2. 中国石油集团东方地球物理公司新兴物探开发处, 河北 涿州 072751
2. BGP, CNPC, Zhuozhou Hebei 072751, China
1 引言
地震波传播过程中,要经受地层Q吸收造成的能量衰减(Hamilton,1972;Toksoz et al., 1979)和速度频散(Sams et al., 1997;Spencer et al., 1982). 能量衰减使得地震记录的主频降低,有效频带变窄,分辨率降低.速度频散使不同频率的地震波具有不同的传播速度,造成相位畸变.特别是当地层含有油气时,能量衰减和速度频散现象更加明显.
为描述地层的Q吸收效应,Futterman(1962)提出了能量衰减和相速度频散表达式;Kjartansson(1979)根据不同的假设条件对Q吸收效应进行了数学描述;为消除地层的Q吸收效应,有关学者利 用VSP资料(Hauge,1981; Stainsby and Worthington, 1985; Badri and Mooney, 1987;Tonn,1991; Xu C and R Stewart,2006; Gao and Yang, 2007; Gao et al., 2008; Blias,2012)和地面地震资料(Yan and Liu, 2009; Wang,2011;Zhao et al., 2013)反演地层品质因子Q,并用于反Q滤波(Hargreaves and Calvert 1991; Wang, 2002,2003,2006;Yao et al., 2003; Liu et al., 2013;Chen et al., 2014)方法,对地震波的振幅和相位进行补偿.反Q滤波振幅补偿提高地震分辨率的能力,受到业界广泛认可,得到了较好的应用;而反Q滤波相位补偿(Bano,1996)用于校正速度频散方面,实际资料处理效果鲜有发表.
地震资料采集中,受激发环境限制,经常采用多种类型震源(如气枪震源,炸药震源、可控震源、重锤等)激发,而不同类型震源激发的地震子波具有不同的频带和相位;因此即便激发点相同,接收点相同,地震记录的有效频带也会不同,速度频散也不同,这给地震资料匹配处理(如连片处理,时移地震、井震标定)带来很多难题.随着目标体勘探精度的提高,我们不得不重视速度频散和反Q滤波相位补偿的研究.
因此,本文以Futterman提出的地震波振幅和相速度频散关系式为基础,从井震联合标定的角度出发,结合与反Q滤波处理相关的四种情况,详细地分析了VSP资料与地面地震资料之间的速度频散关系,并从理论上说明了反Q滤波相位补偿的必要性;通过相同观测系统,两种不同类型震源采集的零偏移距VSP资料实例,验证速度频散关系;并通过井震联合标定实例,展示了反Q滤波相位补偿效果,验证了反Q滤波相位补偿的必要性.
2 地震波非弹性衰减与补偿 2.1 地震波的非弹性衰减为描述地层吸收效应,Futterman提出了振幅衰减和频散方程;该方程基于Q与频率无关的假设和一维双程传播波动方程:


将v(ω)/v(ωc)对ω求一阶偏导数,可得相速度频散的变化率:
利用中心频率为50 Hz的带通子波,得到图 1中FFID=1的地震道;利用方程(2),按Q=138进行Q吸收衰减正演,得到图 1中FFID=2的地震道:随传播时间增大,地震记录能量衰减,主频降低;由于地震波相速度的频散效应,子波由原来的零相位变成混合相位.
![]() | 图 1 反Q滤波前后效果对比 Fig. 1 The result of synthetic tarce before and after inverse Q-filter |
实际资料处理中,根据不同的目的需求,反Q滤波往往只补偿振幅或相位,或同时补偿相位和振幅.由方程(2),可得这三种情况下,反Q滤波的表达式.
如只进行反Q滤波振幅补偿,则反Q滤波的表达式为
利用Q=138,对图 2中FFID=2的地震道同时进行反Q滤波相位补偿和振幅补偿,得到图 1中FFID=5的地震道:补偿后的记录与原来的合成记录完全匹配,不仅仅消除了频散,恢复了能量,还提高了分辨率.
![]() | 图 2(a)炸药震源激发时下行子波振幅谱;(b)可控震源激发时下行子波振幅谱 Fig. 2(a)Amplitude spectrum of down-going wavelet with dynamite source; (b)Amplitude spectrum of down-going wavelet with vibroseis |
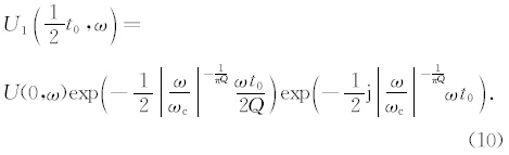
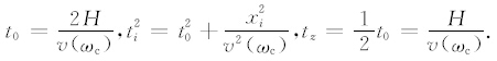
假设模型为一个厚度为H、品质因子为Q的均匀各向同性介质;地面地震记录与零偏移距VSP记 录具有相同的震源子波,且震源子波振幅谱为U(0,ω); 地震波的参考频率为ωc,且其传播速度为v(ωc);地面地震记录炮检距xi处,参考频率的地震波传播时间为ti;零偏移距VSP检波器埋置深度为H,且参考频率的地震波传播时间为tz,则有
利用3.1节的理论模型,结合反Q滤波处理四种情况,定量分析地面地震资料与零偏移距VSP资料之间的速度频散关系.
(1)不进行反Q滤波补偿
不进行反Q滤波补偿,相当于利用方程(2)进行地震波正演.此时,零偏移距VSP资料中,地震子波的振幅谱可表示为
由方程(10)和(11)可得,随传播时间增大,地震波能量衰减增大,主频向低频方向移动,低频信号的相对能量逐渐增强,所占比重越来越大;传播时间无穷大时,地震波群速度必然等于某一特定频率(该频率远小于激发子波的主频)的相速度.再据方程(4)可得,对同一目的层而言,炮检距越大,速度频散越大,群速度越小.
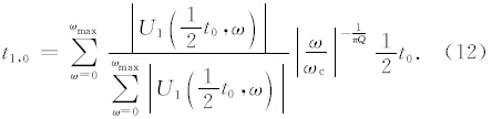
因此,地震波的传播时间不仅和速度频散有关,还和各种频率的相对能量有关;地震波的传播时间可表示为各频率成分的地震波传播时间的加权,加权系数为各频率成分的能量在振幅谱中的百分比.对零偏移距VSP资料而言,地震波传播时间为
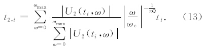
对地面地震资料而言,炮检距xi处地震波传播时间为
(2)仅反Q滤波振幅补偿
仅反Q滤波振幅补偿相当于利用方程(2)正演时,只考虑速度频散.此时,零偏移距VSP资料中,地震子波的振幅谱可表示为
地面地震资料中,炮检距xi处,地震子波的振幅谱可表示为
仅考虑速度频散时,地震波的传播时间与参考频率地震波传播的时间满足线性关系;假设参考频率的地震波传播时间为单位时间,与群速度对应的地震波的传播时间为α,且α>1.针对本文模型:
对零偏移距VSP资料而言,地震波传播时间为t1,0=αt0.
对地面地震资料而言,炮检距xi处地震波传播时间为t2,i=αti,且
此时,地面地震反射波的传播时间虽然满足双曲线方程,但来自深度H的地震波的传播时间都为αt0.经动校正和叠加后的地面地震资料,与VSP走廊叠加剖面虽在时深关系匹配,但波形不匹配.
(3)仅反Q滤波相位补偿
只进行反Q滤波相位补偿,相当于利用方程(2)正演时,只考虑能量衰减.此时,零偏移距VSP资料中,地震子波的振幅谱可表示为
地面地震资料中,炮检距xi处,地震子波的振幅谱可表示为
对零偏移距VSP资料而言,地震波传播时间为t1,0=t0;对地面地震资料而言,炮检距xi处地震波传播时间为t2,i=ti.
此时,地震波传播到任意时刻的相位与震源子波相同,地面地震反射波的传播时间满足双曲线方程,且来自深度H的地震波的传播时间都为t0.经动校正和叠加后的地面地震资料,与VSP走廊叠加剖面仅在时深关系和子波相位上可完全匹配.
(4)反Q滤波相位与振幅同时补偿
同时进行反Q滤波相位和振幅补偿,相当于声波方程正演.此时,零偏移距VSP资料和地面地震 资料中,地震子波的振幅谱完全相同,且都可表示为

此时,任意时刻的地震波都和震源子波完全相同,任何频率的地震波都以参考频率的速度传播,且来自深度H的地面地震反射波传播时间都为t0.经动校正和叠加后的地面地震资料,与VSP走廊叠加剖面时深关系完全匹配,波形也完全匹配.
4 速度频散与反Q滤波相位补偿实例 4.1 速度频散实例为验证地震波频散效应,并更加直观地理解速度频散现象,我们通过相同观测系统、炸药震源和可控震源激发采集的零偏移距VSP资料实例进行分析.
对零偏移距VSP记录Z分量进行初至拾取(炸药震源拾取起跳点,可控震源拾取波峰),并进行波场分离得到下行波;在分离得到的下行波场中,选择初至附近的地震记录作为下行地震子波,并进行傅里叶变换得到振幅谱.地震子波选取原则为:尽量降低多次波的影响,使选择的地震子波的振幅谱尽可能光滑.
图 2a和图 2b分别为炸药震源和可控震源激发时,下行地震子波的振幅谱(峰值频率对应的振幅谱归一);图 2中,纵轴为频率,横轴为道号(Trace number),且道号随井下检波器的深度增大而增大;颜色代表能量.由于两次采集过程中,炮点位置相同,井下检波器的位置完全相同,因此相同深度的检波器记录到的地震波的传播路径相同,地层Q吸收造成的振幅衰减函数相同,速度频散函数也完全相同.
对比图 2a和图 2b中同深度处的下行地震子波的频谱可得,在道号为26-236对应的深层,炸药震源激发的震源子波较可控震源激发的震源子波而言,具有较宽的有效频带;但在道号为1-25对应的浅层,炸药震源激发的震源子波较可控震源激发的震源子波而言,具有较窄的有效频带;这主要是由震源子波差异造成.因为在VSP资料采集过程中,检波器都是从井底逐步往井口提升,而且受井下检波器级数的限制,每激发一次仅能测量某一个深度段的VSP记录,因此采集整个井段的VSP记录,需在同一个炮点多次激发,激发环境改变造成炸药震源激发震源子波主频逐渐降低,有效频带也变窄.而可控震源激发的震源子波的主频和有效频带,所受的影响较小.
图 3a中,初至1代表可控震源激发时各深度检波器对应的初至时间;图 3b中,初至2代表炸药震源激发各深度检波器对应的初至时间;图 3c和3d分别为井下相同深度的检波器对应的初至时间初至1与初至2的差值和比值.由图 3c可知,初至差值随深度增大呈增大趋势,但道号为1-25时,可控震源激发时对应的初至小于炸药震源激发时对应的初至时间,差值小于零;由图 3d可知,初至比值随深度增大逐渐增大,但变化率逐渐平缓;道号为1-25时,可控震源激发时对应的初至时间,小于炸药震源激发时对应的初至时间,初至比值小于1.
![]() | 图 3 初至时间对比 Fig. 3 The comparision of real First Break |
利用下行地震子波的振幅谱,按方程(12)进行初至反演,反演过程中:设fbi为深度Hi处下行波中参考频率的地震波的初至时间,vi为参考频率ωc的地震波的传播速度(单位为km/s),Qi为炮点和检波点间地层的平均Q值,且ωc=300 Hz,vi=.
图 4中道号为1-25时,可控震源激发时反演的初至小于炸药震源激发时反演的初至,初至差值小于零,比值小于1;道号为26-236时,可控震源激发时反演的初至大于炸药震源激发时反演的初至,初至差值均大于0,初至比值均大于1,且都随深度增大呈逐渐增大的趋势,与实际情况吻合(图 2).但不同深度对应的反演初至时间受所用的平均Q值、参考频率ωc和参考频率ωc的相速度vi的准确度影响,仅大体趋势和实际资料吻合.但实例依然表明:对于同一个目的层,地震波的速度频散不仅与传播路径和时间有关,还与震源子波中各频率间相对能量关系有关,验证了公式(12)与(13)的合理性.
![]() | 图 4 反演的初至时间对比 Fig. 4 The comparision of inverted First Break |
对另一口井采集的零偏移距VSP资料,经初至拾取、波场分离、动校正和走廊叠加等一系列的处理,得到了零偏移距VSP资料走廊叠加剖面.图 5为零偏移距VSP走廊叠加剖面镶嵌于井旁地面地震资料时间偏移剖面中,用于标定地面地震资料的处理成果.图 5中道号范围为1-51和68-118时,对应井旁地面地震时间偏移数据;道号范围为55-64时,对应零偏移距VSP走廊叠加数据(一道数据,重复十道显示);道号范围为52-54和65-67时,对应空道,并用零值填充.由图 6可知,地面地震偏移剖面与VSP走廊叠加剖面标定结果较好,但也有部分同相轴与VSP走廊叠加剖面无法对应.
![]() | 图 5 原始VSP走廊叠加剖面与井旁地面地震资料标定 Fig. 5 The calibration of VSP corridor stack and surface seismic data nearby the borehole |
![]() | 图 6 经过叠后反Q滤波相位补偿后的标定 Fig. 6 The result of Fig. 1 after inverse Q-filter phase compensation |
利用该井采集的零偏移距VSP资料,进行层Q值反演,并利用反演的层Q值,对图 5中VSP走廊 叠加数据和井旁的地面地震时间偏移数据同时进 行叠后反Q滤波相位补偿,且处理参数完全相同,补偿效果如图 6所示.对比图 5和图 6可得,若图 5中地面地震剖面的反射层与VSP走廊叠加剖面的匹配关系较好,则反Q滤波相位补偿后,这种匹配关系更好;若原始匹配关系不好,经反Q滤波相位补偿后,绝大部分匹配关系较好,即使有部分反射层对应关系还不是很理想,但匹配关系已有较大提升.
对图 5和图 6的数据分别计算井旁地面地震数据与VSP走廊叠加数据之间的互相关系数,以更加 直观地对比反Q滤波相位补偿前后地面地震数据 与VSP走廊叠加数据之间的匹配程度.图 7显示了 道号范围为40-74时,反Q滤波相位补偿前后,地面地震数据与VSP走廊叠加数据的互相关系数,互相关系数1代表反Q滤波相位补偿前地面地震数据与VSP走廊叠加数据的互相关系数,互相关系数2代表反Q滤波相位补偿后地面地震数据与VSP走廊叠加数据的互相关系数.为方便显示,将空道与VSP走廊叠加数据的互相关系数用1显示.经反Q滤波相位补偿后,道号范围为40-51和68-74的地面地震数据与VSP走廊叠加数据的互相关系数都增大,如图 7a;互相关系数比值也都大于1,如图 7b.
![]() | 图 7 反Q滤波相位补偿前后地震剖面与VSP走廊叠加剖面的互相关系数对比 Fig. 7 The cross correlation coefficient before and after inverse Q-filter phase compensation of Fig. 5 |
综合图 5-7,反Q滤波相位补偿后,地面地震资料与VSP资料走廊叠加剖面的吻合度得到有效提升.
5 结论与建议本文所推导的地面地震资料与零偏移距VSP资料之间的速度频散关系式,可以用于研究群速度之间的对应关系.
实际资料处理中,我们需对地面地震资料和VSP资料首先做好反Q滤波相位补偿工作,从而尽可能消除地震波的速度频散效应,有效提升地面地震资料与VSP资料的匹配度,最终提高地震资料成果可信度.
[1] | Badri M, Mooney H. 1987. Q measurements from compressional seismic waves in unconsolidated sediments. Geophysics, 52(6):772-784. |
[2] | Bano M. 1996. Q-phase compensation of seismic records in the frequency domain. Bulletin of the Seismological Society of America, 86(4):1179-1186. |
[3] | Bickel S H, Natarajan R R. 1985. Plane-wave Q deconvolution. Geophysics, 50(9):1426-1439. |
[4] | Blias E. 2012. Accurate interval Q-factor estimation from VSP data. Geophysics, 77(3): 149-156. |
[5] | Chen Z B, Chen X H, Li J Y, et al. 2014. A band-limited and robust inverse Q filtering algorithm. OGP (in Chinese), 49(1):68-75. |
[6] | Futterman W I. 1962. Dispersive body waves. Journal of Geophysical Research, 67(11): 5279-5291. |
[7] | Gao J H, Yang S L. 2007. On the method of quality factors estimation from zero-offset VSP data. Chinese J. Geophys (in Chinese), 50(4): 1198-1209. |
[8] | Gao J H, Yang S L, Wang D X. 2008. Quality factor using instantaneous frequency at envelope peak of direct waves of VSP data. Chinese J. Geophys (in Chinese), 51(3): 853-861. |
[9] | Hamilton E L. 1972. Compressional-wave attenuation in marine sediments. Geophysics, 37(4): 620-646. |
[10] | Hargreaves N D, Calvert A J. 1991. Inverse Q filtering by Fourier transform. Geophysics, 56(4): 519-527. |
[11] | Hauge P S. 1981. Measurements of attenuation from vertical seismic profiles. Geophysics, 46(11): 1548-1558. |
[12] | Kjartansson E. 1979. Constant Q wave propagation and attenuation. Journal of Geophysical Research, 84(B9): 4737-4748. |
[13] | Liu C, Feng X, Zhang J. 2013. A stable inverse Q filtering using the iterative filtering method. OGP, 48(6): 890-895. |
[14] | Sams S M, Neept J P, Worthington M H, et al. 1997. The measurement of velocity dispersion and frequency-dependent intrinsic attenuation in sedimentary rocks. Geophysics, 62(5): 1456-1464. |
[15] | Spencer T W, Sonnadt J R, Butlers T M. 1982. Seismic Q-stratigraphy or dissipation. Geophysics, 47(1): 16-24. |
[16] | Stainsby S D, Worthington M H. 1985. Q estimation from vertical seismic profile data and anomalous variations in the central North Sea. Geophysics, 50(4): 615-626. |
[17] | Toksoz M N, Johnston D H, Timur A. 1979. Attenuation of seismic waves in dry and saturated rocks: 1. Laboratory measurements. Geophysics, 44(4): 681-690. |
[18] | Tonn R. 1991. The determination of the seismic quality factor Q from VSP data: A comparison of different computational methods. Geophysical Prospecting, 39(1): 1-27. |
[19] | Wang X J, Yin X Y. 2011. Estimation of layer quality factors based on zero-phase wavelet. Progress in Geophys. (in Chinese), 26(6): 2090-2098. |
[20] | Wang Y H. 2002. A stable and efficient approach of inverse Q filtering. Geophysics, 67(2): 657-663. |
[21] | Wang Y H. 2003. Quantifying the effectiveness of stabilized inverse Q-filtering. Geophysics, 68(1): 337-345. |
[22] | Wang Y H. 2006. Inverse Q-filter for seismic resolution enhancement. Geophysics, 71(3): 51-60. |
[23] | Xu C D, Stewart R R. 2006. Seismic Attenuation (Q) Estimation from VSP Data. CSEG National Convention, Extended Abstracts, 268-277. |
[24] | Yan H Y, Liu Y. 2009. Estimation of Q and inverse Q filtering for prestack reflected PP-and converted PS-waves. Applied Geophysics, 6(1): 59-69. |
[25] | Yao Z X, Gao X and Li W X. 2003. The forward Q method for compensating attenuation and frequency dispersion used in the seismic profile of depth domain. Chinese Journal of Geophysics (in Chinese), 46(2): 229-230. |
[26] | Zhao J, Gao J H, Wang D X, et al. 2013. Estimation of quality factor Q from pre-stack CMP records. Chinese J. Geophys. (in Chinese), 56(7): 2413-2428. |
[27] | 陈增保, 陈小宏, 李景叶等. 2014. 一种带限稳定的反犙滤波算法. 石油地球物理勘探, 49(1): 68-75. |
[28] | 高静怀, 杨森林. 2007. 利用零偏移VSP 资料估计介质品质因子方法研究. 地球物理学报, 50(4): 1198-1209. |
[29] | 高静怀, 杨森林, 王大兴. 2008. 利用VSP 资料直达波的包络峰值处瞬时频率提取介质品质因子. 地球物理学报, 51(3): 853-861. |
[30] | 刘财, 冯晅, 张瑾. 2013. 稳定的迭代法反Q滤波. 石油地球物理勘探, 48(6): 890-895. |
[31] | 王小杰, 印兴耀. 2011. 基干零相位子波地层Q值估计. 地球物理学进展, 26(6): 2090-2098. |
[32] | 姚振兴, 高星, 李维新. 2003. 用于深度域地震剖面衰减与频散补偿的反Q滤波方法. 地球物理学报, 46(2): 229-230. |
[33] | 赵静, 高静怀, 王大兴等. 2013. 利用叠前CMP资料估计介质品质因子. 地球物理学报, 56(7): 2413-2428. |