2. 北京市地球探测与信息技术重点实验室, 北京 102249
2. Key Laboratory of Earth Prospecting and Information Technology, Beijing 102249, China
The 3D acoustic reflection LWD with the asymmetric arcuate source/receiver is numerically simulated by adopting a 2.5D time-domain finite difference method (TDFD). The amplitude and phase of reflected signal versus azimuth angles and offsets is numerically investigated and analyzed. And based on the simulation results, we numerically study the feasibility to detect formation boundaries in horizontal wells by using these arcuate sources and receivers.
Simulation results show that the arcuate source is able to transmit acoustic signals in desired direction with a radiation pattern including a main lobe of small angular width and side lobes of low degrees. The amplitude of the radiation wave field for this source is about 0.6 time that of conventional ring sources. These characteristics indicate that the proposed source is suitable for 3D RALWD. For the well model investigated in this paper, the reflected signals have an amplitude of 1/100 of borehole guided waves, and the amplitude of reflected compressional waves decreases with increasing offset, while that of reflected converted waves (P-SV, SV-P) increases first and then decreases as the offset increases, and the reflected SV strengthens with increasing offset. It suggests that it is possible to obtain better images by selecting waveforms with appropriate offset and suppressing non-target wave modes in the processing of field data. We also show results for a case of a horizontal well with the purpose to detect upper and lower rock formation boundaries by the arcuate sources and receivers. Results indicate that multi-signals, including reflected P and SV signals from the top and bottom boundary, are observed. The azimuths, which reach the maxima for reflected P-waves from top boundary and bottom boundary, are 0°and 180°, respectively, agreeing well with the input borehole model. The reflected P-waves are of desired azimuth resolution with a 3 dB of 48.6° and 49.4° for top and bottom boundaries, respectively. Note that, reflect signals from the top boundary do not exist in the waveforms of 180°, while those from the bottom boundary do not exist in the waveforms of 0°. These results suggest that it is possible to image top and bottom boundaries by processing the waveforms of the azimuths 0° and 180°, respectively, without interference to each other.
The existence of a drill collar makes it possible for the source to omit acoustic signal along a desired azimuth direction, and the radiation pattern of the source has a main lobe with a narrow angle width as well as side lobes of low level, indicating that the proposed source is suitable for 3D RALWD. The case analysis for a horizontal well shows that the reflected compressional waves are of desirable resolution, and thus they can be utilized to obtain the azimuth of the reflector outside of the borehole.
随着深海油储和复杂油气藏的勘探开发需求的增长,声波测井技术面临着一系列的挑战.目前发展的单井远探测声波成像技术,可以对井壁之外3~10 m范围内的裂缝、断层、界面进行清晰成像,能扩大识别储层的有效厚度,指导压裂施工,为油气地质储量计算提供可靠依据(Hornby,1989; Tang and Cheng,2004; 柴细元等,2009).在钻进过程中进行反射声波成像测井,可以实时地提供井周围地层构造及地质体数据,从而指导钻进的方向,将井眼轨迹调整到 油藏最佳的位置,以达到最佳的产油(气)或注水效果,是下一代声波测井技术的发展方向(Tang,2004).
目前发展井外成像技术主要有两种:电磁方法和声波方法.用于地质导向的随钻方位电磁波仪器,采用了发射高频电磁波的方式,其探测深度较浅,仅有数米,不能够满足现场需要(Tang and Wang,2011).传统的电缆反射声波成像测井技术主要有两种:单极子纵波法和偶极子横波法.1998年,美国斯伦贝谢公司首先推出了单极子反射声波成像仪器,并应用于现场(Geoquest,1998; Esmersoy et al.,1998).在国内,大港油田推出了可以改变源距的单极子远探测声波仪器,取得了较好的应用效果(柴细元等,2009).该类仪器的声源主频在10 kHz以上,探测深度为几米到十几米范围.由于单极子声源为对称声源,在周向上无明显指向性,无法确定地层构造或者地质体的方位.唐晓明和魏周拓(2012)提出了利用正交偶极子声源进行远探测声波成像的方法,并给出了具体的应用实例.由于偶极子声源的频率较低(2~5 kHz),该方法可以探测更远处的地层,探测深度达到20~30 m.不过,限于偶极子声源的指向性特征,该方法仅能够在180°的范围内区分井外波阻抗不连续界面的方位,在360°范围内存在多解性,限制了其应用范围.
人们尝试了多种方法来改善井中测得的电缆测井声反射信号的分辨率和信噪比,包括相控线阵(乔文孝等,2002;车小花和乔文孝,2004; 陈雪莲,2006; Che et al.,2008;柴细元等,2009)、相控圆弧阵(陈雪莲,2006; 乔文孝等,2008; Wu et al.,2013)、参数谱估计及阵列波形叠加(Tang,2004)以及多尺度的相关分析(王兵等,2011)等方法.与大量见诸报端的电缆声反射方法研究的文献相比,鲜见有关随钻反射声波成像方法研究的报道.用于地质导向的随钻反射声波成像技术要求能够在三维空间内准确定位地质界面或者地质体,传统的多极子声源及接收器无法满足需求.陈雪莲和魏周拓(2012)数值模拟了随钻单极子反射声波测井,指出可以在周向上布置若干接收器,通过多个接收器的矢量运算获取来自井旁地层界面的反射纵波信息.王瑞甲和乔文孝(2014)提出了一种圆弧片状的声源,研究了该声源在无限大液体及井外地层中激发的波场的特征,认为该声源激发的纵波场适用于三维随钻反射声波成像测井.为进一步验证方法可行性,有必要对利用该声源的随钻反射声波测井进行模拟,通过分析反射信号的幅度、形态以及随方位角的变化规律,研究该方法的可行性及适用范围. 2 理论 2.1 模型
图 1为在柱坐标系下包含地层界面随钻声波测井声学模型图,其中图 1a为纵切面示意图,图 1b为井孔横截面示意图.从内向外,各介质依次是水眼、钻铤、井内流体和地层.钻铤位于井孔中间.钻铤内、外径及井孔半径分别为r0、r1、r2.声源和接收器均采用了圆弧片状的弯曲振子,如图 1a中红色及蓝色区域所示.声源加载在钻铤外表面,采用特定的声隔离方法使得其并不与钻铤直接接触,声源角宽为,高度为h.声源声轴方向与x轴平行.接收器方位与声源相同,其角宽、高度等参数均与声源一致.为了便于研究声源的特性,本文选择了层界面与井轴平行的地层模型,层界面距离井轴的距离为l.
![]() | 图 1 含地层界面随钻声反射测井模型示意图, 包括(a)三维示意图和(b)井孔横截面 Fig. 1 Schematic of the borehole model of acoustic reflection LWD, (a) in three-dimension and (b) in the borehole cross section plane |
图 2显示了声源及接收器的实物照片及指向性图.对于实际的测井仪器,往往采用隔声材料将钻铤和声源进行声隔离,本文在声源和钻铤之间加载了一层厚度为0.004 m的水层,使得声源与钻铤未直接接触,以模拟实际的声隔离效果.根据该圆弧片状压电振子的有限元模拟分析结果,将该声源的数学模型简化为圆弧上无数个振幅相同的偶极子声 源.在实际计算中,采用的偶极子源的极距为0.002 m,其声轴方向与r轴平行.图 2b对比了采用该数学模型理论计算的声源指向性曲线和实验室实测结果.二者有很好的一致性.这说明该数学模型是合理的.另外,在图 2b中,幅值最大的方位与声源外表面正对的方位一致(0°),本文将此角度称作该声源的目的辐射方位.
![]() | 图 2 圆弧片状声源实物照片及指向性图,包括(a)实物照片和(b)理论计算的指向性曲线与实验实测的指向性曲线的对比 Fig. 2 Photo and the directivity of arcuate sources, including (a) photo and (b) comparison of numerical results and experimental results |
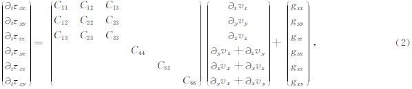
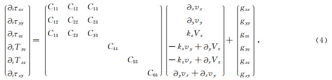
包含与井轴平行界面的地层模型为非对称模型,不存在解析形式的解,需要进行数值求解.有限差分方法是解决此类问题的常用数值方法.由于本 文研究的模型的介质参数在z轴方向上不存在变 化,可以采用2.5维有限差分方法进行求解(Bouchon and Schmitt,1989; R and all,1991).在直角坐标系下,任意介质采用应力和速度表示的运动方程和本构方程分别为式(1)—(2)(张海澜等,2004)




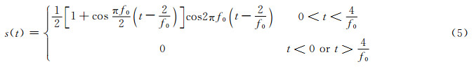
采用了完全匹配层技术吸收模型最外侧向外传播的纵波和横波(Chew and Liu,1996).采用两排振幅相反的点声源模拟实际的圆弧状声源,声源加载在应力节点上,选用了声学模拟中常用的透明源的加载方法(Schneider,1998).声源子波函数为

考虑到井孔为圆周状边界,为了在二维直角坐标系下对井孔模型进行更为精确地描述,采用的网格步长Δx和Δy均为0.002 m,主计算区域的网格数为6000×6000,时间步长为0.19 μs,计算时间长度为5 ms. 3 数值模拟结果 3.1 数值模型参数
对于如图 1a所示的计算模型,钻铤内半径r0、外半径r1分别为0.027 m和0.090 m.井孔半径r2为0.12 m.本文考虑了快速、慢速两种地层模型.模型中各种介质的参数分别如表 1所示.
|
|
表 1 各种介质的弹性参数 Table 1 Elastic parameters of the material |
在数值模拟中,采用了不同位置的接收器记录波场.为描述声源在水平面内的辐射特征,将接收器置于地层中,记录的物理量为径向速度vr,如图 3中接收器阵列RA-1和RA-2所示.同时,在井中布置圆弧片状的接收器(R1~n)对井内信号进行记录,且接收器方位与发射器相同,记录物理量为声压信号.
![]() | 图 3 接收器位置示意图 Fig. 3 Schematic of the receiver locations |
首先模拟了该声源向均质地层中辐射的声场,并通过与传统的环形声源辐射波场的对比来分析该声源的辐射效率.图 4显示了圆弧片状声源和环形声源辐射声场的对比结果,其中接收器为图 3 RA-1中0°接收器.从图 4可见,无论快速地层还是慢速地层,圆弧片状声源激发的纵波的相位与环形声源基本一致,幅度略小于环形声源,大约为环形声源的0.6倍左右.对于实际应用而言,可以通过在井轴方向上布置发射器阵和接收器阵来增强辐射到地层中的声场能量.
![]() | 图 4
圆弧片状声源激励的声场与环形声源激发的声场的对比,其中 (a)为快速地层,(b)为慢速地层,接收器为RA-1阵列中0°接收器 Fig. 4 Comparison of the acoustic field produced by an arcuate source and a ring source,including(a)fast formation and (b)slow formation,while the waveform is recorded by the receiver with 0° in RA-1 |
对图 3中RA-1或者RA-2记录的波形中的纵波模式开窗,然后变换到频率域,并将某频率下的幅度值用极坐标表示,即可得到该频率下纵波场水平指向性图.图 5显示了不同条件下非对称圆弧状声源在地层中产生的纵波场的归一化指向性图.由图 5可见,钻铤阻挡了向钻铤后传播的纵波信号,使得能量基本向目的方向传播.无论快速地层,还是慢速地层,在含钻铤的情况下,声场的幅值最大方位与换能器目的方位一致,指向性图主瓣清晰,三分贝角宽较窄(快速地层 83.8°;慢速地层101.8°),旁瓣级低.另外,对于快速地层,在z=5 m水平面内记录的纵波场的方位特征与z=0 m的情况基本一致,对于慢速地层z=5 m水平面内记录的纵波场的主瓣角宽略大于z=0 m的情况.
![]() | 图 5
非对称圆弧片状声源在快、慢速地层中产生的纵波场的辐射指向性图, 其中(a)为快速地层,(b)为慢速地层,频率为12 kHz Fig. 5 Directivity of the compressional wave field in fast, slow formations produced by an arcuate source, including (a) fast formation and (b) slow formation, the frequency is 12 kHz |
波场快照能够直观地显示波动的幅度及相位特征.图 6是快速地层情况下,t=0.2、0.4、0.7、1.0 ms时刻z=0 m平面内的声场快照,记录的物理量为径向速度vr.图 6显示,随时间增加,纵波场逐渐向远离井孔的地层中传播,且由于几何扩散,随传播距离的增加,波形幅度逐渐减小;辐射声场的能量集中,向目的方位辐射的纵波场幅度远大于向钻铤后侧方位辐射的纵波场的幅度,说明该声源辐射的纵波场有较高的方位分辨能力.
![]() | 图 6 不同时刻圆弧片状声源在快速地层中产生的声场的快照图,其中(a—d)对应的时间是0.2,0.4,0.7和1.0 ms,z=0 m Fig. 6 Snapshots of acoustic field in a fast formation generated by an arcuate source,where the corresponding time for(a—d)is 0.2,0.4,0.7 and 1.0 ms,respectively,z=0 m |
非对称圆弧片状的接收器存在与发射器一致的方位特征(White,1960; Tang et al.,2014).如果发射器和接收器端均采用圆弧片状的弯曲振子,其方位分辨能力将进一步得到提高. 3.3 井内不同源距的接收器接收到的波形
数值模拟了随钻反射声波测井.所采用的地层模型如图 1a所示,其中地层类型1选取了表 1中的快速地层,地层类型2选取了其中的慢速地层,l=3 m.图 7显示了井内不同源距的接收器记录的波形信号,其中图 7a为包括井孔模式波和反射波信息在内的总的声场,图 7b为反射波信号.接收器和发射器均正对着地层界面.反射波信号是通过计算存在地层界面和不存在地层界面两种情况下数值模拟结果的差值得到的.为显示方便,在图 7b中将反射波信号放大了100倍.由图 7a可见,波形中含有多种井孔模式波,反射波信号淹没在模式波信号中,难以识别.图 7b显示,存在反射纵波(P-P)、转换波(SV-P、P-SV),以及反射SV横波(SV-SV)多种反射波信号,其中SV-P反射波和P-SV反射波由于走时相同,混淆在一起.纵波反射波随着源距增加而逐渐减小,在源距小于3 m时,其幅度约为井孔模式波幅度的1/100,具有测量价值;源距大于3 m时,其幅度较小,较难测量.实际应用中,应选择合适源距接收器记录的数据.根据该模型的计算结果,对于反射纵波而言,选择源距0~3 m内的波形数据是合适的.在源距1~6 m范围内可见幅度较大的SV-P和P-SV转换波,该波的幅度随源距增加先增加后减小,幅度约为井孔模式波的1/100.由于该声源辐射的SV波场的水平指向性特征与纵波场类似,可以考虑利用转换波对地层界面进行成像.反射SV横波随源距的增加,幅度逐渐增大.由于模拟中采用的声源和接收器正对着地层界面,未能记录到反射SH波信号.
![]() | 图 7 不同源距井内接收器记录的波形,包括(a)全波波形和(b)反射波波形 Fig. 7 Waveforms recorded by the receivers in the borehole,including(a)full waveforms and (b)reflected signals |
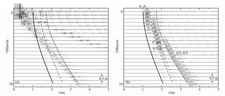
对于实际测井而言,可以借助于钻进过程中钻铤的旋转,使声源向地层中任意角度辐射能量,从而实现对井周围地质构造体及地层界面的扫描成像.本文模拟了在水平井中对地层上下界面进行成像的实例.为尽量接近实际的随钻测井条件,井径模型取自实际的井径测量数据.图 8a显示了计算的地层模型,其中地层类型1为表 1中的快速地层,地层类 型2为其中的慢速地层,上界面距井轴的距离为3 m,下界面距井轴的距离为2 m.图 8为源距为0 m的接收器记录的波形,声源和接收器的方位角均为θ.图 8显示,观察到了多种反射波信号:包括上界面反射纵波(P_up)和反射SH波(SH_up),下界面反射纵波(P_down)和反射SH波(SH_down).上、下界面反射纵波幅度最大值对应的角度分别为0°和180°,与实际情况一致.反射纵波有较高的方位分辨率,利用其幅值计算的三分贝角宽为48.6°(上界面),49.4°(下界面).注意到,在θ=180°波形中未观察到上界面反射纵波信号,在θ=0°波形中未见下界面反射信号.这说明,可考虑分别采用θ=0°和θ=180°数据分别对上、下界面成像,且上、下界面的成像互不影响.另外,由于层界面距离井轴的距离不同,下界面反射纵波幅度大于上界面反射纵波的幅度,这说明在实际数据中应该注意考虑对几何扩散造成的波形幅度损失进行补偿.反射SH波(SH_up、SH_down)出现在反射纵波之后,其方位特征较为复杂,不适用于方位成像.由于模拟采用的接收器源距为0 m,未观察到反射SV波信号.
![]() | 图 8 源距0 m处不同方位的井内接收器记录的反射波信号,包括(a)模型示意图和(b)反射波信号 Fig. 8 Reflected signal recorded by the receivers with different azimuthal angles,including(a)the formation model and (b)the waveforms of reflected signals,the offset of the receivers is 0 m |
在上述模拟实例中,井孔位于快速地层之中.对于井孔位于慢速地层之中的情况,结果与快速地层情况一致.另外,由于声源在慢速地层中激发的纵波场的方位特征更好(王瑞甲和乔文孝,2014),所测得的反射波的方位分辨率会更高. 4 讨论
三维随钻反射声波测井涉及诸多复杂问题,包括测量方式、隔声、实时信号处理和大规模数据传输等.本文主要就测量方式及测量原理方面展开数值模拟研究.
从模拟结果可以看到,圆弧片状声源在地层中产生的声场具有明显的方位特征,钻铤阻挡了声信号,使其集中向声源正对的方向辐射.该声源向目的方位辐射的纵波场的幅度大约是传统环形声源的0.6倍,为提高辐射能量,可考虑在井轴方向上布置多个发射器和接收器,构成线阵,并通过各阵元的相位控制辐射声场的幅度和角度.
反射纵波随着源距的增加而减小.该方法的适用源距与井孔距界面的距离有关,对于远离井孔的界面,可采用大的源距阵列,反之需要采用近的源距阵列.对于实际仪器设计而言,应尽量增加接收器的源距跨度.在实际信号处理中,可根据成像位置选择合理源距的接收器进行处理,以期获得优质的成像效果.另外,在接收到的反射波信号中观察到了P-SV和SV-P转换波信号.由于该声源激励的SV波场与纵波场有相似的方位特征,也可以考虑利用转换波对地层界面进行成像.需要注意的是,在利用转 换波成像时,用于成像的波形的源距与纵波成像不同.
在水平井中对上、下地层界面进行探测,是三维随钻反射声波成像测井的重要应用方向.本文的模拟结果显示,可以利用0°和180°的波形数据分别对上、下界面进行成像,波场方位分辨率高,上下界面的成像基本互不影响.另外,本文也观察到了反射SH波,SV波等信号,实际处理中可采用叠加等方法对这些信号进行压制.
该方法的探测深度很大程度上取决于实际仪器的设计,如探头的灵敏度,电子线路的垂直采样精度,噪声的量级.假设各种测量条件与目前发展的电缆单极声波远探测技术相同,其探测深度也将与其相当,大约为几米到十几米.由于随钻测井技术面临更为苛刻的井下条件,在实际仪器设计中,应尽量提高发射器的辐射能量、接收器的灵敏度及仪器采集精度,以提高方法的探测深度.
三维随钻反射声波测井还面临更为复杂的信号处理问题.反射波信号为井孔模式的1/100或者更小,需要研究高效快速的提取算法,以实现实时成像.由于该测量方式采用了非对称的声源和接收器,可记录到多种方位阶数的井孔模式波,给反射波提取方法带来了挑战.另外,该测量方式会测得大量波形数据,目前的随钻数据传输技术达不到要求.针对以上问题,需要做进一步的研究和分析. 5 结论
对采用圆弧片状的声源和接收器的随钻反射声波测井进行模拟,研究了采用该测量方法在水平井中对上、下地层界面进行探测的可行性,并分析了方 法的方位分辨率,适用源距等参数,主要得到以下结论.
(1)钻铤的存在使得圆弧片状声源能够向固定方位辐射声场,其主瓣角宽窄,旁瓣级低,向目的方位辐射的纵波场的幅度约为传统环形声源的0.6倍,适用于三维随钻反射声波成像测井.
(2)对于本文计算的地层模型,反射波信号约为井孔信号的1/100,且随着源距的增加,反射纵波幅度逐渐减小,反射P-SV波和SV-P波转换波的幅度先增加后减小,反射SV波的幅度增加,建议在实际应用中,选择合适源距的波形进行处理,并对其他非目的模式进行压制,以期获得更好的成像效果.
(3)在水平井中对地层上下界面进行探测的模拟结果表明,利用反射波信号能够准确获得地层界面的方位,反射纵波有较高的方位分辨率,利用其幅值计算的三分贝角宽约为49°,而且上、下界面成像结果互不影响.
| [1] | Bouchon M, Schmitt D P. 1989. Full-wave acoustic logging in an irregular borehole. Geophysics, 54(6): 758-765. |
| [2] | Chai X Y, Zhang W R, Wang G Q, et al. 2009. Application of remote exploration acoustic reflection imaging logging technique in fractured reservoir. Well Logging Technology (in Chinese), 33(6): 539-543. |
| [3] | Che X H, Qiao W X. 2004. Acoustic field in formation generated by linear phased array transmitters in fluid-filled boreholes. Chinese J. Geophys.(in Chinese), 47(4): 731-736. |
| [4] | Che X H, Qiao W X, Wang R J. 2008. Method of directional receiving for acoustic well logging data. J. Inf. Comput. Sci., 5(1): 313-320. |
| [5] | Chen X L. 2006. Basic methodological investigation on three dimensional acoustic logging around the borehole [Ph.D.thesis] (in Chinese). Dongying: China University of Petroleum. |
| [6] | Chen X L, Wei Z T. 2012. Numerical simulation of monopole acoustic reflection imaging logging in the logging-while-drilling condition. Acta Petrolei Sinica (in Chinese), 33(5): 835-840. |
| [7] | Esmersoy C, Chang C, Kane M, et al. 1998. Acoustic imaging of reservoir structure from a horizontal well. The Leading Edge, 17(7): 940-946. |
| [8] | Geoquest S. 1998. Geoframe BARS User's Guide. Version 1.0. Kanagawa: Schlumberger K K, 1-6. |
| [9] | Hornby B E. 1989. Imaging of near-borehole structure using full-waveform sonic data. Geophysics, 54(6): 747-757. |
| [10] | Qiao W X, Du G S, Chen X L. 2002. Feasibility of application of phased array in acoustic well-logging. Chinese J. Geophys. (in Chinese), 45(5): 714-722, doi: 10.3321/j.issn:0001-5733.2002.05.014. |
| [11] | Qiao W X, Che X H, Ju X D, et al. 2008. Acoustic logging phased arc array and its radiation directivity. Chinese J. Geophys. (in Chinese), 51(3): 939-946, doi: 10.3321/j.issn:0001-5733.2008.03.037. |
| [12] | Randall C J. 1991. Multipole acoustic waveforms in nonaxisymmetric boreholes and formations. J. Acoust. Soc. Am., 90: 1620. |
| [13] | Tang X M. 2004. Imaging near-borehole structure using directional acoustic-wave measurement. Geophysics, 69(6): 1378-1386. |
| [14] | Tang X M, Cheng C H. 2004. Quantitative Borehole Acoustic Methods. San Diego: Elsevier Science Publishing Co. Inc. |
| [15] | Tang X M, Wang T. 2011. Method and apparatus for imaging bed boundaries using azimuthal propagation resistivity measurements. US: 7912648. |
| [16] | Tang X M, Wei Z T. 2012. Single-well acoustic reflection imaging using far-field radiation characteristics of a borehole dipole source. Chinese J. Geophys. (in Chinese), 55(8): 2798-2807, doi: 10.6038/j.issn.0001-5733.2012.08.031. |
| [17] | Tang X M, Cao J J, Wei Z T. 2014. Shear-wave radiation, reception, and reciprocity of a borehole dipole source: With application to modeling of shear-wave reflection survey. Geophysics, 79(2): T43-T50. |
| [18] | Wang B, Tao G, Wang H, et al. 2011. Extraction method of P and S reflection waves from array acoustic logging data. Journal of China University of Petroleum (Edition of Natural Science) (in Chinese), 35(2): 57-63. |
| [19] | Wang R J, Qiao W X. 2014. Study of acoustic field in the near-borehole formation generated by an asymmetric arcuate acoustic source. Chinese J. Geophys. (in Chinese), 57(8): 2732-2742, doi: 10.6038/cjg20140831. |
| [20] | White J E. 1960. Use of reciprocity theorem for computation of low-frequency radiation patterns. Geophysics, 25(3): 613-624. |
| [21] | Wu J P, Qiao W X, Che X H, et al. 2013. Experimental study on the radiation characteristics of downhole acoustic phased combined arc array transmitter. Geophysics, 78(1): D1-D9. |
| [22] | Zhang H L, Wang X M, Zhang B X. 2004. Acoustic Field and Waves in Borehole (in Chinese). Beijing: Science Press. |
| [23] | 柴细元, 张文瑞, 王贵清等. 2009. 远探测声波反射波成像测井技术在裂缝性储层评价中的应用. 测井技术, 33(6): 539-543. |
| [24] | 车小花, 乔文孝. 2004. 充液井孔中的相控线阵声波辐射器在地层中产生的声场. 地球物理学报, 47(4): 731-736. |
| [25] | 陈雪莲. 2006. 井附近地层三维声波测井基础方法研究[博士论文]. 东营: 中国石油大学. |
| [26] | 陈雪莲, 魏周拓. 2012. 随钻单极子声反射测井数值模拟. 石油学报, 33(5): 835-840. |
| [27] | 乔文孝, 杜光升, 陈雪莲. 2002. 相控线阵声波辐射器在声波测井中应用的可行性分析. 地球物理学报, 45(5): 714-722, doi: 10.3321/j.issn:0001-5733.2002.05.014. |
| [28] | 乔文孝, 车小花, 鞠晓东等. 2008. 声波测井相控圆弧阵及其辐射指向性. 地球物理学报, 51(3): 939-946, doi: 10.3321/j.issn:0001-5733.2008.03.037. |
| [29] | 唐晓明, 魏周拓. 2012. 利用井中偶极声源远场辐射特性的远探测测井. 地球物理学报, 55(8): 2798-2807, doi: 10.6038/j.issn.0001-5733.2012.08.031. |
| [30] | 王兵, 陶果, 王华等. 2011. 阵列声波测井中反射纵波和横波信号提取方法研究. 中国石油大学学报(自然科学版), 35(2): 57-63. |
| [31] | 王瑞甲, 乔文孝. 2014. 非对称圆弧片状声源在井旁地层中产生的声场. 地球物理学报, 57(8): 2732-2742, doi: 10.6038/cjg20140831. |
| [32] | 张海澜, 王秀明, 张碧星. 2004. 井孔的声场和波. 北京: 科学出版社. |
2015, Vol. 58










