2. 中海油研究总院, 北京 100027;
3. Tulsa大学地球科学学院, Oklahoma, 74104 USA;
4. 中石油勘探开发研究院西北分院, 兰州 730000
2. CNOOC Research Institute, Beijing 100027, China;
3. Department of Geoscience, University of Tulsa, Oklahoma 74104, U.S.A;
4. Northwest Institute of Oil Exploration and Development, CNPC, Lanzhou 730000, China
地震波数值正演是研究地震波在地下介质传播规律的重要手段(金胜汶等,1994;刘礼农等,2004;谢桂生等,2005).在使用数值方法模拟无限或半无限大介质中的地震波传播会因计算机内存产生截断边界,从而产生虚假数值反射,吸收边界条件技术可以用于消除截断边界效应产生的虚假反射.经过三十多年的发展,在地震波数值领域中主要产生了两大类吸收边界技术:海绵边界条件(Cerjan et al., 1985;Sochacki et al., 1987)和旁轴近似边界条件(Clayton and Engquist, 1977;Stacey,1988;Higdon,1991;Quarteroni et al., 1988),但是这些吸收边界技术在很多情况下表现不佳,比如对于大角度入射波和低频能量不能很好的吸收.Bérenger(1994)在Maxwell电磁波方程中提出了完全匹配层(Perfectly Matched Layer,PML),用于消除时域有限差分法电磁波模拟中的虚假反射.PML对于较大范围入射角和频率成分的波具有高效的吸收作用,理论上对于入射波具有零反射系数,目前已经成为常用的吸收边界技术.之后,PML很快被证明在地震波场数值模拟同样高效(Chew and Liu, 1996;Hasting et al., 1996).
后来,PML从数学上证明可以同复拉伸坐标的 概念联系起来(Chew and Weedon, 1994).但Kuzuoglu和Mittra(1996)指出,使用传统复拉伸坐标算子的PML对于隐矢波和极低频波成分吸收效能会出现下降,并且在大角度特别是切入射情况下(如震源靠近PML吸收边界的情况下)会产生较大程度的虚假反射,因此为解决该问题,Kuzuoglu和Mittra(1996)在电磁波模拟中引入了复频移拉伸算子用于提高PML的吸收效能.在传统PML算法中,为在时间域中求解复拉伸坐标下的波动方程,需要对波场变量进行非物理分裂,但经典的分裂场形式的PML(Chew and Weedon, 1994)不能直接使用复频移拉伸算子.在PML实现形式上,一些非分裂场格 式被提出(Cheng and Zhao, 2011).Roden和Gedney(2000)在Maxwell方程模拟中提出了卷积PML来实施复频移拉伸算子,在PML方程中出现卷积项从 而得到非分裂场的形式.之后,使用复频移拉伸算子的卷积PML也被引入地震波模拟中(Drossaert and Giannopoulos, 2007;Komatitsch and Martin, 2007).
Li和Dai(2008)在电磁波模拟中提出了匹配Z 变换PML(Matched Z-transform PML,MZT-PML),同卷积PML是基于Fourier变换理论导出不同,MZT-PML是基于匹配Z变换理论得到非分裂场PML格式,也避免了卷积PML中的片断常数近似(Roden and Gedney, 2000),其推导过程也相对简单(Li and Dai, 2008).具有非分裂场格式的MZT-PML技术可以在地震波方程模拟中直接应用复频移拉伸算子(Shi et al., 2012),本文推导了适用于速度-压力形式黏声波方程的MZT-PML吸收边界控制方程,并对相应的数值正演结果进行了吸收效果分析.
2 标准线性固体黏声波方程在实际介质中,由于地层的吸收衰减作用引起的速度耗散,地震波频率会随着传播距离的增大而降低,因此近年来地震勘探研究越对黏弹性介质的 关注不断提高(Carcione et al., 1988;Liu and Chang, 1996). 常用的黏弹性介质模型有Kelvin-Voigt模型、Maxwell模型和标准线性固体(St and ard Linear Solid,SLS)模型,但Maxwell模型不能描述弹性蠕变,Kelvin-Voigt不能描述应力弛豫.SLS模型(Carcione,2007)可以同时描述上述两种现象,因此相对符合实际黏弹性介质中的地震波传播规律.本文主要目的在于说明PML吸收边界的应用,因此为简便起见使用基于单SLS模型的黏声波方程.在二维Cartesian直角坐标系中,速度-压力格式的SLS模型黏声波方程如下(Carcione,2007):


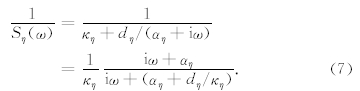
将(1)式变换到频率域,有




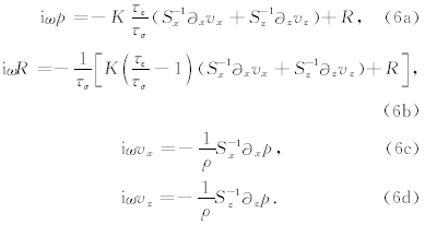
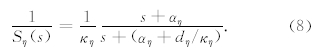
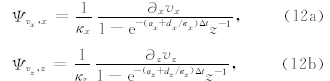
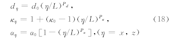
MZT-PML的主要思想在于将拉伸坐标算子(5)式的倒数分裂为两部分的乘积,且令iω仅存在于其中一项中:









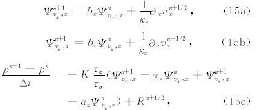
在数值模拟时,空间上采用八阶交错网格有限差分格式(Virieux,1986),并采用比Taylor展开系数精度更高的Holberg差分系数(Holberg,1987)来计算所有空间导数.Holberg系数通过在给定阶数截断计算得到,降低了群速度产生的误差从而整体上减小了数值频散.例如,x方向空间偏导数在i+1/2网格点处的差分离散格式为



![]() | 图 1 计算区域示意图 图中黑色内框线表示PML与求解区域的交界,圆圈表示震源位置,三角表示检波点位置Fig. 1 Diagrammatic figure of the computational model The inner black lines denote the interface between PML and solution domain,the circle denotes the source location and the triangles denote receiver locations |
该算例中,由于震源靠近顶部吸收边界,形成了大角度入射PML的情况.从波场快照图 2可见,传统PML对大角度入射波吸收不完全,产生了低频 虚假反射,且虚假反射能量随着入射角度和传播距离的增大而增强.从1.68 s的波场可见,在远偏移距低频反射尤为明显.而图 3中MZT-PML边界由于使用复频移拉伸算子,对大角度入射波吸收很好,没有出现图 1中的低频反射;在图 3中1.68 s波场中,即使在远偏移距也没有可见的虚假反射.
![]() | 图 2 传统PML边界条件下(a)0.48 s,(b)0.96 s和(c)1.68 s的黏声波声压场p的波场快照(振幅已加10倍增益)Fig. 2 Snapshots of the pressure field p of viscoacoustic wave at(a)0.48 s,(b)0.96 s and (c)1.68 s in the classical PML condition, and the amplitudes has been scaled by a factor of 10 |
![]() | 图 3 MZT-PML边界条件下(a)0.48 s,(b)0.96 s和(c)1.68 s的黏声波声压场p的波场快照(振幅已加10倍增益)Fig. 3 Snapshots of the pressure field p of viscoacoustic wave at(a)0.48 s,(b)0.96 s and (c)1.68 s in the MZT-PML condition, and the amplitudes has been scaled by a factor of 10 |
从图 4a可见,在检波点1处无论是传统PML还是MZT-PML的计算结果都和参考解吻合良好,说明在小角度入射情况下,两种吸收边界都可以高效吸收外行波场能量.而从图 4b中检波点2的地震记录可见,PML情况下的地震记录上产生了明显的虚假反射抖动,与参考解吻合不佳,这是因为检波器2记录到了大角度入射波产生的低频虚假反射,这些虚假反射在远偏移距更强.而在检波器2处,MZT-PML情况下的记录与参考解吻合良好,说明MZT-PML相对于传统PML,对切入射波的吸收有明显改善.这里也给出完全弹性介质情况下(令弛豫时间常数τε=τσ)声波方程在MZT-PML边界条件下的模拟结果:图 5中,对比声波方程和黏声波方程的地震记录,由于介质的黏滞性,导致声波振幅衰减强烈(如图 5b).但MZT-PML边界条件下,无论是声波方程还是黏声波方程的计算结果都与各自参考解吻合良好.
![]() | 图 4 传统PML和MZT-PML边界条件下得到的(a)检波点1和(b)检波点2的黏声波方程地震记录Fig. 4 Seismograms calculated in classical PML and MZT-PML conditions at(a)receiver 1 and (b)receiver 2 |
![]() | 图 5 MZT-PML边界条件下得到的(a)检波点1和(b)检波点2的声波、黏声波方程地震记录Fig. 5 Seismograms of acoustic and viscoacoustic wave calculated in MZT-PML condition at(a)receiver 1 and (b)receiver 2 |
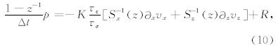
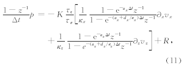
另外,长时间数值正演中的稳定性也是吸收边界效能的一个重要指标(Komatitsch and Martin, 2007;Chen and Bording, 2010;Chen,2011),本文将波场传播时间延长至120 s(共105时间步),并记录求解区域Ω中(不包括PML吸收边界)的波场总能量E为

![]() | 图 6 吸收边界条件下黏声波场的总能量衰减(a)0~6 s(b)0~120 s,纵坐标轴为半对数坐标显示Fig. 6 Total energy decay of the viscoacoustic wave field on a semi-logarithmic scale for y-axis in the figure(a)0~6 s(b)0~120 s |
本文基于匹配Z变换的思想建立了用于黏声波方程正演的非分裂MZT-PML,这种非分裂PML技术可以直接使用复频移拉伸算子.在有限差分黏声波方程的数值正演实验中,同传统分裂场PML边界条件的应用效果进行了比较.数值实验结果说明,同传统PML相比,当震源靠近吸收边界时,MZT-PML可以明显改善对大角度入射波的吸收.另外,MZT-PML在完全弹性介质和黏弹性介质情况下均表现良好.从105时间步的能量衰减计算可见,MZT-PML边界条件下波场总能量在数值正演后期总体上呈持续下降趋势,说明MZT-PML在黏声波方程模拟中具有长时间稳定性.该方法具有比传统PML更好的吸收衰减效能.
| [1] | Bérenger J P. 1994. A perfectly matched layer for the absorption of electromagnetic waves. J. Comput. Phys., 114(2): 185-200. |
| [2] | Carcione J M, Kosloff D, Kosloff R. 1988. Wave propagation simulation in a linear viscoelastic medium. Geophys. J. Int., 95(3): 597-611. |
| [3] | Carcione J M. 2007. Wave Fields in Real Media: Theory and Numerical Simulation of Wave Propagation in Anisotropic, Anelastic, Porous and Electromagnetic Media. 2nd edn. Amsterdam, The Netherlands: Elsevier Science. |
| [4] | Cerjan C, Kosloff D, Kosloff R, et al. 1985. A nonreflecting boundary condition for discrete acoustic and elastic wave equations. Geophysics, 50(4): 705-708. |
| [5] | Chen J Y, Bording R P. 2010. Application of the nearly perfectly matched layer to the propagation of low-frequency acoustic waves. J. Geophys. Eng., 7(3): 277-283. |
| [6] | Chen J Y. 2011. Application of the nearly perfectly matched layer for seismic wave propagation in 2D homogeneous isotropic media. Geophysical Prospecting, 59(4): 662-672. |
| [7] | Cheng J Y, Zhao J G. 2011. Application of the nearly perfectly matched layer to seismic-wave propagation modeling in elastic anisotropic media. B. Seismol. Soc. Am., 101(6): 2866-2871. |
| [8] | Chew W C, Liu Q H. 1996. Perfectly matched layers for elastodynamics: A new absorbing boundary condition. J. Comput. Acoust., 4(4), 341-359. |
| [9] | Chew W C, Weedon W H. 1994. A 3D perfectly matched medium from modified Maxwell's equations with stretched coordinates. Microw. Opt. Tech. Lett., 7(13): 599-604. |
| [10] | Clayton R, Engquist B. 1977. Absorbing boundary conditions for acoustic and elastic wave equations. B. Seismol. Soc. Am., 67(6): 1529-1540. |
| [11] | Drossaert F H, Giannopoulos A. 2007. Complex frequency shifted convolution PML for FDTD modelling of elastic waves. Wave Motion, 44(7-8): 593-604. |
| [12] | Engquist B, Majda A. 1977. Absorbing boundary conditions for the numerical simulation of waves. Mathematics of Computation, 31(139): 629-651. |
| [13] | Festa G, Vilotte J P. 2005. The Newmark scheme as velocity–stress time-staggering: an efficient PML implementation for spectral element simulations of elastodynamics. Geophys. J. Int., 161(3): 789-812. |
| [14] | Hasting F D, Schneider L B, Broschat S L. 1996. Application of the perfectly matched layer (PML) absorbing boundary condition to elastic wave propagation. J. Acoust. Soc. Am., 100(5): 3061-3069. |
| [15] | Higdon R L. 1991. Absorbing boundary conditions for elastic waves. Geophysics, 56(2): 231-241. |
| [16] | Holberg O. 1987. Computational aspects of the choice of operator and sampling interval for numerical differentiation in large-scale simulation of wave phenomena. Geophysical Prospecting, 35(6): 629-655. |
| [17] | Jin S W, Chen B Y, Ma Z T. 1994. Three-dimensional wave equation forward modeling by the finite-difference methods. Acta Geophysica Sinica (in Chinese), 37(6): 804-810. |
| [18] | Komatitsch D, Martin R. 2007. An unsplit convolutional perfectly matched layer improved at grazing incidence for the seismic wave equation. Geophysics, 72(5): SM155-SM167. |
| [19] | Kuzuoglu M, Mittra R. 1996. Frequency dependence of the constitutive parameters of causal perfectly matched anisotropic absorbers. IEEE Microwave Guided Wave Letters, 6(12): 447-449. |
| [20] | Li J X, Dai J F. 2008. Modified Z-transform-based FDTD algorithm for the anisotropic perfectly matched layer. International Journal of Numerical Modelling: Electronic Networks, Devices and Fields, 21(5): 279-286. |
| [21] | Li Y F, Matar O B. 2010. Convolutional perfectly matched layer for elastic second-order wave equation. J. Acoust. Soc. Am., 127(3): 1318-1327. |
| [22] | Liu L N, Cui F L, Zhang J F. 2004. Seismic modeling with one-way wave equation in 3-D complex structures. Chinese J. Geophys. (in Chinese), 47(3): 514-520. |
| [23] | Liu Q H, Chang C. 1996. Compressional head waves in attenuative formations: forward modeling and inversion. Geophysics, 61(6): 1908-1920. |
| [24] | Liu Q H, Tao J P. 1997. The perfectly matched layer for acoustic waves in absorptive media. J. Acoust. Soc. Am., 102(4): 2072-2082. |
| [25] | Quarteroni A, Tagliani A, Zampieri E. 1988. Generalized Galerkin approximations of elastic waves with absorbing boundary conditions. Comput. Method. Appl. M., 163(1-4): 323-341. |
| [26] | Roden J A, Gedney S D. 2000. Convolution PML (CPML): An efficient FDTD implementation of the CFS-PML for arbitrary media. Microw. Opt. Tech. Lett., 27(5): 334-339. |
| [27] | Shi RQ, Wang SX, Zhao JG. 2012. An unsplit complex-frequency-shifted PML based on matched Z-transform for FDTD modelling of seismic wave equations. J. Geophys. Eng., 9(2): 218-229. |
| [28] | Sochacki J, Kubichek R, George J, et al. 1987. Absorbing boundary conditions and surface waves. Geophysics, 52(1): 60-71. |
| [29] | Stacey R. 1988. Improved transparent boundary formulations for the elastic-wave equation. B. Seismol. Soc. Am., 78(6): 2089-2097. |
| [30] | Virieux J. 1986. P-SV wave propagation in heterogeneous media: velocity-stress finite-difference method. Geophysics, 51(4): 889-901. |
| [31] | Xie G S, Liu H, Li Y M, et al. 2005. Seismic modeling by reflection/transmission operator and one-way wave equation under the condition of fluctuating reflectors. Chinese J. Geophys. (in Chinese), 48(5): 1172-1178. |
| [32] | 金胜汶, 陈必远, 马在田. 1994. 三维波动方程有限差分正演方法. 地球物理学报, 37(6): 804-810 . |
| [33] | 刘礼农, 崔风林, 张剑锋. 2004. 三维复杂构造中地震波模拟的单程波方法. 地球物理学报, 47(3): 514-520 . |
| [34] | 谢桂生, 刘洪, 李幼铭等. 2005. 界面起伏条件下反射/透射算子+单程波方程的地震波模拟方法. 地球物理学报, 48(5): 1172-1178. |
2014, Vol. 57








