2. 成都理工大学能源学院, 成都 610059;
3. 中国石油川庆钻探工程有限公司地质勘探开发研究院, 成都 610051;
4. 中国科学院地质与地球物理研究所, 岩石圈演化实验室, 北京 100029;
5. 中国冶金地质总局矿产资源研究院, 北京 100025
2. College of Energy Resources, Chengdu University of Technology, Chengdu 610059, China;
3. Geological Exploration & Development Research Institute, CNPC, Chuanqing Drilling Engineering Company Limited, Chengdu 610051, China;
4. Division of Lithosphere Evolution, Institute of Geology and Geophysics, Chinese Academy of Sciences, Beijing 100029, China;
5. Institute of Mineral Resources Research, China Metallurgical Geology Bureau, Beijing 100025, China
我国是石油消耗的大国之一,现在一半以上的原油(>2×108t)依赖于进口.传统的大型油田都面临着减产(大庆油田、胜利油田、中原油田老区等).油气产量的减少严重制约着国民经济的高速发展,为了解决这一问题,在陆上,加大中生代断陷盆地的资源调查,寻找油气产量的接替区,包括内蒙古银根-额济纳旗盆地(中生界有效沉积岩分布面积为10.4×104 km2)、二连盆地(约10.0×104 km2)、海拉尔盆地(约7.1×104 km2).勘探已经证实在中生代断陷盆地具有一定量的油气资源,海拉尔盆地探明储量已经超过10×108t,二连盆地和海拉尔盆地的年产量都已经达到上百万吨.内蒙古三大盆地中银根-额济纳旗盆地(简称为银-额盆地)勘探程度最低,2009年开始,中国石化集团公司中原油田分公司以中生代沉积地层最厚、认为最具勘探潜力的查干凹陷作为突破口,寻找白垩系的油气资源,截至2013年底,已发现石油储量5000余万吨,建立了吉祥和如意两个油田,证实查干凹陷具有较好的勘探前景.但是,关于查干凹陷的构造-热演化的研究相对薄弱,已经严重制约查干凹陷生烃史、排烃史、运聚史和成藏史等油气方面的正确认识,直接影响着油气勘探决策及勘探成功率.
沉积盆地构造-热演化史的研究意义在于全面地评价盆地内烃源岩生、排、运、聚等对应的地质时间.进行构造-热历史的研究是正确认识油气成藏及其演化的重要科学依据之一,也是重要的基础课题之一.
近年来,随着查干凹陷油气勘探的不断推进,钻井数量的增加,为研究查干凹陷中、新生代的构造-热演化提供保障.查干凹陷是内蒙古银-额盆地最具勘探前景的凹陷,其构造-热历史的定量研究成果将指导银-额盆地其他构造单元的油气资源评价,对整个盆地的油气勘探具有重要意义.本文将利用磷灰石裂变径迹和镜质体反射率古温标耦合反演的方法恢复查干凹陷的构造-热历史,并探讨构造-热演化与沉积构造演化、岩浆活动的耦合关系及其对烃源岩热演化的作用.
2 地质背景查干凹陷位于银-额盆地东部查干德勒苏坳陷的中部,凹陷西临西尼凸起,东与楚干凸起和白云凹陷相隔,西南为木巴图隆起,东南紧靠狼山.构造活动相当复杂,其呈不规则的“菱形”展布,北东长60 km,北西宽40 km,勘探面积约2000 km2,是一个呈西北断、东南超的单断箕状结构的中生代断陷 盆地,是银-额盆地中最富油气勘探潜力的凹陷.根据基底起伏、断裂系统解释成果及构造演化特征,查干凹陷划分为“两凹一凸”的构造格局,即西部次凹、东部次凹和毛敦次凸,各个构造单位又包括多个次 一级构造单元(图 1a,b).受区域构造运动的控制,查干凹陷仅发育白垩系和新生界地层,包括早白垩世巴音戈壁组(分两段)、苏红图组(分两段)、银根组、晚白垩世乌兰海组及新生界(图 1c).沉积盖层厚度西部次凹明显比东部次凹的大,西部沉积中心在额很洼陷Y1-Y2井区,厚度达到5500 m;东部次凹沉积中心在罕塔庙洼陷北部地区,最大厚度为3500 m(图 2).由于燕山和喜山等造山运动,研究区在银-额盆地整体构造演化控制的基础之上,具体可以划分为经历了3期构造阶段:(1)早白垩世巴音戈壁组-银根组沉积时期为裂陷阶段,该时期断裂活动强烈,伴随多期火山活动,沉积一套中基性火山岩与碎屑岩的组合;(2)晚白垩世乌兰苏海组沉积时期为坳陷期,发育一套河流相为主的地层;(3)新生代为挤压抬升期,凹陷发生局部的挤压冲断现象,发育一组逆冲断层和反转构造,局部地区接受新生界沉积.
![]() |
图 1 查干凹陷构造分区图(a);构造剖面图(b);地层柱状图(c) Fig. 1 (a)Structural unit division of the Chagan sag;(b)Structural profile map;(c)Stratigraphic column map |
![]() |
图 2 查干凹陷主要地层厚度图(a-c)及沉积盖层厚度图(d) (a)苏一段;(b)巴二段;(c)巴一段. Fig. 2 Isopach map of the main strata(a-c) and sedimentary cover of the Chagan sag(d) (a)The 1st member of Suhongtu Formation;(b)The 2nd member of Bayingebi Formation;(c)The 1st member of Bayingebi Formation. |
沉积盆地一般都经历了沉降沉积(增温)和抬升剥蚀(降温)等复杂的温度变化过程,恢复其构造-热历史难度较大.目前,主要包括利用古温标方法恢复沉积盆地的热历史(任战利等,2000;左银辉等,2013a;Ketcham et al.,2007;McCormack et al.,2007;Hu et al.,2007;Reiners et al.,2002;Zuo et al.,2011,2015;Qiu et al.,2012a,2012b;Fernandes et al.,2013;Sahu et al.,2013;Anczkiewicz et al.,2013)和利用地球动力学模型恢复岩石圈的热历史(Sleep and Snell,1976;Mckenzie,1978;Menzies et al.,2007;He and Wang,2004;张健等,2006).在利用古温标进行古地温模拟计算时,古地温结果的可信度由地质温度计(有机质镜质体反射率、矿物裂变径迹等)来检验,因而被认为是研究精度较高的方法.目前国际上比较成熟的古温标主要包括矿物裂变径迹和有机质镜质体反射率.其中,镜质体反射率是一种较好的最高古地温计,已有多种有关镜质体反射率的动力学模型,其中较为成熟的是“EASY%Ro”模型(Sweeney and Burnham,1990),该模型目前在国际上被广为接受和采用.矿物裂变径迹也是构造-热历史恢复中比较成熟的古温标之一,利用矿物裂变径迹恢复盆地构造-热历史已经有二十余年,该方法建立在磷灰石或锆石所含的238U裂变产生的径迹在地质时间内受温度作用而发生退火行为的基础之上.构造-热历史恢复中主要利用磷灰石和锆石的裂变径迹,磷灰石裂变径迹适合温度为75~125 ℃(Gleadow et al.,1983),锆石裂变径迹封闭温度为230 ℃(Brandon and Vance,1992).近年来,磷灰石和锆石的(U-Th)/He低温热年代学参数也逐渐用来恢复沉积盆地的热历史(Shuster and Farley,2009;Spiegel et al.,2009;Daniŝík et al.,2008;邱楠生等,2008,2009;Qiu et al.,2010,Qiu et al.,2012b),其中磷灰石He扩散 的封闭温度较低,为75 ℃(Wolf et al.,1998;Farley,2000;Qiu et al.,2012b),锆石He扩散的封闭温度在170~190 ℃之间(Reiners et al.,2002),此外,He封闭温度还受eU含量、辐射损伤等因素的影响(Shuster and Farley,2009;Spiegel et al.,2009;Daniŝík et al.,2008).虽然利用磷灰石的(U-Th)/He热定年可以精细研究低温下的冷却历史,但在用于沉积盆地的热史恢复时,必须与其他古 温标(磷灰石裂变径迹、镜质体反射率等)结合起来才能凑效(Crowhurst et al.,2002;Qiu et al.,2012b).
总的来说,沉积盆地构造-热历史的研究方法逐渐从单一古温标到多温标耦合反演的方向发展.
本文利用磷灰石裂变径迹和镜质体反射率古温标进行约束,多温标耦合反演相结合的方法恢复研究区的构造-热历史:首先利用古温标数据反演得到样品经历的古地温梯度(或样品经历的古地温演化曲线)、剥蚀量及对应的地质时间;再以古地温梯度及对应的地质时间(或样品经历的古地温演化曲线)为约束,结合盆地的构造演化史拟合出样品经历的地温梯度演化曲线,并以反演得到的剥蚀量为基础,结合单井现今地层厚度恢复地层埋藏史;以地温梯度演化曲线和埋藏史为基础,利用盆地模拟软件,采用正演的方法对单井的温度史及生烃史进行模拟,模拟得到的温标与实测的古温标进行对比,如果模拟值与实测值具有很好的拟合度,则认为假设的地温梯度演化曲线是可行的,如果拟合度较差,则修改地温梯度演化曲线,直到模拟值与实测值具有很好的拟合度为止,此时的地温梯度演化曲线则为该井经历的热史.
3.2 古温标及基本参数在热历史模拟计算中需要的参数包括古温标数据和基础地质数据.
(1)古温标数据
该凹陷古温标数据包括14口井35个磷灰石裂变径迹数据(表 1)和15口井119个镜质体反射率数据(表 2,图 3).其中,镜质体反射率数据随深度变化具有较好的线性关系(图 3),暗示受同一地温梯度控制;14口井35个磷灰石裂变径迹数据是在中国科学院高能物理研究所核物理实验室测试完成的,这些数据分布在银根组、苏二段、苏一段、巴二段和巴一段.35个磷灰石裂变径迹年龄分布在5.5± 0.7~229±16 Ma,磷灰石裂变径迹长度分布在10.6±1.7~13.2±1.8 μm,其中14个磷灰石裂变径迹年龄比地层年龄大(图 4),径迹年龄代表物源区的构造-热事件;其他磷灰石裂变径迹年龄比地层年龄小(图 4),径迹年龄代表查干凹陷的构造-热事件,可以用来恢复查干凹陷的构造-热历史.从径迹年龄与深度的关系可以得出,在3620 m径迹年龄为0 Ma,即该凹陷磷灰石裂变径迹完全退火的深度为3620 m. 根据查干凹陷平均地温梯度33.6 ℃/km(左银辉等,2013b),计算得到磷灰石裂变径迹完全退火开始的温度为130 ℃,这与前人研究成果(Gleadow et al.,1983)相当.
| 表 1 查干凹陷磷灰石裂变径迹测试结果 Table 1 Apatite fission track measurements from the samples of the Chagan sag |
| 表 2 查干凹陷镜质体反射率 Table 2 Vitrinite reflectance data of the Chagan sag |
![]() |
图 3 查干凹陷镜质体反射率与深度的关系图(镜质体反射率数据见表 2) Fig. 3 Vitrinite reflectance(Ro)data versus depth in the Chagan sag(Ro data shown in the Table 2) |
![]() |
图 4 查干凹陷磷灰石裂变径迹与深度的关系(F为频率) Fig. 4 Apatite fission-track age and length versus depth in the Chagan sag |
(2)基础地质参数
模拟计算中的参数包括岩性参数、现今地表温度数据、现今地温梯度、大地热流、岩石热物理参数、地层分层、地层年龄及主要地质时期的剥蚀量等数据.查干凹陷地表温度数据、地温梯度及大地热流分布情况见左银辉等(2013b)的研究成果.岩性参数主要包括岩石的孔隙度、渗透率、各岩层的砂泥岩含量、砂泥岩的压实曲线等,这些参数采用查干凹陷实测值.此外,还包括压实系数和初始孔隙度等数据,则依据各凹陷的实际数据利用Sclater和Christie(1985)的方法进行回归得到.古地表温度取查干凹陷年平均温度(9 ℃),并设在地质历史时期 不变.磷灰石裂变径迹退火模型采用Laslett等(1987)的模型,镜质体反射率模拟热历史采用Easy%Ro模型(Sweeney and Burnham,1990).
岩石热物理参数主要包括岩石热导率、岩石生热率等参数(左银辉等,2013b),地层分层采用钻孔实际测量值,各地层底界年龄数据具体为:新生界(Cz)65 Ma,上白垩统乌兰苏海组(K2w)95 Ma,下白垩统银根组(K1y)100 Ma,下白垩统苏红图组二段(K1s2)105 Ma,下白垩统苏红图组一段(K1s1)110 Ma,下白垩统巴音戈壁组二段(K1b2)128 Ma,下白垩统巴音戈壁组一段(K1b1)135 Ma(图 1c).
查干凹陷存在3个区域不整合,具体为苏二段与银根组、银根组与乌兰苏海组和乌兰苏海组与新生界之间,利用泥岩声波时差测井计算得到典型井苏二段与银根组之间的剥蚀量,利用镜质体反射率反演获得典型井银根组与乌兰苏海组之间的剥蚀量,以及利用磷灰石裂变径迹反演得到乌兰苏海组与新生界之间的剥蚀量(表 3).
| 表 3 查干凹陷典型井主要地质时期的剥蚀量 Table 3 Erosion amounts in the main geological periods of the typical wells in the Chagan sag |
这次对2个磷灰石裂变径迹样品进行了热史反演(图 5,图 6).在模拟中,以关键地质时期的温度为约束条件,利用Monte Carlo模型进行了10000次热史反演,获得一定数量的最佳温度-时间路径,这些路径代表样品经历的最有可能的温度-时间演化路径.2口井的热史反演结果均显示查干凹陷经历了银根组末期和乌兰苏海组沉积中期的构造抬升,并且在银根组沉积时期温度达到最高.
![]() |
图 5 Y4井(1529.5 m,K1s1)温度-时间演化图 使用Monte Carlo模型模拟了10000条温度-时间路径;可以接受的温度-时间路径有1668条(左图酒绿色线条);好的温度- 时间路径为189条(左图粉红色线条);粗的黑线条为最佳温度-时间路径.(a)裂变径迹年龄分布图;(b)裂变径迹长度分布图, 图中黑线条为模拟的裂变径迹.GOF为拟合度. Fig. 5 Thermal history of sample Y4(1529.5 m,K1s1)in well Y4 Ten thous and thermal paths were tried using the Monte Carlo inverse modeling method;1668 paths are acceptable(wine green lines) and 189 paths are good(pink lines).The thick black line is the best temperature path.(a)Apatite fission-track ages.(b)Apatite fission-track length distribution.The thick black line is modeled Apatite fission-track length.GOF=goodness of fit. |
![]() |
图 6 样品Y3(1817.7m,K1s2)温度-时间演化图 使用Monte Carlo模型模拟了10000条温度-时间路径;可以接受的温度-时间路径有3389条(左图酒绿色线条);好的温度-时间路径为2181条(左图粉红色线条);粗的黑线条为最佳温度-时间路径.(a)裂变径迹年龄分布图;(b)裂变径迹长度分布图,图中黑线条为模拟的裂变径迹.GOF为拟合度. Fig. 6 Thermal history of sample Y3(1817.7 m,K1s2)in well Y3 Ten thous and thermal paths were tried using the Monte Carlo inverse modeling method;3389 paths are acceptable(wine green lines) and 2181 paths are good(pink lines).The thick black line is the best temperature path.(a)Apatite fission-track ages.(b)Apatite fission-track length distribution.The thick black line is modeled apatite fission-track length.GOF=goodness of fit. |
以磷灰石裂变径迹反演的结果为约束条件,利用镜质体反射率对Y4井和Y3井进行热史正演计算.模拟的镜质体反射率数据与实测值具有很好的线性关系(图 7,图 8),由此可见,模拟结果是可信的.模拟结果显示Y4井先后在苏红图组沉积末期、银根组沉积末期及乌兰苏海组沉积中期经历了3次较明显的抬升剥蚀,其中银根组沉积末期的抬升剥蚀最大,达到1120 m.在乌兰苏海组沉积之前为裂陷发育阶段,表现为快速沉降,乌兰苏海组沉积时期为坳陷发育阶段,沉积速率则由早到晚逐渐减小.从地温演化来看,在银根组沉积末期古地温达到最大,超过130 ℃.从热史模拟结果看,Y4井在巴音戈壁组沉积时期地温梯度在45~49 ℃/km之间,自苏红图组沉积时期开始,地温梯度逐渐增高,到银根组沉积末期,地温梯度达到最大,为56 ℃/km,自乌兰苏海组沉积至今,查干凹陷表现为热沉降阶段,地温梯度呈逐渐下降的趋势,现今仅为33 ℃/km,但是由于乌兰苏海组沉积早期快速沉积和新沉积物小的岩石热导率造成地温梯度稍有升高(图 7).Y3井也在苏红图组沉积末期、银根组沉积末期及乌兰苏海组沉积中期经历了3次较明显的抬升剥蚀,其中银根组沉积末期的抬升幅度最大.从热史模拟结果看,Y3井的地温梯度演化与Y4井相似,都在银根组地温梯度达到最大,为55 ℃/km(图 8).
![]() |
图 7 Y4井埋藏史及热史模拟结果 Fig. 7 The burial and thermal histories of well Y4 |
![]() |
图 8 Y3井埋藏史及热史模拟结果 Fig. 8 The burial and thermal histories of well Y3 |
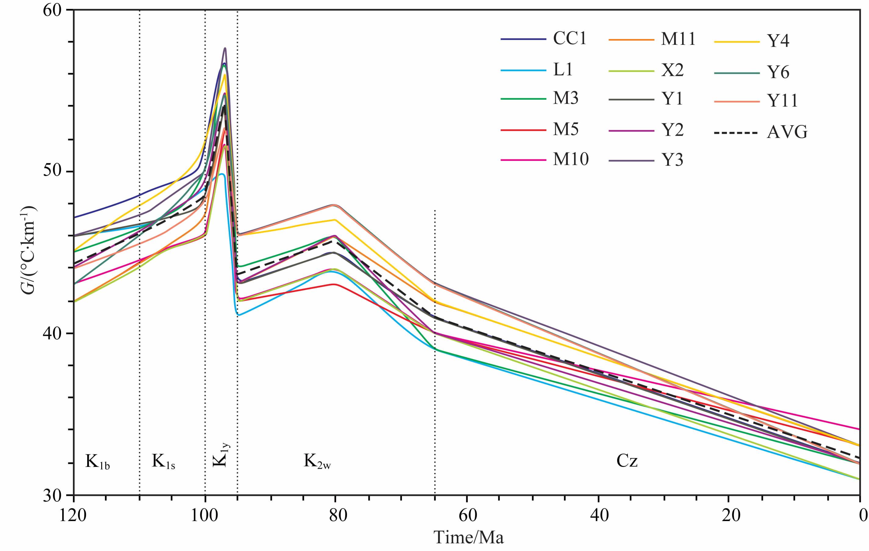
此外,利用以上的方法还模拟了11口井的热史,模拟结果显示查干凹陷经历了以下4个热演化阶段(图 9):(1)巴一段-苏红组沉积时期(K1b-K1s):地温梯度快速增加阶段,地温梯度由巴音戈壁组沉积开始的42~47 ℃/km逐渐增加至苏红图组沉积末期的46~52 ℃/km;(2)银根组沉积时期(K1y):地温梯度高峰阶段,此时地温梯度达到50~58 ℃/km,具有裂陷构造区的热流状态;(3)乌兰苏海组沉积时期(K2w):高地温延续阶段,地温梯度为 39~48 ℃/km,这是由于乌兰苏海组较厚的新沉积 物具有低的岩石热导率,使得在乌兰苏海组的地温梯度略有升高,在中晚期构造抬升,地温梯度又开始降低;(4)新生代(Cz):热沉降阶段,此阶段主要受喜山构造运动的影响,查干凹陷主要处于抬升剥蚀期,新生代沉积较薄,地壳处于均衡调整期,地温梯度逐渐降低,现今为31~34 ℃/km,具有偏高的古地温梯度.
![]() |
图 9 查干凹陷典型井热演化历史 Fig. 9 Thermal gradient evolution history of the studied wells in the Chagan sag |
通过以上研究表明查干凹陷在白垩纪具有较高的古地温梯度,这种地热状态与其经历的构造运动及岩浆活动密切相关.
查干凹陷是在古生代褶皱基底上发展起来的 中、新生代断陷盆地,在中晚侏罗世(160~140 Ma),蒙古鄂霍茨克洋闭合,西伯利亚板块与华北板块开始发生陆陆碰撞,查干凹陷及邻区在两板块碰撞早期处于挤压状态,开始抬升,岩石圈加厚,因此,查干凹陷缺失三叠系和侏罗系.早白垩世开始,较重的大洋板片对大陆岩石圈的牵引力使地面岩石圈的应力由强烈的挤压应力转变为拉张应力,中晚侏罗世增厚的岩石圈因重力失稳发生伸展垮塌,查干凹陷开始裂陷,岩石圈减薄,地幔物质开始上涌,地温梯度增加.此阶段,盆地开始接受早白垩世巴音戈壁组的沉积.早白垩世苏红图组沉积时期,区域拉张应力场进一步强化,伸展断裂作用加强,并且俯冲的蒙古-鄂霍茨克大洋板片发生了断离(底侵作用),在这共同作用下引发了多期火山活动,即查干凹陷在苏红图组沉积时期共发生10期火山活动,苏红图组火山岩厚度接近800 m,此阶段,岩石圈的大幅度拉伸减薄,地幔物质上涌,带来大量地幔热量,导致早白垩 世具有高的地热背景,并在早白垩世晚期地温梯度达到最大,这与渤海湾盆地早白垩世高的地热背景及岩石圈减薄具有一致性(Zuo et al.,2013;Qiu et al.,2014).这种底侵作用使地壳物质发生了部分熔融,从而导致在火山作用的早期还有大规模的酸性岩浆作用,岩石圈的伸展跨塌造成了平行于蒙古-鄂霍茨克缝合带的半地堑盆地群(银额盆地、二连盆地、东戈壁盆地、海拉尔盆地)初步形成;而且,在145~135 Ma,古太平洋板块开始沿欧亚东缘向北西俯冲(周新华等,2001),这种板块边界作用引起的板内效应也可能是引起查干凹陷及邻区岩石圈拉张的重要因素.由此可见,查干凹陷早白垩世具有板内被动裂谷的特征,形成于岩石圈伸展减薄条件下的被动裂谷环境,也与查干凹陷在早白垩世具有高的地热背景相一致.晚白垩世开始,盆地进入坳陷期,岩石圈开始均衡调整,地温梯度开始降低,但是晚白垩世乌兰苏海组较厚的新沉积物具有低的岩石热导率,使得在乌兰苏海组的地温梯度略有升高.
5.2 构造-热演化与烃源岩热演化的关系白垩纪高的地热状态有利于油气的生成,在查干凹陷的平均古生烃门限在1703 m(表 4);这明显比冷的地热状态对应的门限深度偏浅,例如渤海海域(新生代盆地)受现今地温场控制(地温梯度为31.8 ℃/km),其生烃门限在2500 m(Zuo et al.,2011).同时,研究中发现早白垩世银根组沉积时期的地温达到最大,此时的古地温场控制着查干凹陷的烃源岩热演化历史,也是查干凹陷生烃结束的时间(图 10).早白垩世银根组的古地温场将进一步控制查干凹陷的主生烃时期、主排烃时期及成藏关键时期等,再结合储、盖、圈闭形成时间等的研究成果,可以指出有利油气聚集区带.因此,查干凹陷的构造-热历史的研究成果对该地区的油气勘探决策具有重要指导意义.
| 表 4 查干凹陷苏一段底古生烃门限 Table 4 Paleo-hydrocarbon generation thresholds for the bottom of the Suhongtu 1 Formation in the Chagan sag |
![]() |
图 10 查干凹陷典型井巴二段烃源岩底成熟度演化历史 Fig. 10 Maturation history of the bottom of the Bayingebi 2 Formation in the Chagan sag |
本文利用镜质体反射率和磷灰石裂变径迹两种古温标耦合反演的方法恢复了查干凹陷的构造-热历史,揭示了查干凹陷在白垩纪具有高的地热状态,并且构造-热演化划分为以下四个阶段:地温梯度快速增加阶段(K1b-K1s),地温梯度由巴音戈壁组沉积开始的42~47 ℃/km逐渐增加至苏红图组沉积末期的46~52 ℃/km;地温梯度高峰阶段(K1y),此时地温梯度达到50~58 ℃/km,具有裂陷构造区的热流状态;高地温延续阶段(K2w),地温梯度为39~48 ℃/km;热沉降阶段(Cz),此阶段主要受喜山构造运动的影响,查干凹陷处于抬升剥蚀期,新生代沉积较薄,地壳处于均衡调整期,地温梯度逐渐降低,现今为31~34 ℃/km,地温梯度较区域背景略微偏高.在热史恢复的基础上,通过正演获得了主力烃源岩成熟度的演化过程,发现查干凹陷的烃源岩有机质热演化主要受早白垩银根组沉积时期的古地温梯度控制,此时烃源岩热演化程度达到最高,随后生烃停止.
致谢 感谢中国地质大学(北京)袁万明教授在磷灰石裂变径迹测试及数据分析工作中的指导.
| [1] | Anczkiewicz A A, Środoń J, Zattin M. 2013. Thermal history of the Podhale Basin in the internal Western Carpathians from the perspective of apatite fission track analyses. Geologica Carpathica, 64(2): 141-151. |
| [2] | Brandon M T, Vance J A. 1992. Tectonic evolution of the Cenozoic Olympic Subduction Complex, Washington State, as deduced from fission-track ages for detrital zircons. American Journal of Science, 292(8): 565-636. |
| [3] | Crowhurst P V, Green P F, Kamp P J J. 2002. Appraisal of (U-Th)/He apatite thermochronology as a thermal history tool for hydrocarbon exploration: An example from the Taranaki Basin, New Zealand. AAPG Bulletin, 86(10): 1801-1819. |
| [4] | Daniík M, Sachsenhofer R F, Privalov V A, et al. 2008. Low-temperature thermal evolution of the Azov Massif (Ukrainian Shield-Ukraine)-Implications for interpreting (U-Th)/He and fission track ages from cratons. Tectonophysics, 456(3): 171-179. |
| [5] | Farley K A. 2000. Helium diffusion from apatite: General behavior as illustrated by Durango fluorapatite. Journal of Geophysical Research, 105(B2): 2909-2914. |
| [6] | Fernandes P, Rodrigues B, Borges M, et al. 2013. Organic maturation of the Algarve Basin (southern Portugal) and its bearing on thermal history and hydrocarbon exploration. Marine and Petroleum Geology, 46: 210-233. |
| [7] | Gleadow A J W, Duddy I R, Lovering J F. 1983. Fission track analysis: A new tool for the evaluation of thermal historyies and hydrocarbon potential. Aust. Petrol. Explor. Assoc. J., 23: 93-102. |
| [8] | Laslett G M, Green P F, Duddy I R, et al. 1987. Thermal annealing of fission tracks in apatite. 2. A quantitative analysis. Chemical Geology: Isotope Geoscience Section, 65(1): 1-13. |
| [9] | He L J, Wang J Y. 2004. Tectono-thermal modelling of sedimentary basins with episodic extension and inversion, a case history of the Jiyang Basin, North China. Basin Research, 16(4): 587-599. |
| [10] | Hu S, Fu M, Yang S, Barry P K, et al. 2007. Palaeogeothermal response and record of Late Mesozoic lithospheric thinning in the eastern North China Craton. //Zhai M G, Windley B F, Kusky T M, eds. Mesozoic Sub-Continental Lithospheric Thinning Under Eastern Asia. London (Spec). Geological Society, 280: 267-280. |
| [11] | Ketcham R A, Carter A, Donelick R A, et al. 2007. Improved modeling of fission-track annealing in apatite. American Mineralogist, 92(5-6): 799-810. |
| [12] | McCormack N, Clayton G, Fernandes P. 2007. The thermal history of the Upper Palaeozoic rocks of southern Portugal. Marine and Petroleum Geology, 24(3): 145-150. |
| [13] | McKenzie D. 1978. Some remarks on the development of sedimentary basins. Earth and Planetary Science Letters, 40(1): 25-32. |
| [14] | Menzies M, Xu Y G, Zhang H F, et al. 2007. Integration of geology, geophysics and geochemistry: a key to understanding the North China Craton. Lithos, 96(1-2): 1-21. |
| [15] | Qiu N S, Qin J Z, McInnes BI A, et al. 2008. Tectonothermal evolution of the Northeastern Sichuan Basin: Constraints from apatite and zircon (U-Th)/He ages and vitrinite reflectance data. Geological Journal of China Universities (in Chinese), 14(2): 223-230. |
| [16] | Qiu N S, Peter R, Mei Q H, et al. 2009. Application of the (U-Th)/He thermochronometry to the tectono-thermal evolution of sedimentary basin—A case history of Well KQ1 in the Tarim Basin. Chinese Journal of Geophysics (in Chinese), 52(7): 1825-1835, doi: 10.3969/j.issn.0001-5733.2009.07.017. |
| [17] | Qiu N S, Wang J Y, Mei Q H, et al. 2010. Constraints of (U-Th)/He ages on early Paleozoic tectonothermal evolution of the Tarim Basin, China. Science China: Earth Sciences, 53(7): 964-976. |
| [18] | Qiu N S, Chang J, Zuo Y H, et al. 2012a. Thermal evolution and maturation of lower Paleozoic source rocks in the Tarim Basin, northwest China. AAPG Bulletin, 96(5): 789-821. |
| [19] | Qiu N S, Chang J, Li J W, et al. 2012b. New evidence on the Neogene uplift of South Tianshan constraints from the (U-Th)/He and AFT ages of borehole samples of the Tarim basin and implications for hydrocarbon generation. International Journal of Earth Sciences, 101(6): 1625-1643. |
| [20] | Qiu N S, Zuo Y H, Chang J, et al. 2014. Geothermal evidence of Mesozoic-Cenozoic lithosphere thinning in the Jiyang sub-basin, Bohai Bay Basin, eastern North China Craton. Gondwana Research, 26(3-4): 1079-1092. |
| [21] | Reiners P W, Farley K A, Hickes H J. 2002. He diffusion and (U-Th)/He thermochronometry of zircon: Initial results from Fish Canyon Tuff and Gold Butte. Tectonophysics, 349(1-4): 297-308. |
| [22] | Ren Z L, Liu C Y, Zhang X H, et al. 2000. Recovery and comparative research of thermal history on Jiuqu. Chinese Journal of Geophysics (in Chinese), 43(5): 635-645. |
| [23] | Sahu H S, Raab M J, Kohn B P, et al. 2013. Thermal history of the Krishna-Godavari basin, India: Constraints from apatite fission track thermochronology and organic maturity data. Journal of Asian Earth Sciences, 73: 1-20. |
| [24] | Sclater J G, Christie P A F. 1985. Continental stretching: an explanation of the post-Mid-Cretaceous subsidence of the central North Sea Basin. Journal of Geophysical Research, 85: 3711-3739. |
| [25] | Shuster D L, Farley K A. 2009. The influence of artificial radiation damage and thermal annealing on helium diffusion kinetics in apatite. Geochimica et Cosmochimica Acta, 73(1): 183-196. |
| [26] | Sleep N H, Snell N S. 1976. Thermal contraction and flexure of mid-continent and Atlantic marginal basins. Geophysical Journal International, 45(1): 125-154. |
| [27] | Spiegel C, Kohn B, Belton D, et al. 2009. Apatite (U-Th-Sm)/He thermochronology of rapidly cooled samples: the effect of He implantation. Earth and Planetary Science Letters, 285(1-2): 105-114. |
| [28] | Sweeney J J, Burnham A K. 1990. Evaluation of a simple model of vitrinite reflectance based on chemical kinetics. AAPG Bulletin, 74(10): 1559-1570. |
| [29] | Wolf R A, Farley K A, Kass D M. 1998. Modeling of the temperature sensitivity of the apatite (U-Th)/He thermochronometer. Chemical Geology, 148(1-2): 105-114. |
| [30] | Zhang J, Song H B, Li J B. 2006. Thermal modeling of the tectonic evolution of the southwest subbasin in the South China Sea. Chinese Journal of Geophysics (in Chinese), 48(6): 1357-1365. |
| [31] | Zhou X H, Yang G H, Yang J H, et al. 2001. Sr-Nd-Pb isotope mapping of the Late Mesozoic volcanic rocks across northern margin of North China Craton and implication to geodynamic processes. Geochimica (in Chinese), 30(1): 10-23. |
| [32] | Zuo Y H, Qiu N S, Pang X Q, et al. 2010. Hydrocarbon kitchen evolution of E2s3 source rock of the Bohai Offshore area, North China. Chinese Journal of Geophysics (in Chinese), 53(10): 2415-2426, doi: 10.3969/j.issn.0001-5733.2010.10.015. |
| [33] | Zuo Y H, Qiu N S, Zhang Y, et al. 2011. Geothermal regime and hydrocarbon kitchen evolution of the offshore Bohai Bay basin, North China. AAPG Bulletin, 95(5): 749-769. |
| [34] | Zuo Y H, Ma W M, Deng Y X, et al. 2013a. Mesozoic and Cenozoic thermal history and source rock thermal evolution history in the Chagan sag, Inner Mongolia. Earth Science-Journal of China University of Geosciences (in Chinese), 38(3): 553-560. |
| [35] | Zuo Y H, Qiu N S, Deng Y X, et al. 2013b. Terrestrial heat flow in the Qagan, Inner Mongolia. Chinese Journal of Geophysics (in Chinese), 56(9): 3038-3050, doi: 10.6038/cjg20130917. |
| [36] | Zuo Y H, Qiu N S, Pang X Q, et al. 2013. Geothermal evidence of the Mesozoic and Cenozoic lithospheric thinning in the Liaohe depression. Journal of Earth Science, 24(4): 529-540. |
| [37] | Zuo Y H, Qiu N S, Li J W, et al. 2015. Meso-Cenozoic tectono-thermal evolution history in Bohai Bay Basin, North China. Journal of Earth Science, 26(3):352-360, doi: 10.1007/s12583-014-0500-0. |
| [38] | 邱楠生, 秦建中, McInnes B I A等. 2008. 川东北地区构造-热演化探讨—来自(U-Th)/He年龄和Ro的约束. 高校地质学报, 14(2): 223-230. |
| [39] | 邱楠生, Peter R, 梅庆华等. 2009. (U-Th)/He年龄在沉积盆地构造-热演化研究中的应用—以塔里木盆地KQ1井为例. 地球物理学报, 52(7): 1825-1835, doi: 10.3969/j.issn.0001-5733.2009.07.017. |
| [40] | 任战利, 刘池阳, 张小会等. 2000. 酒泉盆地群热演化史恢复及其对比研究. 地球物理学报, 43(5): 635-645. |
| [41] | 张健, 宋海斌, 李家彪. 2006. 南海西南海盆构造演化的热模拟研究. 地球物理学报, 48(6): 1357-1365. |
| [42] | 周新华, 杨国辉, 杨进辉等. 2001. 华北克拉通北缘晚中生代火山岩Sr-Nd-Pb同位素填图及其构造意义. 地球化学, 30(1): 10-23. |
| [43] | 左银辉, 邱楠生, 庞雄奇等. 2011. 渤海海域沙三段烃源灶演化特征研究. 地球物理学报, 53(10): 2415-2426, doi: 10.3969/j.issn.0001-5733.2010.10.015. |
| [44] | 左银辉, 马维民, 邓已寻等. 2013a. 查干凹陷中、新生代热史及烃源岩热演化. 地球科学-中国地质大学学报, 38(3): 553-560. |
| [45] | 左银辉, 邱楠生, 邓已寻等. 2013b. 查干凹陷大地热流. 地球物理学报, 56(9): 3038-3050, doi: 10.6038/cjg20130917. |
2015, Vol. 58











