地球物理学报  2013, Vol. 56 Issue (6): 2123-2132   PDF    
海水物性对地震反射系数的相对贡献
董崇志1 , 宋海斌2 , 王东晓3 , 黄兴辉2 , 拜阳2     
1. 国家海洋局第二海洋研究所国家海洋局海底科学重点实验室, 杭州 310012;
2. 中国科学院地质与地球物理研究所中国科学院油气资源研究重点实验室, 北京 100029;
3. 中国科学院南海海洋研究所中国科学院热带海洋环境动力学重点实验室, 广州 510301
摘要: 地震剖面与海水物性之间的关系是地震海洋学亟待研究的关键问题之一.本文选取地中海涡旋、各大洋不同纬度和南海东北部不同月份的三组CTD资料, 按海域、季节和深度对法向相对贡献进行计算和分析, 并从地中海涡旋CTD资料中选取典型温盐界面进行非法向相对贡献的研究.结果表明声速和温度的平均法向相对贡献随着海域、季节和深度呈相似性变化, 其变化范围主要由相邻海水团之间的物性差异决定, 分别为78%~94%和74%~98%.声速和温度(密度和盐度)的非法向相对贡献随着入射角的增加而增大(减小).用于反演的叠前地震数据应尽量包含较宽入射角范围的道集, 特别是对于相对贡献较小的密度和盐度, 包含小入射角的地震道对提高反演结果的精度尤为重要.通过对比地中海涡旋的Turner角剖面和相对贡献结果, 发现Turner角对相对贡献具有很好的指示作用, 其密度和盐度相对贡献较大的区域对应于Turner角为-45°的双稳定区域与扩散对流区域的边界附近, 在此区域的密度比为零或较小.南北极附近海域的密度比较小, 从而导致高纬度站位出现声速和温度相对贡献偏小的现象.南海东北部冬季表层海水的温度和声速相对贡献偏大则可能是由于黑潮侵入导致海水层温度差异及密度比变大引起.
关键词: 地震海洋学      相对贡献      南海      地中海涡旋     
Relative contribution of seawater physical property to seismic reflection coefficient
DONG Chong-Zhi1, SONG Hai-Bin2, WANG Dong-Xiao3, HUANG Xing-Hui2, BAI Yang2     
1. Key laboratory of Submarine Geosciences, Second institute of Oceanography, Hangzhou 310012, China;
2. Key Laboratory of Petroleum Resources Research, Institute of Geology and Geophysics, Chinese Academy of Sciences, Beijing 100029, China;
3. LED, South China sea Institute of Oceanology, Chinese Academy of Sciences, Guangzhou 510301, China
Abstract: The relation between seismic profile and seawater physical property is one of the key problems urgent to be studied in seismic oceanography. This paper choose three groups of CTD data, including the section of Meddy, ten stations at different latitudes of the oceans, monthly data in the northeastern South China Sea, to study the normal and non-normal relative contribution according to the sea area, season and depth of water. The results show that the average normal relative contributions of sound speed and temperature similarly vary with sea area, season and water depth in a range of 78%~94% and 74%~98% respectively, mainly determined by the physical differences between adjacent water masses. The non-normal relative contributions of sound speed and temperature are enhanced with the increasing incidence angle, but the relative contributions of density and salinity are opposite. The prestack seismic data for inversion should contain gathers with a wide range of incidence angles. It is especially important to contain seismic traces with small incidence angle to improve the accuracy of density and salinity inversion which have smaller relative contribution. Through comparing the relative contribution of Meddy with the Turner angle section, it is found that Turner angle has an excellent indicative function to relative contribution. The zone, where the relative contributions of density and salinity are larger, well corresponds to the boundary between double stable region and diffusive region, where Turner angle is about -45°. The density ratios are relatively small at high latitude stations which result in small relative contribution of sound speed and temperature. The relative contributions of sound speed and temperature are slightly larger in the surface seawater in the northeastern South China Sea. This may be caused by temperature difference and density ratio increasing due to the Kuroshio intrusion..
Key words: Seismic oceanography      Relative contribution      South China Sea      Meddy     
1 引言

在海洋反射地震勘探中,声波通常由气枪激发,然后相继在海水和海底介质中向下传播,遇到波阻抗突变界面时,发生反射和折射,最终被位于海表面的水听器所接收.常规地震勘探以研究海洋地质构造为目的,认为海底以上的反射波信号是噪声,在数据处理过程中通常对其进行压制或剔除.Holbrook等[1]却发现这段时间的信号携带了关于海水性质的大量有用信息,利用常规的地震数据分析方法对其进行处理,获得了高分辨率的海水层地震剖面,结合物理海洋学认识,合理地解释了地震剖面所反映的海水中小尺度结构和动力学过程.该方法被称为地震海洋学(Seismic Oceanography),它具有传统海水温盐深调查手段(如投弃式温深剖面仪XBT、温盐深剖面仪CTD和投弃式温盐深剖面仪XCTD等)所无法比拟的优势,特别是其水平分辨率是后者的百倍以上.其独特优势吸引了美国、加拿大、欧盟、日本、中国等国家和地区的众多科学家投入到这门新兴学科的相关研究中.目前为止,虽然已经在获取不同海洋环境的水体细结构地震图像(如海洋锋[1-5]、涡旋[6-10]、内波[11-14]、温盐阶梯[15-16]等)和定量估算物理海洋学参数(如温度[17-18]、声速[17-18]、内波能级[11-13]、湍流耗散率[19]等)两方面取得了重要进展,但还存在一系列亟待研究的关键问题.本文研究的海水物性(声速和密度,温度和盐度)与地震剖面的关系便是其中之一.

经过保幅处理的叠前或叠后地震剖面的振幅反映了海水层反射系数的大小.在海水介质中,地震反射系数是相邻海水层波阻抗(声速和密度的乘积)的函数,通过海水状态方程[20-21],可以与温度、盐度和压力建立关系.Ruddick等[22]首次利用估算海水物性对法向反射系数的相对贡献(简称法向相对贡献)的方法,定量地分析了反射系数与海水物性的关系,获得了特定温度和盐度的法向相对贡献,并指出其与密度比有关.Sallares等[23]利用海水状态方程构建了反射系数与海水物性的表达式,在此基础上对GO (Geophysics Oceanography)项目在Gadiz湾采集的GOLR12温盐剖面进行分析,获得了地中海涡旋处海水声速和密度、温度和盐度的平均法向相对贡献.上述研究为认识海水物性和地震剖面的关系提供了定量化方法,但仅对特定海域的温盐深资料进行了分析,未考虑温盐资料的时空变化特征对法向相对贡献的影响.本文将选取地中海涡旋、各大洋不同纬度和南海东北部不同月份的三组CTD资料进行研究,系统地分析海域、季节和深度对法向相对贡献的影响以及海水物性对非法向反射系数的相对贡献(简称非法向相对贡献)与入射角的关系,进而揭示相对贡献的变化范围和相似性,并探讨Turner角对相对贡献的指示作用.

2 基本原理

完整的Zoeppritz方程全面考虑了地震波入射在平界面两侧产生的纵、横波反射系数和透射系数与声速、密度以及入射角之间的关系[24].由于海水属于流体介质,其中没有横波传播,Zoeppritz方程可以进行较大简化,反射系数R可表示为

(1)

其中,v1v2ρ1ρ2分别代表上、下海水层的声速和密度,i为入射角,θ为出射角(图 1).入射角和出射角之间的关系由Snell定律决定,即入射角与出射角的正弦比等于上、下两层介质的声速比.

图 1 海水中声波反射和折射示意图 Fig. 1 Schematic diagram of acoustic wave reflection and refraction in the seawater

公式(1)显示反射系数与声速和密度之间具有较强的非线性关系.为了便于分析,可以对其进行线性简化,当相邻两层介质的物性参数差异较小,即Δv/v、Δρ/ρ和其它值相比均为小值,流体介质的Zoeppritz方程可近似表达为[25]

(2)

对于海水介质,v=(v1 +v2)/2和ρ=(ρ1 + ρ2)/2分别代表相邻海水层的平均声速和平均密度,Δv=v2-v1和Δρ=ρ2-ρ1分别为相邻海水层的声速差异和密度差异.由公式(2)可知,反射系数主要与入射角、声速和密度有关,并且可近似为入射角正割平方的线性函数.更重要的是,声速和密度参数分别包含在线性简化公式的斜率和截距中,便于分析不同物性对反射系数的影响.

令:

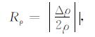
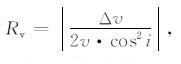
(3)

(4)

(5)

其中,Rρ为式(2)第一项的绝对值,代表了密度对反射系数的贡献;Rv为式(2)第二项的绝对值,代表了声速对反射系数的贡献,其值随着入射角增加而增大.声速和密度对反射系数的相对贡献分别由Rv/RaRρ/Ra进行估计.

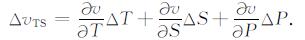
海水声速和密度是温度、盐度和压力的函数,其全微分表达式代表了声速差异和密度差异与温度差异、盐度差异和压力差异的关系.

(6)

(7)

式中,ΔT=T2 -T1、ΔS=S2 -S1和ΔP=P2 -P1分别为相邻海水层的温度差异、盐度差异和压力差异,T1T2S1S2P1P2分别为相邻海水层的温度、盐度和压力,∂v/∂T、∂v/∂S、∂v/∂P、∂ρ/∂T、∂ρ/∂S和∂ρ/∂P分别为海水声速和密度对温度、盐度和压力的偏导数.

式(6)和(7)代入式(2),可得

(8)

RρRv的定义类似,令RTRSRP分别为上式中第一、第二和第三项的绝对值,他们分别代表了温度、盐度和压力对反射系数的贡献.令RaRTRSRP三项之和,则温度、盐度和压力的相对贡献可分别由比值RT/RaRS/RaRP/Ra计算.

3 海水声速和密度变化特征

虽然声速和密度随着压力(或深度)的增加而增大,但由于邻近海水层界面的压力近似相等,压力差异引起的波阻抗变化可以忽略不计.因此,下文将不考虑压力对反射系数的影响,仅探讨声速和密度、温度和盐度两组物性参数对反射系数的相对贡献.

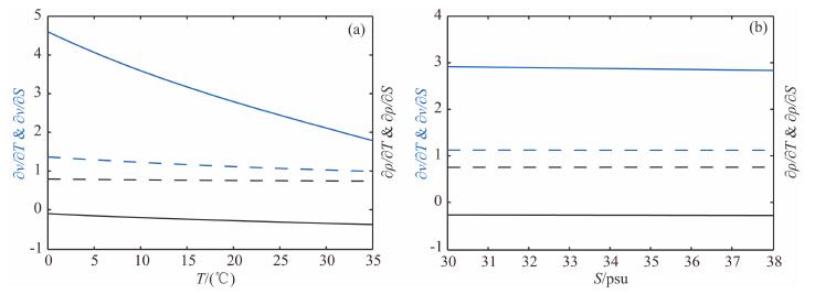
由公式(8)可见,声速和密度对温度和盐度的变化率∂v/∂T、∂v/∂S、∂ρ/∂T和∂ρ/∂S决定了温度、盐度对反射系数的贡献权重.图 2a是盐度为35psu、压力为1800dbar时的声速和密度对随温度、盐度的变化率;图 2b是温度为19 ℃、压力为1800dbar时的声速和密度随温度、盐度的变化率;图 2c是温度为19 ℃、盐度为35psu时的声速和密度随温度、盐度的变化率;由图可见,声速对温度的变化率最大,对盐度的变化率次之.温度每增加1 ℃,声速约增大2~4.5m/s,其变化率随着温度的增加而减小;盐度每增加1psu,声速增大约1.14 m/s.密度对温度的变化率为负,温度每增加1℃,密度约减小0.25kg/m3;对盐度的变化率最大,盐度每增加1psu,密度约增加0.73kg/m3.

图 2v/∂T、∂v/∂S、∂ρ/∂T、∂ρ/∂S与(a)温度、(b)盐度的关系 单位分别为m/(s·℃)、m/(s·psu)、kg/(m3·℃)、kg/(m3·psu),其中蓝色实线和蓝色虚线分别为∂v/∂T和∂v/∂S,黑色实线和黑色虚线分别为∂ρ/∂T和∂ρ/∂S. Fig. 2 Relationships between (a)T, (b)S partial derivatives of sound speed or density and temperature, salinity or pressure. The solid and dash blue lines indicate ∂v/∂T and ∂v/∂S, which unit is m/(s·℃) and m/(s·psu). The solid and dash black lines indicate ∂ρ/∂T and ∂ρ/∂S, which unit is kg/(m3·℃) and kg/(m3·psu).
4 实测资料的相对贡献估算

估算海水实测温盐深资料的声速和密度、温度和盐度对反射系数的相对贡献可分为4个步骤:(1)选取具有代表性的高分辨率温盐深资料作为研究对象.为了分析海域、季节和深度对相对贡献的影响,笔者选取地中海涡旋、各大洋不同纬度和南海东北部不同月份的三组CTD资料进行研究.低频海洋反射地震勘探一般可分辨厚度大于5m的海水层,其垂向分辨率往往小于高分辨率的温盐深资料(采样间隔小于1 m).为了与地震勘探分辨率相匹配,利用三次样条插值方法对温盐深资料进行重采样,间隔为5m;(2)利用国际海水状态方程(EOS80)估算海水温盐深资料对应的声速和密度及其对温度、盐度的偏导数值;(3)将声速和密度结果代入公式(3)、(4)和(5),并计算声速和密度对反射系数的相对贡献值Rv/RaRρ/Ra;(4)将声速、密度及其对温度、盐度和压力的偏导数值代入公式(8),计算公式右边前两项的绝对值并计算温度和盐度对反射系数的相对贡献RT/RaRS/Ra.

第2节所述表明相对贡献不仅与海水温盐结构有关,还随着入射角而变化.为了便于分析,下文分法向(入射角为零)相对贡献和非法向(入射角大于零)相对贡献进行讨论,分别对应海水物性与叠后地震剖面和叠前地震剖面的关系.

4.1 法向相对贡献 4.1.1 地中海涡旋“Sharon”

为了与Sallares等[23]的相对贡献结果进行对比,选取另一个典型的地中海涡旋“Sharon”进行研究.该涡旋经过长达两年的浮标追踪调查、4次CTD及流速剖面调查和1次微结构剖面调查,详细地刻画了涡旋的发展和消亡的全过程[26].笔者对第1次调查的13个站位CTD资料进行处理,采用基于三角形的三次方程插值方法对其进行重采样,网格大小为5m×5m.从图 3可以看出涡旋核部的温度、盐度和声速在深度方向上变化较平稳,而在涡旋上边界和下边界的变化较为剧烈.涡旋的密度剖面显示出与温度、盐度和声速的不同变化特征,其值一直随着深度近似连续增加.

图 3 地中海涡旋“Sharon”的温度(a)、盐度(b)、声速(c)和密度(d)剖面 CTD调查主要集中在涡旋所处水深,在白色区域未进行温盐深测量,其中横坐标为测点与涡旋中心的距离 Fig. 3 Temperature, salinity, sound speed and density images of Meddy ‘Sharon’ The CTD survey focused on the water depth of meddy, where the hydrographic data is not acquired in the white areas. The horizontal coordinate indicates the distance to the center of Meddy ‘Sharon’.

涡旋“Sharon”剖面的声速和密度、温度和盐度的法向相对贡献结果如图 4所示.总体上,声速的法向相对贡献大于密度的法向相对贡献,温度的法向相对贡献大于盐度的法向相对贡献.声速和密度的平均法向相对贡献分别为91%和9%,其标准差均为12%.温度和盐度的平均法向相对贡献分别为82%和18%,其标准差均为19%.值得注意的是,在剖面少数区域盐度和密度分别对法向反射系数起主要贡献,特别是在600、820m和1200m水深处,其法向相对贡献均可达90%.

图 4 声速(a)、密度(b)、温度(c)和盐度(d)对法向反射系数的相对贡献 Fig. 4 2-D maps representing the percentage of the relative contribution of (a) sound speed, (b) density, (c) temperatureand (d) salinity to the normal reflectivity of the water column of Meddy 'Sharon'
4.1.2 各大洋不同纬度海域

为了研究其他海域的法向相对贡献特征,从WOCE数据集中选取全球不同海域共10个站位的CTD资料,估算声速和温度的法向相对贡献在水深2000m以浅的平均值.表 1为CTD站位的位置,其中PB、PE和PS分别位于太平洋的中北纬、赤道和中南纬,AN、AE和AS分别位于大西洋的中北纬、赤道和中南纬,IE和IS分别位于印度洋的赤道和中南纬,Ar和An分别位于北冰洋和南大洋.图 5为声速和温度的平均法向相对贡献结果.由图可见,10个站位的声速和温度平均法向相对贡献分别大于81%和74%.该结果与地中海涡旋“Sharon”的法向相对贡献特征相似,所有站位均表明声速和温度对法向反射系数的平均贡献占主要部分.特别是对于高纬度海域,虽然表层海水的温度和声速较低,其在深度方向的变化幅度较低纬度小,但这两者的平均相对贡献仍然大于盐度和密度的平均相对贡献.另外,10个站位的声速平均相对贡献均大于温度平均相对贡献,并且两者随站位的变化趋势较为相似,除了PB-PS-AN段,在温度法向相对贡献较高(或较低)的站位,声速的法向相对贡献也较高(较低).

表 1 CTD站位位置 Table 1 The location of CTD station
图 5 不同海域的Rv/RaRT/Ra值分布 Fig. 5 The distribution of Rv/Ra and RT/Ra in different oceanic regions
4.1.3 南海东北部逐月CTD站位

法向相对贡献不仅受海域的影响,还可能与季节和深度有关.为此,从WOCE数据集中选取南海东北部附近海域(120°E,20°N)不同月份的12个站位CTD资料进行相对贡献研究.图 6是水深范围分别为0~200m、201~400m、401~600m、601~800m和801~1000m的声速和温度平均法向相对贡献随月份的变化曲线.由图可见,相同深度范围的声速和温度法向相对贡献随月份的变化趋势比较相似.与其它深度相比,水深0~200 m的声速和温度的平均法向相对贡献具有明显的季节性变化特征,在春季较小,夏季最大,秋季最小,冬季较大.该深度范围每个月份的声速平均法向相对贡献均比其它深度小;除了4~7月,温度的平均法向相对贡献也比其它深度小.

图 6 南海东北部不同深度的Rv/RaRT/Ra随月份的分布 Fig. 6 The monthly distribution of Rv/Ra and RT/Raat different depths in the Northeast South China Sea
4.2 非法向相对贡献

为了研究相对贡献与入射角的关系,选取地中海涡旋“Sharon”的第1个站位CTD资料在705 m处的温盐界面进行非法向相对贡献研究.临近该界面的上海水层的温度和盐度分别为11.634 ℃和35.947psu,下海水层分别为11.689 ℃和35.975psu. 图 7是声速和温度的相对贡献随入射角的变化曲线.由图可见,声速和温度对反射系数的相对贡献随入射角的增加而增大,与之相反,密度和盐度的相对贡献则随入射角增加而减小.为了排除相对贡献在特定温盐界面处的特殊性,选取其它深度的温盐界面进行类似研究.结果表明,无论上、下海水层的温盐参数是同步地增加或减小,还是不同步地变化,海水物性对非法向反射系数的相对贡献均呈现相同的变化趋势.

图 7 Rv/RaRT/Ra随入射角的分布 Fig. 7 The distribution ofRv/Ra and RT/Ra with incidence angle

利用AVO (Amplitude versus offset)或叠前全波形反演方法对叠前保幅地震数据进行处理,地震海洋学能够估计海水的声速和密度结构.通过求解海水状态方程,进一步可以获得温度和盐度结构.除了振幅校正、频带宽度、噪声等影响外,入射角(炮检距)是影响反演精度的另一个重要因素.通过分析上述结果,可以获得两方面认识:一方面,在整个入射角范围(0~90°),声速和温度的相对贡献均分别大于密度和盐度的相对贡献,表明通过反演获得的声速和温度结果的精度分别大于密度和盐度的反演精度.按相对贡献估计,在法向入射时,声速的反演精度约为密度的9倍,温度的反演精度约为盐度的4倍,并且这两种反演精度比值随着入射角增加而增大;另一方面,由于声速和温度在大入射角的相对贡献大于小入射角的相对贡献,而密度和盐度的情况则相反,因此,用于反演的叠前地震数据应尽量包括较宽入射角范围的道集,特别是对于相对贡献较小的密度和盐度,包含小入射角的地震道对提高反演结果的精度尤为重要.

5 讨论 5.1 平均相对贡献范围及相似性

第4节中选取了地中海涡旋“Sharon”、各大洋不同纬度和南海东北部不同月份的三组CTD剖面进行分析,获得了海水物性对法向反射系数的相对贡献及其平均值,结果表明相对贡献随着海域、季节和深度而变化,声速和温度的平均法向相对贡献值范围在78%~94%和74%~98%之间.声速和温度平均法向相对贡献较小的区域主要分布在高纬度海域以及南海东北部200m以浅的海水表层.地中海涡旋“Sharon”剖面的平均法向相对贡献结果与Sallares等[23]关于地中海涡旋GOLR12剖面的结果相似,后者的声速和温度平均法向相对贡献分别为90%和80%.两者结果相似的原因是尽管资料在采集时间和位置等方面有所不同,但地震反射来自于相同水团引起的物性差异界面.由此说明平均法向相对贡献主要由相邻水团之间的物性差异决定,又由于海水水团受海域、季节和深度等因素影响,因而平均法向相对贡献在一定范围内变化.尽管如此,相对于密度和盐度,声速和温度对法向反射系数的贡献在所有站位均占主要贡献.

法向或非法向相对贡献结果均表明声速和密度的相对贡献分别与温度和盐度的相对贡献具有相似性,这与声速和密度随温度和盐度的变化特征有关.由第3节研究可知,声速对温度的变化较为敏感,其对温度的偏导数约为对盐度的偏导数的2~4倍,而密度对盐度的变化较为敏感,其对盐度的偏导数约为对温度的偏导数的3倍.敏感度不同导致温度主要通过声速对反射系数产生贡献,而盐度主要通过密度对反射系数产生贡献.

由公式(2)和公式(8)知,法向反射系数是海水声速和密度、温度和盐度的梯度的耦合函数,又由于叠加(或者偏移)保幅剖面的地震波振幅近似代表了法向反射系数大小,因此,海水地震保幅剖面可近似认为是声速梯度和密度梯度或者温度梯度和盐度梯度的耦合图像[22],而耦合程度由相对贡献决定.总体而言,地震剖面与声速和温度的梯度的相似程度较高.

5.2 相对贡献与Turner角

Turner角(Tu)是区分海水稳定度的实用指标,当-90°<Tu<-45°时,海水倾向于发生扩散对流;当45°<Tu<90°时,海水主要由盐指层结控制,无论是盐指还是扩散对流,海水都处于稳定状态;当|Tu|<45°时,海水处于双稳定状态;当90°<|Tu|<180°,海水处于不稳定状态[27].图 8是地中海涡旋“Sharon”的Turner角计算结果,可见涡旋上边界主要由扩散对流支配,下边界属于盐指层结;而涡旋侧边界为海水的横向侵入区,在这里涡旋内部的高温高盐水和大西洋海水之间在准水平方向上存在着强烈的物质和能量交换.与图 4对比,笔者发现密度和盐度对法向反射系数的相对贡献较大区域分布在Turner角为-45°附近,也就是双稳定区域与扩散对流区域的边界附近.Turner角与密度比具有一一对应关系[27],当Turner角为-45°或附近时,密度比为0或较小,代表该处上下海水层的温度相等或差异较小,从而盐度成为影响反射系数的最主要贡献.由于声速对盐度的变化率是密度对盐度变化率的1.56倍,小于声速和密度对温度的变化率比值(约为10),因此,当温度差为0或较小时,密度对法向相对贡献所占比例将增大.

图 8 涡旋“Sharon”的Turner角分布 Fig. 8 Turner angle image of Meddy 'Sharon'

全球海洋中,密度比较小的海域主要位于南北极附近.一方面,这是由于与低纬度相比,高纬度表层水的温度较低,其与深层海水的温差较小.另一方面,海冰融化在表层形成较淡的海水覆盖在高盐的深水上,致使盐度差异较大.这也正是图 5中AS、IS、Ar和An站位的声速和温度法向相对贡献相对偏小的主要原因.

对于南海东北部海域,夏季的太阳辐射最强,导致表层水温度增高,垂向温差和密度比变大,致使200m以浅海水温度和声速的相对贡献最大.冬季太阳辐射最弱,温度和声速的相对贡献应该最小,但与此相反,图 6显示冬季该深度的海水温度和声速相对贡献较春季和秋季要大.经过分析发现,引起这种现象的原因,可能与高温黑潮海水进入南海的季节性变化有关.已有研究认为黑潮水只有在冬季才大规模通过吕宋海峡进入南海[28-31].虽然黑潮水进入南海并不主要通过浅层输送[32],但浅层黑潮水和表层南海水引起的温度差应较深层所引起的温度差要大,因此,冬季的表层温度和声速的相对贡献表现出偏大的特征.

6 结论

本文选取地中海涡旋、各大洋不同纬度和南海东北部不同月份的三组CTD资料,按海域、季节和深度对法向相对贡献进行计算和分析,并从地中海涡旋CTD资料中选取典型温盐界面进行非法向相对贡献的研究,重点探讨了声速和温度、密度和盐度平均相对贡献的范围和相似性,以及相对贡献与Turner角的关系,获得以下结论:

(1)与海水物性的时空变化特征相似,声速和密度、温度和盐度的相对贡献受海域、季节和深度的影响.但总体而言,声速和温度的贡献分别相对于密度和盐度占主要部分,声速和温度的平均法向相对贡献的范围分别为78%~94%和74%~98%.

(2)声速对温度的变化较为敏感,而密度对盐度的变化较为敏感,从而导致声速和密度的相对贡献分别与温度和盐度的相对贡献具有相似性.

(3)声速和温度的非法向相对贡献随入射角的增加而增大,与之相反,密度和盐度的非法向相对贡献随着入射角的增加而减小.

(4)地中海涡旋密度和盐度相对贡献较大的区域对应于Turner角为-45°的双稳定区域与扩散对流区域的边界附近.该结果表明Turner角对相对贡献具有很好的指示作用,可为认识海水物性的相对贡献提供新的途径.

致谢

感谢加拿大Dalhousie大学Ruddick教授提供地中海涡旋‘Sharon’的CTD资料.感谢匿名评审者提出的详细修改意见,使本文的质量得到了明显提高.

参考文献
[1] Holbrook W S, Paramo P, Pearse S, et al. Thermohaline fine structure in an oceanographic front from seismic reflection profiling. Science , 2003, 301(5634): 821-824. DOI:10.1126/science.1085116
[2] Nandi P, Holbrook W S, Pearse S, et al. Seismic reflection imaging of water mass boundaries in the Norwegian Sea. Geophys. Res. Lett. , 2004, 31(23): L23321. DOI:10.1029/2004GL021325
[3] Tsuji T, Noguchi T, Niino H, et al. Two-dimensional mapping of fine structures in the Kuroshio Current using seismic reflection data. Geophys. Res. Lett. , 2005, 32(14): L14609. DOI:10.1029/2005GL023095
[4] Noguchi T, Niino H, Nakamura Y, et al. Thermohaline interleaving in the Kuroshio Extension Front: Seismic reflection imagery and in situ measurements.In: Eos Trans.. AGU, Ocean Sci. Meet., Suppl., Abstract , 2006, 87(36): OS14I-06.
[5] White N, Koenitz D, Hobbs R. Seismic imaging of the Antarctic Circumpolar Current near Drake Passage. In: Eos Trans. AGU, Ocean Sci. Meet., Suppl., Abstract, 2006, 87(36):OS14I-04. http://adsabs.harvard.edu/abs/2004AGUFMOS21C1263K
[6] Pinheiro L M, Song H B, Ruddick B R, et al. Detailed 2-D imaging of the Mediterranean Outflow and Meddies off W Iberia from multichannel seismic data. In: Eos Trans. AGU, Ocean Sci. Meet., Suppl., Abstract, 2006, 87(36):OS13I-02. http://www.sciencedirect.com/science/article/pii/S0924796309002334
[7] Klaeschen D, Papenberg C, Reston T, et al. Seismic images and properties of a Meddy. In: Eos Trans. AGU, Ocean Sci. Meet., Suppl., Abstract, 2006, 87(36):OS13I-03. http://eprints.uni-kiel.de/436/
[8] Biescas B, Sallares V, Pelegri J L, et al. Imaging meddy finestructure using multichannel seismic reflection data. Geophys. Res. Lett. , 2008, 35(11): L11609. DOI:10.1029/2008GL033971
[9] Pinheiro L M, Song H B, Ruddick B, et al. Detailed 2-D imaging of the Mediterranean outflow and meddies off W iberia from multichannel seismic data. Journal of Marine Systems , 2010, 79(1-2): 89-100. DOI:10.1016/j.jmarsys.2009.07.004
[10] 宋海斌, PinheiroL M, 王东晓, 等. 海洋中尺度涡与内波的地震图像. 地球物理学报 , 2009, 52(11): 2775–2780. Song H B, Pinheiro L M, Wang D X, et al. Seismic images of ocean meso-scale eddies and internal waves. Chinese J. Geophys. (in Chinese) , 2009, 52(11): 2775-2780. DOI:10.3969/j.issn.0001-5733.2009.11.012
[11] Holbrook W S, Fer I. Ocean internal wave spectra inferred from seismic reflection transects. Geophys. Res. Lett. , 2005, 32(15): L15604. DOI:10.1029/2005GL023733
[12] Krahmann G, Brandt P, Klaeschen D, et al. Mid-depth internal wave energy off the Iberian Peninsula estimated from seismic reflection data. J. Geophys. Res. , 2008, 113(C12): C12016. DOI:10.1029/2007JC004678
[13] 董崇志, 宋海斌, 郝天珧, 等. 南海东北部海洋内波的反射地震研究. 地球物理学报 , 2009, 52(8): 2050–2055. Dong C Z, Song H B, Hao T Y, et al. Studying of oceanic internal wave spectra in the Northeast South China Sea from seismic reflections. Chinese J. Geophys. (in Chinese) , 2009, 52(8): 2050-2055. DOI:10.3969/j.issn.00015733.2009.08.013
[14] 宋海斌, 拜阳, 董崇志, 等. 南海东北部内波特征--经验模态分解方法应用初探. 地球物理学报 , 2010, 53(2): 393–400. Song H B, Bai Y, Dong C Z, et al. A preliminary study of application of Empirical Mode Decomposition method in understanding the features of internal waves in the northeastern South China Sea. Chinese J. Geophys. (in Chinese) , 2010, 53(2): 393-400. DOI:10.3969/j.issn.0001-5733.2010.02.001
[15] Fer I, Nandi P, Holbrook W S, et al. Seismic imaging of a thermohaline staircase in the western tropical Atlantic. Ocean Science , 2010, 6(3): 621-631. DOI:10.5194/os-6-621-2010
[16] Ambar I, Bezerra R, Pinheiro L M, et al. Thermohaline staircases viewed by contemporaneous seismic imaging. 1st ESF. Exploratory Workshop on Seismic Oceanography. November, 19-21, 2008. Begur, Girona (Spain) http://www.cmima.csic.es/files/sow/IAmbar.pdf, 2008..
[17] Páramo P, Holbrook W S. Temperature contrasts in the water column inferred from amplitude-versus-offset analysis of acoustic reflections. Geophys. Res. Lett. , 2005, 32(24): L24611. DOI:10.1029/2005GL024533
[18] Wood W T, Holbrook W S, Sen M K, et al. Full waveform inversion of reflection seismic data for ocean temperature profiles. Geophys. Res. Lett. , 2008, 35(4): L04608. DOI:10.1029/2007GL032359
[19] Sheen K L, White N J, Hobbs R W. Estimating mixing rates from seismic images of oceanic structure. Geophys. Res. Lett. , 2009, 36(24): L00D04. DOI:10.1029/2009GL040106
[20] Millero F J, Chen C T, Bradshaw A, et al. A new high pressure equation of state for seawater. Deep Sea Res. , 1980, 27(3-4): 255-264. DOI:10.1016/0198-0149(80)90016-3
[21] Fofonoff N P, Millard R C Jr. Algorithms for Computation of Fundamental Properties of Seawater. Greenberg: Unesco Tech. Pap. in Mar. Sci., 1983 .
[22] Ruddick B, Song H B, Dong C Z, et al. Water column seismic images as maps of of temperature gradient. Oceanography , 2009, 22(1): 192-205. DOI:10.5670/oceanog
[23] Sallarès V, Biescas B, Buffett G, et al. Relative contribution of temperature and salinity to ocean acoustic reflectivity. Geophys. Res. Lett. , 2009, 36(24): L00D06. DOI:10.1029/2009GL040187
[24] 殷八斤, 曾灏, 杨在岩. AVO技术的理论与实践. 北京: 石油工业出版社, 1995 . Yin B J, Zeng H, Yang Z Y. Theory and Practice of AVO Technology (in Chinese). Beijing: Petroleum Industry Press, 1995 .
[25] Aki K, Richards P G. Quantitative Seismology-Theory and Methods. San Francisco: W. H. Freeman and Co., 1980 .
[26] Armi L, Hebert D, Oakey N, et al. Two years in the life of a Mediterranean salt lens. J. Phys. Oceanogr. , 1989, 19(3): 354-370. DOI:10.1175/1520-0485(1989)019<0354:TYITLO>2.0.CO;2
[27] Ruddick B. A practical indicator of the stability of the water column to double-diffusive activity. Deep Sea Res. , 1983, 30(10): 1105-1107. DOI:10.1016/0198-0149(83)90063-8
[28] Su J L. Overview of the South China Sea circulation and its influence on the coastal physical oceanography outside the Pearl River Estuary. Continental Shelf Research , 2004, 24(16): 1745-1760. DOI:10.1016/j.csr.2004.06.005
[29] Liu Q Y, Kaneko A, Su J L. Recent progress in studies of the South China Sea Circulation. J. Oceanogr. , 2008, 64(5): 753-762. DOI:10.1007/s10872-008-0063-8
[30] 胡筱敏, 熊学军, 乔方利, 等. 利用漂流浮标资料对黑潮及其邻近海域表层流场及其季节分布特征的分析研究. 海洋学报 , 2008, 30(6): 1–16. Hu X M, Xiong X J, Qiao F L, et al. Surface current field and seasonal variability in the Kuroshio and adjacent regions derived from satellite-tracked drifter data. Acta Oceanologica Sinica (in Chinese) , 2008, 30(6): 1-16.
[31] 鲍献文, 鞠霞, 吴德星. 吕宋海峡120°E断面水交换特征. 中国海洋大学学报(自然科学版) , 2009, 39(1): 1–6, 76. Bao X W, Ju X, Wu D X. Characteristics of water exchange across 120oE Section in the Luzon Strait Period. Ocean Univ. China (in Chinese) , 2009, 39(1): 1-6, 76.
[32] Tian J W, Yang Q X, Zhao W. Enhanced diapycnal mixing in the South China Sea. J. Phys. Oceanogr. , 2009, 39(12): 3191-3203. DOI:10.1175/2009JPO3899.1