传统的地震烈度已广泛应用于地震动空间特征和震害空间特征的定性描述.地震烈度的概念诞生于现代地震仪出现之前,但却提供了一种描述复杂地面运动的简单方法.更有意义的是,在许多情况下烈度还成为定量描述灾害性地震地震动水平的唯一参数(Wald et al., 1999a, 1999b).
虽然地震烈度起初属于定性参数,但试图建立其与地面加速度和速度这样的定量参数的关系的工作早已开始(Gutenberg and Richter, 1942, 1956; Murphy and O′Brien, 1977).然而,由于地震烈度的原始定义,实际上很难建立其与地面加速度或者速度这些定量参数的简单关系,所以迄今为止类似的工作还在继续(李大华和左慧强,1991;Wald et al., 1999a; 陈鲲等,2014).况且,地震烈度还具有明显的区域特征(Wald et al., 1999a; 汪素云等,2000;Karim and Yamazaki, 2002; Wu et al., 2003; Atkinson and Kaka, 2007; 俞言祥等,2013).
建立烈度和地震动参数之间的定量关系的目的大体有两个,一是通过烈度来计算地震动参数,这对那些没有地震动参数的地区尤其必要;二是通过地震动参数计算烈度,这对那些没有标志性震害的地区尤其重要.前者可以为工程设计服务,后者至少可以为应急救灾服务.需要强调的是,就因为后者,近十多年来出现了一个新的重要的研究方向,即破坏性地震烈度的快速预测或计算(Teng et al., 1997; Wald et al., 1999b; Wu et al., 2001; 李山有等,2002;王玉石等,2008;Moratto et al., 2009).
到目前为止,基于实测加速度或者速度峰值的预测技术似乎成为快速预测烈度的主流技术(Teng et al., 1997; Wald et al., 1999b; Wu et al., 2001; Moratto et al., 2009).但这种技术需要足够的强震记录或地震记录作前提.显然,面对没有足够记录设备的地区,这种技术便无能为力.于是,有人开始探索利用震源模型计算地面运动,进而用合成地面运动预测烈度的方法(徐剑侠等,2015),但这种技术似乎离不开高性能的计算设备,且高频地震动模拟仍很困难.
面对无记录设备的地区,一个较好的选择是利用烈度衰减经验关系.事实上,世界上关于烈度衰减规律的研究工作已经有相当的积累(Bormann, 2012; 俞言祥等,2013).但这些工作都是针对地震点源或线源,至少没有考虑有限震源的动态破裂过程.我们知道,一个有限震源总是可以考虑成多个点源的集合,因此基于点源的烈度衰减规律拓广到有限震源的烈度估计是完全可能的.所以,在这里我们将尝试一种新方法.这种方法源于点源的烈度衰减经验关系,但充分考虑震源的有限性以及它的几何学和运动学特性.
实时确定震源破裂过程的技术已逐渐成熟(Zhang et al., 2014b),因此近实时确定烈度分布也必将成为现实.
2 烈度公式的推广一个有限震源总可以看成是多个点源的集合(Lay and Wallace, 1995),同时一个有限震源的形成总是具有或多或少的方向性,且这种方向性引起的多普勒效应必然对烈度具有调制作用.基于上述考虑,我们不妨假设有限震源的第i个源点在第j个场点产生的烈度为Iij,且第j个场点的最终烈度仅取决于所有源点在此点烈度的最大值,因此有限动态源产生的烈度IFDj可以描述为
|
(1) |
|
(2) |
|
(3) |
|
(4) |
|
(5) |
式(2)中,MS为地震的面波震级,而MSi为点源i的面波震级;式(3)中,o表示起始破裂点,μ和n为依赖于震源几何学和运动学特性的经验性常数,Vr和VS分别为震源破裂速度和震源区S波速度,φi和φj分别表示源点i和场点j相对于起始破裂点的方位角.其中,Iij满足点源的烈度衰减关系,这是一个依赖于地域的经验性关系,比如我国第五代烈度区划图的编制采用(俞言祥等,2013)
|
(6) |
|
(7) |
和
|
(8) |
分别描述中国东部、新疆地区和青藏地区的烈度衰减规律,而用
|
(9) |
描述中强地震区的烈度衰减规律.(6)—(9)式中R为震中距.而澳大利亚则采用
|
(10) |
和
|
(11) |
分别描述板内地震和板间地震的烈度衰减规律(Borman, 2012).注意,(10)和(11)式中R为震源距.换言之,(3)式中的Iij可以根据具体地域选择使用.
我们还知道,面波震级和标量地震矩具有如下经验关系(Lay and Wallace, 1995):
|
(12) |
而矩震级则可以利用标量地震矩M0(N·m)由(13)式确定(Shearer, 1999),
|
(13) |
所以,点源的烈度衰减关系可以用面波震级来计算,也可以用标量地震矩或矩震级来计算.由此可见,有限动态源的烈度可以由通过波形反演确定的标量地震矩的空间分布即有限动态源破裂模型加以确定.
3 数值检验 3.1 经验常数的影响第2节给出的烈度估计公式涉及到两个经验性参数μ和n,这两个参数主要依赖于震源的几何学和运动学特性,因此其取值应依赖于大量的实例.不过,在还没有大量应用实例的情况下,通过数值实验为其选择一个合适值或取值范围是权宜之计.这里我们选用(8)式描述的衰减关系,借助于简单的线源模型,通过数值试验考察这两个参数对烈度分布的影响,并为μ和n选择合适的值或取值范围.
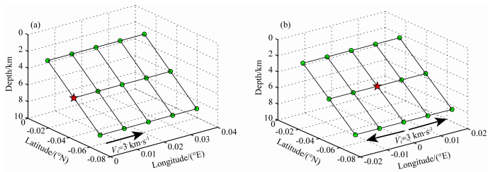
选用的线源模型分别如图 1所示的单侧破裂和双侧破裂两种情形,均由15个点源构成,点源间距为1 km,震源深度均为5 km,单侧破裂从左向右,双侧破裂从中间位置分别向两侧.为了避免破裂速度的影响,这里设置破裂速度等于S波速度,均为3 km·s-1.为了简单起见,这里令Mw=7且地震矩平均分配于各点源.
|
图 1 线源破裂模型 黑色箭头示意破裂方向,红色五角星表示起始破裂点.破裂速度均为3 km·s-1.(a) 单侧破裂;(b) 双侧破裂. Fig. 1 Line-type rupture model Black arrows indicate rupture directions, and red stars refer to initiation point. Rupture velocities for both are 3 km·s-1. (a) Unilateral rupture; (b) Bilateral rupture. |
为了测试n的影响,令μ=0.1,而n=1,2,3,4和5,利用基于(8)式的经验关系得到如图 2所示的结果.可以看出,无论是单侧破裂还是双侧破裂,随着n的增大,烈度在破裂传播方向的斜前方随距离的衰减逐渐增大,即n越大衰减越快,可见n主要控制烈度依赖于方位的衰减特性.相互比较,注意到n在2和4之间似乎更符合通常情况下等震线的几何特征.因此,在没有足够实例确定n的情况下,不妨取n=3.
|
图 2 μ固定n变化时预估烈度的空间分布 (a1—a5)对应图 1a所示的单侧破裂;(b1—b5)对应图 1b所示的双侧破裂. Fig. 2 Spatial distributions of the estimated intensity in case where n is changing while μ is fixed (a1—a5) correspond to the unilateral rupture shown in Fig. 1a, and (b1—b5) correspond to the bilateral rupture shown in Fig. 1b. |
为了测试μ的影响,令n=3,但μ=0.05, 0.1, 0.15, 0.20和0.25,计算得到如图 3所示的结果.可以看出,无论是单侧破裂还是双侧破裂,随着μ的增大,烈度在破裂的方向上逐渐增强,且烈度区域逐渐扩展,可见μ主要控制破裂方向对烈度的放大作用.相互比较,注意到μ在0.1与0.2之间的取值似乎更符合通常情况下的等震线几何特征.因此,在没有足够实例的情况下,不妨取μ=0.1.
|
图 3 μ变化n固定时预估烈度的空间分布 (a1—a5)对应图 1a中的单侧破裂;(b1—b5)对应图 1b中的双侧破裂. Fig. 3 Spatial distributions of the estimated intensity in case where μ is changing while n is fixed (a1—a5) correspond to the unilateral rupture shown in Fig. 1a, and (b1—b5) correspond to the bilateral rupture shown in Fig. 1b. |
由此看来,μ决定破裂方向上烈度的放大作用,而n则调制烈度在不同方向的衰减特性.
3.2 倾角和破裂速度的影响真实的地震断层不是一个线源,但大多数情况下可以看成是一个具有一定倾角的面源.倾角不同,断层面上点源的深度不同,而不同深度的点源在同一场点引起的烈度也不同.同时,断层的破裂也具有一定的速度,破裂速度的变化必然引起烈度的变化.因此借助于简单的面源模型、通过数值试验认识断层倾角和破裂速度对烈度的影响是非常必要的.
为了测试断层倾角的影响,这里建立如图 4所示的单侧破裂和双侧破裂模型,并令μ=0.1和n=3.断层平面由15个点源构成,分为3层,每层5个点源,最浅层震源深度为2 km,并让断层平面沿最浅层发生改变,倾角分别为15°、30°、45°、60°和75°.其他参数同上,计算结果如图 5所示.可以看出,倾角引起的变化主要在极震区,倾角增大使极震区缩小;随着距离的增大,倾角的影响逐渐减小.
|
图 4 面源破裂模型 (a) 单侧破裂;(b) 双侧破裂(参看图 1). Fig. 4 Plane-type rupture model (a) Unilateral rupture; (b) Bilateral rupture (also see Fig. 1). |
|
图 5 面源倾角对预估烈度的影响 (a1—a5)对应倾角分别为15°、30°、45°、60°和75°的单侧破裂;(b1—b5)对应倾角分别为15°、30°、45°、60°和75°的双侧破裂. Fig. 5 Influence of the dip of source-plane on the estimated intensities (a1—a5) correspond to the unilateral rupture with the dips 15°, 30°, 45°, 60° and 75°, respectively; (b1—b5)correspond to the bilateral rupture with the dips 15°, 30°, 45°, 60° and 75°, respectively. |
为了测试破裂速度的影响,固定断层倾角为45°,同时令μ=0.1和n=3,但破裂速度由小到大发生变化,分别为Vr=1 km·s-1,2 km·s-1,3 km·s-1,4 km·s-1和5 km·s-1,计算结果如图 6所示.可以看出,破裂速度的影响主要表现在破裂方向上,随着破裂速度的增加,在破裂方向上烈度增大,烈度区域相应扩展,这种特征在极震区尤其明显.
|
图 6 面源破裂速度对预估烈度的影响 (a1—a5)对应破裂速度分别为1 km·s-1、2 km·s-1、3 km·s-1、4 km·s-1和5 km·s-1的单侧破裂;(b1—b5)对应破裂速度分别为1 km·s-1、2 km·s-1、3 km·s-1、4 km·s-1和5 km·s-1的双侧破裂. Fig. 6 Influence of the rupture velocity of plane source on the estimated intensities (a1—a5)correspond to the unilateral rupture with the rupture velocities of 1 km·s-1, 2 km·s-1, 3 km·s-1, 4 km·s-1 and 5 km·s-1, respectively; (b1—b5)correspond to the bilateral rupture with the rupture velocities of 1 km·s-1, 2 km·s-1, 3 km·s-1, 4 km·s-1 and 5 km·s-1, respectively. |
由此看来,断层的倾角和破裂速度对最终烈度的分布都有影响,尤其在极震区.
4 对实际震例的应用 4.1 芦山MS7.0地震2013年4月20日在我国四川芦山发生了MS7.0地震,这是继2008年汶川MS8.0地震之后在龙门山断裂带发生的又一次破坏性地震,造成约200人死亡.地震发生数日后,中国地震局会同其他机构发布了这次地震的烈度图(孟令媛等,2014).为了检验本文提出的有限动态源的烈度预估方法,我们将这种方法应用于这次地震并进行比较讨论.
一个符合实际情况的烈度预估必须基于一个可靠的有限动态源模型.关于这次地震的震源破裂模型已经有多个研究结果(张勇等,2013;王卫民等,2013;刘成利等,2013;赵翠萍等,2013;Hao et al., 2013; Zhang et al., 2014a),但由于使用资料和方法的差异,结果之间也有明显不同.所以,仍有必要利用其他资料和方法进一步确认这次地震的有限动态源模型.与已有研究不同的是,这里采用从区域地震记录(郑秀芬等,2009)中提取的120条基阶Rayleigh波视震源时间函数以及26个站点的三分向静态GPS同震位移作为观测资料.面波视震源时间函数比体波视震源时间函数具有更高的时空分辨能力(Lay and Wallace, 1995),近场GPS资料更有利于约束静态位错分布.另外,这里假设所有的子断层具有相同的震源机制,大大减少了未知数,有利于解的稳定性.
反演结果如图 7所示,起始破裂点(许力生等, 2013b)以南滑动量较大,以西沿断层面较深的区域也具有较大的滑动量,表明破裂有向南和向西扩展的优势,最大滑动量达~1.8 m.总体上, 各个方向均有破裂扩展, 但东北和西北方向相对较弱.需要说明的是,在主要破裂区之外,位于西北方向的较深区域还有一些破裂,但这部分破裂在时间上较晚,在空间上较深,在强度上较弱,因此不能十分确认.
|
图 7 反演得到的芦山MS7.0地震震源模型与余震分布 (a) 芦山MS7.0地震震源模型的三维展示.五角星表示起始破裂点,粗黑线为上边界,颜色表示位错量; (b) 芦山MS7.0地震等效震源与余震震中分布.五角星表示主震震中位置,颜色表示等效震源的震源深度.灰色点表示余震震中. Fig. 7 The inverted rupture model of the Lushan MS7.0 earthquake and the distribution of the aftershocks (a) The rupture model in 3-D frame. Star refers to the initiation point, thick black line shows the upper bounder of the fault plane, the color indicates the slip amount; (b) The epicenters of the equivalent sources of the Lushan MS7.0 earthquake and its aftershocks. Star refers to the epicenter of the Lushan MS7.0 earthquake, and the color indicates the source depths. Grey dots show the aftershocks. |
跟早期我们利用体波反演的结果(张勇等,2013)相比,本研究的反演结果中向深部和西南方向破裂的特征更加明显.早期的结果中最大位错点基本位于起始破裂位置,而本研究的结果中最大位错点在起始破裂点的西南且较深的位置.跟我们后来利用远场和近场加速度资料联合反演的结果(Zhang et al., 2014a)相比,本研究的反演结果展示了一个向西南和深部扩展的破裂过程,而联合反演的结果则展示了一个向东北和浅部扩展的破裂过程.同样,王卫民等(2013)利用远场P波和SH波反演结果也展示了一个向东北和浅部扩展的破裂过程.赵翠萍等(2013)利用远场P波反演的结果却展示了一个从深部向浅部的破裂过程.刘成利等(2013)利用远场P波的反演结果展示了一个近乎以起始点为中心的圆盘形破裂.Hao等(2013)利用远场P波和面波以及近场强震波形反演的结果揭示了和本研究最近似的破裂过程,即沿断层走向向西南和深部扩展的破裂过程.很显然,面波资料发挥了积极的作用.
关于芦山MS7.0地震的震源过程,不同的作者利用不同的方法和资料组合得到了总体特征大体相同但细节上仍存在差异的结果(张勇等,2013;王卫民等,2013;刘成利等,2013;赵翠萍等,2013;Hao et al., 2013; Zhang et al., 2014a),但根据我们多次利用多种资料的反演结果以及其他研究结果,圆盘形破裂为主但在西南方向和沿断层面深度方向的破裂略占优势的破裂模型应当能够反映这次地震的主体特征,因此我们基于这样一个有限动态源模型预估这次地震的烈度分布.
需要说明的是,我们还没有烈度随震源距的衰减关系,但为了体现震源深度以及断层倾角对烈度的影响,这里人为地把(8)式中的震中距改为震源距,补充计算了在震源距代替震中距情况下的烈度分布.
如图 8a所示,如果不考虑震源深度和断层倾角,极震区烈度较大,极震区面积也较大,最大烈度达到IX,很明显这是由于较深的点源(图 7b中蓝色部分)人为抬升到地表所致.如图 8b所示,如果考虑震源深度和断层倾角,较深的点源的影响明显减弱,极震区烈度适度减小,极震区面积也相应缩小,最大烈度降为Ⅷ+.似乎烈度随震源距的衰减关系更恰当.
|
图 8 芦山MS7.0地震预估烈度与调查烈度的比较 (a) 基于震中距的预估烈度;(b) 基于震源距的预估烈度;(c) 调查烈度.黑色空心圆为余震. Fig. 8 Comparison of the investigated intensities with the estimated ones for the Lushan MS7.0 earthquake (a) The forecasted intensities while the epicenter-distance is adopted; (b) The forecasted intensities while the hypocenter-distance is adopted; (c) The investigated intensities. The black open circles are aftershocks. |
从图 8b可以看出,预估烈度能够反映出断层的有限性和破裂方向性的影响.断层以西的烈度高于断层以东且衰减较慢,震中以南的烈度略高于震中以北且衰减较慢,这符合断层近乎西倾,破裂向南且向下传播的震源特征.然而,与图 8c所示的实际调查烈度相比差别仍然明显.从调查烈度看,断层以东的烈度高于断层以西且衰减较慢,这与预估烈度恰好相反.如果不考虑其他因素,实际调查烈度特征应该反映一个向东南倾斜且朝西南破裂的有限动态源模型,而这样一个模型的倾向和走向恰好与实际的震源模型相反.不过,或许我们不能否认,至少余震的分布更支持本研究确定的烈度分布(图 8).
4.2 鲁甸MS6.5地震2014年8月3日16时30分(北京时间)在云南省昭通市鲁甸县发生了MS6.5地震,导致600余人死亡.已有的研究发现,发震断层并不在当地的主要构造且没有明显的地表破裂(徐锡伟等,2014),近场地面运动加速度峰值空间分布不规则(徐锡伟等,2014;陈鲲等,2015),部分远场波形的复杂性难以解释(张勇等,2014),余震非线型分布(房立华等,2014;王未来等,2014;徐甫坤等,2014;张广伟等,2014).这似乎意味着,这次地震的震源过程比较复杂.
关于这次地震的破裂过程或震源模型已经有多个研究结果(张勇等, 2014, 2015;许力生等,2014;刘成利等,2014),但这些结果还不能很好地解释已有观测.本研究展示一种新的不同于已有的反演结果,为这次地震提供一种新的震源模型.
不同于已有的反演研究,我们采用从区域Love波资料(郑秀芬等,2009)中提取的视震源时间函数作为观测资料,根据我们最新确定的余震空间分布以及最新确定的震源机制解(许力生等,2014)构建如图 9所示的弯曲断层模型,并以联合地方台记录和巧家台阵记录借助于非线性方法——逆时成像技术——确定的震源位置(27.089°/103.352°/9.5 km)(许力生等,2014)为起始破裂点.根据余震定位的震中分布,以间隔约1 km的尺度构建断层模型与地表的弯曲交线,然后从地表向深部取13层,相邻两层间的倾角从90°开始,按1°间隔逐渐变成78°,相邻两层沿断层面向下间距均为1 km.
|
图 9 反演得到的鲁甸MS6.5地震震源模型与余震分布 (a) 鲁甸MS6.5地震震源模型的三维展示; (b) 鲁甸MS6.5地震等效震源与余震震中分布(参看图 7). Fig. 9 The inverted rupture model of the Ludian MS6.5 earthquake and the distribution of the aftershocks (a) The rupture model in 3-D frame; (b) The epicenters of the equivalent sources of the Ludian MS6.5 earthquake and its aftershocks (also see Fig. 7). |
需要说明的是,这里使用的主震和余震位置(图 9b)均为我们最新利用逆时成像技术(许力生等, 2013a, 2013c),并使用当地的台站与中国地震局地球物理研究所在此布设的巧家流动台阵的地震记录联合确定的.余震时间跨度为2014年8月1日至2015年3月1日.在这个时间段得以绝对定位的事件2193次,得以双差定位的事件1284次.我们注意到,无论是绝对定位结果还是双差定位结果,与以往发表的结果(房立华等,2014;王未来等,2014)或多或少均有差异.首先,从我们联合定位的结果可以直接看出余震的“L”型分布,而以往的结果并非如此;其次,双差定位后余震均呈“L”型分布,但本文的结果中两翼的夹角要钝于以往的结果.
图 9a展示了反演得到的静态位错分布.可以看出,主要破裂区位于断层弯曲及其偏东南的部位和起始破裂点的上方,近乎单侧破裂,最大位错达1.1 m.早期我们利用远场P波和SH波以及区域台网的长周期体波,并且在假设地震发生在两个相互垂直的断层面的情况下反演得到的震源过程表明,地震起始破裂点位于近东西向的断层,但很快迁移到近南北向的断层,以南北向断层的破裂为主(张勇等,2014).刘成利等(2014)利用长周期区域地震波分别反演了近南北向和近东西向的两个断层面的位错分布,最终认定此次地震发生在近南北向的断层上,主要破裂区位于起始破裂点以南较浅的区域.虽然我们早期使用了相互垂直的共轭断层模型(张勇等,2014),而现在使用了弯曲断层模型;虽然早期使用的资料为远场体波和区域体波,而现在使用的资料是勒夫波视震源时间函数,但反演结果一致表明,破裂起始于近东西向的断层,但很快迁移到近南北向的断层,而且南北向的断层为主要的发震断层.
虽然,鲁甸MS6.5地震的发震断层比较复杂,还有待更深入的研究,但我们认为基于共轭断层模型和弯曲断层模型的反演结果都一致地揭示了这次地震的主要特征.因此,不妨用本研究得到的震源模型计算这次地震的烈度.
图 10展示了利用有限动态源模型计算的烈度分布.如果不考虑震源深度和断层倾角,如图 10a所示,极震区烈度略大,极震区面积也略大,最大烈度达到近Ⅸ;如果考虑震源深度和断层倾角,如图 10b所示,较深的点源的影响明显减弱,极震区明显缩小,最大烈度也相应减小.
|
图 10 鲁甸MS6.5地震预估烈度与调查烈度的比较 (a) 基于震中距的预估烈度;(b) 基于震源距的预估烈度;(c) 调查烈度.黑色空心圆为余震. Fig. 10 Comparison of the investigated intensities with the estimated ones for the Ludian MS6.5 earthquake (a) The forecasted intensities while the epicenter-distance is adopted; (b) The forecasted intensities while the hypocenter-distance is adopted; (c) The investigated intensities. The black open circles are aftershocks. |
从图 10b所示的预估烈度可以看出,在震中东北和东南方向烈度衰减较慢,而在西南和西北方向则较快,这种特征可以被近东西向断层的东向破裂和近南北向断层的南向破裂解释.然而,如图 10c所示的调查烈度则显示,震中西南和西北烈度衰减较慢,而震中东南和东北则较快,似乎恰好与预估烈度相反.另外,预估烈度椭圆的长轴在南东—北西方向,而调查烈度椭圆的长轴在南南东—北北西方向,二者相差约15°左右.我们注意到,实际调查烈度似乎与早期定位的“线型”余震分布符合得更好,而最新的余震定位结果似乎更支持本研究预估的烈度分布.更为重要的是,来自实际加速度记录的强地面运动特征可为本研究确定的烈度分布提供更有利的支持(Hu et al., 2016).
对上述两个实际震例的应用表明,预估烈度特征能够反映有限动态源的震源特性,但与实际调查烈度相比仍有不可忽视的差别.我们认为造成这种差别的原因是两方面的,一方面,预估方法本身没有考虑场地效应;另一方面,实际调查烈度的信息不充分或不独立或不客观.
5 讨论与结论烈度是对地震复杂地面运动的简单描述,更是对震害的直接反映(Wald et al., 1999a, 1999b).当一次破坏性地震发生后,地震造成的震害最受关注.在第一时间获得烈度的空间特征相当于间接地获得了震害的空间分布.因此,快速获取烈度信息对于应急救援十分重要.
烈度的概念诞生于现代地震仪器出现之前,烈度的经验关系似乎缺乏直接的物理意义,然而它能够反映地震的强弱或震害的大小,因此非常实用且十分有效.多少年来,地震学家一直在致力于地震烈度与地震大小以及震中距或震源距关系的研究,但由于数字地震观测和数字地震学的发展时间十分有限,所以上述经验关系大多基于点源假设(汪素云等,2000; Bormann, 2012; 俞言祥等,2013).因此,探究基于近乎符合实际的有限动态源的烈度快速预估方法十分必要.
经典的烈度衰减关系基于地震点源,而实际的地震震源不但具有一定尺度且往往具有一定的几何学属性和运动学属性.然而,实际地震的震源总可以看成是众多点源的集合,这为我们基于点源的经验关系预估有限动态源的烈度分布提供了可能.
本研究提出的预估方法通过场点的最终烈度取决于该点的最大烈度的假设考虑了震源的有限性,通过引入经验性常数μ考虑了由于破裂传播的多普勒效应引起的烈度放大作用,通过引入经验性常数n考虑相对于破裂传播方向的不同方位的烈度衰减特性,还通过引入破裂速度考虑了破裂速度相对于S波速度的大小对烈度的影响,因此本方法充分考虑了有限动态源对烈度的几乎所有影响.这种影响通过数值试验可以得到清楚的阐释.
本研究将提出的方法应用于近年来发生在我国的两次中强地震,2013年4月20日的四川芦山MS7.0地震和2014年8月3日的云南鲁甸MS6.5地震.首先,关于这两次地震震源过程模型有较多研究,而且我们仍在关注这两次地震的震源动态模型的研究;其次,这两次地震的震源模型的有限性以及几何学特性和运动学特性具有代表性,尤其是鲁甸MS6.5地震的共轭断层或者弯曲断层,便于体现这些属性对烈度的影响;最后,这两个地震都具有完整的调查烈度,便于对比讨论.
我们国家还没有广泛使用的烈度随震源距的衰减关系,但事实上深度不同的震源在同一场点的烈度必然不同.为了讨论问题的方便,我们在预估烈度时不但计算了烈度随震中距的变化,也人为地将经验关系中的震中距当作震源距计算了烈度随震源距的变化.很显然,只考虑震中距必然会放大较深震源对烈度的作用.由此看来,一个烈度与震源距的经验关系更恰当.不过,考虑到把震中距人为地改为震源距不会影响震源的有限性以及几何学和运动学特性对烈度空间分布的影响,所以本研究姑且把基于震源距的预估烈度和实际调查烈度进行了对比分析.
对比芦山MS7.0地震的预估烈度和调查烈度,我们注意到,预估烈度能够充分反映断层的有限性以及几何学和运动学特性对烈度的作用,但不同于实际的调查烈度.对比鲁甸MS6.5地震的预估烈度和调查烈度,同样发现,预估烈度能够充分反映断层的有限性以及几何学和运动学特性对烈度的作用,但仍有别于实际的调查烈度.我们认为造成这种差异的原因是两方面的,一方面,预估方法本身没有考虑场地效应;另一方面,实际调查烈度的信息不独立和/或不充分和/或不客观.
综上所述,本研究提出的烈度预估方法是对已有烈度衰减关系的拓展,继承了经典关系的实用和高效的优点,也充分考虑了实际地震震源的有限性以及其几何学属性和运动学属性对烈度的影响.这一点不但从本文的数值试验可以看出,而且从对实际震例的应用也可得以体会.
需要特别说明的是,预估结果的准确性或可靠性归根到底依赖于已有的实际调查烈度.作为本方法核心的基于点源的经验衰减关系归根到底来源于以前的实际调查烈度,实际调查烈度的错误必然导致经验关系的错误;本方法中经验性常数μ和n归根到底也依赖于已有的实际调查烈度,从错误的实际调查烈度无法得到正确的经验性常数.
最后需要强调的是,本文提出的方法只考虑了震源效应,没能考虑场地的作用.
致谢俞言祥研究员为烈度计算提供了指导;中国地震局地球物理研究所国家测震台网数据备份中心(doi:10.11998/SeisDmc/SN)、云南、四川、重庆、青海、贵州、甘肃、陕西、西藏、湖北、宁夏、湖南、广西、河南、山西、内蒙古地震台网为本研究提供地震波形数据;地震科学探测台阵项目为巧家台阵提供了6台甚宽带地震仪.
| Atkinson G M, Kaka S L. 2007. Relationships between Felt intensity and instrumental ground motion in the central United States and California. Bull. Seism. Soc. Amer. , 97 (2) : 497-510. DOI:10.1785/0120060154 | |
| Bormann P. 2012. New Manual of Seismological Observatory Practice (NMSOP-2). IASPEI, GFZ German Research Centre for Geosciences, Potsdam. http://bib.telegrafenberg.de/publizieren/vertrieb/nmsop/ | |
| Chen K, Yu Y X, Gao M T, et al. 2014. Research on method of estimating ground motion parameters in western China using intensity data. Seismology and Geology , 36 (4) : 1043-1052. | |
| Chen K, Yu Y X, Gao M T, et al. 2015. ShakeMap of peak ground acceleration for 2014 Ludian, Yunnan, MS6.5 earthquake. Acta Seismologica Sinica , 37 (3) : 429-436. | |
| Fang L H, Wu J P, Wang W L, et al. 2014. Relocation of the aftershock sequence of the MS6.5 Ludian earthquake and its seismogenic structure.. Seismology and Geology , 36 (4) : 1173-1185. | |
| Gutenberg B, Richter C F. 1942. Earthquake magnitude, intensity, energy, and acceleration. Bull. Seism. Soc. Amer. , 32 (3) : 163-191. | |
| Gutenberg B, Richter C F. 1956. Earthquake magnitude, intensity, energy, and acceleration (second paper). Bull. Seism. Soc. Amer. , 46 (2) : 105-145. | |
| Hao J L, Ji C, Wang W M, et al. 2013. Rupture history of the 2013 MW6.6 Lushan earthquake constrained with local strong motion and teleseismic body and surface waves.. Geophys. Res. Lett. , 40 (20) : 5371-5376. DOI:10.1002/2013GL056876 | |
| Hu J J, Zhang Q, Jiang Z J, et al. 2016. Characteristics of strong ground motions in the 2014 MS6.5 Ludian earthquake, Yunnan, China.. J. Seismol. , 20 (1) : 361-373. DOI:10.1007/s10950-015-9532-x | |
| Karim K R, Yamazaki F. 2002. Correlation of JMA instrumental seismic intensity with strong motion parameters. Earthquake Engineering & Structural Dynamics , 31 (5) : 1191-1212. | |
| Lay T, Wallace T C. Modern Global Seismology. San Diego: Academic Press, 1995 . | |
| Li D H, Zuo H Q. 1991. Conversion between seismic intensity and peak ground shaking. Acta Seismologica Sinica , 13 (1) : 32-40. | |
| Li S Y, Jin X, Chen X, et al. 2002. Rapid reporting of peak strong motion and seismic intensity. Earthquake Engineering and Engineering Vibration , 22 (6) : 1-7. | |
| Liu C L, Zheng Y, Ge C, et al. 2013. .0 Lushan earthquake. Science China:Earth Sciences , 43 (6) : 1020-1026. | |
| Liu C L, Zheng Y, Xiong X, et al. 2014. Rupture process of MS6.5 Ludian earthquake constrained by regional broadband seismograms. Chinese J. Geophys. , 57 (9) : 3028-3037. DOI:10.6038/cjg20140927 | |
| Meng L Y, Zhou L Q, Liu J. 2014. Estimation of the near-fault strong ground motion and intensity distribution of the 2013 Lushan, Sichuan, MS7.0 earthquake. Chinese J. Geophys. , 57 (2) : 441-448. DOI:10.6038/cjg20140210 | |
| Moratto L, Gosta G, Suhadolc P. 2009. Real-time generation of ShakeMaps in the southeastern Alps. Bull. Seism. Soc. Amer. , 99 (4) : 2489-2501. DOI:10.1785/0120080283 | |
| Murphy J R, O'Brien L J. 1977. The correlation of peak ground acceleration amplitude with seismic intensity and other physical parameters. Bull. Seism. Soc. Amer. , 67 (3) : 877-915. | |
| Shearer P M. Introduction to Seismology. Cambridge: Cambridge University Press, 1999 . | |
| Teng T L, Wu L D, Shin T C, et al. 1997. One minute after:Strong-motion map, effective epicenter and effective magnitude. Bull. Seism. Soc. Amer. , 87 (5) : 1209-1219. | |
| Wald D J, Quitoriano V, Heaton T H, et al. 1999a. Relationships between peak ground acceleration, peak ground velocity, and modified Mercalli intensity in California. Earthquake Spectra , 15 (3) : 557-564. DOI:10.1193/1.1586058 | |
| Wald D J, Quitoriano V, Dengler L A, et al. 1999b. Utilization of the Internet for rapid community intensity maps. Seism. Res. Lett. , 70 (6) : 680-597. DOI:10.1785/gssrl.70.6.680 | |
| Wang S Y, Yu Y X, Gao A J, et al. 2000. Development of Attenuation Relations for Ground Motion in China. Earthquake Research in China , 16 (2) : 99-106. | |
| Wang W L, Wu J P, Fang L H, et al. 2014. Double difference location of the Ludian MS6.5 earthquake sequences in Yunnan province in 2014. Chinese J. Geophys. , 57 (9) : 3042-3051. DOI:10.6038/cjg20140929 | |
| Wang W M, Hao J L, Yao Z X. 2013. Preliminary result for rupture process of Apr. 20, 2013, Lushan Earthquake, Sichuan, China. Chinese J. Geophys. , 56 (4) : 1412-1417. DOI:10.6038/cjg20130436 | |
| Wang Y S, Zhou Z H, Wang W. 2008. A hypothesis testing based method for seismic intensity rapid assessment by strong ground motion parameters. Journal of Earthquake Engineering and Engineering Vibration , 28 (5) : 49-54. | |
| Wu Y M, Shin T C, Chang C H. 2001. Near real-time mapping of peak ground acceleration and peak ground velocity following a strong earthquake. Bull. Seism. Soc. Amer. , 91 (5) : 1218-1228. | |
| Wu Y M, Teng T L, Shin T C, et al. 2003. Relationship between peak ground acceleration, peak ground velocity, and intensity in Taiwan. Bull. Seism. Soc. Amer. , 93 (1) : 386-396. DOI:10.1785/0120020097 | |
| Xu F K, Li J, Su Y J. 2014. Relocations of Yunnan Ludian MS6.5 earthquake sequences in 2014. Journal of Seismological Research , 37 (4) : 515-522. | |
| Xu J X, Zhang Z G, Dai W J, et al. 2015. Preliminary simulation of seismic wave propagation and the intensity map for the 25 April 2015 Nepal earthquake. Chinese J. Geophys. , 58 (5) : 1812-1817. DOI:10.6038/cjg20150531 | |
| Xu L S, Du H L, Yan C, et al. 2013a. A method for determination of earthquake hypocentroid:time-reversal imaging technique (I)-Principle and numerical tests. Chinese J. Geophys. , 56 (4) : 1190-1206. DOI:10.6038/cjg20130414 | |
| Xu L S, Yan C, Zhang X, et al. 2013b. Where did the Lushan MS7.0 earthquake occur in the world?. Chinese J. Geophys. , 56 (9) : 2982-2993. DOI:10.6038/cjg20130912 | |
| Xu L S, Yan C, Zhang X, et al. 2013c. A method for determination of earthquake hypocentroid:Time-reversal imaging technique (Ⅱ)-An examination based on people-made earthquakes. Chinese J. Geophys. , 56 (12) : 4009-4027. DOI:10.6038/cjg20131207 | |
| Xu L S, Zhang X, Yan C, et al. 2014. Analysis of the Love waves for the source complexity of the Ludian MS6.5 earthquake. Chinese J. Geophys. , 57 (9) : 3006-3017. DOI:10.6038/cjg20140925 | |
| Xu X W, Jiang G Y, Yu G H, et al. 2014. Discussion on seismogenic fault of the Ludian MS6.5 earthquake and its tectonic attribution. Chinese J. Geophys. , 57 (9) : 3060-3068. DOI:10.6038/cjg20140931 | |
| Yu Y X, Li S Y, Xiao L. 2013. Development of ground motion attenuation relations for the new seismic hazard map of China. Technology for Earthquake Disaster Prevention , 8 (1) : 24-33. | |
| Zhang G W, Lei J S, Liang S S, et al. 2014. Relocations and focal mechanism solutions of the 3 August 2014 Ludian, Yunnan MS6.5 earthquake sequence. Chinese J. Geophys. , 57 (9) : 3018-3027. DOI:10.6038/cjg20140926 | |
| Zhang Y, Xu L S, Chen Y T. 2013. Rupture process of the Lushan 4.20 earthquake and preliminary analysis on the disaster-causing mechanism. Chinese J. Geophys. , 56 (4) : 1408-1411. DOI:10.6038/cjg20130435 | |
| Zhang Y, Wang R J, Chen Y T, et al. 2014a. Kinematic rupture model and hypocenter relocation of the 2013 MW6.6 Lushan earthquake constrained by strong-motion and teleseismic data. Seism. Res. Lett. , 85 (1) : 15-22. DOI:10.1785/0220130126 | |
| Zhang Y, Wang R J, Zschau J, et al. 2014b. Automatic imaging of earthquake rupture processes by iterative deconvolution and stacking of high-rate GPS and strong motion seismograms. J. Geophys. Res.:Solid Earth , 119 (7) : 5633-5650. DOI:10.1002/2013JB010469 | |
| Zhang Y, Xu L S, Chen Y T, et al. 2014. Rupture process of the 3 August 2014 Ludian, Yunnan, MW6.1 (MS6.5) earthquake. Chinese J. Geophys. (in Chinese) , 57 (9) : 3052-3059. DOI:10.6038/cjg20140930 | |
| Zhang Y, Chen Y T, Xu L S, et al. 2015. The 2014 MW6.1 Ludian, Yunnan, earthquake:A complex conjugated ruptured earthquake. Chinese J. Geophys. (in Chinese) , 58 (1) : 153-162. DOI:10.6038/cjg20150113 | |
| Zhao C P, Zhou L Q, Chen Z L. 2013. Source rupture process of Lushan MS7.0 earthquake, Sichuan, China and its tectonic implications. Chin. Sci. Bull. , 58 (28-29) : 3444-3450. DOI:10.1007/s11434-013-6017-6 | |
| Zheng X F, Ouyang B, Zhang D N, et al. 2009. Technical system construction of Data Backup Centre for China Seismograph Network and the data support to researches on the Wenchuan earthquake. Chinese J. Geophys (in Chinese) , 52 (5) : 1412-1417. DOI:10.3969/j.issn.0001-5733.2009.05.031 | |
| 陈鲲, 俞言祥, 高孟潭, 等. 2014. 中国西部地区利用烈度数据估计地震动参数的方法. 地震地质 , 36 (4) : 1043–1052. | |
| 陈鲲, 俞言祥, 高孟潭, 等. 2015. 2014年云南鲁甸MS6.5地震峰值加速度震动图. 地震学报 , 37 (3) : 429–436. | |
| 房立华, 吴建平, 王未来, 等. 2014. 云南鲁甸MS6.5地震余震重定位及其发震构造. 地震地质 , 36 (4) : 1173–1185. | |
| 李大华, 左慧强. 1991. 地震烈度与地震动峰值的转换. 地震学报 , 13 (1) : 32–40. | |
| 李山有, 金星, 陈先, 等. 2002. 地震动强度与地震烈度速报研究. 地震工程与工程振动 , 22 (6) : 1–7. | |
| 刘成利, 郑勇, 葛粲, 等. 2013. 2013年芦山7.0级地震的动态破裂过程. 中国科学:地球科学 , 43 (6) : 1020–1026. | |
| 刘成利, 郑勇, 熊熊, 等. 2014. 利用区域宽频带数据反演鲁甸MS6.5级地震震源破裂过程. 地球物理学报 , 57 (9) : 3028–3037. DOI:10.6038/cjg20140927 | |
| 孟令媛, 周龙泉, 刘杰. 2014. 2013年四川芦山MS7.0地震近断层强地面运动模拟及烈度分布估计. 地球物理学报 , 57 (2) : 441–448. DOI:10.6038/cjg20140210 | |
| 汪素云, 俞言祥, 高阿甲, 等. 2000. 中国分区地震动衰减关系的确定. 中国地震 , 16 (2) : 99–106. | |
| 王未来, 吴建平, 房立华, 等. 2014. 2014年云南鲁甸MS6.5地震序列的双差定位. 地球物理学报 , 57 (9) : 3042–3051. DOI:10.6038/cjg20140929 | |
| 王卫民, 郝金来, 姚振兴. 2013. 2013年4月20日四川芦山地震震源破裂过程反演初步结果. 地球物理学报 , 56 (4) : 1412–1417. DOI:10.6038/cjg20130436 | |
| 王玉石, 周正华, 王伟. 2008. 基于假设检验的地震动强度(烈度)速报方法. 地震工程与工程振动 , 28 (5) : 49–54. | |
| 徐甫坤, 李静, 苏有锦. 2014. 2014年云南鲁甸6.5级地震序列重定位研究. 地震研究 , 37 (4) : 515–522. | |
| 徐剑侠, 张振国, 戴文杰, 等. 2015. 2015年4月25日尼泊尔地震波场传播及烈度初步模拟分析. 地球物理学报 , 58 (5) : 1812–1817. DOI:10.6038/cjg20150531 | |
| 许力生, 杜海林, 严川, 等. 2013a. 一种确定震源中心的方法:逆时成像技术(一)——原理与数值实验. 地球物理学报 , 56 (4) : 1190–1206. DOI:10.6038/cjg20130414 | |
| 许力生, 严川, 张旭, 等. 2013b. 芦山MS7.0地震究竟发生在哪里?. 地球物理学报 , 56 (9) : 2982–2993. DOI:10.6038/cjg20130912 | |
| 许力生, 严川, 张旭, 等. 2013c. 一种确定震源中心的方法:逆时成像技术(二)——基于人工地震的检验. 地球物理学报 , 56 (12) : 4009–4027. DOI:10.6038/cjg20131207 | |
| 许力生, 张旭, 严川, 等. 2014. 基于勒夫波的鲁甸MS6.5地震震源复杂性分析. 地球物理学报 , 57 (9) : 3006–3017. DOI:10.6038/cjg20140925 | |
| 徐锡伟, 江国焰, 于贵华, 等. 2014. 鲁甸6.5级地震发震断层判定及其构造属性讨论. 地球物理学报 , 57 (9) : 3060–3068. DOI:10.6038/cjg20140931 | |
| 俞言祥, 李山有, 肖亮. 2013. 为新区划图编制所建立的地震动衰减关系. 震灾防御技术 , 8 (1) : 24–33. | |
| 张广伟, 雷建设, 梁姗姗, 等. 2014. 2014年8月3日云南鲁甸MS6.5级地震序列重定位与震源机制研究. 地球物理学报 , 57 (9) : 3018–3027. DOI:10.6038/cjg20140926 | |
| 张勇, 许力生, 陈运泰. 2013. 芦山4.20地震破裂过程及其致灾特征初步分析. 地球物理学报 , 56 (4) : 1408–1411. DOI:10.6038/cjg20130435 | |
| 张勇, 许力生, 陈运泰, 等. 2014. 2014年8月3日云南鲁甸MW6.1(MS6.5)地震破裂过程. 地球物理学报 , 57 (9) : 3052–3059. DOI:10.6038/cjg20140930 | |
| 张勇, 陈运泰, 许力生, 等. 2015. 2014年云南鲁甸MW6.1地震:一次共轭破裂地震. 地球物理学报 , 58 (1) : 153–162. DOI:10.6038/cjg20150113 | |
| 赵翠萍, 周连庆, 陈章立. 2013. 2013年四川芦山MS7.0级地震震源破裂过程及其构造意义. 科学通报 , 58 (20) : 1894–1900. | |
| 郑秀芬, 欧阳飚, 张东宁, 等. 2009. "国家数字测震台网数据备份中心"技术系统建设及其对汶川大地震研究的数据支撑. 地球物理学报 , 52 (5) : 1412–1417. DOI:10.3969/j.issn.0001-5733.2009.05.031 | |
2016, Vol. 59
