2. 吉林大学 地球探测科学与技术学院, 长春 130026;
3. 沈阳航空航天大学 电子信息工程学院, 沈阳 110034
2. College of GeoExploration Science and Technology, Jilin University, Changchun 130026, China;
3. College of Electronic and Information Engieering, Shenyang Aerospace University, Shenyang 110034, China
跨孔雷达全波形反演是一种使用全波形信息反演两钻孔之间地下信息的层析成像技术.在地震勘探中,全波形反演能够提供小于波长的分辨率,在理想状态下,分辨率能够达到1/2~1/3波长(Pratt,1999).利用声波的全波形反演方法比利用射线方法在分辨率上能提高一个量级.探地雷达全波形反演的发展得益于其与地震学的高度相似性,以及近年来电磁学的快速发展.例如将麦克斯韦方程代替声波方程或弹性波方程,而解的形式与地震学非常相似,所以地震全波反演方法在过去三十年里所取得的发展,对跨孔雷达全波反演方法的研究起到了很大的促进作用.Johnson等(2005)以及Cai等(1996)分别使用了菲涅尔量以及程函方程的方法进一步推动了波形反演技术的发展.许多探地雷达学者采用了修正的散射成像技术进行波形成像(Zhou and Liu, 2000; Zhou et al., 2007; Cui et al., 2004).Kuroda等(2005)和Meles等(Meles et al., 2010; Meles et al., 2011; Meles et al., 2012)使用全波反演的方法对跨孔雷达数据成像,并取得较好的效果.Kuroda等的方法只考虑介电常数,而Ernst等(Ernst et al., 2007)通过级联更新的方法既考虑介电常数,又考虑电导率.后者的基本想法是固定电导率反演介电常数,反之亦然.两种方法的共同点在于其本质上都是标量的.Meles等提出的波形反演方法考虑电参数的矢量性,反演过程中允许介电常数和电导率同时更新.与常规射线追踪方法相比,全波反演方法能够更加有效的识别亚波长异常体.Belina等对不同随机模型下的全波反演子波估计进行了深入的研究(Belina et al., 2012a; Belina et al., 2012b; Belina et al., 2012c).
本文全面推导了全波形跨孔雷达层析成像反演方法.通过基于局域网的分布式并行算法,有效地解决了巨型数据正演计算问题,从而实现了全波形跨孔层析成像方法在普通计算机上全面有效的运行.本文中首先建立了基于单轴各向异性介质完全匹配层(UPML)吸收边界的TE模式下的时间域有限差分(FDTD)二维正演算法(Taflove Hagness,2005).由于跨孔雷达测量方式中发射天线与接收天线极化方式为垂直于地表的z方向,因此选用FDTD正演算法时需要使用有Ex、Ez、及Hy的TE模式.反演算法采用最速梯度法求解,通过应用包括时间维度在内的全波场信息与残场逆向传播的全波场信息乘积来计算梯度方向,通过求取以步长为自变量的目标函数的极值确定步长公式.由于介电常数与电导率在量级上的区别,因此在确定迭代步长时需要对两种电性参数进行分别计算以提高收敛速度,这里需要分别使用不同的稳定因子.文中对介电常数及电导率分别采用对数化处理,并推导出新的梯度公式.采用参数对数化处理能够很好的提高收敛速度及稳定性,并且拓宽了异常与周边介质物性参数对比度.
在不降低分辨率的情况下,通过对反演模型采用抽稀的办法,将数据减小至原内存需求的1/6,以解决大型模型对计算机内存的巨大需求,文中分别对不同类型的模型进行了全波反演成像,取得了较好的结果.本文提出将第一步单介电常数反演作为初始模型(吴俊军,2012),有效的解决了同步反演收敛速度较慢的问题.
2 跨孔雷达全波反演理论推导 2.1 正演问题的积分表达形式为了更好地全面表达波场情况,麦克斯韦方程可以表示成如下形式(Meles et al., 2010):



由于在以下的讨论中均只使用了电场值,因此省略Hs,得到一个简单的方程:

为 M 算子对应的格林函数算子.此后的推导中,(4)式将作为正演问题积分方法的标准解析解 的表达式.在某一时刻某一位置更详细的表达式如下:


地球物理反演中有多种多样的反演问题(Greenhalgh et al., 2006). 全波形层析成像反演问题主要目的是寻找介电常数ε与电导率σ的空间分布.利用正演模拟数据道与实测数据道之差的平方最小准则来求解目标函数S(ε,σ).目标函数可以写为













等同于
(Meles et al., 2010).误差方程梯度的推导使用的是扰动目标函数的一阶近似.即





总结(13)式及(14)式可以写出如下梯度式:

经过如上述变换,由(28)式可得


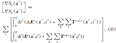
TRs可以解释成在相同介质中后向传播的矢量场.(29)式简单的形式说明梯度是通过将所有源产生的所有时刻及空间三个维度(x,y,z)的场值与“残场源”产生相应时刻与空间场值的内积之和,该内积由前向传播向量场与后向传播残向量场相乘构成.该内积涉及整个时空域的Es、
TRs.对 应的空间梯度分量由空间delta函数δ(x - x ′)表示.积分算子及其转置是通过其核函数的性质定义的,而线性算子及其转置拥有相同的核函数,唯一的区别为变量是积分还是相加(Tarantola,2005).
在2.1节中,定义了算子G ^ 对普通源Js的算法,为了给出GT清晰的说明,需要探讨G ^ 的细节.对 于源Js,接收点d,观测时间为τ,(6)式详细的给出了求解得到的电场的每个分量 (i=x,y,z k=x,y,z):

=Gik(x,t,x ′,t′)是全部空间V(x ′)和时间域t′相加产生指定时空域电场Esi(x,t)的一个函数.而转置
T=Gik(x ′,t′,x,t)是指定时空域产生全部空间和时间域的函数.现定义一个新的矢量函数T,作为T对残差(即“残场源”)[ΔEs]d,τ的作用:


为了更好的解释(33)式,这里使用互易定理(Harrington et al., 2001):




此时引入Ts,d,τ为三分量波场的矢量形式,可以将(29)改写为




一旦确定了梯度方向,下一步需要确定介电常数及电导率的迭代步长.理论上,介电常数和电导率迭代步长应遵循公式




1. 介电常数与电导率同时进行微扰Es(ε+κ ΔSε,σ+κ ΔSσ)- Es(ε,σ);
2.纯电导率扰动Es(ε,σ+κ ΔSσ)- Es(ε,σ);
3. 纯介电常数扰动Es(ε+κ ΔSε,σ)- Es(ε,σ).
试验说明仅使用电导率微扰的振幅非常小,与使用其他两种微扰方式存在两位数的差异,因此式(45)的步长求取方法主要取决于介电常数的梯度,而电导率的梯度基本不起作用.Ernst提供了一个级联方式反演(Ernst et al., 2007),该方法是对介电常数进行迭代反演时,保持电导率不变;类似的,对电导率进行反演时,保持介电常数不变.在介电常数反演中为了最小化电导率异常的影响,将模型每一道数据除以其振幅能量,使得残场数据归一化,而在电导率反演中则采用正常的残场数据.
相比之下,Tarantola(2005)建议对于不同类型的模型参数采用不同的迭代步长.对于GPR数据,迭代步长采用如下模式:



![]() | 图 1 跨孔雷达全波反演计算流程 Fig. 1 Flow chart of cross-hole GPR full-wave inversion |
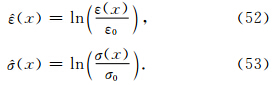
推导的反演算法是基于自然参数ε,σ和μ0的,但是不同的参数化形式让计算(也就是在模型空间中变换坐标)更容易实施.通常采用一种对数的表示方法:




MATLAB Distributed Computing Engine(MATLAB分布式计算引擎,MDCE)及Parallel Computing Toolbox可以开发运行基于机群系统的分布式及并行MATLAB算法,且无需改变原有的MATLAB科学计算开发环境(MathWork Product Documentation,2011).
在2.2及2.3中提出了完整的求解介电常数及 电导率全波反演的梯度和迭代步长算法,能够处理 3D或者2D问题.然而,目前计算机在计算多个3D的FDTD正演时计算能力尚且严重不足,因此本文全波反演的反演算法是在直角坐标系的2D介质中.使用的是线源(在y方向上),即假设在y方向上介质参数及源没有变化,6个分量的EM场被分成两对独立的方程组(Taflove et al., 2005).在跨孔雷达测量方式中仅需计算其中一组,即麦克斯韦方程组的TE模式(该模式电场分量始终与y向横切,与偶极天线匹配),这里存在三个分量:Ex,Ez,Hy.
为了在计算中确保稳定性和避免数值色散,需要考虑介质参数和源的频率组合.通常的要求是最短波长应大于10个网格长度(Taflove and Hagness, 2005).在本文的模型中,采用中心频率为100 MHz的雷克子波,因此采用空间网格距离为5cm,这样每个模型有105~106个网格节点.根据发射天线到接收点的距离,需要几千个时间步长(为满足时间采样间隔的稳定性)去获得较长时间窗口的波场.由于采用UPML吸收边界,宽度上匹配层共占20层元胞.在计算迭代方向时,所有发射点产生的所有网格点的Ex,Ez场都需要保存在内存中,这需要产生大约40×NsrcGB内存,其中Nsrc为发射点的个数.由于模型空间的分辨率远小于正演模型网格离散度,采用抽稀的方法可有效降低内存需求.
Meles将3×3个正演元胞用一个反演元胞代替(Meles et al., 2010),在反演过程中并没有很明显的减小空间分辨率.本文中,对于不同的模型采用不同的抽稀模式,即对于跨孔测量,因其横向分辨率不如纵向分辨率,可选择在横向每隔2个节点取一个数,在纵向上尽量少抽稀,可以每隔一个节点保留一个电场值,在实际情况中这降低了大概一个量级的内存需求.在计算中应当尽量避免内存交换过程,提高单个机群节点的内存使用,保证计算机的正常运算.由于每个发射点位置的计算相互独立,计算程序可以在分布式计算机群上高效率的计算,该机群可以将每个发射点放置到一个CPU节点的核中.由于分派数据额外的传输时间消耗仅相当于一个正演过程的20%.因此,如果尽量避免数据通讯,完成一个完整的同步反演的计算时间Tcomp表示如下:

上文中已经系统的介绍了全波形反演层析成像技术的原理,下面首先以单介电常数反演为例,实现全波反演过程.模型1如图 2所示为圆柱目标体模型,其在2D界面上为一个圆,围岩相对介电常数为εr=5.5、电导率为σ=0.0001 S·m-1.目标体直径为1 m,垂直方向位于深度3 m的位置,水平方向位于3 m的位置,目标体的介电常数为εr=7,电导率与围岩相同的,该目标体位于两个6 m深的钻孔中间,两钻孔间距为6 m.左边有13个发射装置,其间距为0.5 m,用圆圈符号表示,在右边有13个接收装置,使用叉号表示.
![]() | 图 2(a)圆柱目标体示意图;(b)初至时射线追踪法反演结果;(c)第一次迭代后介电常数;(d)100次迭代后全波反演结果 Fig. 2(a)Schematic diagram of cylinder body;(b)Inversion result of first-arrival ray method;(c)The permittivity after first iteration;(d)Inversion results after 100 iterations |
从图 2(b,c)可以看到已经对目标体区域进行了一个整体的勾勒,图 2d为经过100次迭代后的全波形反演的图像(此时目标函数已远小于初始模型的目标函数(如图 3a所示)).通过对比图 2b以及图 2d可以发现,全波反演成像分辨率得到了显著提高.图 3b为第7个源第7接收器接收的第100次后子波与初始模型及实测模型的对比,可以看到经过迭代后的子波波形已经很好地与实测数据匹配.图 3c为沿深度为3 m的A-A(如图 2a所示)所作切线,图 3d为沿水平位置3 m的B-B线(如图 2a所示)所作的切线.图中,黑色曲线为理论曲线,蓝色曲线为经过一次迭代后曲线,红色曲线为经过100次迭代全波反演的波形图,可以看到经过反演后的结果与观测的子波匹配的很好.从图 3(c,d)可以看出,在水平方向上,异常高值区域在图中跨度较大,可以看出跨孔方法在垂直方向上的分辨率要优于水平方向的分辨率.
![]() | 图 3(a)目标函数;(b)子波匹配情况;(c)深度3 m介电常数切线(沿A-A所做切线);(d)水平3 m介电常数切线(沿B-B所做切线) Fig. 3(a)Objective function;(b)The wavelet matching conditions;(c)The permittivity in the depth of 3M(along A-A line);(d)The permittivity in the distance of 3M(along B-B line) |
模型2为如图 4a所示,发射井与接收井深度均为20.5 m,两井之间距离10 m,目标体为矩形,其中心点位于垂直距离10 m、水平距离5 m的位置,该矩形区域为正方形,边长为2 m,其介电常数为εr=7,电导率为σ=0.0001 S·m-1.围岩介电常数为εr=5.5,电导率为σ=0.0001 S·m-1.发射天 线水平位置为0 m,垂直位置从1 m开始,到20.5 m结束,共40个位置,间隔0.5 m;接收天线水平位置位于10 m,垂直位置从1 m开始,到20.5 m结束,同样共40个位置,间隔0.5 m.
图 4b为其全波反演结果,该图能够精确的反演出矩形目标体的形状及电性参数大小,并且非常精确的反演出矩形目标体的上下两条边,左右两条边也能够较准确的与模型对应.模型2使用了大尺寸区域参与计算,这对计算机硬件要求则提高到另 外一个量级,以本模型为例,模型离散间隔为0.05 m,网格数为240×480,FDTD时间迭代次数为1732次,共有40个源位置,同样采用单精度(4bit)保存,电场值保存需要内存240×480×1732×40×4/1024/1024/1024=29.7318G,计算残场同样需要内存29.7318G,共计59.4635G内存.使用基于MDCE的并 行算法后,每个worker需要承担的内存为59.4635G/40= 1.4866G,本机群中的两台搭载6核的PC,其每个核对应一个worker,因此这两台PC每台需要承担的内存为1.4866G×6=8.9196G,虽然这两台电脑物理内存为16G,但8.9196G对其来说也是一个较大的载荷.这里使用了抽稀的方法降低内存占用空间,由于刻画该矩形异常体需要的分辨率数远低于FDTD的网格数,因此可以将介电常数的网格数抽稀.由于跨孔测量方法在纵向分辨率上表现更为出色,因此在纵向上每隔1个点抽取一个相对介电常数值,而在横向上每隔两个点抽取一个相对介电常数值,如此网格数量上将减少到原来的1/6,即每台PC占用内存1.4866G,这将大大降低内存的占用.
![]() | 图 4 矩形目标体(a)及其反演结果(b) Fig. 4 The model(a) and inversion results(b)of rectangular object |
图 5给出了由第20个源(Depth:10.5 m)发射,介电常 数反演后所有接收器接收的波形与初始模型及实测模型的对比.从图中可以明显的看到两者之间的差别.图 5b中能够看出反演后结果与实测数据重合的非常好.为了进一步观察残差,图 5c中可以看到相比初始模型与实测数据的残差,反演后结果与实测数据残差几乎为零.
![]() | 图 5 第20个源(Depth:10.5 m)发射,介电常数反演后所有接收器接收的波形与初始模型及实测模型的对比 (a)初始模型(蓝线)与实测数据(黑点线)对比;(b)10次迭代后全波反演数据(红线)与实测数据(黑点线)对比;(c)初始模型与实测数据的残差(蓝线)、10次迭代后全波反演数据与实测数据的残差(红线)(c图幅度值刻度是a,b的2倍). Fig. 5 For(a) and (b),the transmitter located at position 10.5 m depth in Fig. 4 (a)The blue,red, and dashed black lines show every second radar trace generated from the initial model,full-waveform tomograms, and original input model.(c)Blue and red lines show differences between the blue and dashed black lines in(a) and between the red and dashed black lines in(b),respectively. The amplitudes of the residuals in(c)are gained by a factor of two relative to the radar traces. |
为了更好的体现全波形层析成像的能力,建立 如图 6a所示的复杂模型3,发射井与接收井深度 为20.5 m,两井之间距离10 m,异常体位置及形状,深蓝色表示介电常数为εr=5,淡蓝色表示介电常数为εr=5.5,绿色表示介电常数为εr=6,深红色表示介电常数为εr=7.所有异常体电导率均为σ=0.0001 S·m-1.发射天线水平位置为0 m,垂直位置从1 m开始,到20.5 m结束,共40个位置,间隔 0.5 m;接收天线水平位置位于10 m,垂直位置从1 m开始,到20.5 m结束,同样共40个位置,间隔0.5 m.
![]() | 图 6(a)(b)复杂模型(模型3)及其反演结果;(c)(d)水平相关长度5 m,垂直相关长度1 m(模型4)及其反演结果 Fig. 6(a)(b)Complex model(model 3) and its inversion results;(c)(d)Model of correlation lengths is 5 m and 1 m(model 4)in x and z directions and its inversion results |
图 6b为其反演结果,从上到下依次可得:首先 垂直深度2 m处可以清晰的分辨层状分界面,垂直深度6 m附近的带状起伏薄层能够准确地反演出起伏的微观形态,能够清晰的分辨出垂直深度10 m的长方形高值异常,对于14 m深度附近水平倾角不是很大的倾斜异常,同样可以清晰的反演出结果.底部18 m以下的垂直分界面,在垂直深度18 m附近位置可以清晰的观察到其分界线,但越往深处,分界面逐渐被均质介质代替,原因为观测系统对该类别界面无法识别.
随机模型(模型4)如图 6c所示,该随机模型的水平相关长度为5 m,垂直相关长度为1 m.相对介电常数最小值4.8,最大值6.2.电导率值均为σ=0.0001 S·m-1.发射天线水平位置为0 m,垂直位置从1 m开始,到20.5 m结束,共40个位置,间隔0.5 m;接收天线水平位置位于10 m,垂直位置从1 m开始,到20.5 m结束,同样共40个位置,间隔0.5 m.
从图 6d反演结果中可以看出对于该尺寸相关长度的随机介质,本文的反演方法能够较清晰的分辨出0.5 m以上的薄层.高介电常数值能够清晰 看到的部分为(从上到下):3.5 m深度反演区域左 侧的高值薄层、5 m深度附近薄层、8 m深度附近薄层、14 m深度靠近发射源位置的高值区域,18 m深度右侧部分.而14 m右侧部分两个相连的更薄层则只能分辨出相对高值的一个.对于小于0.5 m的微观结构,暂不能很好的区分开来.该反演结果能够很准确的完成层状结构划分的问题.
3.4 介电常数与电导率分别成像模型5物性参数分别如图 7(a,c)所示,发射天线(用圈形符号表示)位于水平距离0 m位置,深 度从0 m到20.5 m,共40个发射天线,间距为0.5 m; 接 收天线(用叉形符号表示)位于水平距离10 m位置,深度同样从0 m到20.5 m,共40个接收天线,间距为0.5 m.
图 7(b,d)分别为模型5的介电常数和电导率反演结果(均为10次反演迭代),介电常数反演结果能够清晰的分辨地层,以及大小尺寸的管线和空洞.而对于电导率反演从图中可以清晰的看出位 于4 m位置的水平界面以及位于16 m附近的起伏 地表,圆柱管线位置未能有效的区分开来,与介电常数反演相比,12.5 m深度的空洞反演形状略有畸变.且在没有射线穿过0 m以上和20.5 m以下区域,也能够反演出结果.
![]() | 图 7 大尺寸复杂模型(模型5)及介电常数与电导率分别反演结果 Fig. 7 Large-scale complex model(model 5) and the inversion results of permittivity and conductivity |
本节中,将对介电常数及电导率同时进行反演,并且加入了井地测量(VRP)测量系统.为了有效解决初始模型问题,本文提出采用第一次介电常数梯度作为同时反演成像的初始模型,能够有效提高收敛速度.图 8中该模型共进行26次迭代将目标函数 计算至初始目标函数的1%以下水平.从图中的介电常数和电导率反演结果可以看出,电导率的反演结果对管线的成像更清晰;加入VRP测量模式后,横向分辨率有所提高,但也造成了管线成像形状的畸变,同样观察11.6 m深度的空洞成像,可看出其横向分辨率有较大的提高,但也发生了一定程度的畸变.在接近下底面的位置,电导率反演出现了很大的区域不收敛,相应的介电常数反演模型中同样存在这样的问题,在接近底部位置出现了较大的假高值区域.同样因为电导率的问题,造成了介电常数反演结果在底部出现了边缘效应.
![]() | 图 8 结合VRP测量方式考虑地表的模型(模型6) (a)介电常数模型;(b)电导率模型;(c)介电常数反演中第一次迭代的梯度(初始模型);(d)介电常数反演结果;(e)电导率反演结果.共进行26次迭代 Fig. 8 The model combined with VRP measurement and considered the surface(model 6)(a)Permittivity model;(b)Conductivity model;(c)Gradient of permittivity in the first iteration(initial model);(d)The inversion result of permittivity;(e)The inversion result of conductivity. A total of 26 iterations |
反演结果可以看出电导率对管线和空洞的成像效果要好于介电常数成像.
4 结论本文全面推导了全波形跨孔雷达层析成像反演方法,通过基于局域网的分布式并行算法,有效地解决了巨量数据的正演计算,将目前仅能在超级计算机上进行计算的全波形跨孔层析成像方法在普通计算机上全面有效的实现.正演中采用了基于UPML吸收边界的TE模式的二维FDTD算法.反演中通过应用包括时间维度的全波场信息与残场逆向传播的全波场信息乘积计算梯度方向,且通过求取以步长为自变量的目标函数的极值确定步长公式.文中对介电常数及电导率分别采用对数化处理,并推导出新的梯度公式.在不降低分辨率的情况下,通过对反演模型采用抽稀的办法,将数据减小至抽稀前内存需求的1/6,解决了大型模型对计算机内存的巨大需求.通过构建矩形目标体模型可以发现全波反演能够精确的反演出矩形目标体的棱边位置、电性参数等.通过建立水平相关长度及垂直相关长度各异的随机介质模型可以发现,在100 MHz天线频率下,介质介电常数3~8之间时,能够清晰的分辨出0.5 m以上的水平薄层异常体.在介电常数及电导率同步反演中,本文提出将第一步单介电常数反演作为初始模型,有效地解决了同步反演收敛速度较慢的问题.
| [1] | Belina F A, Irving J, Ernst J, et al. 2012a. Evaluation of the reconstruction limits of a frequency-independent crosshole georadar waveform inversion scheme in the presence of dispersion. Journal of Applied Geophysics, 78: 9-19. |
| [2] | Belina F A, Irving J, Ernst J, et al. 2012b. Analysis of an iterative deconvolution approach for estimating the source wavelet during waveform inversion of crosshole georadar data. Journal of Applied Geophysics, 78: 20-30. |
| [3] | Belina F A, Irving J, Ernst J, et al. 2012c. Waveform inversion of crosshole georadar data: influence of source wavelet variability and the suitability of a single wavelet assumption. IEEE Transactions on Geoscience and Remote Sensing, 50(11): 4610-4625. |
| [4] | Cai W Y, Qin F H, Schuster G T. 1996. Electromagnetic velocity inversion using 2-D Maxwell's equations. Geophysics, 61(4): 1007-1021. |
| [5] | Cui T J, Qin Y, Wang G L, et al. 2004. Low-frequency detection of two-dimensional buried objects using high-order extended born approximations. Inverse Problem, 20(6): S41-S62. |
| [6] | Ernst J R, Maurer H, Green A G, et al. 2007. Full-waveform inversion of crosshole radar data based on 2-D finite-difference time-domain solutions of maxwell's equations. IEEE Transactions on Geoscience and Remote Sensing, 45(9): 2807-2828. |
| [7] | Greenhalgh S A, Bing Z, Green A. 2006. Solutions algorithms and inter-relations for local minimization search geophysical inversion. Journal of Geophysics and Engineering, 3(2): 101-113. |
| [8] | Harrington R F. 2001.Time-Harmonic Electromagnetic Fields. New York: Wiley, IEEE Press. |
| [9] | Johnson T C, Routh P S, Knoll M D. 2005. Fresnel volume georadar attenuation-difference tomography. Geophys. J. Int., 162(1): 9-24. |
| [10] | Kuroda S, Takeuchi M, Kim H J. 2005. Full waveform inversion algorithm for interpreting cross-borehole GPR data.// Proc. SEG Int. Expo. And 75th Annu. Meeting. Houston, TX, 1176-1179. |
| [11] | Pratt R G. 1999. Seismic waveform inversion in the frequency domain, part 1: Theory and verification in a physical scale model. Geophysics, 64(3): 888-901. |
| [12] | MathWorks-Product Documentation. 2011. Accelerating the pace of engineering and science. http://www.mathworks.cn/help/techdoc/ref/f16-6011.html. |
| [13] | Meles G A, Greenhalgh S A, Green A G, et al. 2012. GPR Full-Waveform sensitivity and resolution analysis using an FDTD adjoint method. IEEE Transactions on Geoscience and Remote Sensing, 50(5): 1881-1896. |
| [14] | Meles G A, Greenhalgh S A, Kruk J V D, et al. 2011. Taming the non-linearity problem in GPR full-waveform inversion for high contrast media. Journal of Applied Geophysics, 73(2): 174-186. |
| [15] | Meles G A, Kruk J V D, Stewart A, et al. 2010. A new vector waveform inversion algorithm for simultaneous updating of conductivity and permittivity parameters from combination crosshole/borehole-to-surface GPR data. IEEE Transactions on Geoscience and Remote Sensing, 48(9): 3391-3407. |
| [16] | Pica A, Diet J P, Tarantola A. 1990. Nonlinear inversion of seismic reflection data in a laterally invariant medium. Geophysics, 55(3): 284-292. |
| [17] | Reiter D T, Rodi W. 1996. Nonlinear waveform tomography applied to Crosshole seismic data. Geophysics, 61(3): 902-913. |
| [18] | Tarantola A. 2005. Inverse Problem Theory and Methods for Model Parameter Estimation. Philadelphia, PA: Soc. Ind. and Appl. Math. |
| [19] | Taflove A, Hagness S C. 2005. Computational Electrodynamics: The Finite-Difference Time-Domain Method. 3rd ed. Norwood, MA: Artech House. |
| [20] | Wu J J. 2012. Research on cross-hole radar tomography using full-waveform inversion method[Ph. D. thesis]. Changchun: Jilin University. |
| [21] | Zhou C G, Liu L B. 2000. Radar-diffraction tomography using the modified quasi-linear approximation. IEEE Transactions on Geoscience and Remote Sensing, 38(1): 404-415. |
| [22] | Zhou H, Sato M, Takenaka T, et al. 2007. Reconstruction from antenna transformed radar data using a time-domain reconstruction method. IEEE Transactions on Geoscience and Remote Sensing, 45(3): 689-696. |
| [23] | 吴俊军.2012.跨孔雷达全波形层析成像反演方法的研究[博士论文].长春:吉林大学. |
2014, Vol. 57










