引用本文

孙瑞莹, 印兴耀, 王保丽, 张广智. 2016. 基于随机地震反演的Russell流体因子直接估算方法. 地球物理学报, 59(3): 1143-1150, doi: 10.6038/cjg20160334

SUN Rui-Ying, YIN Xing-Yao, WANG Bao-Li, ZHANG Guang-Zhi. 2016. A direct estimation method for the Russell fluid factor based on stochastic seismic inversion.
Chinese J. Geophysics, 59(3): 1143-1150, doi: 10.6038/cjg20160334

基于随机地震反演的Russell流体因子直接估算方法
孙瑞莹

, 印兴耀, 王保丽, 张广智
中国石油大学(华东)地球科学与技术学院, 山东 青岛 266580
收稿日期: 2014-10-29 2015-06-29 收修定稿
基金项目: 国家重点基础研究发展计划(973计划)(2013CB228604)、国家科技重大专项(2011ZX05009)、山东省自然科学基金(ZR2011DQ013)和国家自然科学基金(41204085)联合资助.
作者简介: 孙瑞莹,女,1988年生,硕士研究生,主要研究方向为储层地球物理反演.E-mail: sunry4@cnooc.com.cn
摘要: 本文研究了一种基于随机地震反演的Russell流体因子直接估算方法,该方法是一种基于蒙特卡罗的非线性反演,能够有效地融合测井资料中的高频信息,提高反演结果的分辨率.本文应用贝叶斯理论框架,首先通过测井数据计算井位置处的Russell流体因子,利用序贯高斯模拟方法(sequential Gaussian simulation, SGS)得到流体因子的先验信息;然后构建似然函数;最后利用Metropolis抽样算法对后验概率密度进行抽样,得到反演的Russell流体因子.其中对每道数据进行序贯高斯模拟时,采用一种新的逐点模拟方式,具有较高的计算速度.数值试验表明:反演结果与理论模型和实际测井数据吻合较好,具有较高的分辨率,对于判识储层含流体特征具有较好的指示作用.
关键词:
序贯高斯模拟
贝叶斯理论
Russell流体因子
高分辨率
随机地震反演
A direct estimation method for the Russell fluid factor based on stochastic seismic inversion
SUN Rui-Ying

, YIN Xing-Yao, WANG Bao-Li, ZHANG Guang-Zhi
School of Geosciences, China University of Petroleum(Huadong), Shandong Qingdao 266580, China
Abstract: Most fluid factors are based on single-phase medium theory. However, the rock-physics based on two-phase medium theory can better study the effects of pore fluid on the elastic properties of rock medium. The Russell fluid factor is the most commonly used two-phase fluid factor. It has higher fluid sensitivity for which the consolidation is mature and the porosity change is relatively small. And stochastic seismic inversion can simulate the information from the seismic frequency range with spatial constraints of the well-logging data. Its resolution is higher than that of conventional deterministic inversion method. In this paper we propose a direct estimation method for the Russell fluid factor based on stochastic seismic inversion.It is a Monte Carlo based strategy for non-linear inversion, which can effectively integrate the high-frequency information of well-logging data and have a higher resolution. The method is formulated in the Bayesian framework. Firstly, we calculate the Russell fluid factor using well-logging data and get the priori information of fluid factor through the improved sequential Gaussian simulation(SGS). Then we construct the likelihood function combining high-frequency priori constraints based on geostatistics and low-frequency constraints commonly used in deterministic inversion, which overcomes the frequency missing problem caused by band-limited properties of the wavelet. When calculating synthetic seismogram we use the exact Zoeppritz equation which can reduce the errors caused by Zoeppritz equation approximations. Here, we define the priori information and likelihood function as Gaussian probability density. As a consequence of nonlinearity, no closed form expression of the posteriori probability density can be formulated. Therefore, we apply the Metropolis algorithm to obtain an exhaustive description of the posteriori probability density.Although the stochastic seismic inversion method can effectively integrate high-frequency information of well-logging data, however, it has low computation efficiency and too much memory consumption, which limits its application to real data. In this paper, we use the sequential Gaussian simulation(SGS) in a new implementation way to construct the geostatistical priori information. It simulates only one point and one grid rather than the whole trace at one time until all the grid nodes are simulated. When the simulated result is better than the initial model, we accept it and renew the initial model. Otherwise, the initial is kept. When the simulations of all the grids are finished, one realization is realized. After that the realization is repeated until meeting the convergence conditions. The simulation method not only can improve the computational accuracy of inversion results, but also can improve the computational efficiency.The numerical calculations show that the final results match the model well and have a higher resolution, which can identify the thin reservoirs. So the inversion method has good robustness. In addition, real data analysis also shows that Russell fluid factor we inverted is a sensitive indicator for reservoir fluid identification. Therefore the model trial and real data analysis verify the feasibility of the proposed inversion method.The direct estimation method for the Russell fluid factor based on stochastic seismic inversion combines the well-logging data and seismic constraints to achieve the direct estimation of the Russell fluid factor, which avoids the accumulation of errors and uncertainties of transmission. It provides a sensitive and reliable data support for fluid identification of thin reservoirs.
Key words:
Sequential Gaussian simulation
Bayesian theory
Russell fluid factor
High-resolution
Stochastic seismic inversion
1 引言
石油勘探和开发已经从简单的构造识别转向复杂构造、薄储层以及老油田剩余油的研究.从地震数据等已有资料中得到高分辨率的流体指示因子,可以更加有效地进行储层预测和流体识别.随机反演是一种有别于常规高分辨率反演的方法.许多学者已经对确定性反演和随机反演进行了研究对比(Francis,2005,2006a,2006b;Moyen and Doyen,2009;Sams and Saussus,2008;Sancevero et al.,2005).研究表明,确定性反演可以给出唯一的局部平滑估计,而随机反演方法则提供了多个反演结果,并且同时满足实际地震观测数据和测井数据,能合理估计并反映出确定性反演中被平滑掉的不确定性信息.相比随机反演,确定性反演方法具有横向连续性好、计算速度快的特点,因此应用范围较广.而随机反演由于计算速度慢等原因(Dubrule et al.,1996),使用范围较小.但是近些年,由于随机反演能够在测井数据的空间相关约束下,模拟出地震频率范围以外的信息,分辨率高于常规的确定性反演方法,随机反演方法越来越受到关注.
国内外许多学者基于弹性参数提出了不同的流体因子类型及其识别方法.最早的流体因子是由Smith和Gidlow(1987)提出,并特指由纵横波速度相对变化量的权差运算构成的一种参数.后来,Goodway等(1997)提出了利用介质拉梅模量参数识别流体的LMR(Lamda-Mu-Rho)技术;Biot(1941)和Gassmann(1951)分别考虑了多孔流体饱和岩石情况下的流体因子构建方法;Russell等(2003)总结前人观点,基于多孔弹性介质理论提出了Russell流体因子;Quakenbush等(2006)提出了基于纵横波阻抗的泊松阻抗概念.为了降低流体因子计算过程中的不确定性以及累计误差,实现流体因子的可靠估算,国内外学者做了很多努力.王保丽等(2005)将弹性阻抗反演和参数提取方法应用于实际资料并取得良好效果.随后,王保丽等人(2007)还基于Gray近似推导了包含拉梅模量参数的弹性阻抗方程,实现了基于弹性阻抗反演的拉梅参数直接提取;印兴耀等(2010)则推导了包含Gassmann流体项的弹性阻抗公式,研究了Gassmann流体项的直接提取方法,取得了较好的流体识别效果.宗兆云等(2011a,2011b,2012)探索了弹性阻抗反演在碳酸盐岩储层和碎屑岩流体识别中的应用.Zong等(2013)研究了非均质储层流体因子的直接提取方法.印兴耀等(2014)阐述了基于叠前地震反演的流体识别方法研究进展,给出了新的流体因子分类方法.
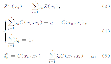
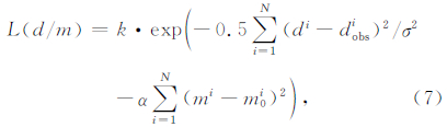
本文提出的流体因子估算方法实现了Russell流体因子的直接估计,为储层流体识别提供了敏感且可靠的数据支撑.这里假定基于地质统计学的先验信息和似然函数都服从高斯分布,那么乘积得到的后验信息就是非高斯分布,即不能得到后验概率密度的解析解.对于后验概率密度无法用公式表达的情况,需要对后验概率密度进行抽样来求解反演问题.本文采用Metropolis准则进行抽样运算.因此,本文提出的反演方法基于蒙特卡罗理论,结合了序贯高斯模拟和Metropolis算法,通过模型数据和实际数据的试算分析可以验证本文提出的流体因子估算方法的有效性.
2 方法原理
本文在贝叶斯理论框架下,首先根据测井数据和岩心数据计算井位置处的Russell流体因子,通过序贯高斯模拟得到Russell流体因子的高斯先验概率密度,然后构建似然函数,最后利用Metropolis算法对后验概率密度进行抽样,如果满足接受概率,则得到反演的Russell流体因子信息,如果不满足接受概率,则需重新进行序贯高斯模拟.本文提出的基于随机地震反演的Russell流体因子直接估算方法流程如图 1所示.