2. 中国科学院地球深部研究重点实验室, 中国科学院地质与地球物理研究所, 北京 100029;
3. School of Earth and Atmospheric Sciences, Georgia Institute of Technology, Atlanta, GA, 30332;
4. Geophysics Group (EES-17), Los Alamos National Laboratory, Los Alamos, NM, 87545
2. Key Laboratory of the Earth's Deep Interior, Institute of Geology and Geophysics, Chinese Academy of Sciences, Beijing 100029, China;
3. School of Earth and Atmospheric Sciences, Georgia Institute of Technology, Atlanta, GA, 30332, U.S.A.;
4. Geophysics Group (EES-17), Los Alamos National Laboratory, Los Alamos, NM, 87545, U.S.A.
地震动态应力触发是指随大地震快速破裂激发的地震波(主要是面波)传播到某些地区而引发的活动,包括地震事件、非火山颤动、慢滑移等.1992年6月28日美国Landers7.3级地震后,在距Landers地震震中165 km至1250 km的美国西部许多地区观测到地震活动的突然增加(Hill et al., 1993),引起了国际上对远震动态应力触发活动研究的关注和探讨.随后的研究表明,在远到数千公里的地区都能观测到远震动态触发的地震活动(Brodsky et al., 2000; Kilb et al., 2000; Gomberg et al., 2001; Hough et al., 2002; Antonioli et al., 2002; Gomberg et al., 2004; Prejean et al., 2004; West et al., 2005; Fischer et al., 2008; Velasco et al., 2008; Peng et al., 2010; Gonzalez-Huizar et al., 2012; 刘桂萍等, 1999).
国际上关于远程触发地震活动的观测报道大多集中在板块边界的活动断层带,或是火山区或高地热区等构造活动较为活跃的地区,或是构造应力场以张性应力状态为主的区域(Hill et al., 2007).尽管在板内构造活动区或一些地震活动相对平静地区也有一些远震动态触发观测研究的报道(Brodsky et al., 2000; Gomberg et al., 2004; 李纲等, 2005; 解朝娣等, 2007; Velasco et al., 2008; Gonzalez-Huizar et al., 2011; Lei et al., 2011; Peng et al.,2012),但多数研究是基于远震之后的地震活动性统计分析,利用远震波形分析研究板内地区远震动态触发的并不多见(Hill et al., 2007).Velasco等(2008)通过对全球台网数据的分析认为动态应力触发地震是更为普遍的现象,板内(包括中国大陆)也存在这种现象.彭志刚研究组和我们研究组自2008年汶川8.0级地震后,利用中国国家台网和区域台网的波形记录,在北京房山牛口峪(NKY)地震台站附近多次观测到数千公里外的远震面波即时触发的地震活动现象(Peng et al., 2010; Jiang et al., 2010; Wu et al., 2011; Wu et al., 2012),但对于背景活动水平较低的北京房山地区为何会不 断观测到远震触发的小震活动的物理机制仍不清楚.
国际上用于解释远震动态触发的物理机制主要归为两类(Hill et al., 2007; Gomberg, 2010):一种是动态应力直接引发破裂,另外一种是动态应力通过激发地下流体活动或者引发形变从而导致该地区产生地震.虽然动态触发研究已经取得很大进展,但是目前还没有较为理想的物理模型可以解释所有观测到的远震动态触发活动的现象,仍处在积累观测和理论模拟机理研究相结合的过程中.
2010年2月27日发生在智利中部沿岸近海的Mw8.8级大地震与北京相距约20000 km(172°左右,图1),这意味着震源与接收台几乎处于地球的一对对蹠点上,来自两个相反方向(长和短的大圆弧路径)的地震面波被处于对蹠点上的地震台相继接收,这为利用北京地区的地震台记录研究极远距离的地震动态触发活动提供了良机,并可为探讨远程动态触发地震活动的物理机制提供新的观测依据,本文将对智利Mw8.8地震是否在北京地区动态触发地震活动进行详细的分析讨论.
![]() | 图1 智利地震面波的传播示意图 使用IRIS提供的国际台(II和GT部分台站)、首都圈台(NKY) 和流动台(XYL)数据(经0.001~0.005 Hz带通滤波),横轴给出了相对智利地震发震时刻的时间(单位为s),纵轴给出各台相对智利地震震中的距离(单位为(°)).图中R1、R2分别代表沿短和长的大圆弧路径传播的瑞利面波,R3、R4代表较R1、R2多绕行地球一周的瑞利面波,如右下图所示.右上图给出了所使用的台站的分布图(用黑色绘制波形 的台站未绘出),蓝色矩形标出了本文研究区域,蓝色星形标出了智利地震震中位置,黑色实线表明智利地震面波沿大圆弧路径传播到北京的路径. Fig.1 The propagation of the surface waves generated by the 2010 Mw8.8 Chile earthquake The figure shows the vertical ground velocity (band-pass filtered at 0.001~0.005 Hz) recorded at multiple IRIS stations (from network II & GT), the NKY station and XYL temporal station during the passage of the Chile earthquake surface waves. The X-axis shows the time since the Chile mainshock, and the Y-axis shows the distance in degree to the Chile earthquake epicenter. Rayleigh waves travelling along the minor-arc and the major-arc are indicated by R1 and R2 respectively. R3 and R4 are the same pulses as R1 and R2 with an additional global circuit, as figured in the right bottom. The right top figure shows the stations distribution (except the waveforms plotted in black), the blue square marks the study region in this paper and the blue star marks the epicenter of Chile M8.8 earthquake, the black line shows the great circle path from the epicenter to Beijing. |
本文的研究区(图2)属于太行山和燕山构造带与华北平原区的交汇部位,区内多条断裂交错,北北东—北东走向的八宝山断裂、黄庄—高丽营断裂、顺义—良乡断裂与北西走向的永定河隐伏断裂和南口—孙河断裂等都从研究区穿过.八宝山断裂形成于燕山中期,以挤压活动为主,晚期转为拉张状态,新生代断裂继续活动但对北京断凹的控制作用已退让给陡倾滑的黄庄—高丽营断裂(高文学等, 1993).黄庄—高丽营断裂自南而北可划分为三段:中南段主要为中更新世活动,北段为全新世活动断裂,推测最新一次错动发生在距今约3500年左右,单个错动事件的垂直落差为1.5~7 m(徐锡伟等, 2002).
![]() | 图2 研究区附近构造和所用数字地震台及地震分布和深度的南北向剖面图 图中背景为北京区域地形,实心三角形代表首都圈数字地震台网的固定台站,空心三角形为本文使用的流动台站,红色三角形标识了NKY台所在位置,黑实线表示该区域内的主要断层(F1为黄庄—高丽营断裂,F2为八宝山断裂),黑色粗实线圈出房山岩体所在位置.浅蓝色空心圆表明2001年10月至2012年9月在研究区内所发生的背景地震,蓝色空心圆圈表示1484年华北地区有完整的MS≥4.7地震记录以来该区域内发生的8次5级以上的历史地震(国家地震局震害防御司, 1995; 黄玮琼等, 1994).白色虚线内圈划出该区域多次远震触发的小震活动分布范围(Wu et al., 2012),也即本文的研究区(NKY地区).红色实心圆标示出本研究得到的由智利地震远距离触发 的小震位置(见本文第4部分),蓝色和黄色实心圆分别表示图4所使用的天然地震和爆破事件.图右侧上方给出了历史地震事件的标度值,下方给出白色区域内的事件深度沿AB剖面的分布. Fig.2 Tectonics and stations (permanent and temporal), locations and depth distribution of triggered small earthquakes and seismicity in the study region The permanent stations are shown as solid triangles, with the red one highlighting the NKY station. The temporary stations are shown as open triangles. The Huangzhuang-Gaoliying fault (F1), Babaoshan fault (F2) and other main faults are shown as black lines, the Fangshan Pluton is outlined by black line. The small light blue circles mark the background seismicity in the local catalogue from October, 2001 to September, 2012.The large blue circles mark the historical MS≥4.7 earthquakes since 1484 in this region (Department of Earthquake Disaster Prevention of CEA, 1995; Huang et al., 1994), and the size of the circles indicate their magnitudes. The region within the white dashed lines cover all the triggered earthquakes indentified by Wu et al., 2012 and in this study (also referred to as the NKY region), the cross-section view of the depth of events in the NKY region along AB is shown in the right. The red, blue and yellow solid circles show the epicenters of local earthquakes triggered by the February 27th 2010 Chile Mw8.8 earthquake, background earthquakes and explosion recorded in catalogue in Fig.4. |
研究区有着地学界长期关注和研究的侵入岩体——房山岩体(王述平, 1950; 马昌前, 1988; 王人镜等, 1990; 马芳等, 2003; 何斌等, 2005; 覃锋等, 2006; 纪新林等, 2010; Yan et al., 2011).房山岩体是多期岩浆侵入形成的同心环状岩株,岩体平面形态近椭圆形,长轴呈北西—南东向;岩体的不同同位素测年结果(马昌前, 1988; Davis et al., 2001; 马芳等, 2003; 蔡剑辉等, 2005)表明房山岩体侵位于早白垩世,形成于华北岩浆活动和克拉通破坏的峰期(纪新林等, 2010);房山岩体西北部边缘发育一条长约6km的弧形塑性强变形带,中段宽度达700m,两端逐渐收缩(王人镜等,1990; 燕滨等, 2008).几乎坐落在房山岩体上的宽频带地震连续观测台——牛口峪台(NKY台),为研究北京房山地区的远震多次触发小震活动提供了可靠的观测基础.
研究区所处的首都圈地区有着中国大陆最为密集的地震台网,首都圈数字地震台网自2001年10月运行至2012年9月,11年间记录到的研究区背景地震活动水平并不高(参见表1和图2),月平均约2次,地震最多的月份达14次(2005年6月,C02 目录结果,而CENCweb为12次,C01为11次).表1给出了北京数字遥测台网(BDTSN,http://www.bjsn-igp.cn[2013-02-21])汇编的小震目录C02、中国地震台网中心汇编的全国小震目录C01、中国地震台网中心网上(CENCweb)公布的首都圈地区地震目录(http://www.csndmc.ac.cn/ newweb/data.htm[2013-02-21])的天然地震活动统计结果.表1同时给出了以NKY台为中心加减1°矩形区的地震目录统计结果.
|
|
表1 NKY附近地区的地震活动性统计 Table 1 Statistics of the seismic activities at the region near NKY |
用于动态触发分析的连续波形资料来自“国家数字测震台网数据备份中心” (郑秀芬等, 2009)和我们研究组2008年12月至2010年7月间架设的流动宽频带地震台.所有波形数据经一一浏览,去除一些记录不全或是严重限幅的数据,最后一共获得了45个固定地震台(包括31个宽频台和14个短周期台)和28个流动台的波形记录.对每一波形记录,基本按照Peng等(2010)分析2008年汶川8.0级地震的华北地区触发活动的流程来处理,主要基于常用于分析地震波传播过程中所淹没的区域小震信号的滤波方法(Brodsky et al., 2000; Prejean et al., 2004; West et al., 2005; Jiang et al., 2010; Wu et al., 2011; Wu et al., 2012).具体包括:首先,对三分量原始波形去仪器响应、均值和线性趋势并将水平分量旋转到径向和切向分量.其次,使用双通道巴特沃斯滤波器对所有波形进行5 Hz高通滤波,以有效滤去远震的低频面波成分,更好地识别可能存在的高频地震信号.对可能存在的高频信号,分析过程中还辅助之以频谱图予以验证,即以0.5 Hz高通滤波去除长周期信号对谱分析可能产生的高频人工干扰(Peng et al., 2011).第三,对每个经高通滤波后的波形分别计算其包络函数,并将三分量平均,得到每个台的平均包络函数.第四,对平均包络函数计 算其绝对中位差(Median Absolute Deviation,MAD), 以10倍绝对中位差值(10×MAD)作为检测地震事件的阈值,来确保不受随机扰动和近表面高频噪声的影响.第五:以平均包络函数上超过阈值的时间查看相邻台站,对至少有两个台同时超过检测阈值,且在三分量上能清晰地看到P波和S波的双峰波形初步判定为一个事件.最后,通过与区域台网报告中记录到的研究区内小震波形对比分析,来最终判定是否为远震长周期面波所淹没的小震事件.
对于所识别出的小震事件,是属于研究区正常的小震活动,还是因远震导致的动态应力变化即时触发的活动判定,本研究同样采用Peng等(2010)所使用的β统计值评估法.β统计值(Matthews et al., 1988; Reasenberg et al., 1992)是一种有效区分某研究区域在特定地震发生前后的地震活动水平是否存在明显差别的统计评估方法,即基于地震的平均发生率来评估.设nb和na分别指特定的地震事件发生之前和之后所观测地区的地震活动事件数目,tb和ta是相对应的观测时间,则有(Reasenberg et al., 1992; Aron et al., 2009)

其中var(na)为方差,对于稳态的随机发生率,期望值E(na)=nb(ta/tb).这样可以很清楚地了解到某研究区内特定时间段中与该地区整体的平均水平差异.如果统计的特定事件之前tb的时间段中没有事件,则nb取无偏估计的期望值0.25(Kilb et al., 2002).当|β|>2(即约为两倍的标准方差值)时,可以认为所研究区域的地震活动率在前后分析时段内有显著的统计变化(Hill et al., 2007).本研究以远震发生时刻前后相同时段(30天)统计研究区中地震目录所记录的地震活动和本研究中所识别出的触发地震事件来计算,如果|β|>2就认为智利地震确实触发了该地区的地震活动,否则认为所识别出来的事件只是在远震地震波传播过程中的背景事件而已.
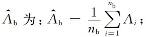
对平均包络函数超过一定MAD阈值识别触发地震分析时,本研究不仅仅只考虑触发事件数目,还使用地震事件归一化的振幅值Nb和Na 来替代(1)式中的nb和na (Miyazawa et al., 2005; Jiang et al., 2010).设所分析的远震事件发生之前和之后的区域地震的峰值振幅分别为Ai(i=1,2,…,nb)和A′ i (i=1,2,…,na),则震前tb时段的平均振幅
归一化的振幅值Nb和Na为:
如果震前 时段中没有事件,则假定取Nb=nb=0.25,而
=10×MAD(Kilb et al., 2002; Jiang et al., 2010).
对于识别出来的动态触发地震事件,本研究参考区域地震台网所测定记录到的研究区背景地震的震级和事件波形振幅,来估算触发事件的震级.并使用Hypoinverse-2000(Klein, 2011)对多台检测到的触发事件进行地震定位.
智利8.8级地震发生(06 ∶ 34 ∶ 14 UTC)后约1200 s,穿过地球内核的PKIKP首先到达研究区,3700s后勒夫波和瑞利波等携带大能量的长周期波陆续到达(图3),使研究区瞬间的地表最大位移响应超过2 cm.按照前述的的步骤进行分析发现5个小震事件可能是由于智利面波传播到该区域所触发产生的.从图3所显示的NKY台记录的智利地震波形(图3a)和5 Hz高通滤波后得到的平均包络函数(图3b)以及相应时间内的频谱图(图3c),可以看到在智利地震一次面波和二次面波(由于北京与智利震中相距170°,两次波到达时间相隔很近)到达后持续的1 h内,在NKY台所记录到的信号中至少凸现出5个能量明显高于平均水平的事件,所识别到的第一个相对明显的高频信号出现在智利地震后约4700 s,大约出现在勒夫波(G)到达时;最强的一个信号出现在震后约5900 s处,在瑞利波到达后不久;在沿短和长的大圆弧传播的面波列(勒夫面波G1和G2,瑞利面波R1和R2)都到达后,约6000 s处,有一个较为明显的信号.在图3e和3f所展示的NKY台和ZKD台垂直记录局部放大波形上,可以看到明显的P波和S波波列,具有较为典型的近震特征.按照事件发生时间先后,将这5个可能的触发地震事件称为事件1、2、3、4、5. 查看周围几个台站的记录,这5次事件至少也被NKY台附近的其他2个台或更多的台站所记录到(见图4).
![]() | 图3 2010年智利地震动态触发分析图 (a) NKY台所记录的智利地震后6 h的切向、径向和垂向速度记录图(切向和垂向的0值点上下分别作了偏移).蓝色、红色的虚线分别表明瑞利面波(R)和勒夫面波(G)到达时间,竖直的灰色虚线为P波到达NKY台时间.(b)5 Hz高通滤波后得到的NKY台(黑色)和ZKD台(灰色,为避免图形重叠将其纵坐标0值人为移到-1处)的平均包络函数,水平虚线表示识别事件的阈值(10倍MAD),β和β′分别为智利地震P波到达台站前后6 h NKY台和ZKD台的β统计值和经振幅归一后的β统计值.红色圆点标示出可能的触发地震事件.(c)NKY台切向分量经0.5 Hz高通滤波后的振幅谱图,图中颜色的分贝值dB(20log(cm/s/Hz)标度见图右方.蓝色箭头指示可能的触发地震事件.(d)识别出的可能触发地震事件密集段前后经5 Hz高通滤波的NKY台垂直分量速度记录.蓝色虚线所标出两段的放大 波 形见(e)和(f).(e)和(f)分别为NKY台和ZKD台垂直记录(图示的0值点上下分别作了偏移)局部放大波形都可以看到明显的P波和S波. Fig.3 Analysis of dynamic triggering by the 2010 Chile earthquake (a)Three-component (transverse, radial and vertical) velocity seismograms recorded during the 6-hour period after the 2010 Chile earthquake at the station NKY showing the multiple surface waves (the waveforms of the transverse and vertical components are shifted vertically). The dashed lines mark the arrival time of P (grey), Rayleigh (R, blue) and Love (G, red) waves. (b)Stacked 5 Hz high-pass filtered envelope function at NKY (black) and ZKD (grey, shifted vertically -1 to avoid overlap). The horizontal dashed lines indicate the 10 times median absolute deviation (MAD) values calculated from the envelope before the mainshock, the β values (β) and amplitude-normalized β values (β′) are calculated from seismicity in the waveform of 6 hours before and after the Chile earthquake P wave arrival time. (c) Spectrogram computed from the transverse component of seismogram recorded at NKY with color scales showing the dB value. The potential triggered events are marked by blue arrows in (d). (d) 5Hz high-pass-filtered seismogram of the vertical component showing small local earthquakes during the passage of surface waves. (e) and (f) Zoom-in- plots of the vertical seismograms (waveforms are shifted vertically to avoid overlap) showing the P and S waves of the triggered earthquakes. |
![]() | 图4 NKY台(图中上3道波形)、SFS台(图中间3道波形)、ZKD(图下3道波形)所记录的天然事件(a和b)、爆破事件(c)和文中所提及的事件(d、e、f、g、h)波形图,(i)为在智利地震发生前包络函数上第一个突出点的放大记录(参见图8d).蓝色、红色、黑色分别表示N、E、Z分量波形,图中波形的0值点作了一定的偏移 Fig.4 The three-component seismograms recorded by NKY (the top three traces), SFS (the middle three traces) and ZKD (the bottom three traces) of background earthquakes (a,b), explosion(c), the 5 events (d—h) after the Chile mainshock, and the 1st strong signal before the Chile earthquake surface waves arrival (i, refer to Fig.8d). Black, red and blue traces show the vertical E-W and N-S components, respectively. Most of the waveforms are shifted vertically in the plot |
环绕地球一周后再次传到研究区的智利地震面波约在12000 s后处,NKY台有较为微弱的信号再次出现(图3),但仅被NKY台和距NKY台约5 km的周口店台(ZKD台)所记录到,因Hypoinverse-2000对仅有2台记录的该事件不能定位,因此在后面对地震活动性变化的讨论中未考虑此次事件.
为进一步确认这些事件是否确实为天然地震,将其与北京数字遥测台网观测到研究区发生的2个 天然地震(2011年5月12日,39.711°N,115.857°E,深度4 km,ML=0.2和2011年11月20日,39.674°N, 115.867°E,深度5 km,ML=1.4)和1个爆破事件(2010年6月25日,39.72°N,115.85°E,ML=1.8)的波形进行对比分析(图4).为保持一致,对这3个事件波形也进行同样的高通滤波处理,并给出相同台站的记录波形.使用地震台网日常检测的小震波形数据作为参考,不仅有助于确认所识别出来的信号为触发的天然地震,且可通过同台的波形幅度对比,确定这些触发事件的震级大小大约为0.4、0.1、0.2、1.8、0.3.
对在3个以上台站识别的触发事件读取P、S到时后,本研究利用Hypoinverse-2000方法(Klein, 1978; 2011)进行定位,定位时以孙若昧等(1995)给出的首都圈地区一维P波速度模型为参考,细化浅层的速度结构,定位得到的5个触发小震均位于NKY地区内的房山岩体西侧的强变形带中(图2), 震源深度均小于该区构造地震的优势震源深度10~12 km (徐锡伟等, 2002),定位残差(RMS)都小于0.3 s,水平误差小于1 km.
利用北京数字遥测台网所提供的C02地震目录,以(1)式统计智利地震前后30天地震事件的β统计值(图5a),得到NKY附近远震相继触发活动地区(图2白色框图所示)内的β值为2.88,在统计上可以认为地震活动性有显著的改变(Hill et al., 2007).若加入本研究识别出的5次触发地震后β值为3.64.事实上,智利8.8地震后2 h内在NKY附近触发的5次地震事件,已远超出其月均2次左右的背景性活动水平(参见表1).若考虑到台网的监测能力,不计入台网完整检测的低于0.5级的较小触发地震事件,只考虑触发明显的1.8级地震,则这一触发事件在NKY附近地区也是十分显著的(图6),尤其是相对于该区年均5~6次ML≥1.5级地震而言(参见表1).但智利地震触发的活动,对于北京地区或首都圈区域地震活动性而言,在统计上没有显著差异(β=1.03,图5b),因此影响不大.
![]() | 图5 智利地震前后30天NKY地区(a)和北京地区(b)地震活动性对比 黑色虚线标示出智利地震发震时间,黑×为北京数字遥测台网地震目录(C02)中所记录的天然地震时间和大小分布,灰色实线为这些事件的累积曲线;红×为本研究所识别出的触发小震,黑色和红色的β值分别为没有计入和计入触发小震活动的情况. Fig.5 Seismicity within 30 days of the Chile mainshock in the NKY (a) and Beijing (b) region The black dashed line marks the time of the Chile mainshock, the black crosses mark the events listed in the regional earthquake catalogue and the grey line shows the cumulative number of events. The red crosses mark the events identified in this paper. β values in black and red are calculated from black and all crosses, respectively. |
在图6a的首都圈数字地震台网运行以来至今在NKY附近地区发生的地震活动时序图中,同时展示了2001年昆仑山口西Mw7.8、2003年北海道十胜冲Mw8.3、2004年苏门答腊Mw 9.2、2008年汶川Mw 7.9、2010年智利Mw8.8、2011年日本东北近海Mw9.0和2012年苏门答腊Mw8.6地震等在NKY地区即时触发的小震活动(Wu et al., 2011; Wang et al., 2011; Wu et al., 2012).该图为探讨NKY地区近12年来相继不断发生远震触发地震活动的机制提供了重要的观测资料.就NKY地区近12年的地震活动时序而言,远震触发的小震活动既 可发生在区域地震活动相对正常活动的时段(如 2001年昆仑山口西地震和2012年苏门答腊地震),也可发生在震前1个月或数月小震活动相对较为平静的时段(如2004年苏门答腊地震、2010年智利地震和2011年日本东北近海地震),还可紧随刚发生的M≥3.0地震出现(如2008年汶川地震),亦有紧随远震触发小震发生M≥3.0地震的事例(如2012年苏门答腊地震).如此甚为复杂的区域地震活动与触发小震的活动图像,似乎说明远震触发活动和当地的区域地震活动关系不明显.当然,这有可能是NKY地区的固定地震台监测能力有限,对背景地震和触发地震活动的定位不够精确,仍无法开展构造活动的精细相关分析;还可能有不少微小的背景地震被漏记了,比如Wang等(2012)利用模板匹配的方法分析加密布设流动台的地震波形记录,在2011年日本东北近海Mw9.0地震前后100天内在NKY地区识别出远多于地震目录所记录到的微震.这对于动态应力变化触发小震活动的解释提出了值得进一步深入研究的问题,例如获取NKY地区高精度的深部应变积累和深部构造图像,以及区域地震和触发小震震源位置与震源机制的精细测定等.
![]() | 图6 NKY地区地震活动性时序图 (a)NKY地区地震活动与远震触发活动的M-t图;(b)NKY台(图2)记录的有无触发活动的远震(红色或黑色)峰值速度.背景地震活动数据来源于北京遥测地震台网,远震触发的小震活动事件来源于Wu等(2012)和本研究. Fig.6 Seismic activities (a) and some analysized teleseismic earthquakes (b) in the NKY region (a) M-t diagram of the seismic activities in the NKY region;(b) Peak Ground Velocity (PGV) for teleseismic earthquakes that triggered (red) and not triggered (black) local earthquakes in the NKY region. Background seismicity data are from the Beijing metropolitan Digital Seismic Network, triggered earthquakes are from previous study (Wu et al., 2012) and this study. |
图6b给出的触发与没触发小震活动的M≥7.5远震在NKY台记录到的峰值速度(PGV,据Wu等(2012)),可以为探讨NKY地区远震动态触发小震的阈值(峰值速度或动态应力变化量)提供重要的约束.基于平面波传播近似,动态应力变化DS可以用DS=G×PGV/V来估算动应力变化(Hill et al., 1993; Jaeger et al., 2009),其中V为面波传播的相速度(取地壳均值3.5 km/s),G为抗剪切强度(取30 GPa).NKY台记录(参见图3a)的智利地震切向最大波动出现在瑞利波传播期间(震后4500 s),周期为20.8 s,PGV值约为0.08 cm/s;径向最大波动出现在勒夫波传播期间(震后3400 s),周期为14.3 s,PGV值约为0.07 cm/s.据此可估算智利地震在NKY台引发的切向和径向最大动态应力约为0.007 MPa和0.006 MPa.近10年的一些研究表明:远震触发活动与地震波相关的动态应力变化密切相关.Gomberg和Johnson(2005)研究的大部分动态触发震例中,远场地震波所引发的动态 形变大于1×10-6,或最大动态应力大于0.03 MPa. Hill和Prejean(2007)通过总结一些远震动态触发活动事例,发现在同样的峰值幅度情况下,周期20~30 s的动态应力显得更易于触发响应活动,即使最大动态应力小于0.01 MPa.Pollitz等(2012)在研究2012年苏门答腊地震引发全球多处地方地震活动性变化时,指出动态触发的产生不仅仅与主震引发的动态形变大小有关,且与触发事件发生区域的地震活动在震前相对较少而处于临界失稳状态相关,来自长周期地震波的相关影响较短周期地震波作用更为明显.智利地震在研究区的最大动态应力虽较研究区观测到的其他远震触发活动的小(参见图6b),但其动态应力的周期与Hill和Prejean(2007)得到较易触发活动的周期相符.另根据Wu等(2011)以八宝山和黄庄—高丽营断层倾角(30°和70°)模拟计算的触发地震活动的潜势(图7),图7中所给出的13次远震的结果来看,智利地震面波在研究区的触发潜势相对其他远震而言较大.West等(2005)对2004年苏门答腊Mw9.0级地震触发11000 km外的美国阿拉斯加兰格尔山(Mount Wrangell)的14次小震分析中,该地区所记录到的垂直向波谷到波峰之间的最大地动位移差为1.5 cm.智利地震距离NKY台虽将近20000 km,但其垂向波谷到波峰之间的地动位移将近5 cm,这可能是由于智利地震所产生的来自两个相反方向(长和短的大圆弧路径)的面波在研究区的叠加而使得局部的动态形变变化较大,而智利地震发生前这一地区地震背景活动水平相对较低(图6a),因而多种因素累加而触发这一地区的小震活动.
![]() | 图7 4 km深处归一化勒夫波(实线,LW)和瑞利波(虚线,RW)触发活动潜势的模拟计算结果(据Wu等(2011)补充) 模拟计算的摩擦系数取为0.4,断层倾角为(a) 30°和(b) 70°,观测中有(红色)、无(黑色)触发活动的远震标注同图6. Fig.7 The simulation of normalized Love (solid curve) and Rayleigh (dashed curve) wave triggering potential at depth of 4 km (modified on Wu et al.(2011)) Simulation parameters: coefficient of friction μ=0.4, (a) normal fault dipping at 30°and (b) normal fault dipping at 70°. Similar as in Fig.6, the teleseismic earthquakes that triggered and did not trigger local earthquakes are marked as red and black vertical lines, respectively. |
智利地震前10 h(2010年2月26日20 ∶ 31 ∶ 22 UTC) 在琉球群岛发生的Mw7.0地震,为探讨远震的动态触发条件提供了难得的对比分析资料.按照本文前述的方法,分析表明(图8)琉球(Ryukyu)地震相对于智利地震在NKY地区的动态形变很小(参见图3和图8),从NKY台的波形数据上并不能找到与智利地震相似的明显的高频能量的出现(图8c).按照之前所使用的阈值,联合NKY台和ZKD台数据的包络函数,挑选出琉球地震3 h后的突出信号,即4次微弱的跃变信号(图8b),信号放大后(图8e)与图3中智利地震触发的地震信号(图3e和3f)和天然地震波形(图4a和4b)的相似度很低,因此推测这些信号并非触发的地震事件.而计算琉球地震前后6个小时的β统计值,也无较明显的改变.和引起明显触发活动的智利Mw8.8地震来对比,琉球Mw7.0地震造成的动态应力变化较小且持时短,似乎没有达到触发地震活动的最低阈值.
![]() | 图8 琉球7.0级地震触发活动分析(图示同图3) Fig.8 Similar plot as Fig.1 for the analysis of dynamic triggering by the 2010 Ryukyu 7.0 earthquake |
通过分析研究,本文获得了以下几点结论:
(1)本研究确定2010年智利8.8级地震面波通过北京地区时,至少触发了5次小震活动事件,这种触发活动现象主要被NKY台及其周围的一些台站所记录到.相对于NKY地区的地震活动水平而言,智利地震即时触发的小震活动相当显著,但触发的小震活动对整个北京地区的地震活动水平几乎没有影响.
(2)智利8.8级地震激发的面波经短和长的大圆弧路径传播相继抵达NKY地区后触发了多次小震活动,但环球传播的多次面波在该地区叠加时并没有观测到明显的触发地震活动.这可能与其引起的动态应力变化太过微弱有关.
(3) 因多期岩浆侵入和热变质作用形成的房山岩体及其西侧强变形带的特殊构造部分,与智利地震几乎处于地球的对蹠点导致的面波叠加效应,相对有利的面波入射方向等共同作用是智利地震在房山岩体附近触发小震活动的主要因素.
(4) 综合NKY地区的背景地震活动与近12年来7次大震触发的观测结果,以及一些在NKY地区没有明显触发小震活动的事例,可以基本确定在NKY地区触发活动的动态应力最低阈值应为7 kPa左右.
(5) 对于黄庄—高丽营断裂和八宝山附近、房山岩体周围连续观测到的远震触发活动与该区域的复杂构造及其变形与房山岩体侵入,以及与区域应力环境等关系仍然有待进一步的研究,尤其有待于区域观测台站的增多和深部构造分辨能力的提高.
致 谢 感谢中国地震局地球物理研究所“国家数字测震台网数据备份中心”和北京遥测数字地震台网、IRIS数据管理中心为本文研究提供地震波形数据和观测数据,感谢河北省地震局闫俊岗工程师和中国地震局地震预测研究所李乐副研究员对震相识别的帮助,感谢二位评审专家提出的有益修改建议.| [1] | Antonioli A, Cocco M, Das S, et al. 2002. Dynamic stress triggering during the great 25 March 1998 Antarctic Plate Earthquake. Bull. Seism. Soc. Am., 92(3): 896-903. |
| [2] | Aron A, Hardebeck J L. 2009. Seismicity rate changes along the central California Coast due to stress changes from the 2003 M6.5 San Simeon and 2004 M6.0 Parkfield Earthquakes. Bull. Seism. Soc. Am., 99(4): 2280-2292. |
| [3] | Brodsky E E, Karakostas V, Kanamori H. 2000. A new observation of dynamically triggered regional seismicity: Earthquakes in Greece following the August 1999 Izmit, Turkey earthquake. Geophys. Res. Lett., 27(17): 2741-2744. |
| [4] | Cai J H, Yan G H, Mu B L, et al. 2005. Zircon U-Pb age, Sr-Nd-Pb isotopic compositions and trace element of Fangshan complex in Beijing and their petrogenesis significance. Acta Petrologica Sinica (in Chinese), 21(3): 776-788. |
| [5] | Davis G A, Zheng Y D, Wang C, et al. 2001. Mesozoic tectonic evolution of the Yanshan fold and thrust belt, with emphasis on Hebei and Liaoning Provinces, Northern China. Geological Society of America Memoirs, 194: 171-197. |
| [6] | Department of Earthquake Disaster Prevention of CEA. 1995. Catalogue of Chinese Historical Strong Earthquakes from 23rd Century BC to 1911 (in Chinese). Beijing: Seismological Press. |
| [7] | Fischer A D, Sammis C G, Chen Y L, et al. 2008. Dynamic triggering by strong-motion P and S waves: Evidence from the 1999 Chi-Chi, Taiwan, Earthquake. Bull. Seism. Soc. Am., 98(2): 580-592. |
| [8] | Gao W X, Ma J. 1993. Seismo-Geological Background and Earthquake Hazard in Beijing Area (in Chinese). Beijing: Seismological Press. |
| [9] | Gomberg J, Reasenberg P A, Bodin P, et al. 2001. Earthquake triggering by seismic waves following the Landers and Hector Mine earthquakes. Nature, 411(6836): 462-466. |
| [10] | Gomberg J, Bodin P, Larson K, et al. 2004. Earthquake nucleation by transient deformations caused by the M=7.9 Denali, Alaska, earthquake. Nature, 427(6975): 621-624. |
| [11] | Gomberg J, Johnson P A. 2005. Seismology: Dynamic triggering of earthquakes. Nature, 437(7060): 830-830. |
| [12] | Gomberg J. 2010. Lessons from (triggered) tremor. J. Geophys. Res., 115: B10302 |
| [13] | Gonzalez-Huizar H, Velasco A A. 2011. Dynamic triggering: Stress modeling and a case study. J. Geophys. Res., 116: B02304. |
| [14] | Gonzalez-Huizar H, Velasco A, Peng Z, et al. 2012. Remote triggered seismicity caused by the 2011, M9.0 Tohoku-Oki Japan earthquake. Geophys. Res. Lett., 39(10): L10302. |
| [15] | He B, Xu Y G, Wang Y M, et al. 2005. Magmatic diapir of Fangshan pluton in the western hills, Beijing and its geological significance. Earth Science-Journal of China University of Geosciences (in Chinese),30(3): 298-308. |
| [16] | Hill D P, Reasenberg P A, Michael A, et al. 1993. Seismicity remotely triggered by the magnitude 7.3 Landers, California, Earthquake. Science, 260(5117): 1617-1623. |
| [17] | Hill D P, Prejean S G. 2007. Dynamic triggering. // Schubert G. ed. Treatise on Geophysics. Amsterdam: Elsevier, 257-291. |
| [18] | Hough S E, Kanamori H. 2002. Source properties of earthquakes near the Salton Sea triggered by the 16 October 1999 M7.1 Hector Mine, California, Earthquake. Bull. Seism. Soc. Am., 92(4): 1281-1289. |
| [19] | Huang W Q, Li W X, Cao X F. 1994. Study of the completeness of the continental earthquake catalog of China: An example for the North China. Acta Seismologica Sinica (in Chinese), 16(3): 273-280. |
| [20] | Jaeger J C, Cook N G W, Zimmerman R. 2009. Fundamentals of Rock Mechanics (4th edition). New York: Wiley-Blackwell. |
| [21] | Ji X L, Wang L, PanY X. 2010. Magnetic fabrics of the Fangshan pluton in Beijing and constraints on its emplacement. Chinese J. Geophys.(in Chinese), 53(7): 1671-1680. |
| [22] | Jiang T, Peng Z G, Wang W J, et al. 2010. Remotely triggered seismicity in continental China following the 2008 Mw7.9 Wenchuan Earthquake. Bull. Seism. Soc. Am., 100(5B): 2574-2589. |
| [23] | Kilb D, Gomberg J, Bodin P. 2000. Triggering of earthquake aftershocks by dynamic stresses. Nature, 408(6812): 570-574. |
| [24] | Kilb D, Gomberg J, Bodin P. 2002. Aftershock triggering by complete Coulomb stress changes. J. Geophys. Res., 107(B4): ESE2-1-ESE2-14. |
| [25] | Klein F W. 1978. Hypocenter location program HYPOINVERSE. US Geological Survey Open-File Report. |
| [26] | Klein F W. 2011. User's Guide to HYPOINVERSE-2000, a Fortran Program to Solve for Earthquake Locations and Magnitudes. US Geological Survey Open-File Report, 02-171 revised, Version1.34. |
| [27] | Lei X L, Xie C D, Fu B H. 2011. Remotely triggered seismicity in Yunnan, southwestern China, following the 2004 Mw9.3 Sumatra earthquake. J. Geophys. Res., 116(B8), doi: 10.1029/2011JB008245. |
| [28] | Li G, Liu J, Guo T S. 2005. Analysis of teleseimically trigged seismicity in Yunnan region under influence of the Indonesia large earthquakes with M8.7 and M8.5. Earthquake (in Chinese), 25(4): 49-57. |
| [29] | Liu G P, Fu Z X. 1999. Regional seismicity triggered by the Hyogo-Ken Nanbu, Japan, earthquake (M=7.2) of January 17, 1995. Acta Seismologica Sinica (in Chinese), 21(3): 251-257. |
| [30] | Ma C Q. 1988. The Magma-dynamic mechanism of emplacement and compositional zonation of the Zhoukoudian stock, Beijing. Acta Geoscientia Sinica (in Chinese), 62(4): 329-341. |
| [31] | Ma F, Mu Z G, Liu Y L. 2003. Fangshan intrusion, Beijing: constraints from trace and rare earth elements as well as Sr-isotope composition. Acta Geoscientia Sinica (in Chinese), 24(2): 105-110. |
| [32] | Matthews M V, Reasenberg P A. 1988. Statistical methods for investigating quiescence and other temporal seismicity patterns. Pure and Applied Geophysics, 126(2-4): 357-372. |
| [33] | Miyazawa M, Mori J. 2005. Detection of triggered deep low-frequency events from the 2003 Tokachi-oki earthquake. Geophys. Res. Lett., 32(10): L10307- L10307. |
| [34] | Peng Y J, Zhou S Y, Zhuang J C, et al. 2012. An approach to detect the abnormal seismicity increase in Southwestern China triggered co-seismically by 2004 Sumatra Mw 9.2 earthquake. Geophys. J. Int., 189(3): 1734-1740. |
| [35] | Peng Z G, Wang W J, Chen Q F, et al. 2010. Remotely triggered seismicity in north China following the 2008 Mw7.9 Wenchuan earthquake. Earth Planets Space, 62(11): 893-898. |
| [36] | Peng Z G, Long L T, Zhao P. 2011. The relevance of high-frequency analysis artifacts to remote triggering. Seismol. Res. Lett., 82(5): 656-662. |
| [37] | Pollitz F F, Stein R S, Sevilgen V, et al. 2012. The 11 April 2012 east Indian Ocean earthquake triggered large aftershocks worldwide. Nature, 490(7419): 250-253. |
| [38] | Prejean S G, Hill D P, Brodsky E E, et al. 2004. Remotely triggered seismicity on the United States West Coast following the Mw7.9 Denali Fault Earthquake. Bull. Seism. Soc. Am., 94(6B): S348-S359. |
| [39] | Qin F, Xu X X, Luo Z H. 2006. Mixing and mingling in petrogenesis of the Fangshan intrusion, Beijing. Acta Petrologica Sinica (in Chinese), 22(12): 2957-2970. |
| [40] | Velasco A A, Hernandez S, Parsons T, et al. 2008. Global ubiquity of dynamic earthquake triggering. Nature Geoscience, 1(6): 375-379. |
| [41] | Reasenberg P A, Simpson R W. 1992. Response of regional seismicity to the static stress change produced by the Loma Prieta earthquake. Science, 255(5052): 1687-1690. |
| [42] | Sun R M, Liu F T. 1995. Crust structure and strong earthquake in the Beijing, Tianjin, Tangshan area: I.P wave velocity structure. Chinese J. Geophys. (in Chinese), 38(5): 599-607. |
| [43] | Wang R J, Ma C Q, Li Z Z, et al. 1990. Thermodynamic structures and emplacement mechanism of the Zhoukoudian intrusion. Regional Geology of China (in Chinese), (1): 1-7. |
| [44] | Wang S P. 1950. The study of petrogenesis of Fangshan intrusion. Geological Review (in Chinese), 15(Z1):13-28. |
| [45] | Wang W J, Gong X, Peng Z G, et al. 2011. Dynamic triggering around Fangshan Pluton near Beijing, China. 2011 Fall Meeting, AGU, San Francisco, Calif.Abstract S22B-06. |
| [46] | Wang W J, Wu J, Peng Z G, et al. 2012. Continuing studies of dynamic triggering near Fangshan, Beijing, 2012 Fall Meeting, AGU, San Francisco, Calif. Abstract S54B-05. |
| [47] | West M, S nchez J J, McNutt S R. 2005. Periodically triggered seismicity at Mount Wrangell, Alaska, after the Sumatra earthquake. Science, 308(5725): 1144-1146. |
| [48] | Wu C Q, Peng Z G, Wang W J, et al. 2011. Dynamic triggering of shallow earthquakes near Beijing, China. Geophys. J. Int., 185(3): 1321-1334. |
| [49] | Wu J, Peng Z G, Wang W J, et al. 2012. Comparisons of dynamic triggering near Beijing, China following the recent Sumatra earthquakes. Geophys. Res. Lett., 39: L21310. |
| [50] | Xie C D, Wu X P, He J B, et al. 2007. Characteristics of far-field-immediate dynamically triggering effect in Yunnan by the Ms8.7 Indonesia earthquake′s surface wave. Progress in Geophysics (in Chinese), 22(2): 383-394, doi: 10.3969/j.issn.1004-2903.2007.02.008. |
| [51] | Xu X W, Wu W M, Zhang X K, et al. 2002. New Changing of Crustal Tectonic and Earthquakes in Capital Circle (in Chinese). Beijing: Science Press. |
| [52] | Yan B, He B, Xu Y G, et al. 2008. Subsolidus deformation zone in the northwestern margin of the Fangshan pluton and its new interpretation. Geotectonica et Metallogenia (in Chinese), 32(4): 521-527. |
| [53] | Yan D P, Zhou M F, Zhao D G, et al. 2011. Origin, ascent and oblique emplacement of magmas in a thickened crust: An example from the Cretaceous Fangshan adakitic pluton, Beijing. Lithos, 123(1): 102-120. |
| [54] | Zheng X F, Ouyang B, Zhang D N, et al. 2009. Technical system construction of Data Backup Centre for China Seismograph and the data support to researches on the Wenchuan earthquake. Chinese J. Geophys. (in Chinese), 52(5): 1412-1417. |
| [55] | 蔡剑 辉, 阎国翰, 牟保磊等. 2005. 北京房山岩体锆石U-Pb年龄和Sr、Nd、Pb同位素与微量元素特征及成因探讨. 岩石学报, 21(3): 776-788. |
| [56] | 高文学, 马瑾. 1993. 首都圈地震地质环境与地震灾害. 北京: 地震出版社. |
| [57] | 国家地震局震害防御司. 1995. 中国历史强震目录(公元前23世纪-公元1911年). 北京: 地震出版社. |
| [58] | 何斌, 徐义刚, 王雅玫等. 2005. 北京西山房山岩体岩浆底辟构造及其地质意义. 地球科学-中国地质大学学报, 30(3): 298-308. |
| [59] | 黄玮琼, 李文香, 曹学锋. 1994. 中国大陆地震资料完整性研究之一: 以华北地区为例. 地震学报, 16(3): 273-280. |
| [60] | 纪新林, 王磊, 潘永信. 2010. 北京房山岩体的磁组构特征及其对岩体侵位的约束. 地球物理学报, 53(7): 1671-1680. |
| [61] | 李纲, 刘杰, 郭铁栓. 2005. 印尼8.7、8.5级巨震对云南地区地震活动的远震触发分析. 地震, 25(4): 49-57. |
| [62] | 刘桂萍, 傅征祥. 1999. 日本1995年1月17日兵库县南部7.2级地震触发的区域地震活动. 地震学报, 21(3): 251-257. |
| [63] | 马昌前. 1988. 北京周口店岩株侵位和成分分带的岩浆动力学机理. 地质学报, 62(4): 329-341. |
| [64] | 马芳, 穆治国, 刘玉琳. 2003. 北京房山侵入岩体:微量元素、稀土元素及Sr同位素组成对其成因的制约. 地球学报, 24(2): 105-110. |
| [65] | 覃锋, 徐晓霞, 罗照华. 2006. 北京房山岩体形成过程中的岩浆混合作用证据. 岩石学报, 22(12): 2957-2970. |
| [66] | 孙若昧, 刘福田. 1995. 京津唐地区地壳结构与强震的发生--I. P波速度结构. 地球物理学报, 38(5): 599-607. |
| [67] | 王人镜, 马昌前, 李志中等. 1990. 周口店岩体热动力构造及定位机制研究. 中国区域地质, (1): 1-7. |
| [68] | 王述平. 1950. 房山侵入体之岩石成因学的究研. 地质论评,15(Z1): 13-28. |
| [69] | 解朝娣, 吴小平, 何家斌等. 2007. Ms8.7印尼地震面波在云南产生的远场动态即刻触发特征. 地球物理学进展, 22(2): 383-394, doi: 10.3969/j.issn.1004-2903.2007.02.008. |
| [70] | 徐锡伟, 吴卫民, 张先康等. 2002. 首都圈地区地壳最新构造变动与地震. 北京: 科学出版社. |
| [71] | 燕滨, 何斌, 徐义刚等. 2008. 北京西山房山岩体西北部强变形带的成因新解. 大地构造与成矿学, 32(4): 521-527. |
| [72] | 郑秀芬, 欧阳飚, 张东宁等. 2009. “国家数字测震台网数据备份中心”技术系统建设及其对汶川大地震研究的数据支撑. 地球物理学报, 52(5): 1412-1417. |
2014, Vol. 57










