The measured samples are cut into cylinders along three different directions, parallel(perpendicular to the symmetry axis), vertical to the bedding(parallel to the symmetry axis)and a certain angle(45°)to the symmetry axis. The diameter of samples is 25 mm, and both ends are polished and buffed. The hysteresis curve is obtained by the stress-strain tests under cyclic loading. An ultrasonic detection instrument measures both P and S wave velocity under different confining pressures. Then we take three cores with different angles to get the five independent elastic parameters in the VTI medium. The samples' dynamic elastic modulus and compliance matrix changes with the increasing confining pressure are calculated. The change characteristics of damage parameters under confining pressure are analyzed combining pore deformation theory.
(1)Mudstone and shale have hysteresis effects under cyclic loading because of the unsynchronized phases of stress and strain. The strain phase may lag behind, equal to, or exceed to the stress phase in loading stage. While the strain phases are all lagging behind the stress phase in the unloading stage.(2)When the confining pressure is increased from 1 MPa to 40 MPa with isotropic stress, P and S wave velocities in various directions increase. Compared with P wave velocity parallel to the bedding plane(VPh), the P wave velocity vertical to the bedding plane(VPv)changes less. Also, VPh is greater than VPv, indicating that mudstone and shale have P wave anisotropy. P wave velocity with 45 degrees to the symmetry axis(VP45)is fairly close to VPv. S wave velocity in the direction parallel to the bedding plane(VSh)increases slightly with the increasing stress. Each component of the stiffness matrix also increases with the rise of confining pressure. But P and S wave anisotropy parameters characterized by Thomsen parameters decrease.(3)The dynamic Young's modulus increases with the increase of confining pressure and the amplitude is relatively larger under the low pressure. It will tend to a stable value when the confining pressure is greater than 40 MPa. Similarly, dynamical poisson's ratio also reaches a stable value above 40 MPa. Dynamic shear modulus increases with the growth of confining pressure, but its change rate decreases gradually.(4)The calculated crack damage parameters of mudstone α33 and α11 drop gradually with the increasing confining pressure. α33 is the maximum and α11 is smaller. The crack damage parameters of shale are larger than that of mudstone. α33 decreases with the increase of pressure, showing that the crack number parallel to the bedding plane is the most and the increase of pressure leads to the crack closure.
Mudstone and shale have hysteresis effects under cyclic loading, indicating that they have experienced compaction or overpressure caused by oil and gas generation. The both rocks have a high anisotropy. Microcracks are gradually closed with the increase of the isotropic pressure which will weaken the degree of anisotropy in the sample. As soft fracture space is closed, the dynamic elastic modulus under low pressure has a hardening trend with increasing confining pressure. Variation characteristics of rock compliance and crack damage parameters with the pressure show that shale has a higher degree of anisotropy compared to mudstone. It changes more obviously with pressure and the additional anisotropy caused by cracks is stronger.
岩石的各向异性可以分为两种:一种是由于孔隙、微裂缝的存在以及在不同方向上排列、分布的不同导致的,这种各向异性会随着岩石应力的变化而改变,可以称作应力各向异性,砂岩是这类岩石的代表;另一种是由于岩石颗粒的定向排列引起的,这种各向异性随着岩石应力的变化不会改变,可以称作材料各向异性,最典型的例子就是沉积泥页岩(Banik,1984).泥、页岩约占沉积岩类的75%,是含油气沉积盆地的最主要的盖层岩石.页岩由粉砂和粘土颗粒组成,易破碎;泥岩由粘土颗粒组成,不易分裂;砂泥岩一般是由较低含量的粘土颗粒组成(邓继新等,2004).地震波传播到含油气储层前必须要穿过这些具有内在各向异性的巨厚非渗透性泥、页岩层.近年来,已认为页岩是致密的储气层,页岩的渗透率相当低,在几十毫微达西到几毫达西之问,取决于与相对层理面的方向(刘斌等,1999).通常将层理发育的泥、页岩当作具有横向各向同性的(TI)弹性介质来处理,页岩中各向异性的变化程度相当大,剪切波速度变化可达42%,P波速度变化可达38%(Hornby et al.,1994).由于页岩易脆、性软,岩石物理测定有一定的困难,对于页岩运动学和力学性质实验室测试技术方面需要进一步研究,逐步完善页岩气储层的岩石物理实验手段.国外的一些学者在不同的条件下对泥、页岩弹性性质进行了较为系统的实验研究,研究表明页岩具有横向各向同性.页岩中的速度各向异性归因于许多因素,包括矿物晶体的优势取向(Jones and Wang,1981; Johnston and Christensen,1995),填充微裂纹的流体的存在(Hornby et al.,1994),应力状态以及应力历史(Sayers,1999;Holt et al.,2000),油母岩成分(Vernik and L and is,1996)以及与孔隙流体的物理化学相互作用(Liu et al.,1994).由于实验制样的困难,国内对作为通常油气储集层盖层的泥、页岩速度及其各向异性的岩石物理实验研究较少.研究发现应用差应力能够改变页岩的固有各向异性,应力各向异性相对页岩微结构的方向也是有影响的.Dewhurst和Siggins(2006)研究了Muderong页岩存在平行于层理的应力各向异性,Sarout和(2008a,2008b)注意到来自于各向同性应力场导致P波和S波速度各向异性仅仅很少的改变,而各向异性应力有更为明显的影响.
本文以胜利油田地区泥岩和页岩样品为例,主要研究泥岩和页岩的应力依赖的各向异性特征,通过实验室测量获得页岩和泥岩在不同条件下的速度和各向异性响应特性,研究应力对于泥页岩声波速度和各向异性的影响.
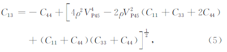
2 实验测试 2.1 实验测试原理地壳介质的各向异性主要是由定向裂隙和薄互层引起的,VTI 介质一般认为是周期性薄互层形成的,对于横向各向同性岩石来说,要对每一块岩石要至少测五次才能得到五个独立的弹性参数C11,C33,C44,C66及 C13,而C11 =C22、C44=C55、C13=C23、C12=C11-2C66.一般说来,要取三个不同角度的岩芯来进行测量才能得到五个独立弹性参数,五个独立的弹性参数可以通过速度和密度求得.
在三个岩芯角度为0°、45°和90°时最为简化,存在以下关系(Liu et al.,1994):





VTI介质弹性硬度张量和韧度张量的关系满足条件为(吴国忱,2006):4





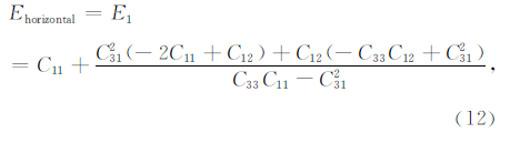
弹性介质的性质是由弹性矩阵 C 确定的,弹性矩阵 C 确定了应力与应变之间的关系,但由其确定弹性波动方程系数的物理意义不很直观,由此导致波传播的相速度隐含在波动方程的系数中,其物理意义不明确,也很复杂.为了方便理论研究和实际应用,围绕波传播的相速度公式,展现公式的物理意义,Thomsen(1986)提出了一套表征TI介质弹性性质的参数:ε,γ,δ,这些值是无量纲的,一般小于0.5;其中ε表征样品纵波各向异性程度,γ反映样品横波各向异性大小.
2.2 实验简介泥、页岩样品中主要的粘土矿物为伊利石,非粘土矿物主要包括石英、长石、白云石.依据实验要求,需将所研究的样品分别沿平行层理方向(垂直于对称轴)、垂直于层理方向(平行对称轴)、与对称轴呈一定角度(本文选择45°)的三个不同方向切制成圆柱状(图 1).所有样品直径均为25 mm,两端面磨平抛光.不选择有明显裂隙以及成分不均匀的样品,以避免给各向异性测量带来误差.在进行室内物理模型的超声波实验测试时,由于测试模型较小、所用的超声波频率高,其波长往往只有几个毫米,实验测试时一定要注意各项变形量(如长度、系统变形等)的校正以保证测试结果的正确和达到要求的精度.
为了研究各向异性差应力条件下页岩的各向异性特性,对单岩心进行试验测试,为了提高测试信号的波速提取精度,采用了以下方法:(1)基于小波分解的信号提取,提高接收信号的信噪比;(2)互相关方法确定时延.
3 实验结果分析 3.1 加载与卸载滞后效应图 2为泥岩在频率为0.2 Hz条件下,静载为1 MPa、动载为10 MPa的循环荷载下岩石的应力σ-轴向和径向应变ε曲线.干燥岩石在循环荷载作用下的应力-应变关系呈现叶状的滞后回线,说明干燥岩石为一种多孔渗水的、有裂隙的材料,与铝、钢等金属材料不同,在不同的程度上都具有滞后的特性,滞后不仅存在于应力-轴向应变之间,也存在于应 力-径向应变之间.在循环荷载情况下,岩石在应力-应变图中出现的滞后回线是由于循环荷载时应力和应变的相位不同步的缘故,在加载阶段,应变的相位可能落后于、相等于、或者超前于应力的相位;在卸载阶段,应变的相位都落后于应力的相位.无论何种情况,应力-应变相位差在加载和卸载时不是相等的,这说明了外部荷载在应力方向反转时应变的相位进行了调整,因此应力-应变滞后回线在荷载反转处是尖叶状的.加载和卸载的差异是由于滞后效果产生的,因为岩石是在压力条件下压实,岩石的结构已经承受了所处位置的最高压力,因此在更高压力条件下岩石才会变形,因此滞后行为反应了岩石经受的最大应力,但是这种滞后的简单解释不能完全诠释实验结果.首先加载和卸载过程的差异既使在压力低于现场压力条件下也能观测到,另外岩石曾经在更大的深度、更高的压力条件下,因此理论上不应该观测到滞后行为.这种观测结果显示页岩气储层岩石在地质时间尺度经历了去压实过程,地质时间尺度的去压实是可能的,因为这些储层由于碳氢化合物的产生会导致明显的超压,使得孔隙空间扩展,更短的去压实可能是由于非弹性应变恢复的效果.
![]() |
图 1 实验样品制备与弹性波速度测量示意图 (a)垂直层理切制的样品;(b)平行层理切制的样品;(c)与对称轴成一定角度切制的样品.图中单箭头代表性波传播方向,双箭头为振动方向,白色框为应变片. Fig. 1 Schematic diagrams of the samples and velocities measured in experiments (a)Vertical to bedding;(b)Parallel to bedding;(c)Oblique to symmetric axis. Single arrow represents direction of wave propagation.Double arrows represent directions of particle motion. Dashed lines represent bedding plies. White frame represent strain gage. |
![]() |
图 2 (a)泥岩的应力-应变曲线,(b)相位不同步现象 Fig. 2 (a)Stress-strain curves of mudstone,(b)Non-synchronism of phases |
大量的岩石物理试验分析表明,泥页岩储层具有强各向异性特征(Dewhurst and Siggins,2006),可见描述砂岩储层的常规岩石物理模型已不足以描述页岩的地球物理响应特征.泥页岩储层的各向异性特征必然引起各种地震属性参数的变化,包括由岩性、裂缝、应力、流体饱和度、孔隙压力相互作用所引起的地下地震波速度以及各种弹性参数的变化等.不平衡的水平应力和垂向上排列的裂缝会引起地震速度随激发—接收方位不同而变化.因此应用方位速度分析可以衡量出速度随方位的变化以及确定方位速度各向异性属性.通过这些研究还可提供有关应力场和天然裂缝系统的信息.应用方位速度各向异性属性可帮助预测可能存在最优应力环境的区域.此外,当需要利用水力压裂改造天然裂缝密度,进而提高采收率时,应力场研究显得特别重要.从地震速度各向异性中估计天然裂缝系统的密度和方位,以及把这些信息与应力场进行相关,能够帮助地球科学家确认出有效的致密非均质储层.
图 3a给出了泥岩样品干燥条件下不同方向速度随压力变化,当围压从1 MPa增加到40 MPa时,各方向的纵横波速度均增加,在低有效应力条件下速度-应力曲线呈非线性,这种非线性在许多岩石类 型中都被发现,包括花岗岩、砂岩以及页岩.Johnston等(1994)在低孔隙压力条件下测试了页岩的速度-应力关系,在他测试的页岩中低有效应力条件下的非线性远小于砂岩中的.Jones和Wang(1981)报道了浅部非压实页岩在低应力条件下的非线性行为.和L and is(1996)注意到页岩中的非线性行为.相对VPh而言,VPv变化相对较小,VPh大于VPv,泥岩样品具有P波各向异性,VP45和VPv相差不大,图 3b显示VSh随着应力的增加而稍稍增加.页岩中的微裂纹平行于层理的多于垂直层理的,沉淀和压实过程的结果导致各种矿物层状分布,物理和力学特性的差异导致平行于层理存在较为脆弱的平面,当岩石样品从地下取出时,现场应力的释放诱发沿着微弱层理面的微裂纹,随着围压从0增加到40 Mpa,测量速度增加,显示这种不连续微裂纹随着围压的增加而闭合.围压的增大使岩石中的微裂 隙闭合,岩石中沿各方向传播的纵、横波速度都增大.
![]() |
图 3 (a)泥岩样品干燥条件下不同方向纵波速度随压力变化,(b)泥岩样品干燥条件下不同方向横波速度随压力变化,(c)页岩样品干燥条件下不同方向纵波速度随压力变化,(d)页岩样品干燥条件下不同方向横波速度随压力变化 Fig. 3 Variations of velocities in different directions with pressure,(a)VP of dry mudstone,(b)VS of dry mudstone,(c)VP of dry shale,(d)VS of dry shale |
图 4a和图 4c给出了泥页岩样品干燥条件下韧度矩阵随围压变化的变化,随着围压的增加,韧度矩阵的各个分量都有所减小.VTI介质的力学各向异性通常采用Thomsen各向异性参数描述,由于页岩泥岩层理分布明显,在取样时垂直层理取芯较为困难,一般都碎成比较明显的层理片,泥页岩油气富集储层具有强各向异性特征,各向异性的强度高达30%~40%,平均约为15%.图 4b和图 4d给出了泥页岩岩样各向异性Thomsen参数随围压变化,随围压的增加,泥、页岩各方向的纵、横波速度均增大,但由Thomsen参数所表征的岩石的纵、横波各向异性大小却随压力的增加而减小.图 5给出了泥岩和页岩的相速度和群速度随角度的变化情况.
![]() |
图 4 泥岩(a,b)与页岩(c,d)岩样韧度(a,c)与各向异性参数(b,d)随围压变化 Fig. 4 Compliances and anisotropy parameters versus confining pressure,(a) and (b)Mudstone,(c) and (d)Shale |
页岩中的超声各向异性依赖于孔隙度、压实历史和颗粒成分,在各向同性应力状态下各向异性的改变归因于颗粒排列方式的改变和孔隙度的减少,孔隙度在试验中改变较小.应力加载过程中可能产生两种效果,一是压力的作用使颗粒的定向性增强,随压力的增加样品中矿物颗粒的定向排列程度提高将导致岩石各向异性的增大,另一方面样品中平行于层面理排列的微裂隙也会因压力的增大而闭合,从而使岩石的各向异性变小,两种效果产生的结果是相反的,从实验结果看,平行于层理面的微裂隙随压力的变化是导致实验样品速度各向异性随压力降低的主导因素.以往的研究中,Hornby等(1998)的工作显示压实会增加粘土颗粒的定向排列,从而增 加各向异性.Sayers等(Sayers et al.,1990; Sayers,1999)认为页岩中孔隙空间的变形和形状是影响各向异性的重要因素.Vernik和Nur(1992)发现各向异性随着有机质成分增加,有机质成分的增加会使得密度减少,因此会产生与压实相反的效果.
3.3 动态弹性模量特征分析对于VTI介质,水平分层的页岩,动态杨氏模量与刚度系数的关系为(Horsrud et al.,1998;Pervukhina et al.,2008)



剪切模量满足条件为








动态弹性模量在低压条件下随着围压的增加有硬化趋势,这主要是由于软裂隙空间的闭合.动态测量中超声波传播过程应变幅度小于10-7,是材料在试验中一个确定点的快照式测量,动态模量的改变能够研究弹性孔隙结构随压力的变化.图 6a给出了动态杨氏模量随着围压的变化,杨氏模量随着围压的增大而增大,在低压阶段增大的幅度相对更大;在围压大于40 MPa时,动态杨氏模量趋于一个稳定值.由于平行于层理面的裂纹闭合导致动态杨氏模量各向异性减少,在高压下仍然存在层理导致的杨氏模量的固有各向异性.图 6b给出了动态泊松比随着围压的变化,当围压大于40 MPa时,达到一个稳定值.图 6c给出了动态剪切模量随着围压的变化,G13和G23随着围压的增大而增大,但是随着围压的增大其变化率减小.
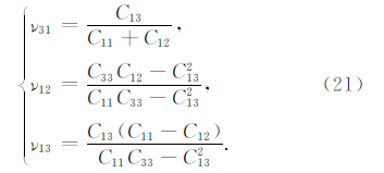
4 孔隙变形理论分析页岩的各向异性是由层理构造和柔性裂纹分布造成的,页岩的韧度矩阵可以表示为(Horsrud et al.,1998)

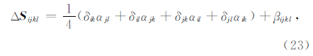
Δ S ijkl为裂纹导致附加韧度(Sayers et al.,1990),满足条件为



通常情况下有:


从微观结构分析可知裂纹特征非常复杂,具有粗糙的边界、非线性的几何形状以及不规则的交点.样品中裂纹的存在是由于其流体力学历史所造成的,样品中的孔隙包含原位孔隙度、应力恢复导致的孔隙度和孔隙流体超压造成的孔隙度.较低围压条件下的动态硬度的改变可以认为是孔洞的几何变化(Pervukhina et al.,2008; Gurevich et al.,2011).
根据前面的公式可得:

![]() |
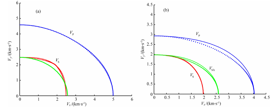
图 5 泥岩(a)和页岩(b)的相速度和群速度(其中相速度和群速度分别对应实线和虚线) Fig. 5 Phase(solid line) and group(dashed line)velocities of mudstone(a) and shale(b) |
![]() |
图 6 不同围压条件下的杨氏模量、泊松比和剪切模量的变化 Fig. 6 Dynamic Young′s Moduli,Poisson′s ratios and shear moduli in the vertical, horizontal and at 45° directions versus confining pressure |
![]() |
图 7 裂纹闭合导致的韧度的变化(a)泥岩,(b)页岩 Fig. 7 Compliance variation caused by crack closure for mudstone(a) and shale(b) |
![]() |
图 8 围压加载条件下的损伤参数变化 (a)泥岩;(b)页岩. Fig. 8 ariations of damage parameters under hydrostatic loading (a)Mudstone;(b)Shale. |
泥岩页岩的地球物理特性受到许多岩石参数包括矿物成分、孔隙度、裂纹的空间分布和几何特性以及各种成分排列的影响.当然中国大部分沉积岩以陆相或交互相为主,泥岩和页岩的矿物成分、组分变化很大,不同地区具有不同的性质,针对不同地区,需要开展深入的岩石物理测试分析.通过所取东营地区的泥页岩岩心的测试数据分析,可以得到如下的结论.
(1)泥页岩在循环载荷下存在滞后效应,表明其经历了去压实或油气产生导致的超压.
(2)相同围压下,轴压增大,VP、VS均增大,低压时波速随压力增大迅速,增速随压力的增大而减小,并趋于一常数值.当围压增加时,VPh增加,VPv变化相对较小,VPh大于VPv,显示泥岩和页岩样品具有P波各向异性,Vp45和VPv相差不多,VSh随着应力的增加而稍稍增加,刚度矩阵的各个分量都有所增加,而由Thomsen参数所表征的岩石的纵、横波各向异性大小却随压力的增加而减小.由于软裂隙空间的闭合,动态弹性模量在低压条件下都随着围压的增加有硬化趋势.
(3)泥、页岩表现出不同程度的各向异性,相比泥岩,页岩各向异性程度更高,随压力变化更明显,其裂纹导致的附加各向异性更强,随着各向同性压力的增高微裂隙逐渐闭合,样品的各向异性程度减弱;岩石的应力各向异性主要是由岩石内部的裂隙的形变引起的.随着应力增加,裂隙逐渐压缩,声波速度随之逐渐增加.这是因为岩石内部裂隙的分布并不均匀,当应力增加时,不同方向上裂隙的压缩量不一样,从而导致不同方向声波速度的增加量不一样,应力各向异性系数就会随着应力增加而出现波动.随着应力增加,岩石的各向异性系数越来越趋向于一定值.岩石的弹性模量也逐渐增加,随着应力增加,裂隙变形就越来越小,岩石各个方向上的孔隙变形差异也越来越小,导致应力各向异性系数波动幅度也越来越小.
致谢 特别感谢外审专家对本论文提供的建设性的建议!
[1] | Banik N C. 1984. Velocity anisotropy of shales and depth estimation in the North Sea basin. Geophysics, 49(9):1411-1419. |
[2] | Becker K, Shapiro S A, Stanchits S. 2007. Stress induced elastic anisotropy of the Etnean basalt:Theoretical and laboratory examination. Geophysical Research Letters, 34(11):L11307, doi:10.1029/2007GL030013. |
[3] | Deng J X, Shi G, Liu R X, et al. 2004. Analysis of the velocity anisotropy and its afection factors in shale and mudstone. Chinese J. Geophys.(in Chinese), 47(5):862-868. |
[4] | Dewhurst D N, Siggins A F. 2006. Impact of fabric, microcracks and stress field on shale anisotropy. Geophysical Journal International, 165(1):135-148. |
[5] | Gurevich B, Pervukhina M, Makarynska D. 2011. An analytic model for the stress-induced anisotropy of dry rocks. Geophysics, 76(3):WA125-WA133. |
[6] | Holt R M, Brignoli M, Kenter C J. 2000. Core quality:quantification of coring-induced rock alteration. Int. J. Rock Mech & Min. Sci., 37(6):889-907. |
[7] | Hornby B E, Schwartz L M, Hudson J A. 1994. Anisotropic effective-medium modeling of the elastic properties of shales. Geophysics, 59(10):1570-1583. |
[8] | Hornby B E. 1998. Experimental laboratory determination of the dynamic elastic properties of wet, drained shales. Journal of Geophysical Research, 103(B12):29945-29964. |
[9] | Horsrud P, Snsteb E F, Be R. 1998. Mechanical and petrophysical properties of North Sea shales. International Journal of Rock Mechanics and Mining Sciences, 35(8):1009-1020. |
[10] | Johnston J E, Christensen N I. 1994. Elastic constants and velocity surfaces of indurated anisotropic shales. Surveys in Geophysics, 15, 481-494. |
[11] | Johnston J E, Christensen N I. 1995. Seismic anisotropy of shales. Journal of Geophysical Research, 100(B4):5991-6003. |
[12] | Jones L, Wang H F. 1981. Ultrasonic velocities in Cretaceous shales from the Williston Basin. Geophysics, 46(3):288-297. |
[13] | Liu B, Wang B S, Xi D Y. 1999. The effects of water saturated cracks on seismic velocity and anisotropy in crustal rocks. Chinese J. Geophys.(in Chinese), 42(5):702-710. |
[14] | Liu X Z, Vernik L, Nur A. 1994. Effects of saturating fluids on seismic velocities in shales. 64th Annual International Meeting. SEG, Expanded Abstracts, 1121-1124. |
[15] | Mavko G, Mukerji T. 1998. The Rock Physics Handbook:Tools for Seismic Analysis in Porous Media. Cambridge:Cambridge University Press. |
[16] | Pervukhina M, Gurevich B, Kuila U, et al. 2008. Stress-dependent elastic properties of shales:Measurement and modeling. The Leading Edge, 27(6):772-779. |
[17] | Sarout J, Molez L, Guéguen Y. 2007. Shale dynamic properties and anisotropy under triaxial loading:Experimental and theoretical investigations. Physics and Chemistry of the Earth, 32(8):896-906. |
[18] | Sarout J, Guéguen Y. 2008a. Anisotropy of elastic wave velocities in deformed shales:Part 1—experimental results. Geophysics, 73(5):D75-D89. |
[19] | Sarout J, Guéguen Y. 2008b. Anisotropy of elastic wave velocities in deformed shales:Part 2—modeling results. Geophysics, 73(5):D91-D103. |
[20] | Sayers C M, Vanmunster J G, King M S. 1990. Stress-induced ultrasonic anisotropy in Berea Sandstone. International Journal of Rock Mechanics, Mining Sciences and Geomechanics Abstracts, 27(5):429-436. |
[21] | Sayers C M. 1999. Stress-dependent seismic anisotropy of shales. Geophysics, 64(1):93-98. |
[22] | Shapiro S A. 2003. Elastic piezosensitivity of porous and fractured rocks. Geophysics, 68(2):482-486. |
[23] | Shapiro S A, Kaselow A. 2005. Porosity and elastic anisotropy of rocks under tectonic stress and pore-pressure changes. Geophysics, 70(5):27-38. |
[24] | Thomsen L. 1986. Weak elastic anisotropy. Geophysics, 51(10):1954-1966. |
[25] | Vernik L, Nur A. 1992. Ultrasonic velocity and anisotropy of hydrocarbon source rocks. Geophysics, 57(5):727-735. |
[26] | Vernik L, Landis C. 1996. Elastic anisotropy of source rocks:Implications for hydrocarbon generation and primary migration. AAPG Bulletin, 80(4):531-544. |
[27] | Wu G C. 2006. Propagation and migration for seismic wave in anisotropic media. Dongying:China University of Petroleum Press. |
[28] | 邓继新, 史謌, 刘瑞珣等. 2004. 泥岩、页岩声速各向异性及其影响因素分析. 地球物理学报, 47(5): 862-868. |
[29] | 刘斌, 王宝善, 席道瑛. 1999. 水饱和裂纹对地壳岩样中地震波速度及各向异性的影响. 地球物理学报, 42(5): 702-7l0. |
[30] | 吴国忱. 2006. 各向异性介质地震波传播与成像. 东营: 中国石油大学出版社. |