自从Steketee(1958a,1958b)把位错理论引入地震学后,许多地震学家针对不同的地球模型和断层类型发展了不同的位错理论,使得计算地球同震形变场的解析法和半解析方法得到不断发展.其中,Okada(1985,1992)总结了前人的研究结果,并给出了在均匀半无限空间下断层错动引起的地表及内部形变,它已经成为计算半无限空间介质地球模型的经典方法,被广泛应用.为了计算更为接近实际地球模型的同震形变,Wang等(2003)采用传递矩阵技术发展了半无限空间介质模型,使得能够在径向分层下计算地表及内部形变.
对地球内部介质的进一步认识使地震学家认识到地球介质并不是完全弹性,其黏弹性也不容忽视.大地震后不仅有断层错动的弹性响应,即同震形变;还有在更长的时间尺度上地球介质的黏性松弛效应,即震后形变.为了研究震后应力转移、应力场的变化等问题,一些地震学家在发展位错理论的同时进一步考虑了黏弹性模型、黏性流体模型等,例如,Pollitz(1992)解决了黏弹无重力地球模型内的位错产生的位移和应变场问题.Piersanti等(1995,1997)以及Sabadini等(1995)研究了自重黏弹层状地球模型内位错产生的位移和位移变化率问题;针对不同的地幔黏滞性,他们得出了近场和远场的地表位移和速度结果.Sabadini和Vermeerson(1997)基于自由震荡简正模方法研究了全球同震和震后形变,并讨论了岩石圈与地幔分层的影响.他们发现地幔黏性构造对于远区的震后形变具有主要影响.
地震导致的物质变迁和构造形变同样会引起地壳质量的重新分布,这必然会在地表产生相应的重力变化.Wang(2005a,2005b)以及Wang等(2006)将Okada(1985,1992)的方法拓展到分层弹性半无限空间后,又考虑到重力和震后应力随时间变化的影响,将分层弹性半无限空间模型程序拓展到分层黏弹性模型.其相应的程序可以计算弹性体、Maxwell体、Kelvin体及标准线性体等不同模型下的同震和震后形变,使研究结果相对于真实情况更加精确.
为了考虑更精确的地球模型及探讨地球曲率和远场形变,Sun(1992,2003,2004)、Sun和Okubo 1993,1998,2002)及Sun等(1996)在球坐标系下得到了以球对称、自重、层状、完全弹性的地球模型为基础的球体位错理论,该理论不仅解决了弹性球体内地震位错产生的引力位和重力变化问题,同时还解决了同震形变、大地水准面变化及应变变化等问题.其对地球曲率及层状构造的研究结果表明,地球层状构造的影响可达25%.随后,Fu(2007)开展了对三维不均匀地球模型的位错理论研究,为进一步认识更真实的三维黏弹地球模型的位错理论打下基础.
值得注意的是,上述所有位错理论的有效性和实用性只针对于简单且几何形状规则的地球模型,它们没有、并且从理论上不能考虑实际地球表面的地形和局部地质构造等物理因素所产生的影响.由于地形的复杂性,从理论上无法利用上述位错理论加以解决;Fu和Sun(2007)虽然研究了三维不均匀构造地球模型的形变问题,但其研究是基于微扰理论的,而真实的局部横向不均匀构造相对于所采用的球对称地球模型已经不是微小的变化,甚至超过了100%,因此微扰理论也不再适用.所以,上述规则形状地球模型的位错理论根本不能用来计算考虑地形和真实横向不均匀构造下的地震形变问题.地形效应和横向不均匀性或局部地质构造对计算同震形变会产生多大影响至今仍然并不清楚,亟待解决.
随着计算科学技术的发展,人们已经发展了有限差分、有限单元、有限体积、边界元等数值方法,使得数值模拟成为研究地震形变场的有效方法之一.其中有限元数值模拟因其可以很方便地利用各种类型单元构建比较真实的地球模型及对材料参数的便利处理,在计算同震形变时得到广泛的应用.
地球表面上的地形大体上分为两种:一种是高于海平面的山脉、高原等,另一种是低于海平面的位于俯冲带的海沟等.Lin 等(2013)以汶川地震为例,研究了青藏高原东缘地形对计算汶川地震同震形变的影响,发现地形的影响最大可达9%.由于地形效应取决于所研究区域的地形高低与状态分布,相对于青藏高原东缘大约3000 m起伏的地形构造,日本海沟的地形起伏更大,其地形影响预期也将更大.因此,本文选取日本东北部海沟处为研究区域,以2011年3月11日日本东北大地震为例,采用双节点技术(朱桂芝和王庆良,2005;曾海荣和宋惠珍,2007)来探讨地形以及局部地质构造对计算同震形变的影响. 2 日本俯冲带地震有限元模拟 2.1 日本俯冲带地质构造背景
日本群岛位于太平洋板块、北美板块、欧亚大陆板块与菲律宾板块相互作用的区域,太平洋板块向西北方向运动,与北美板块、欧亚大陆板块、菲律宾板块相互碰撞,形成了世界上最典型的俯冲带——西太平洋俯冲带.此处的北美板块和欧亚大陆板块可进一步细化为鄂霍茨克海板块和阿穆尔板块,而且此处发育着地球表面上最深的海沟,即深海沟带.在日本北部,太平洋板块俯冲到鄂霍茨克海板块和阿穆尔板块之下,2011年日本东北大地震(Mw9.0)即发生在该区域的俯冲带上(图 1).地震的发生改变了此前有关这一区域俯冲带上不会发生8.0级以上大地震的认识(Ruff and Kanamori, 1980;Taira,2001;Stern,2002;Monastersky,2011;郝金来等,2011),随后的地震震源机制解也印证了太平洋板块和欧亚板块的汇聚,表明该区域处于压缩应力状态(姜辉等,2013).此区域板块间相互作用复杂,地形起伏剧烈,因此我们在参考前人研究成果(Yoshi,1979;Yoshioka et al., 1992;姜辉等,2013)的基础上,以横跨震源区的剖面做为研究对象,建立日本俯冲带二维有限元数值模型,探讨地形因素和局部地质构造对此次大地震的同震形变影响. 2.2 有限元模型的构建
根据地质构造背景和地球物理探测得到的结果建立横跨日本俯冲带的二维有限元模型,取图 1中实线AA′作为剖面.模型采用弹性介质,虽然弹性介质本构关系简单,参数相对较少,但使用弹性介质 参数模拟出的结果能快速得到同震形变,并能反映地震形变的主要特征.下面是根据日本俯冲带的几何结构模型构建的有限元模型.
![]() | 图 1 研究区域构造地质背景.锯齿状曲线代表海沟,红色五角星代表震源位置,AA′为所研究剖面 Fig. 1 Tectonic background of the study area. Zigzag curves are trenches,red star represents the location of earthquake,profile AA′ is study profile |
图 2给出模型示意图,模型长度为(AA′)8000 km,纵向深度为1371 km,俯冲带两侧地块分为上地壳、下地壳、上地幔上部(地幔岩石圈)、上地幔下部和下地幔上部五部分.俯冲带板片包括两层:俯冲洋壳和俯冲岩石圈地幔.参考前人的研究结果(Yoshi,1979;Loo et al., 1992;Yoshioka et al., 1992;Sato et al., 2007;Sato et al., 2010;姜辉等,2013),并综合考虑模型在模拟计算时的复杂程度,将模型中地壳厚度设为30 km,其中上地壳为17 km,下地壳为 13 km,岩石圈厚度为100 km,上地幔延伸到560 km; 俯冲板片整体厚度为80 km,其中俯冲洋壳8 km,俯冲上地幔岩石圈72 km,俯冲板片向西俯冲,在 560~660 km处转为水平,下地幔上部延伸到1371 km. 俯冲断层活动引起的同震形变不仅与局部地质构造的岩石介质性质和地形有关,还受到俯冲带几何形状很大的影响.因此本文在模拟日本俯冲带地震产生的同震形变时,在确定了俯冲带几何形状后,重点研究地形效应和岩石介质性质对同震形变的影响.
![]() | 图 2 AA′剖面二维几何模型示意图(未添加地形).粗黑线段为断层面 Fig. 2 Two-dimensional geometric model of profile AA′(No topography). Bold black line represents fault |
由于采用的是二维有限元模型,取用Hayes(2011)反演得到的断层滑动模型所确定的断层宽度250 km作为沿俯冲带方向的断层;断层倾角根据全球俯冲带几何模型Slab1.0(Hayes et al., 2012)确定为11°;平均位错量根据下面公式得到: M0=μ· ·A,

另外,为了验证有限元数值模拟结果的正确性,将计算结果与Okada弹性半无限空间的理论解析解做了对比.
本文构建了3个几何结构模型,分别考虑了地形效应和岩石介质性质,然后将结果进行对比分析.俯冲板片在岩石圈底部深度为130 km处拐折,浅部倾角为11°,较深部为30°.
(1)模型A:均匀半无限空间模型,在图 2所示几何模型中各个块体的材料参数相同;
(2)模型B:在图 2所示几何模型基础上根据PREM(Dziewonski and Anderson, 1981)模型参数设定的水平分层模型;
(3)模型C:图 2所示几何模型.
在各类几何模型中,添加地形与无地形中所使用的介质参数相同,采用的介质参数见表 1.
|
|
表 1 有限元模型介质参数 Table 1 Material parameters of finite element models |
模型C中的介质参数所对应的地质块体分别为,上地壳(A1)、下地壳(A2)、上地幔岩石圈(A3).在俯冲板片的左右(东西)两侧,上地幔下部的介质参数存在差异,可分为两类:西侧上地幔(WM)和东侧上地幔(EM).下地幔(LW)介质参数相同.俯冲板片虽然同为海洋岩石圈,但深度不同,温度压力条件不同,其介质参数也存在很大的差异.在本研究中,随深度的增大,俯冲板片洋壳部分共分4段:Slab1—Slab4分别对应海陆洋壳、浅部洋壳、上地幔岩石圈和上地幔下部的深度段;俯冲地幔岩石圈部分分为两段,Belt1和Belt2,分别对应岩石圈和上地幔下部的深度段.
由于所采用计算的有限元模型为有限区域,边界效应的影响必须加以考虑.同震形变中边界效应的影响随着远离震源而减小,根据Lin等(2013)的结论,当建模区域尺寸大于断层宽度的30倍以上时,边界效应可以忽略,因此本文所选择的区域长度(AA′)为8000 km.但在后续的结果显示中,选取震中距2000 km范围讨论,这是因为随着震中距的增加,各种影响因素对结果的干扰越来越小.
在应用有限元计算同震形变时,需要对模型施加正确的边界条件.本文采取方案如下:对模型左右两侧边界节点X方向设定为自由边界条件,Y向设定为固定边界条件(零位移约束);模型上侧为自由表面,底部节点在X方向和Y方向统一施加固定边 界条件,即不产生位移形变.这里将断层面处理成由一系列双节点构成的内部边界面(位错面),并对此位错面上的双节点施加方向相反的位移约束,见示意图 3.
![]() | 图 3 断层双节点模型示意图.粗黑线代表断层面,1—13为断层左侧节点,14—26为断层右侧节点.坐标相同的节点施加方向相反的位移 Fig. 3 Conceptual model of the double-node fault. Bold black line represents fault,the left side nodes of the fault are numbered as 1, 2, 3, …, 13, the right side nodes of the fault are correspondingly numbered as 26, 25, 24,…, 14. When dislocation is imposed,the left side of the nodes has an upward load displacement,whereas a downward load displacement occurs on the right side of the nodes |
对于模型A,设定为弹性半无限空间模型,根据Okada关于弹性半无限空间模型下地表位移理论解析式的计算结果,和利用有限元模拟断层错动引起的地表位移结果绘于图 4中.如图 4所示,在模型A下,有限元模拟结果与Okada理论解相吻合,说明断层节点位移的施加和边界条件的设定是正确的.
![]() | 图 4 半无限空间下地表位移数值模拟结果与Okada(1985)理论解结果对比:(a)同震水平位移;(b)同震垂直位移 Fig. 4 Comparison of surface displacement results of numerical simulation and the Okada(1985)theoretical solution in the half-space. (a)Panel shows the co-seismic horizontal displacement;(b)Panel shows the co-seismic vertical displacement |
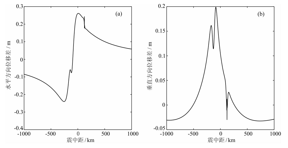
在模型A的基础上,我们考虑地形效应对同震位移的影响.所选取的地形剖面如图 5所示.从图中可以看出日本俯冲带地区地形起伏剧烈,高差达9 km.图 6给出地形效应对同震位移的影响,从图中可以看出在水平方向上,地形效应产生的位移变化范围为 -1.25~1.31 m,而垂直方向上地形效应所产生的位移变化范围较小,为 -0.89~0.44 m.地形效应在垂直方向上的位移变化范围小于水平方向上的位移变化范围,其原因主要是由于此次地震为低角度的俯冲地震,其断层水平滑动分量较大.在海沟右侧近200 km处有一地形起伏较大的海山,在该处地形效应引起的水平方向上的位移显著,达到约1.4 m;且在垂直方向上也有近1 m的扰动,但垂直方向上的最大位移差异仍然位于海沟处.如果把海山的扰动扣除,地形效应在水平方向上产生的位移变化范围为-0.64~0.13 m.
![]() | 图 5 日本东北大地震过震源的地形剖面示意图,以海沟底部为坐标原点.粗黑线段为断层 Fig. 5 Terrain profile acrossing the epicenter of Japan earthquake with the bottom of the trench as the origin of coordinates. Bold black line represents fault |
![]() | 图 6 地形效应对同震位移的影响:(a)水平方向上的位移差;(b)垂直方向上的位移差 Fig. 6 Topography effect on the co-seismic deformations, for the horizontal(a) and vertical component(b),respectively |
我们采用下式衡量地形效应的影响:

![]() | 图 7 同震位移中地形效应所占的百分比:(a)水平方向上的百分比;(b)垂直方向上的百分比 Fig. 7 Percentage of the topographic effect on the co-seismic deformations. (a)The horizontal component;(b)The vertical component |
在模型B中,我们首先根据PREM模型模拟了在水平分层情况下,水平层状构造对同震形变的影响,其结果如图 8所示.图 8表明在水平方向上,水 平层状构造产生的位移变化范围为-0.24~0.27 m; 在垂直方向上其产生的位移变化范围较小,为-0.03~0.2 m.图 9给出了水平层状构造在最大变形量下所占的百分比,在水平方向和垂向方向上其最大值分别为5.2%和10.8%. 这个结果略小于Pollitz(1996)得到的约20%的层状影响,不过后者比较的是球形分层地球模型和均匀球的同震位移结果,其 原因可能主要是由于我们的建模区域的深度相对于地球半径太小,不能充分体现地球深部介质的影响.
![]() | 图 8 层状构造对同震位移的影响:(a)水平方向上的位移差;(b)垂直方向上的位移差 Fig. 8 Effect of layer structure on co-seismic displacement,for the horizontal(a) and vertical component(b),respectively |
![]() | 图 9 同震位移中水平层状构造所占的百分比:(a)水平方向;(b)垂直方向 Fig. 9 Percentage of the effect of layer structure on co-seismic deformations.(a)Horizontal component;(b)Vertical component |
同样在水平层状构造的基础上考虑地形因素,我们计算了在相同震源作用下的同震形变,进一步考察水平层状构造和地形起伏对同震形变的影响,其结果分别在图 10和图 11中给出.由图 10可知,添加地形后,海山对同震形变的影响依旧很大,水平方向上的最大差值达到-2.73 m,垂直方向上的最大差值也有-0.87 m.如果将海山对同震形变的影响去掉,其在水平方向上的影响在±0.5 m范 围内;而在垂直方向上的影响范围为-0.2~0.5 m,远远大 于前面的层状效应的影响.图 11表明,水平层状构造和地形因素对同震形变的百分比在水平方向和垂直方向上的最大影响分别为54%和47%,其中海山的贡献同样巨大,如果将此扰动扣除,水平层状构造和地形因素在水平方向和垂直方向上的百分比影响仍然可达7%和26%.
![]() | 图 10 水平层状构造和地形效应对同震位移的影响: (a)水平方向上的位移差;(b)垂直方向上的位移差 Fig. 10 Effect of layer structure and topography on co-seismic displacements, for the horizontal(a) and vertical(b)component,respectively |
![]() | 图 11 同震位移中水平分层和地形效应所占的百分比: (a)水平方向上的百分比;(b)垂直方向上的百分比 Fig. 11 Percentage of layer structure and topography on co-seismic deformations.(a)The horizontal component;(b)The vertical component |
最后,根据日本俯冲带地质构造模型C,我们计算了相应的同震形变,其结果示于图 12中,影响百分比示于图 13.图 12表明,在水平方向上,局部地 质构造和地形效应产生的位移变化范围为-1.78~ 0.8 m,其在垂直方向上的变化范围为-1.4~0.64 m; 水平方向上位移变化的极值和垂直方向上的极小值同样是由海山的地形扰动所导致.如果扣除此扰动,局部地质构造和地形因素对同震形变的影响仍然很显著,其在水平方向上为-0.63~0.38 m,垂直方向上为-0.78~0.76 m.
![]() | 图 12 局部地质构造和地形效应对同震位移的影响: (a)水平方向上的位移差;(b)垂直方向上的位移差 Fig. 12 Effect of topography and geological structure on co-seismic displacements, for horizontal(a) and vertical(b)component, respectively |
![]() | 图 13 同震位移中局部地质构造和地形效应所占的百分比: (a)水平方向上的百分比;(b)垂直方向上的百分比 Fig. 13 Percentage of topography and geological structure on co-seismic deformations.(a)The horizontal component;(b)The vertical component |
图 13显示,局部地质构造和地形效应对同震形变的百分比在水平方向和垂向方向上分别达到了34%和92%,由于海山地形的影响,垂直方向上的影响几乎达到了100%.说明在此局部地质构造下,地形的剧烈起伏对同震形变的影响远远超出了地球分层的影响.如果将海山地形的扰动扣除,局部地质构造和地形效应在水平方向和垂直方向上的最大影响分别为12%和50%,这几乎是模型B中所得结果的2倍.这说明局部地质构造对同震形变的影响更为显著,不可忽略.为了更准确地模拟固体地球表面的同震形变,需要考虑局部地质构造的影响,然而,用经典的解析或半解析半数值的理论方法是无法实现的. 4 结论
(1)本文使用有限元方法研究了地形和局部地质构造对计算同震形变的影响.首先对半无限空间模型(没有考虑地形)下的2011年3月11日日本东北大地震进行了数值模拟研究,将其计算结果与Okada半无限空间解析解结果进行比较,结果显示两者符合非常好,表明将双节点技术应用于断层面,并给予断层面上双节点相对位移边界条件是正确的.
(2)在上述有限元模型基础上探讨了日本俯冲带区域的地形效应、水平层状构造和局部地质构造等物理因素对计算同震形变的影响.其中:地形效应 的影响在水平和垂直方向上分别为-1.25~1.31 m和-0.89~0.44 m,其百分比分别为26%及55%. 若同时考虑水平层状构造和地形效应,同震水平位移和垂直位移分别有-2.73~0.3 m和-0.87~0.48 m的差异,其百分比分别为54%和47%;而局部地质构造和地形效应的影响在水平和垂直向上分别为-1.78~0.8 m和-1.4~0.64 m,其百分比分别为34%和92%.以上产生如此大的差异,海山地形的影响不容忽视;同时在相同的地形模型情况下,虽然水平层状构造对同震形变有很大影响,但局部地质构造的影响(模型C)更大,所得结果也更接近真实情况.这些结果表明,世界上最大海沟的地形效应远远大于青藏高原东缘9%的地形效应.所以,在计算同震形变时,尤其是地形起伏较大的地区,更应该考虑地形效应的影响,同时局部地质构造也不容忽视.
(3)虽然本研究仅采用二维剖面模型,但所得结果仍然体现了地形效应和局部地质构造的主要特征,表明其影响不容忽视.在后继的研究中,我们将把有限元模型扩展到三维,同时采用黏弹本构关系并顾及重力的影响,以便更好地探讨地形效应及局部地质构造对计算同震形变的影响.
致谢 感谢周新博士在本研究工作中提出的宝贵意见及与其有益的讨论;两位匿名审稿人提出的很多宝贵意见和修改建议为完善本文大有裨益,在此一并表示感谢.
| [1] | Dziewonski A M, Anderson D L. 1981. Preliminary reference earth model. Physics of the Earth and Planetary Interiors, 25(4): 297-356. |
| [2] | Fu G Y. 2007. Surface gravity changes caused by Tide-Generating potential and by internal dislocation in a 3-D heterogeneous earth. Japan: University of Tokyo. |
| [3] | Fu G Y, Sun W K. 2007. Effects of the lateral inhomogeneity in a spherical earth on gravity earth tides. Journal of Geophysical Research, 112(B6): B06409, doi: 10.1029/2006JB004512. |
| [4] | Hao J L, Wang W M, Yao Z X. 2011. Source process of the 2011 Mw9.0 Tohuko Japan earthquake. Science China Earth Science (in Chinese), 41(6): 745-749, doi:10.1007/s11430-011-4241-y. |
| [5] | Hayes G P. 2011. Rapid source characterization of the 2011 Mw9.0 of the Pacific coast of Tohoku Earthquake. Earth Planets Space, 63(7): 529-534, doi:10.5047/eps.2011.05.012. |
| [6] | Hayes G P, Wald D J, Johnson R L. 2012. Slab1.0: A three-dimensional model of global subduction zone geometries. Journal of Geophysical Research, 117(1): B01302, doi:10.1029/2011JB.008524. |
| [7] | Jiang H, Deng Z H, Gao X L, et al. 2013. Numerical modeling of earthquake generating processes in the Japan subduction slab. Chinese Journal of Geophysics (in Chinese), 56(7): 2303-2312, doi:10.6038/cjg20130717. |
| [8] | Lin X G, Sun W K, Zhang H, et al. 2013. A feasibility study of an FEM simulation used in co-seismic deformations: A case study of a dip-slip fault. Terrestrial, Atmospheric and Oceanic Sciences, 24(4): 637-647, doi:10.3319/TAO.2013.01.16.01 (TibXS). |
| [9] | Loo H Y, X L Gao, J X Sun, et al. 1992. Three-dimensional numerical modeling of earthquake migration along a northwestern Pacific subduction slab. Geophysical Research Letters, 19(3): 313-316. |
| [10] | Monastersky R. 2011. Giant shock rattles ideas about quake behaviour. Nature, 471(7338): 274, doi:10.1038/471274a. |
| [11] | Okada Y. 1985. Surface deformation due to shear and tensile faults in a half-space. Bulletin of the Seismological Society of America, 75(4): 1135-1154. |
| [12] | Okada Y. 1992. Internal deformation due to shear and tensile faults in a half-space. Bulletin of the Seismological Society of America, 82(2): 1018-1040. |
| [13] | Piersanti A, Spada G, Sabadini R, et al. 1995. Global post-seismic deformation. Geophysical Journal of International, 120(3): 544-566. |
| [14] | Piersanti A, Spada G, Sabadini R. 1997. Global post-seismic rebound of a viscoelastic Earth: Theory for finite faults and application to the 1964 Alaska earthquake. Journal of Geophysical Research, 102(B1): 477-492. |
| [15] | Pollitz F F. 1992. Post-seismic relaxation theory on the spherical Earth. Bulletin of the Seismological Society of America, 82(1): 422-453. |
| [16] | Pollitz F F. 1996. Coseismic deformation from earthquake faulting on a layered spherical earth. Geophysical Journal of International, 125(1): 1-14. |
| [17] | Ruff L, Kanamori H. 1980. Seismicity and the subduction process. Physics of the Earth and Planetary Interiors, 23(2): 240-252. |
| [18] | Sabadini R, Piersanti A, Spada G. 1995. Toroidal-poloidal partitioning of global Post-seismic deformation. Geophysical Research Letters, 22(8): 985-988. |
| [19] | Sabadini R, Vermeersen L L A. 1997. Influence of lithospheric and mantle stratification on global post-seismic deformation. Geophysical Research Letters, 24(16): 2075-2078. |
| [20] | Sato K, Minagawa N, Hyodo M, et al. 2007. Effect of elastic inhomogeneity on the surface displacements in the northeastern Japan: Base on three-dimensional numerical modeling. Earth Planets Space, 59(10): 1083-1093. |
| [21] | Sato K, Baba T, Hori T, et al. 2010. Afterslip distribution following the 2003 Tokachi-oki earthquake: An estimation based on the Green's functions for an inhomogeneous elastic space with subsurface structure. Earth Planets Space, 62(12): 923-932. |
| [22] | Steketee J A. 1958a. On Volterra's dislocations in a semi-infinite elastic medium. Canadian Journ-al of Physics, 36(2): 192-205. |
| [23] | Steketee J A. 1958b. Some geophysical applications of the elasticity theory of dislocations. Canadian Journal of Physics, 36(9): 1168-1198. |
| [24] | Stern R J. 2002. Subduction zones. Reviews of Geophysics, 40(4): 1012-1038, doi:10.1029/2001RG000108, 2002. |
| [25] | Sun W K. 1992. Potential and gravity changes raised by dislocations in spherically symmetric Earth models[Ph. D. Thesis]. Japan: University of Tokyo. |
| [26] | Sun W K, Okubo S. 1993. Surface potential and gravity changes due to internal dislocations in a spherical Earth-Ⅰ. Theory for a point dislocation. Geophysical Journal of International, 114(3): 569-592. |
| [27] | Sun W K, Okubo S, Vaníek P. 1996. Global displacements caused by point dislocations in a realistic Earth model. Journal of Geophysical Research, 101(B4): 8561-8577. |
| [28] | Sun W K, Okubo S. 1998. Surface potential and gravity changes due to internal dislocations in a spherical Earth-Ⅱ. Application to a finite fault. Geophysical Journal of International, 132(1): 79-88. |
| [29] | Sun W K, Okubo S. 2002. Effects of the earth's spherical curvature and radial heterogeneity in dislocation studies-for a point dislocation. Geophysical Research Letters, 29(12): 461-464. |
| [30] | Sun W K. 2003. Asymptotic theory for calculating deformations caused by dislocations buried in a spherical earth: geoid change. Journal of Geodesy, 77(7-8): 381-387. |
| [31] | Sun W K. 2004. Asymptotic solution of static displacements caused by dislocations in a spherically symmetric earth. Journal of Geophysical Research, 109(B5): B05402, doi: 10.1029/2003JB002793. |
| [32] | Taira A. 2001. Tectonic evolution of the Japanese Island Arc system. Annual Review of Earth and Planetary Sciences, 29: 109-134. |
| [33] | Wang R J, Lorenzo-Martín F, Roth F. 2003. Computation of deformation induced by earthquakes in a multi-layered elastic crust-FORTRAN programs EDGRN/EDCMP. Computers & Geosciences, 29(2): 195-207. |
| [34] | Wang R J. 2005a. On the singularity problem of the elastic gravitational dislocation theory applied to plane-earth models. Geophysical Research Letters, 32(6): L06307, doi:10.1029/2003GL019358. |
| [35] | Wang R J. 2005b. The dislocation theory: a consistent way for including the gravity effect in (visco) elastic plane-earth models. Geophysical Journal International, 161(1): 191-196, doi:10.1111/j.1365-246X.2005.02614.x. |
| [36] | Wang R J, Lorenzo-Martín F, Roth F. 2006. PSGRN/PSCMP-a new code for calculating co-and post-seismic deformation, geoid and gravity changes based on the visco-elastic-gravitational dislocation theory. Computers & Geosciences, 32(4): 527-541. |
| [37] | Yoshi T. 1979. A detailed cross-section of the deep seismic zone beneath northeastern Honshu, Japan. Tectonophysics, 55(3-4): 349-360. |
| [38] | Yoshioka S, Loo H Y, Mikumo T, et al. 1992. A model of post-seimic recovery induced by a Deep-Focus earthquake. Physics of the Earth and Planetary Interiors, 72(1-2): 83-98. |
| [39] | Zeng H R, Song H Z. 1999. Application of double-node finite element on seepage involving fault and fracture. Seismology and Geology (in Chinese), 21(3): 238-242. |
| [40] | Zhu G Z, Wang Q L. 2005. Modeling of asymmetric earthquake displacement field of vertical strike-slip fault by using double-node finite element technique. Journal of Seismological Research (in Chinese), 28(2): 189-192. |
| [41] | 郝金来, 王卫民, 姚振兴. 2011. 2011年3月11日日本东北沿海Mw9.0级地震震源破裂过程. 中国科学: 地球科学, 41(6): 745-749, doi: 10. 1007/s11430-011-4241-y. |
| [42] | 姜辉, 邓志辉, 高祥林等. 2013. 日本俯冲带地震发生过程的数值模拟研究. 地球物理学报, 56(7): 2303-2312, doi: 10. 6038/cjg20130717. |
| [43] | 曾海荣, 宋惠珍. 1999. 用双节点有限元单元模拟渗流模型中的断裂与裂隙. 地震地质, 21(3): 238-242. |
| [44] | 朱桂芝, 王庆良. 2005. 双节点有限元模拟直立走滑断裂地震位移场. 地震研究, 28(2): 189-192. |
2014, Vol. 57















