2. 中国地震局第一监测中心, 天津 300180
2. First Crust Deformation Monitoring and Application Center, Tianjin 300180, China
“地震的成因,是在实践中认识的.不管是哪种场,我想总是地壳中的力场引起破裂,产生震动的.总是以机械力的形式反映出来,是个机械的运动.”著名地质学家李四光院士的上述观点也是目前地学界的一个共识,那就是要认识地震,必须研究驱动地壳(或地质体)运动的力(Scholz, 2002).构造应力场的研究为人类认识地震机理做出了巨大贡献,如20世纪80年代启动的国际岩石圈计划中的世界应力图编制计划(Zoback, 1992; Zang & Stephasson, 2010; Heidbach, et al., 2008).“世界应力图”(简称应力图)计划分析整理了全球范围内有关现代地应力测量和研究成果,该图反映了全球岩石圈应力场的总体和分区特征,发现了在一些板块内部,构造应力场存在大尺度的统一性特征,说明存在地球构造运动的大尺度力源;该计划的另一个重要结果是认识到板块内部存在一级、二级和三级应力场,一级应力场是与板块运动有联系的应力场,二级应力场是由局部原因(如岩石圈横向密度差异、局部热活动等)引起的地区性的应力场,三级应力场为与断裂带有关的应力场.“东亚地区现今构造应力图”的编制完成(许忠淮, 2001)和“中国大陆地壳应力环境基础数据库”(简称应力数据库)的建立(谢富仁等, 2007)为中国及其邻区板块运动等地球动力学研究提供了基础数据.但是应力图的研究只能从应力方向角度说明地壳动力学行为与应力分区之间的关系,并没有考虑应力量值与区域地壳动力学行为之间的关系.Zoback和Townend(2001)认为地壳应力状态是受断层控制的,断层的滑动导致应力释放使得地壳应力维持在一定的范围. Zoback和Healy(1984)对位移较小的活动断层附近浅部(<4 km)应力进行了实测,结果表明最大差应力受断层控制,现今主要构造环境有利于这些断层再次活动,而且断层区域摩擦系数在0.6~1.0之间,孔隙水压力为静水压力状态.德国南部6 km深的KTB科学钻孔实测应力表明在区域走滑应力条件下断层摩擦系数为0.7(Zoback, et al., 1993).利用钻孔不同深度实测最大主应力的方向和应力的大小,Hickman和Zoback(2004)计算了圣安德列斯断层面上剪应力与有效正应力的比值,结果表明,在钻孔中较浅的部位摩擦系数约为0.6,应力状态具有逆冲性质;在较深的部位,摩擦系数会变小,接近0.2,应力逐渐向走滑性质转变.Reasenberg和Simpson(1992)计算了1989年发生在加州中部洛马普列塔地震时的摩擦系数为0.1~0.3,其中0.2最适合.Chang等(2010)对朝鲜半岛东南部区域应力场与断层的相互作用进行了详细分析,Chang的分析表明断层静摩擦系数既有较高的值也有比较低的值,而且摩擦系数的大小与平均水平应力与垂直应力的比值有关系,最后他指出区域的低应力状态是区域内相应断层的低剪切强度造成的.研究表明软弱断层 确实存在(Zoback, et al., 1987; Colletini & Sibson, 2001), 而且有很多研究人员在讨论断层弱化的机理过程中,提出了一些断层弱化的模型如超孔隙水压力模型(Rice, 1992)、软弱断层物质模型(Morrow, et al., 2000)和动态滑动弱化模型(Wibberly & Shimamoto, 2005).认识这些问题可以帮助我们进一步了解断层与地应力场的相互作用,进一步了解地震产生的机理.
利用应力数据来分析地震前后的地壳以及断层区域的应力积累水平主要是通过地震数据和原地应力实测数据进行的.Wiemer等(2000)及Wyss等(2000,2002)利用震级-频度关系中a、b值等地震活动性参数的空间分布来分析和判定活动断裂带现今相对应力水平的空间分布,从中区分正处于相对高应力的段落.刁桂苓等(2011)等曾利用CMT震源机制解方法对2008年四川汶川地震和1999年台湾集集地震前中小地震数据进行构造应力场分析,发现在两次大震震前均出现相似的局部应力场转换现象.日本学者田中丰(1998)从1978年起,以兵库县东南部的平木矿山和宝殿采石场作为应力测量试验场进行了各种原地应力测量,他利用实测数据计算最大剪应力(σ1-σ3)/2与平均应力(σ1+σ3)/2的比值μm,进而分析原地应力对断层滑动的可能影响,发现在兵库县东南部,1985年以后与以前相比μm变大,至1994年底,μm值达0.53,而在1995年兵库县南部地震发生后,两测点的μm值降低到0.2.Liao等(2001)首次利用原地应力测量方法在近距离短时间内捕捉到了昆仑山西口Ms8.1级地震前后的地应力调整变化,震后应力仅为震前应力的1/3.郭啟良等人(2009)在汶川地震前后也取得了宝贵的水压致裂原地应力测量资料,测量结果显示在大震前后应力量值的变化约为23%~29%.以上三个研究实例都是基于地震前后的原地应力实测数据的变化,这对我们认识地壳中应力积累及与地壳动力学行为的关系都有很大帮助.
北京时间2013年4月20日8时02分四川省雅安市芦山县(30.284°N, 102.955°E)发生Ms7.0级地震.震源深度13 km.据中国地震局网站消息,截至4月24日14时30分,地震共计造成196人死亡,失踪21人,11470人受伤.目前正值芦山地震机理的研究高峰期,而笔者所在的项目组从1991年起,在龙门山南段、芦山地震震中附近区域开展原地应力测量,积累了丰富的应力资料.从地壳应力积累的角度来分析这些资料对于认识芦山地震的孕震发震机理具有很大的帮助,并且通过该研究实例的分析,对于其他地区的地震机理的认识也具有很好的参考价值.
通过文献调研可知,关于地壳应力积累的能力分析理论,目前主要依据的是Anderson(1951)关于断层力学的理论、摩尔-库仑应力准则(Zoback, 2007; 陈颙, 1988)和Byerlee定律(Byerlee, 1978), 为了后面引述推导方便,简单介绍如下.
Anderson(1905)在假设地壳主应力方向为水平和竖直的基础上,根据断层几何形态与产生断层的应力的关系将断层分为三种类型:正断层、逆断层和走滑断层(如图1所示)(Zoback, 2007),三种断层类型存在如下应力关系:逆冲断层SH>Sh>SV;正断层SV>SH>Sh;走滑断层SH>SV>Sh.
![]() | 图1 各种断层和裂隙类型与最大最小水平主应力方向之间的关系示意图(据Zoback(2007),有修改)
φ-断层摩擦角;μ-断层摩擦系数;β-断层面法线与最大主应力的夹角,β=φ/2+π/4;SS-走滑断层;NF-正断层;
RF-逆断层; 表示最小应力水平方向指向读者,X表示其方向背向读者.T、P、B-震源机制解中的T、P和B轴.
Fig.1 Schematic illustration of the orientation of various types of fractures and faults with respect
to the orientation of SH and Sh (after Zoback (2007), modified)
|
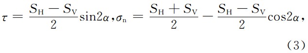
Anderson假设实际上是将断层区域应力场简化为二维应力场,考虑最大与最小主应力而忽略中 间主应力.根据摩尔-库仑破裂准则(Zoback, 2007; 陈颙, 1988),破裂面上的剪应力τ为两部分,表达式如下:

其中C为岩石的内聚力,σn为正应力.
Byerlee(1978)总结了众多岩石力学实验的结果,认为地壳岩石的内摩擦系数为0.6~1.0,少数岩石除外,这就是著名的Byerlee准则.研究人员(如Jamison & Cook, 1980; Townend and Zoback, 2000; Scholz, 2002; Zoback et al., 2002; Paterson and Wong, 2005) 进行的原地应力实测资料证明实验室测得的摩擦系数适用于地壳.由Byerlee范围 可知,符合Anderson理论的断层(以下简称Anderson断层), 其最大主应力与断层面的夹角为23°~30°,这就是Byerlee-Anderson理论,即中间主应力与断层面共面,断层面上的摩擦系数为0.6~1.0之间,最大主应力与断层面的夹角较小,一般为23°~30°.
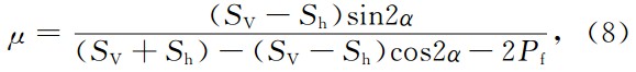
断层面上的视摩擦系数μ为断层面上剪应力与正应力的比值.断层活动时,断层面上的视摩擦系数可认为是断层摩擦系数.

Pf为孔隙水压力.
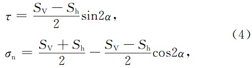
在Byerlee-Anderson理论体系下,不同的断层类型,断层面上的剪应力和正应力的表达也不同.
逆冲断层:

正断层:

走滑断层:

式中SH、Sh为最大、最小水平主应力,SV为垂直主应力,α为最大主应力与破裂面的夹角,其关系如下:

φ为岩石内摩擦角,φ=arctanμ. 则对于不同类型的断层,μ应为:
逆冲断层:

正断层:

走滑断层:

从以上三式中可以看出,视摩擦系数既与应力量值有关,也与应力方向及孔隙水压力有关.其实质上与应力方向反应的信息是一致的,但其优势在于定量地反映了地壳中的断层摩擦强度.μ>0.6, 说明断层具有与周围地壳相当的强度;0.6>μ>0.3,说明断层为 中等强度;μ<0.3说明断层与周围地壳相比较弱.
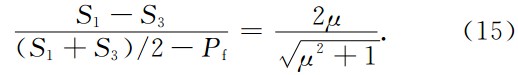
地壳内的破裂现象极其复杂,但从宏观来看,其本质就是由于剪应力的增大而产生滑动破坏,控制 这种破坏的因素是垂直于剪切断面的法向应力.因此最大剪切应力(S1-S3)/2与平均应力(S1+S3)/2 的比值μm也是与地壳破坏状态相关的参数(Jamison & Cook, 1980).μm越大说明断层区域的剪应力相对较大,该应力状态越有利于断层活动,反之亦然. Townend和Zoback(2000)认为地壳处于破裂极限状态,通过断层的活动和地震事件的发生,地壳应力状态能够保持一个均衡的状态.在这种极限应力状态下,差应力与平均主应力具有固定的比例.因此μm表示一个区域应力的积累水平,μm大说明应力积累程度高,反之亦然.当应力水平积累到一定程度,通过断层活动将应力释放,从而维持地壳的稳定.μm能够从应力积累的角度反映断层强度,应力积累水平高可能暗示了断层具有高强度.
若考虑孔隙水压力的作用,μm的表达式为

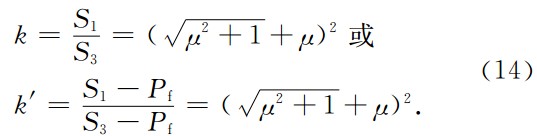
式中S1,S2,S3分别代表最大主应力、中间主应力和最小主应力.由前面的分析可知,断层破裂时,其区域应力状态存在如下关系:

即

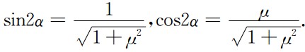
若断层符合Byerlee-Anderson理论,则
, φ=arctanμ.则
.因此,μm和μ有如下关系:

μm和μ的关系见图 2.
![]() | 图2 μm随μ的变化 Fig.2 The relationship between μm and μ |
图3揭示了地壳中差应力和平均主应力的关系.从图中可知地壳中两者的比值接近于常数,浅部多为1.4,深部均为1.0,即浅部μm多为0.7,深部μm为0.5.说明μm为0.5~0.7之间时,地壳应力处于其极限状态.μm跟应力的方向无关,它代表了应力积累的水平.当μm接近0.5时,说明应力积累水平较高;μm<0.3,说明应力积累水平较低.
![]() | 图3 利用上地壳六个深孔的应力测试数据计算得到的最大差应力与有效平均应力的关系(根据Townend & Zoback, 2000) Fig.3 Dependence of differential stress on effective mean stress at six locations where deep stress measurements have been made (According to Townend & Zoback, 2000) |
通过以上的分析可知,对于符合Byerlee-Anderson 理论的断层,断层区域最大和最小主应力应该存在 定量的比例关系,比例系数与岩石的内摩擦系数有关.

为了更好地与前面的分析推导联系起来,公式(14)可以转变为如下公式:

最大与最小主应力比是国内研究人员进行区域稳定性分析时常用的方法,通过对比实测应力与Byerlee摩擦范围所限定的主应力关系,判定应力状态是否有能够产生地壳的破裂.该方法实际上也是一种定性的分析方法,而且不含有应力方向的相关信息,其只能反应最大与最小主应力的大小关系.
出于交通和水利工程建设的需要,项目组在过去20多年里在龙门山断裂带南段地区开展了大量的原地应力测量工作.所有测点所在区域在一级构造上处于扬子准地台西缘与松潘—甘孜褶皱带的川滇复向斜、康滇复背斜、龙门山褶皱带的结合部,其西紧靠康滇地轴,北邻龙门山构造带,东邻四川台坳之川西台陷,南接凉山陷褶束.在二级构造上处于鲜水河构造带、龙门山构造带、川滇南北向构造带三大构造体系交汇部位,偏向于龙门山构造带一侧.研究区主要构造形迹走向为NE30°左右,与龙门山构造带走向相一致,如图4所示.据区域地质资料,测点地区出露的主要地层有:震旦系、奥陶系、志留系、泥盆系、三叠系以及第四系等.
![]() | 图4 研究区地质构造纲要图及应力数据点位置 Fig.4 The geological structure outlines around the research area and locations of stress data |
本文所使用的地应力数据均由水压致裂应力测量得到,这里提到的大多数水压致裂应力测量都是由我们自己的应力测量工作组完成的,部分应力数据来自公开发表的文献.实验装置、实验步骤和数据处理分析遵照国际岩石力学学会推荐的方法.
由于工程应力测量受限于测量深度浅的特点,所以需按照世界应力图(WSM)数据质量分级系统,在进行应力数据初始汇编后,对数据根据统一的标准进行筛选.首先,我们把所有不标准的水压致裂应力曲线(Haimson & Cornet, 2003)以及应力方向离散的数据全部剔除.其次,我们只选用在某一深度之下的数据.通常认为,深度很浅的地应力值易于受地形影响.Zoback(2007)认为只有深度大于100 m的地应力测量才可以看作不受非构造活动的影响.最后,按照地震地质研究和该地区的震源机制解获得的区域构造应力场的研究成果可知,研究区域主要为逆断层和/或走滑断层的应力状态,因此如果实测得到的最大、最小水平应力量值与垂直应力的关系与区域应力状态不符时,我们认为是实测值的奇异值,予以剔除.根据世界应力图数据质量分级系统,收集到的数据大部分深度超过100 m,我们按照测量数据的地理位置和测量时间对应力数据进行分类.测点的位置和应力方向如图4所示,因为我们关注的是在一个相对较广的地区内应力状态的区域趋势.应力数据属于22个不同的位置,其中钻孔ZK1、ZK2、ZK3、CK4、CK3、CK2、SZK10(王成绪, 1998) 和SZK9以及表2(徐林生等,2003)的数据来自川藏公路二郎山隧道工程,如图4中的位置①;钻孔SK4、SK3和SK2来自雅康路二郎山隧道工程,位于川藏公路二郎山隧道的北面,如图4中的位置②;钻孔FXZK3来自雅康路飞仙关隧道工程,如图4中的位置③;钻孔BXZK2来自宝兴县硗碛电站,如图4中的位置④;钻孔BXZK1来自吴满路等人组织的汶川地震震后科考(吴满路, 2010),如图4中的位置⑤.表1和2给出了各个点应力数据的详细内容、岩石类型以及初步分析结果.
|
|
表1 水压致裂测试应力数据汇总及计算 Table 1 Summary and calculations of collected stress data based on hydro-fracturing method |
|
|
表2 其他方法在该区的应力测试结果汇总(徐林生等,2003) Table 2 Summary and calculation of stress data based on the overcoring and Kaiser′s effect method (Xu et al., 2003) |
由数据表1和表2可知,研究区范围内各个钻孔所得到的应力数据所揭示的应力状态主要为逆冲断层应力状态(占全部数据量的75%),部分为走滑断层应力状态(占全部数据量的25%).这一测试结果与该区域的地质构造和地震震源机制解研究结果均相吻合(唐荣昌等,1993;张培震等,2009),同时与芦山地震的震源机制解也非常吻合.而应力方向的统计如图4所示,显示研究区范围内的优势应力方向为296°~316°(N44°—64°W),即该区域的应力场方向为NW向,这一结果与USGS关于芦山地震震 源机制解主压应力方向也是吻合的(王卫民等,2013).
首先我们利用第二节所讨论的公式对表1和表2中的应力数据进行计算分析.由于表1和表2中的数据所使用的方法不同,而且表2中所展示的数据主要为全应力张量数据,故分别对这些数据进行讨论.依据公式(15)将表1和表2中的数据绘图,如图5所示.
![]() | 图5 实测应力数据计算得到最大差应力与平均有效应力之间的相关性 (a)表1数据绘图; (b)表2数据绘图(该图中没有考虑孔隙水压力). Fig.5 Dependence of the maximum differential stress on effective mean stress based on the data from Table 1(a) and Table 2 (b) |
由图5可知,实测得到的应力数据满足Byerlee 定理所限定的应力范围.对于图5a浅部(约<200 m) 的应力数据,ZK2、ZK3和BXZK1的应力数据和ZK1和CK4的各一个数据点落于μ=0.6与μ=1.0两条斜线所限定的区间内,部分数据甚至超过μ=1.0所定义的范围,这主要是由于浅部的应力数据中,垂直应力较低,而水平应力偏高所造成的;浅部实测应力数据易受到地表剥蚀、地形地貌等因素的影响(Amadei & Stephansson, 1997);而实测深部(>200 m)的应力数据显示的应力状态均处于μ=0.2与μ=0.6所限定的范围内.而图5b中,大部分数据位于μ=0.6与μ=1.0两条斜线所限定的区间内,大于μ=0.6所定义的上地壳应力状态,与图5a所反应的数据分布规律略有差别.通过对数据来源分析可知,这种差别可能来自不同的测试方法,而且所反应的应力本质也有所差别,套芯解除法和Kaiser效应测试法得到的是全应力张量,而水压致裂应力测试得到的是平面应力,垂直主应力来自于 理论估算,故而利用两类数据计算得到的μm会有所差别,但所反映的区域地壳的应力积累水平和状态应该是一致的.
通过分析表1和表2的数据可知,应力测试时间的跨度达21年之久,特别通过对川藏路二郎山隧道和雅康路二郎山隧道工程原地应力获得的实测数据可以看出,虽然时间跨度非常长,但是所反应的应力状态基本是稳定的,特别是测深超过200 m的应力数据,该研究区范围内所定义的应力状态基本是稳定且统一的;而且由前面的讨论可知,该研究区范围内应力的方向也是相对稳定的.
如前面的讨论分析可知,参数μm可以用来分析地壳中的应力积累水平,而且μm所代表含义与μ类似.那么我们就统计分析这些实测数据的μm特征,将表1所有的数据绘图可以得到μm与深度Z的分布,如图6所示.由图6可知,超过90%实测数 据得到的μm值大于0.30,将深浅部的应力数据进行算术平均,μm平均值为0.45;而只将200 m以下的数据进行算术平均,得到的μm平均值为0.39;其中测点①~⑤的μm平均值分别为0.48、0.34、0.32、 0.56、0.49.川藏路二郎山隧道在施工过程中遭遇了严重的岩爆地质灾害,说明洞身部位的高地应力作用十分显著(徐林生等,2003).利用表2中的数据进行统计计算,得到μm值为0.56(计算时,设定Pf=0).这一分析结论与图5所反映的规律基本一致.
![]() | 图6 μm值随深度Z分布图 Fig.6 Plot of μm vs. depth Z |
前人(Zoback, et al., 1993;Hickman, et al., 2004; Reasenberg, et al., 1992; Chang, et al., 2010)的研究结论显示,上地壳的应力积累能力满足Byerlee定理所限定的范围,但是实际地壳在应力积累过程中所反应的μ值可能远远达不到0.6~1.0的范围.Chang C等利用南朝鲜半岛的应力资料和活断层资料分析得出原地应力量值与区域断层活动逆相关,这表明由于断层而产生的应力释放可能是导致区域内低应力区的主要因素之一,而且当代的地震分布显示低应力区地震活动性密度较大,这表明相应区域内的断层强度可能受现今应力状态影响,处于摩擦极限状态(Chang, et al., 2010).而利用Chang等(2010)所提供的应力数据分析可知,在南朝鲜半岛,逆冲断层、走滑断层和正断层区域的μm均值分别为0.27、0.23和0.11,整体平均值为0.20左右.而田中丰等(1998)给出地震震前μm从 0.16增大至0.53,而震后回落到0.2左右.Townend 等(2000)和Zoback等(1984)给出的多个研究场地的实测裂隙面上剪应力与正应力的比值也显示约10%~20%的数据能接近和超过μ=0.6所限定的值,绝大多数都低于μ=0.6所限定的范围,而前面的图3也显示浅部数据能满足μ=0.6与μ=1.0两条斜线所限定的区间,而深部数据多低于μ=0.6所限定的范围.这些研究结果都说明实际地壳在应力积累过程中的μm值均达不到0.6的水平,而本文应力数据计算得到的μm值可能反应了研究区的浅部地壳处于摩擦极限状态或者亚摩擦极限状态的应力积累水平,即为0.39~0.56;也就是说,这种应力状态可能已经是研究区浅部地壳应力积累的极限状态或者亚极限状态,芦山地震事件可以看作这种区域 地壳应力积累水平的一个地壳动力学证据.Verberne等 (2010)对龙门山断裂带汶川地震震后映秀—北川断裂带上的八角庙露头断层泥在法向应力为58~73 MPa,温度条件为25~150 ℃的实验条件下得到的稳态摩擦系数为0.40.Zhang和He(2013)对龙门山断裂带汶川地震震后映秀—北川断裂上的赵家沟露头、白沙河河边探槽、平西露头天然断层泥的研 究结果显示,天然断层泥在法向应力为38~68.5 MPa, 温度条件为25~150 ℃的实验条件下得到的稳态摩擦系数分别为0.20~0.22、0.40~0.42和0.30~0.63.对比室内稳态摩擦实验的摩擦系数与野外应力测值计算得到的μm值可以发现,两者十分接近,两者的分布范围完全一致,这也说明μm值可能从一个侧面反应了区域断层的强度,也从另外一个侧面说明研究区的地壳处于摩擦极限平衡状态.
根据Fang等(2013)初步给出的研究结果,芦山地震(30.284°N,102.956°E)断层面最大滑动量约为1.5 m左右,断层面上的空间滑动量分布比较简单,主要滑动都分布在震源附近.Fang等(2013)给出的该次地震的余震序列精定位结果显示余震主要展布在双石—大川断裂上.根据王卫民等(2013)给出的震源机制解结果,该次地震主震反应的应力状态仍为逆冲断层应力状态,且P和T轴的方位分别为122°和340°,这一结果与前面的实测应力数据所反应的应力状态是非常吻合的.
芦山地震的震源机制解应力特征反应了青藏高原板块向东运动,与下伏的四川盆地和华南板块发生了力学作用而产生了地震.从板块尺度来看,力源仍然来自印度板块与欧亚板块的北向汇聚作用,汇聚的速度达50 mm/a,伴随这种板块汇聚过程的是青藏高原板块的隆升和高原地壳物质向东移动.汶川地震后,研究者对汶川地震震后影响进行了广泛分析,Parsons等(2008)通过库仑应力计算分析认为,汶川MS8.0级地震后龙门山断裂南段的NE向断裂和鲜水河断裂的库仑应力增加.Wang等(2010)通过地震矩分析认为龙门山南段地震矩缺失十分严重,如果这些地震矩缺失所积累的能量全部释放,在未来50年内该区域内会发生大约Mw7.7的地震.吴满路等(2010)通过汶川地震震后应力实测结果分析,指出龙门山断裂带南段区域地震前后地壳应力处于较高水平,汶川地震中该段能量没有释放,今后仍然需要关注.通过前面对时间跨度为21年的应力实测资料所得μm的分析可知,研究区地壳的应力积累程度一直都较高,区域地壳应处于摩擦极限平衡状态,附近地壳中的动力学行为会导致这种平衡的失效,进而产生地震,因此2008年的汶川地震很有可能是芦山地震的直接诱因.
利用实测应力数据来分析区域地壳应力状态的积累水平是将实测应力数据用于地壳动力学行为分析的一次有益尝试,特别是本次收集了多种手段得到的原地应力数据,得到的结论将更具参考价值.通过对5个工程、22个测点、时间跨度为21年的应力数据的分析讨论,我们可以得到如下结论:
(1)μm的物理意义与μ是近似的,完全可以用来表征地壳应力积累的能力和水平,当μm接近0.5时,说明应力积累水平较高;μm<0.3,说明应力水平较低.
(2)龙门山断裂带南段5个工程22个测点的应力数据显示,该区域为逆冲断层的应力状态,最大水平主压应力方向为N44°—64°W.长时间的应力测试数据显示过去20多年里,该区域的应力状态是稳定 的.利用实测应力数据计算得到的μm范围为0.39~0.56, 接近于Byerlee定律所定义的μ=0.6的下限值,这一范围可能反应了该区域的上地壳应力积累水平和可能的断层强度;而且该范围与龙门山断裂带震后断层泥稳态摩擦系数的范围完全吻合,芦山地震事件说明震前研究区的地壳应处于摩擦极限平衡或者亚平衡状态.
(3)芦山地震的震源机制解反应的应力状态为逆冲断层,主压应力轴方向为122°,与该区域的应力测试数据所反应的应力状态一致.通过与他人的研究成果对比分析可知,芦山地震可看作汶川地震对龙门山断裂带南段区域断层的加载而诱发产生的一次地震.
关于芦山地震考察研究才刚刚开始,有关芦山地震的很多问题都没有得到公认的答案,例如芦山地震发震断层到底为哪条?发震断层的摩擦强度为多少?这些问题仍需要后续通过深入的工作给予确切解答.但是本文研究可为后续的研究提供丰富的原地应力测试数据,也从上地壳应力积累角度为人们认识该次地震提供了部分解答.
致 谢 本文在收集资料过程中得到了地壳应力研究所张世民研究员和任俊杰副研究员的大力支持,并与作者开展了积极而有益地讨论,在此对他们的热忱帮助表示衷心的感谢;同时对三位匿名审稿专家给予的中肯意见及建议表示由衷的感谢.| [1] | Amadei B,Stephansson O. 1997. Rock Stress and Its Measurement. London: Chapman & Hall. |
| [2] | Anderson E M. 1951. The Dynamics of Faulting and Dyke Formation with Applications to Britain. Edinburgh: Oliver and Boyd. |
| [3] | Byerlee J D. 1978. Friction of rock. Pure and Applied Geophysics, 116: 615-626. |
| [4] | Chang C D, Lee B J, Kang T-S. 2010. Interaction between regional stress state and faults: Complementary analysis of borehole in situ stress and earthquake focal mechanism in southeastern Korea. Tectonophysics, 485: 164-177. |
| [5] | Chen Y. 1988. Mechanical Properties of Rocks in the Crust- Theoretical Basics and Experimental Methods (in Chinese). Beijing: Seismological Press. |
| [6] | Colletini C, Sibson R H. 2001. Normal fault, normal friction? Geology,29:927-930. |
| [7] | Diao G L, Xu X W, Chen Y G, et al. 2011. The precursory significance of tectonic stress field transformation before the Wenchuan M7.9 Earthquake and the Chi-Chi Mw7.6 Earthquake. Chinese J. Geophys. (in Chinese), 54(1):128-136. |
| [8] | Fang L H, Wu J P, Wang W L, et al. 2013. Relocation of mainshock and aftershock sequences of Ms7.0 Sichuan Lushan earthquake. Chin Sci Bull, 58, doi:10.1007/sl1434-013-6000-2. |
| [9] | Guo Q L, Wang C H, Ma H S, et al. 2009. In-situ hydro-fracture stress measurement before and after the Wenchuan Ms8.0 earthquake of China. Chinese J. Geophys. (in Chinese), 52(5):1395-1401, Doi:10.3969/j.issn.0001-5733.2009.05.029. |
| [10] | Haimson B,Cornet F. 2003. ISRM suggested methods for rock stress estimation-Part 3: hydraulic fracturing (HF) and/or hydraulic testing of pre-existing fractures (HTPF). International Journal of Rock Mechanics & Mining Sciences, 40(7-8): 1011-1020. |
| [11] | Heidbach O, Tingay M, Barth A, et al. 2008. The release 2008 of the World Stress Map. www.world-stress-map.org[2013-02-23]. |
| [12] | Hickman T, Zoback M D. 2004. Stress orientations and magnitudes in the SAFOD pilot hole. Geophys Res Lett. 31. L15S12, doi:10.1029/2004GL020043 |
| [13] | Jamison D, Cook N G W. 1980. Note on measured values for the state of stress in the earth′s crust. Journal of Geophysical Research,85(B4):1833-1838. |
| [14] | Liao C T, Zhang C S, Wu M L, et al. 2003. Stress change near the Kunlun fault before and after the Ms8.1 Kunlun earthquake. Geophysical Research Letters, 30(20): 2027-2030. |
| [15] | Morrow C A, Moore D E, Lockner D A. 2000. The effect of mineral bond strength an absorbed water on fault gouge frictional strength. Geophysical Research Letter, 27: 815-819. |
| [16] | Parsons T, Ji C, Kirby E. 2008. Stress changes from the 2008 Wenchuan earthquake and increased hazard in the Sichuan basin. Nature,454 (7203): 509-510. doi:10.1038/nature07177. |
| [17] | Paterson M S, Wong T-F. 2005. Experimental Rock Deformation-The Brittle Field. Berlin: Springer. |
| [18] | Reasenberg P A, Simpson R W. 1992. Response of regional seismicity to the static stress change produced by the Loma Prieta earthquake. Science, 255, 1687-1690. |
| [19] | Rice J R. 1992. Fault stress state, pore pressure distributions, and the weakness of the San Andreas Fault. //In:Evans B, Wong T F eds. Earthquake Mechanics and Transport Properties of Rock. Academic Press, London: 475-503. |
| [20] | Scholz C H. 2002. The Mechanics of Earthquakes and Faulting. Cambridge: Cambridge University Press. |
| [21] | TanakaY, Fujimori K, Otsuka S. 1998. In-situ stress measurement and prediction of great earthquake. Earthquake (in Japanese), 50(2):201-208. |
| [22] | Tang R S, Han W B. 1993. Active Faults and Earthquakes in Sichuan Province(in Chinese). Beijing: Seismological Press. |
| [23] | Townend J, Zoback M D. 2000. How faulting keeps the crust strong. Geology, 28(5):399-402. |
| [24] | Verberne B A, He C R, Spiers C J. 2010. Frictional properties of sedimentary rocks and natural fault gouge from the Longmen Shan fault zone, Sichuan, China. Bulletin of the Seismological Society of America, 100: 2767-2790. |
| [25] | Xie F R, Chen Q C, Cui X F, et al. 2007.Fundamental database of crustal stress environment in continental China. Progress in Geophysics (in Chinese),22(1): 131-136. |
| [26] | Xu L S, Wang L S, Sun Z Y, et al. 2003. In-situ stress measurement in rock mass of Erlang Mountain highway tunnel. Chinese Journal of Rock Mechanics and Engineering (in Chinese), 22(4):611-614. |
| [27] | Xu Z H. A present-day tectonic stress map for Eastern Asia region.. Acta Seismologica Sinica (in Chinese), 2001,23(5):492-501. |
| [28] | Wang C X. 1998. The measure of ground stress in road tunnel axis of Erlang Mountain. Coal Geology & Exploration(in Chinese), 26(Suppl.1):43-45. |
| [29] | Wang W M, Hao J L, Yao Z X. 2013. Preliminary result for rupture of Apr. 20, 2013, Lushan Earthquake, Sichuan, China. Chinese J. Geophys. (in Chinese), 56(4):1412-1417, doi: 10.6038/cjg20130436. |
| [30] | Wang H, Liu M, Shen X, et al. 2010. Balance of seismic moment in the Songpan-Ganze region, eastern Tibet: Implications for the 2008 Great Wenchuan earthquake. Tectonophysics, 491(1-4): 154-164. doi: 10.1016/j.tecto.2009.09.022. |
| [31] | Wibberly C A J, Shimamoto T. 2005. Earthquake slip weakening and asperities explained by thermal pressurization. Nature,436: 689-692. |
| [32] | Wiemer S, Wyss M. 2000. Minimum magnitude of completeness in earthquake catalogs: examples from Alaska, the western United States and Japan. Bull Seismol Soc Am, 90: 859-869. |
| [33] | Wyss M,Matsumura S. 2002. Most likely location of large earthquakes in the Kanto and Tokai areas, Japan, based on the local recurrence times. Physics of the Earth and Planetary Interiors, 131:173-184. |
| [34] | Wyss M, Schorlemmer D, Wiemer S. 2000. Mapping asperities by minima of local recurrence time: San Jacinto-Elsinore fault zones. J. Geophys Res,105(B4): 7829-7844. |
| [35] | Wu M L, Zhang Y Q, Liao C T, et al. 2010. Preliminary results of in situ stress measurements along the Longmenshan fault zone after the Wenchuan Ms8.0 earthquake. Acta Geologica Sinica (in Chinese), 84(9):1292-1299. |
| [36] | Zang A,Stephansson O. 2010. Stress Field of the Earth′s Crust. London & New York: Springer. |
| [37] | Zhang L,He C. 2013. Frictional properties of natural gouges from Longmenshan fault zone ruptured during the Wenchuan Mw7.9 earthquake. Tectonophysics, 594(5):149-164. |
| [38] | Zhang P Z, Wen X Z,Xu X W,et al. 2009. Tectonic model for the great Wenchuan Earthquake of May 12, 2008, Sichuan, China (in Chinese). Chinese Sci Bull(in Chinese), 54 (7):944-953. |
| [39] | Zoback M D. 2007. Reservoir Geomechanics. New York:Cambridge University Press. |
| [40] | Zoback M L. 1992. First-and second-order patterns of stress in the lithosphere: The world stress map project. J. Geophys. Res., 97(138):11703-11728. |
| [41] | Zoback M D, Apel R, Baumg?rtner J. et al. 1993. Upper-crustal strength inferred from stress measurements to 6 km depth in the KTB borehole. Nature, 365: 633-635. |
| [42] | Zoback M D, Healy J H. 1984. Friction, faulting and in situ stress. Ann Geophys, 2:689-698. |
| [43] | Zoback M D, Townend J, Grollimund B. 2002. Steady- state failure equilibrium and deformation of intraplate lithosphere. International Geology Review, 44: 383-401. |
| [44] | Zoback M D, Zoback M L, Mount V S. et al. 1987. New evidence on the state of stress of the San Andreas Fault system. Science, 238: 1105-1111. |
| [45] | 陈颙. 1988. 地壳岩石的力学性能-理论基础与实验方法. 北京:地震出版社. |
| [46] | 刁桂苓,徐锡伟,陈于高等. 2011. 汶川Mw7. 9和集集Mw7.6地震前应力场转换现象及其可能的前兆意义. 地球物理学报,54 (1):128-136. |
| [47] | 郭啟良, 王成虎, 马洪生等. 2009. 汶川Ms8. 0级大震前后的水压致裂原地应力测量. 地球物理学报, 52(5):1395-1401. |
| [48] | 唐荣昌,韩渭宾主编. 1993. 四川活动断裂与地震. 北京:地震出版社. |
| [49] | 田中丰,藤森邦夫,大塚成昭. 1998. 地壳应力歪の测定观测による大地震发生の预测. 地震, 50(2): 201-208. |
| [50] | 王成绪. 1998. 二郎山公路隧道轴线地应力测试研究. 煤田地质与勘探, 26(Supp.1): 43-45. |
| [51] | 王卫民, 郝金来,姚振兴. 2013. 2013年4月20日四川芦山地震震源破裂过程反演初步结果. 地球物理学报, 56(4):1412-1417, doi: 10.6038/cjg20130436. |
| [52] | 吴满路,张岳桥,廖椿庭等. 2010. 汶川地震后沿龙门山裂断带原地应力测量初步结果. 地质学报, 84(9):1292-1299. |
| [53] | 谢富仁,陈群策,崔效锋等. 2007. 中国大陆地壳应力环境基础数据库. 地球物理学进展,22(1):131-136. |
| [54] | 徐林生, 王兰生, 孙宗远等. 2003. 二郎山公路隧道地应力测试研究. 岩石力学与工程学报, 22(4):611-614. |
| [55] | 许忠淮.2001. 东亚地区现今构造应力图的编制. 地震学报, 23(5):492-501. |
| [56] | 张培震,闻学泽,徐锡伟等.2009. 2008年汶川8. 0级特大地震孕育和发生的多单元组合模式, 科学通报,54(7):944-953. |
2014, Vol. 57



表示最小应力水平方向指向读者,X表示其方向背向读者.T、P、B-震源机制解中的T、P和B轴.






