明显,而对于风速的模拟,TWIND2试验的各项指标均为最优,说明在北京地区采用UW方法进行地形订正后能更好的模拟地面风速.对比冬季和夏季模拟结果的统计检验可以发现,冬季的温度模拟准确度低于夏季;而风速的模拟准确度优于夏季.比较不同地形的统计检验结果发现,WRF模式在山谷地区模拟温度和风速的准确度最高;值得注意的是,在山谷地区的冬季,采用地形订正后,风速的MB由正值变为负值,说明这两个方法对冬季山谷地区的风速模拟存在过度订正,这在上文中也曾提及.另外,统计检验结果也体现了在山/丘陵地区,采用Jiménez方法订正后的风速模拟偏高,准确度是三个试验中最差的,而用UW方法订正后风速模拟的准确度明显优于其他两个试验,其中冬季风速的统计量基本满足了表 4中的标准.
| | 表 2 冬季模式模拟的2 m气温和10 m风速的统计检验结果 Table 2 Statistic results of simulated 2 m temperature and 10 m wind speed in winter |
| | 表 3 夏季模式模拟的2 m气温和10 m风速的统计检验结果 Table 3 Statistic results of simulated 2 m temperature and 10 m wind speed in summer |
| | 表 4 气温和风速统计基准 Table 4 Statistical benchmarks for temperature and wind speed |
本文运用中尺度气象模式WRF中YSU边界层参数化方案中的不同地形订正方法,对北京地区冬季和夏季的地面气象要素场和气象要素垂直廓线进行了模拟,并与自动气象站的观测结果进行了对比,讨论了Jiménez和UW两种不同地形订正方法在北京地区的适用性,得到了如下结论:
(1)是否采用地形订正,对地面温度的模拟几乎没有影响;采用地形订正后,对地面风速的模拟有明显的改进,两种方法对风速模拟的差别主要体现在山/丘陵地区.在平原地区,采用订正方法后对风速模拟的改进效果不明显;在山谷地区,两种方法均能改进风速的模拟效果,但在某些情况下存在一定的过度订正;在山/丘陵地区,Jiménez方法模拟的风速偏高,降低了模式模拟风速的准确度,而UW方法能显著的提高风速的模拟能力.
(2)不同地形订正方法除了对低层(2000 m以下)的风速影响比较明显外,对其他高度的风速以及位温廓线的模拟没有明显影响.对于风速廓线的模拟,不同地形订正方法的优劣还需要用更多站点的数据以及更多的个例进行进一步研究.
(3)统计检验结果显示,WRF模式对2 m温度的模拟较为准确,冬季和夏季的各个统计参数基本都达到了统计基准值.比较不同地形的统计检验结果发现,WRF模式在山谷地区模拟温度和风速的准确度最高,但在冬季的山谷地区,采用UW方法订正后风速的MB有正值变为负值,说明有一定的过度订正.在山/丘陵地区,采用Jiménez方法订正后的风速模拟偏高,准确度是三个试验中最差的,而UW方法订正后的模拟统计结果是最优的.
总体而言,与Jiménez方法相比,UW方法在北京地区更为适用,采用UW方法进行地形订正后,模式能更好的模拟出低层大气的运动情况,在一定程度上改进了WRF模式对低层风速模拟的系统性偏差.
致谢 北京地区自动气象站的观测资料为北京市气候中心李书严高级工程师提供,南郊观象台的探空资料为Wyoming大学提供,在此一并深表感谢.| [1] | Arino O, Bicheron P, Frédéric A, et al. 2008. GLOBCOVER:the most detailed portrait of earth. ESA Bulletin-European Space Agency, 136:24-31. |
| [2] | Bontemps S, Defourney P, Van Bogaert P, et al. 2010. GLOBCOVER 2009:products description and validation report. Accessed January 20,2012.http://www. gscloud. cn/userfiles/file/GLOBCOVER2009_Validation_Report_2_2.pdf. |
| [3] | Chen F, Dudhia J. 2001. Coupling an advanced land surface-hydrology model with the Penn State-NCAR MM5 modeling system. Part I:Model implementation and sensitivity. Monthly Weather Review, 129(4):569-585. |
| [4] | Cheng W Y Y, Steenburgh W J. 2005. Evaluation of surface sensible weather forecasts by the WRF and the Eta Models over the western United States. Weather and Forecasting, 20(5):812-821. |
| [5] | Darby L S. 2005. Cluster analysis of surface winds in Houston, Texas, and the impact of wind patterns on ozone. Journal of Applied Meteorology, 44(12):1788-1806. |
| [6] | Dudhia J. 1989. Numerical study of convection observed during the winter monsoon experiment using a mesoscale two-dimensional model. Journal of the Atmospheric Sciences, 46(20):3077-3107. |
| [7] | Emery C A, Tai E, Yarwood G. 2001. Enhanced meteorological modeling and performance evaluation for two Texas ozone episodes.Prepared for the Texas Near Non-Attainment Areas through the Alamo Area Council of Governments, by ENVIRON International Corp, Novato, CA. |
| [8] | García-Bustamante E, González-Rouco J F, Jiménez P A, et al. 2009. A comparison of methodologies for monthly wind energy estimation. Wind Energy, 12(7):640-659. |
| [9] | Georgelin M, Bougeault P, Black T, et al. 2000. The second COMPARE exercise:A model intercomparison using a case of a typical mesoscale orographic flow, the PYREX IOP3. Quarterly Journal of the Royal Meteorological Society, 126(564):991-1029. |
| [10] | Guo H, Xu M, Hu Q. 2011. Changes in near-surface wind speed in China:1969-2005. International Journal of Climatology, 31(3):349-358. |
| [11] | Hong S Y, Pan H L. 1996. Nonlocal boundary layer vertical diffusion in a Medium-Range Forecast Model. Monthly Weather Review, 124(10):2322-2339. |
| [12] | Hong S Y, Dudhia J, Chen S H. 2004. A revised approach to ice microphysical processes for the bulk parameterization of clouds and precipitation. Monthly Weather Review, 132(1):103-120. |
| [13] | Hong S Y, Noh Y, Dudhia J. 2006. A new vertical diffusion package with an explicit treatment of entrainment processes. Monthly Weather Review, 134(9):2318-2341. |
| [14] | Jiménez P A, González-Rouco J F, Montávez J P, et al. 2009. Climatology of wind patterns in the northeast of the Iberian Peninsula. International Journal of Climatology, 29(4):501-525. |
| [15] | Jiménez P A, González-Rouco J F, Garcia-Bustamante E, et al. 2010. Surface wind regionalization over complex terrain:Evaluation and analysis of a high-resolution WRF simulation. Journal of Applied Meteorology and Climatology, 49(2):268-287. |
| [16] | Jiménez P A, Dudhia J. 2012. Improving the representation of resolved and unresolved topographic effects on surface wind in the WRF Model. Journal of Applied Meteorology and Climatology, 51(2):300-316. |
| [17] | Jimenez P A, Dudhia J. 2013. On the ability of the WRF model to reproduce the surface wind direction over complex terrain. Journal of Applied Meteorology and Climatology, 52(7):1610-1617. |
| [18] | Kain J S. 2004. The Kain-Fritsch convective parameterization:An update. Journal of Applied Meteorology, 43(1):170-181. |
| [19] | Klink K. 2002. Trends and interannual variability of wind speed distributions in Minnesota. Journal of Climate, 15(22):3311-3317. |
| [20] | Kusaka H, Kondo H, Kikegawa Y, et al. 2001. A simple single-layer urban canopy model for atmospheric models:Comparison with multi-layer and slab models. Boundary-Layer Meteorology, 101(3):329-358. |
| [21] | Kusaka H, Kimura F. 2004. Coupling a single-layer urban canopy model with a simple atmospheric model:Impact on urban heat island simulation for an idealized case. Journal of the Meteorological Society of Japan, 82(1):67-80. |
| [22] | Mass C, Ovens D. 2010. WRF model physics:Problems, solutions, and a new paradigm for progress.//Preprints, 2010 WRF Users' Workshop, Boulder, CO, NCAR. |
| [23] | Mass C, Ovens D. 2011. Fixing WRF's high speed wind bias:A new subgrid scale drag parameterization and the role of detailed verification.//Preprints, 24th Conf. on Weather and Forecasting/20thConf. on Numerical Weather Prediction, Seattle, WA, Amer. Meteor. Soc., 9B. 6. |
| [24] | Mass C. 2012. Improved subgrid drag of hyper PBL/vertical resolution? Dealing with the stable PBL problems in WRF. WRF users' workshop, Boulder, CO. |
| [25] | Milton S F, Wilson C A. 1996. The impact of parameterized subgrid-scale orographic forcing on systematic errors in a global NWP model. Monthly Weather Review, 124(9):2023-2045. |
| [26] | Mlawer E J, Taubman S J, Brown P D, et al. 1997. Radiative transfer for inhomogeneous atmospheres:RRTM, a validated correlated-k model for the longwave. Journal of Geophysical Research-Atmospheres, 102(D14):16663-16682. |
| [27] | Rife D L, Davis C A, Liu Y B, et al. 2004. Predictability of low-level winds by mesoscale meteorological models. Monthly Weather Review, 132(11):2553-2569. |
| [28] | Rontu L. 2006. A study on parametrization of orography-related momentum fluxes in a synoptic-scale NWP model. Tellus A, 58(1):69-81. |
| [29] | Roux G, Liu Y B, Monache L D, et al. 2009. Verification of high resolution WRF-RTFDDA surface forecasts over mountains and plains. 10th WRF users' workshop, 20-23. |
| [30] | Shimada S, Ohsawa T, Chikaoka S, et al. 2011. Accuracy of the wind speed profile in the lower PBL as simulated by the WRF model. Sola, 7:109-112. |
| [31] | Skamarock W C, Klemp J B, Dudhia J, et al. 2008. A description of the Advanced Research WRF version 3. NCAR Tech. Rep.TN-4751STR, 113 pp. |
| [32] | Stull R B. 1988. An Introduction to Boundary Layer Meteorology. Netherlands:Springer. |
| [33] | Whiteman C D. 2000. Mountain Meteorology:Fundamentals and Applications. Oxford:Oxford University Press. |
| [34] | Willmott C J, Ackleson S G, Davis R E, et al. 1985. Statistics for the evaluation and comparison of models. Journal of Geophysical Research:Oceans, 90(C5):8995-9005. |
| [35] | Yang G, Liu S H, Zhu R, et al. 2011. Numerical simulation of features of boundary-layer over Poyang Lake area. Chinese J. Geophys.(in Chinese), 54(4):896-908, doi:10.3969/j.issn.0001-5733.2011.04.003. |
| [36] | Zhang B H, Liu S H, Liu H P, et al. 2012. The effect of MYJ and YSU schemes on simulation of boundary layer meteorological factors of WRF. Chinese J. Geophys.(in Chinese), 55(7):2239-2248, doi:10.6038/j.issn.0001-5733.2012.07.010. |
| [37] | 杨罡, 刘树华, 朱蓉等. 2011. 鄱阳湖地区大气边界层特征的数值模拟. 地球物理学报, 54(4):896-908, doi:10.3969/j.issn.0001-5733.2011.04.003. |
| [38] | 张碧辉, 刘树华, Liu H P等. 2012. MYJ和YSU方案对WRF边界层气象要素模拟的影响. 地球物理学报, 55(7):2239-2248, doi:10.6038/j.issn.0001-5733.2012.07.010. |
2016, Vol. 59














