2. 航天飞行动力学技术重点实验室, 北京 100094;
3. High Altitude Observatory, National Center for Atmospheric Research, Boulder, Colorado, USA
2. Science and Technology on Aerospace Flight Dynamics Laboratory, Beijing 100094, China;
3. High Altitude Observatory, National Center for Atmospheric Research, Boulder, Colorado, USA
1 引言
地磁暴期间,由于高能粒子沉降使得极区电离层对流电场增强,从而引起高纬地区焦耳加热显著增加,加热热层大气(Fuller-Rowell et al., 1977; Burke et al., 2007).通过驱动大尺度风体系带来的热传输,形成全球热层大气增温,进而引起热层大气密度和成分的剧烈扰动(Prolss et al., 1988).热层大气密度变化会引起低轨航天器阻力的增加,从而影响着卫星轨道和姿态.大气密度的精确预报对低轨卫星安全十分重要,这包括寿命估算、再入轨、精密定轨和轨道预报、姿态动力学以及交会对接等.因此对于磁暴期间热层大气密度扰动特性及模式预报精度的研究具有重要的研究和应用意义.
利用CHAMP卫星观测等数据开展的大气模式精度评估与分析工作已有一些进展(Forbes et al., 2005; Liu and Lühr,2005;Lei et al., 2011).Bruinsma等(2006)利用CHAMP和GRACE的数据研究2003年11月19—21日的特强磁暴期间大气密度的全球响应,并将卫星结果和NRLMSISE-00模式预测结果进行了比较.Guo等(2007)研究了2002—2004年间太阳辐射流量的变化对410 km高度大气密度的影响,表明该高度下的大气密度与不同太阳辐射特征谱线和不同波段太阳辐射流量之间存在不同的相关特征,同时将CHAMP卫星观测的400 km高度上的密度值与NRLMSISE-00,DTM-2000和JB2006等经验模式的预测值分别进行了比较,认为这些模式都低估了热层大气密度对太阳自转活动的响应.汪宏波和赵长印(2002)利用太阳活动峰年2001—2002年CHAMP卫星反演的大气密度数据与热层大气密度经验模式结果对比,认为在太阳峰年MSIS-90的偏差为25%~30%,DTM-94的偏差为30%~35%.苗娟等(2011)分析了NRLMSISE-00模式结果与神舟2号和神舟4号轨道反演的大气密度数据的偏差,提出一种利用实时数据对模式结果进行修正的方法,取得了一定的效果.Zhou等(2009)统计了2001—2004年间19次大磁暴期间大气密度对SYM-H指数和焦耳加热的响应,并利用多源线性回归方法修正NRLMSISE-00模式的预测结果.吴媛等(2014)分析了2003年11月20—21日强磁暴期间410 km高度上大气密度的TIEGCM物理模型计算结果和CHAMP卫星数据间的差异,发现模式结果与实测间的一致性较好但仍存在一定差异,同时模式能够准确地反映磁暴期间大气密度扰动从高纬向低纬的传播以及大气密度扰动对SYM-H指数响应的延迟特性.但该研究只是针对一次事件的个例分析,需要进一步开展多次事件的统计分析.由于大气模式在轨道预报和交会对接等航天任务中的重要性,对于模式结果的详细分析有助于评估模式大气密度预报精度和轨道预报精度,同时也能够为潜在的模式修正提供理论依据.
本文统计了2001—2005年间39次大磁暴事件期间TIEGCM模式计算的410 km高度大气密度,并与CHAMP卫星实测结果进行比对,分析模式结果与测试数据偏差随纬度、光照条件和地磁活动指数的变化,以检验模式的预测效果.本文结构如下:第二部分为数据处理,第三部分为结果分析,结论与讨论在第四部分给出. 2 数据处理
选取2001—2005年间有观测数据的共39次大磁暴事件(Dst最小值小于-100 nT),表 1给出了选取事件的时间范围和Dst最小值.
|
|
表 1 大磁暴事件列表 Table 1 List of the selected major storm events |
CHAMP(Challenging Mini-satellite Payload)卫星于2000年发射,初始轨道为454 km的近圆极轨道,倾角87.3°,周期约为94 min,其上装载了高精度三轴加速度计,测量的拖曳加速度精度可达10-9 m·s-2,经过预处理的数据采样间隔为10 s(Reigber et al., 2002).
TIEGCM是由美国国家大气研究中心(NCAR)发展起来的热层-电离层耦合物理模式,该模式采用有限差分技术求解动力学方程、热力学方程和连续性方程,并考虑极区粒子沉降、高纬电场和来自低层大气的潮汐等作用.通过输入F107和Kp等指数,可计算90~500 km高度范围内全球热层大气成分、温度、密度和速度等参数的分布(Roble et al., 1988; Richmond et al., 1992).本文计算使用的经 纬度分辨率为5°,高度分为29层,时间步长为120 s.
本文使用的CHAMP卫星热层大气密度数据 来源于美国Colorado大学(http://sisiko.colorado.edu/sutton)的归一化到410 km高度上的大气密度数据.F107指数和ACE卫星太阳风速度和磁场数据来自美国国家大气海洋局(NOAA)国家地球物理数据中心(NGDC).Kp、Dst、SYM-H、ASYM和AE等地磁指数来自日本京都 地磁中心(WDC for Geomagnetism,Kyoto).TIEGCM 模式计算大气密度的输入参量F107和Kp有两组,一组使用事件期间的实测值,另一组使用磁静日期间的参数(Kp=2,F107取81天平均值),作为背景大气密度参考值.
为便于与模式结果进行比对,对CHAMP卫星实测大气密度数据进行了网格化,在南纬87.5°到北纬87.5°之间,按5°间隔划分为36个格点,每轨共72个格点,即与TIEGCM模式的纬度网格匹配.同时对光照条件进行了区分,由于CHAMP卫星数据是沿轨数据,受卫星轨道的限制,地方时分布较少,因此分为日侧和夜侧两类. 3 结果分析 3.1 磁暴期间大气密度随地磁活动的变化特征
图 1为2005年5月15—17日磁暴期间大气密度、太阳风和地磁参数随时间的变化情况,其中图 1a中蓝色曲线为CHAMP卫星实测大气密度,红色曲线为TIEGCM计算结果,绿色曲线为二者之间的偏差.从图中可以看出,在2005年5月15日03 ∶ 00 UT—06 ∶ 00 UT之间,图 1c所示的太阳风速度开始增强,压迫磁层顶;紧接着图 1d中的行星际磁场出现较强的南向分量,图 1g中的极光电集流指数AE增强,太阳风能量开始输入磁层;随后图 1(b、e)和(f)中的行星际3小时磁情指数Kp、环电流对称指数SYM-H和环电流非对称指数ASYM出现扰动.结合图 1a所示的大气密度变化可以看出,大气密度变化与太阳风和地磁参数具有较好的相关性.模式模拟的大气密度变化趋势与卫星实测结果具有较好的一致性,在磁暴期间大气密度的增长、达到峰值并逐 渐恢复的时间过程,以及大气密度对地磁活动响应的滞后时间等方面均符合得较好.但是,模式与实测结果之间仍然存在着一定的差异,特别是在磁暴期间二者差异随着地磁指数的增强而加大,模式低估了磁暴期间大气密度的增幅.
![]() | 图 1 2005年5月15—17日磁暴期间410 km高度上大气密度和太阳风及地磁活动参数随时间的变化 Fig.1 Temporal variation of the thermospheric density at 410 km and the solar wind and geomagnetic activity parameters during the geomagnetic storm on May 15—17,2005 |
图 2为2004年7月7—11日期间连续两次磁暴事件的情况,其中物理参量的意义与图 1相同.从图中可以看出,在第1次事件尚未恢复到暴前水平时又发生了第2次事件,其中第2次大气密度峰值略低于第1次.模式较好地模拟了两次事件期间大气密度的变化趋势.
![]() | 图 2 2004年11月7—11日磁暴期间410 km高度上大气密度和太阳风及地磁活动参数随时间的变化 Fig. 2 Temporal variation of the thermospheric density at 410 km and the solar wind and geomagnetic activity parameters during the geomagnetic storm on Nov. 7—11,2004 |
通过对表 1中的39次大磁暴事件进行分析,均发现TIEGCM模拟结果与CHAMP卫星实测值之间存在一定的偏差,并且在磁暴期间的偏差比平静期大.下面将进一步分析大气密度变化以及模式和实测结果的偏差与地磁指数之间的关系,由于Kp指数的时间分辨率为3 h,相对较低,因此选用时间分辨率较高的SYM-H指数进行分析. 3.2 磁暴期间不同纬度上大气密度变化与SYM-H指数的关系
(1)410 km高度上暴时大气密度与SYM-H指数的相关性
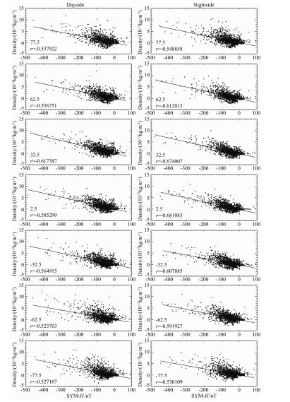
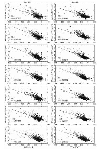
由于磁暴期间大气密度增加随纬度和地方时变化,因此将大气密度按照纬度和光照条件进行分类研究.图 3为CHAMP卫星实测的39次磁暴期间大气密度在日侧(左)和夜侧(右)以及不同纬度上(从上至下分别为77.5°N、62.5°N、32.5°N、2.5°N、32.5°S、62.5°S和77.5°S,分别代表了南北半球低、中、高纬度地区)与SYM-H指数间的相关关系.图 4为TIEGCM模拟的结果.对比图 3和图 4可以看出,模式计算的大气密度与实测值具有较好的一致性,二者与SYM-H指数在不同纬度的相关关系一致性也较好;但在相同纬度不论在日侧还是夜侧,模式结果都比实测值要低.总体上来说,磁暴期间大气密度与SYM-H指数相关,随着环电流的增强,大气密度也在增大;不同纬度上大气密度与SYM-H指数的相关关系存在一定差异,说明磁暴期间不同纬度大气密度对地磁指数的响应有所差别;此外,日侧 大气密度对SYM-H指数的响应要比夜侧明显,相关系数和斜率都比夜侧高,模式和实测结果都体现出这种差别.
![]() | 图 3 磁暴期间CHAMP卫星实测大气密度在日侧(左)和夜侧(右)以及不同纬度上与SYM-H指数的相关关系. 从上至下分别为77.5°N、62.5°N、32.5°N、2.5°N、32.5°S、62.5°S和77.5°S.图中第一行数字为纬度,正数为北纬, 负数为南纬.r为大气密度和SYM-H指数间的相关系数. Fig. 3 Correlation between thermospheric density observed by CHAMP and the SYM-H index during geomagnetic storms on the dayside(left) and nightside(right)at different latitudes(from the top to the bottom: 77.5°N,62.5°N,32.5°N,2.5°N,32.5°S,62.5°S, and 77.5°S) |
![]() | 图 4 同图 3,但为TIEGCM模式计算结果 Fig. 4 Same as Fig. 3,but for the density modeled by the TIEGCM |
(2)410 km高度上暴时大气密度扰动与SYM-H指数的关系
利用第2节中提到的磁静日参数输入TIEGCM 计算出磁暴期间的背景大气密度,然后利用实测和模拟的大气密度分别减去该背景值,即可获得实测和模拟的磁暴期间大气密度的扰动量.
图 5和图 6分别为CHAMP卫星实测和TIEGCM 模式计算的磁暴期间大气密度扰动在不同纬度和光照条件下与SYM-H指数间的相关关系.结合图 3和图 4可以看出,磁暴期间大气密度扰动量对SYM-H指数的响应更加明显,二者相关系数更高,数据的离散程度也更低一些.相比于大气密度,夜侧 大气密度的扰动量对SYM-H指数的响应明显增强,其相关系数和斜率已接近日侧水平.与大气密度相似,模式计算的大气密度扰动量仍比实测结果低.
![]() | 图 5 同图 3,但为CHAMP卫星大气密度扰动量 Fig. 5 Same as Fig. 3,but for density changes observed by CHAMP |
![]() | 图 6 同图 3,但为TIEGCM模式大气密度扰动量 Fig. 6 Same as Fig. 3,but for density changes modeled by the TIEGCM |
(1)磁暴期间模式结果在不同纬度上的偏差
计算不同纬度上模式与实测结果的相对偏差和绝对偏差,结果如图 7所示.从图中可以看出,高纬地区的偏差比低纬地区大,日侧的偏差比夜侧大.日侧高纬地区的偏差最大可达到低纬地区的近2倍,而夜侧这个比值约为1.5.说明模式对于磁暴期间的大气加热有所低估,特别是对高纬地区的粒子沉降和焦耳加热等机制的估计仍有一定差距.
![]() | 图 7 磁暴期间TIEGCM大气密度与CHAMP卫星实测大气密度在不同纬度上的绝对偏差和相对偏差 Fig. 7 Absolute and relative deviations of the thermospheric density between TIEGCM and CHAMP during geomagnetic storms |
(2)磁暴期间模式偏差与Dst指数的关系
按照50 nT一个级别对Dst指数进行划分,并分别统计TIEGCM计算与CHAMP卫星实测大气密度的绝对和相对偏差,结果如表 2所示.总体来说,模式偏差随地磁活动水平的增高而增大,Dst指数越低,模式偏差越大;当Dst指数低于-150 nT以后,绝对偏差和相对偏差变化不明显.
|
|
表 2 模式偏差与Dst指数的关系 Table 2 List of model deviations with the Dst index |
(3)磁暴期间模式偏差与SYM-H指数的关系
图 8是磁暴期间模式的绝对偏差在不同光照条件和纬度上与SYM-H指数的相关关系.从图中可以看出,不论在日侧还是夜侧,高纬还是低纬,模式的绝对偏差随SYM-H指数的变化趋势不明显,相关系数和斜率都较低.
![]() | 图 8 同图3,但为TIEGCM与CHAMP的绝对偏差 Fig. 8 Same as Fig.3, but for absolute deviations of TIEGCM density from the CHAMP data |
本文统计了2001—2005年期间的39次大磁暴事件(Dst<-100 nT),利用CHAMP/STAR反演和TIEGCM计算的410 km高度上的大气密度数据,对磁暴期间热层大气密度扰动以及模式偏差进行了统计分析,得到的主要结论如下:
(1)磁暴期间,TIEGCM能较好地模拟热层大气密度的变化趋势,与CHAMP卫星实测大气密度具有较好的一致性;
(2)磁暴期间,大气密度扰动与SYM-H指数相关性较好,不同纬度的大气密度扰动对SYM-H指数的响应不同,密度增量在日侧和夜侧差别相对较小;模式能基本反映磁暴期间大气密度扰动对SYM-H指数的响应,但比实测结果要低;
(3)模式低估了磁暴期间大气密度的增幅,特别是在地磁活动水平较强时模式与实测的偏差较大.模式的偏差在高纬地区高于低纬地区,日侧高于夜侧.Dst指数越低,偏差越大,而当Dst指数低于-150 nT以后,绝对偏差和相对偏差变化不明显.模式偏差随SYM-H指数的变化趋势不明显.
通过对39次磁暴事件的统计,发现模式与实测结果存在一定的偏差,并且该偏差随纬度、光照条件和地磁活动水平等都有变化.但是受观测数据的限制,统计样本数量、地方时分布和太阳活动周等方面都有限,统计结果具有一定的局限性.进一步寻求覆盖性更为全面的样本,以及与模式偏差相关性更强的物理参量,以获取更为准确的结果,乃至模式修正方法,将是下一步工作的重点方向.
致谢 感谢国家空间天气监测预警中心薛炳森研究员和中国科学技术大学薛向辉博士提供的帮助.本文所用的CHAMP卫星大气密度数据来源于Colorado大学网站,Kp,Dst,SYM-H和ASYM指数数据来源于日本京都世界地磁数据中心网站,F107,太阳风和行星际磁场数据来源于NGDC网站.| [1] | Bruinsma S L, Forbes J M, Nerem R S, et al. 2006. Thermosphere density response to the 20—21 November 2003 solar and geomagnetic storm from CHAMP and GRACE accelerometer data. J. Geophys. Res., 111(A6): A06303, doi: 10.1029/2005JA011284. |
| [2] | Burke W J, Huang C Y, Marcos F A, et al. 2007. Interplanetary control of thermospheric densities during large magnetic storms. J. Atmos. Solar-Terr. Phys., 69(3): 279-287. |
| [3] | Forbes J M, Lu G, Bruinsma S, et al. 2005. Thermosphere density variations due to the 15-24 April 2002 solar events from CHAMP/STAR accelerometer measurements. J. Geophys. Res., 110(A12): A12S27, doi: 10.1029/2004JA010856. |
| [4] | Fuller-Rowell T J, Codrescu M V, Rogle R G, et al. 1997. How does the thermosphere and ionosphere react to a geomagnetic storm?. // Tsurutani B T, Gonzalez W D, Kamide Y, eds. Magnetic Storms. Geophysical Monograph, Vol. 98. Washington DC: American Geophysical Union, 203-225. |
| [5] | Guo J P, Wan W X, Forbes J M, et al. 2007. Effects of solar variability on thermosphere density from CHAMP accelerometer data. J. Geophys. Res., 112(A10): A10308, doi: 10.1029/2007JA012409. |
| [6] | Lei J H, Thayer J P, Lu G, et al. 2011. Rapid recovery of thermosphere density during the October 2003 geomagnetic storms. J. Geophys. Res., 116(A3): A03306, doi: 10.1029/2010JA016164. |
| [7] | Liu H, Lühr H. 2005. Strong disturbance of the upper thermospheric density due to magnetic storms: CHAMP observations. J. Geophys. Res., 110: A09S29, doi: 10.1029/2004JA010908. |
| [8] | Miao J, Liu S Q, Li Z T, et al. 2011. Atmospheric density calibration using the real-time satellite observation. Chin. J. Space Sci. (in Chinese), 31(4): 459-466. |
| [9] | Prolss G W, Roemer M, Slowey J W. 1998. Dissipation of solar wind energy in the earth's upper atmosphere: the geomagnetic activity effect. Adv. Space. Res., 8(5-6): 215-261. |
| [10] | Reigber C, Lühr H, Schwintzer P. 2002. CHAMP mission status. Adv. Space Res., 30(2): 129-134. |
| [11] | Richmond A, Ridley E, Roble R. 1992. A thermosphere/ionosphere general circulation model with coupled electrodynamics. Geophys. Res. Lett., 19(6): 601-604. |
| [12] | Roble R, Ridley E, Richmond A, et al. 1988. A coupled thermosphere/ionosphere general circulation model. Geophys. Res. Lett., 15(12): 1325-1328. |
| [13] | Wang H B, Zhao C Y. 2008. Use CHAMP/STAR accelerometer data to evaluate atmospheric density models during solar maximum year. Acta Astronomica Sinica (in Chinese), 49(2): 168-178. |
| [14] | Wu Y, Li J W, Zhang X X, et al. 2014. Comparison and analysis of the thermospheric density between TIEGCM and CHAMP during a severe geomagnetic storm. Chin. J. Space Sci. (in Chinese), 34(1): 81-88, doi: 10.11728/cjss2014.01.081. |
| [15] | Zhou Y L, Ma S Y, Lühr H, et al. 2009. An empirical relation to correct storm-time thermospheric mass density modeled by NRLMSISE-00 with CHAMP satellite air drag data. Adv. Space Res., 43(5): 819-828, doi: 10.1016/j.asr.2008.06.016. |
| [16] | 苗娟, 刘四清, 李志涛等. 2011. 基于实时观测数据的大气密度模式修正. 空间科学学报, 31(4): 459-466. |
| [17] | 汪宏波, 赵长印. 2008. 用CHAMP加速仪数据校验太阳活动峰年的大气模型精度. 天文学报, 49(2): 168-178. |
| [18] | 吴媛, 李嘉巍, 张效信等. 2014. 强磁暴期间TIEGCM模式与CHAMP卫星热层大气密度的比较分析. 空间科学学报, 34(1): 81-88, doi: 10.11728/cjss2014.01.081. |
2015, Vol. 58









