地球物理学报  2013, Vol. 56 Issue (5): 1726-1733   PDF    
超声激励低渗煤层甲烷增透机理
肖晓春1 , 潘一山1 , 吕祥锋3 , 杨新乐1,2     
1. 辽宁工程技术大学力学与工程学院, 辽宁阜新 123000;
2. 太原理工大学采矿工艺研究所, 太原 030024;
3. 中国科学院力学研究所, 北京 100190
摘要: 超声激励增透煤层是一种不受甲烷储层地质条件和气源特性限制, 具有普遍应用价值的增采技术.但由于煤岩致密、裂隙发育, 煤岩孔隙度存在多尺度效应, 受储层介质尺度效应影响的增透促吸机理尚不明确.本文通过CT观测实验和渗透率测定实验, 对超声波作用下煤样不同尺度裂隙发展规律进行了分析, 对比测定超声作用煤样渗透率变化规律, 建立了超声增透煤层甲烷渗透率的修正公式.研究结果表明:CT观测实验很好地证明了超声的机械震碎作用; 在声场衰减范围内, 煤体损伤和机械震碎作用明显; 超声波作用后的煤层渗透率有平均135%~169%的提高.研究工作为超声激励增加煤层的渗透率提供了实验基础.
关键词: 超声激励      裂缝      尺度效应      CT      渗透率     
Mechanism of methane permeability enhance through ultrasonic irradiating on low permeable coal seam
XIAO Xiao-Chun1, PAN Yi-Shan1, LV Xiang-Feng3, YANG Xin-Le1,2     
1. Institute of Mechanics and Engineering, Liaoning Technical University, Liaoning Fuxin 123000, China;
2. Mining Technology Institute, Taiyuan University of Technology, Taiyuan 030024, China;
3. Institute of Mechanics, Chinese Academy of Sciences, Beijing 100190, China
Abstract: Ultrasonic irradiation enhancement of coal seam methane is a kind of technology with general applicable value, which is not limited by reservoir geologic conditions and source gas characteristics. However, because of the reservoir densification, there exist scale effects such as matrix pore throat scale and the natural crack dimensions overlap, the reservoir medium permeability enhancement and extraction promotion mechanism is not clear. This article used CT observation experiment and permeability measurement experiment to analyze the rule of fracture development of different scales in coal samples under ultrasonic effect, compared the change of coal sample permeability by ultrasound effect, and established the modified formula of ultrasound enhancement of coal seam methane permeability. Research results show that: CT observation clearly proved the ultrasonic mechanical shattering effect; within the attenuation scope of ultrasound, coal body damage and mechanical shatter effect are obvious; permeability of coal seam increased 135%~169% on average by ultrasonic irradiation. Research work provides experimental basis for increasing the permeability of coal seam by ultrasonic irradiation..
Key words: Ultrasonic irradiation      Fracture      Scale effect      CT      Permeability     
1 引言

煤层气资源是21世纪具有巨大战略意义的“接替能源”,而且是一种“绿色能源”.我国的煤层气储层多属于低渗透储层,储层岩性致密,孔隙和吼道的几何形状、大小、分布及其相互连通关系十分复杂,孔隙存在多尺度效应,致使储层中的煤层气吸附、解吸和渗流规律复杂,运移规律不可预测,工业化开采难以实现,虽然学者们进行了较深入的研究[1-5],但在改善低渗储层渗透性能方面收效甚微.煤层气主要以吸附态赋存煤体中,其产出是一个复杂的吸附/解吸、扩散/渗流过程.对这一过程的储层物理性质和地质环境给予人为干扰和积极导向,便构成了煤储层激励开采技术的主要内容.现有的激励开采措施包括造穴、水力压裂、注气等.上述技术的应用都具有一定的储层局限性,例如,造穴技术适应于内生裂隙发育的中变质阶段煤;水力压裂适用于相对坚硬的裂缝性煤储层;注气开采效果明显,但气源和经济性使其应用范围十分有限.因此找到避免储层地质条件、环境因素和复杂应力状态影响并具有普遍应用价值的煤储层激励开采技术迫在眉睫.

超声激励是一种强化提高煤层气抽采率的激励技术,早在20世纪五、六十年代,美国和前苏联就开始了超声波处理油层的研究工作,研究资料表明,其处理油层有良好的效果.

但是超声波对低渗煤层甲烷增透机理研究成果较少.20世纪90年代,鲜学福教授提出了利用可控功率超声波通过物理激励的办法来提高煤层气抽采率的思想.此后数年内,为了探讨超声波对低渗甲烷储层的增透机理研究,国内众多学者进行了地应力场、温度场、静电场、交变电场、声场作用下不同煤质煤岩吸附甲烷特性和储层渗透特性的研究[6-14].在空化理论基础上,任伟杰等[15]利用实验方法研究了功率超声对煤岩裂隙发育、发展、应力状态的改变以及对煤岩力学性能的影响;从超声波机械效应和热效应的角度,于永江、张春会等[16-17]采用理论和实验研究方法探讨了声场关键参数对煤层增透效果的影响,提出了功率超声损伤-机械震碎-热效应耦合的增透机理.国外Takashi等[18]利用CT观测技术对稳态两相流体中的孔隙裂隙发生、发展进行了初步研究;Kawamura[19]通过CT三维观测对冰层中矿石岩样密度进行了测定;Kawakata等[20]利用CT射线观测了花岗岩单轴和三轴受载过程的裂纹扩展过程.

前人的研究成果较好地证实了超声波可以实现储层甲烷的促吸和增透效果,但对于低渗甲烷储层,由于煤岩致密和孔隙、裂隙的多尺度效应,甲烷解吸、渗流规律必定会受到储层介质孔隙尺度效应的影响,因此,本文采用CT微观实验研究方法对超声波机械效应作用下的低渗煤样不同尺度裂隙发生、发育和发展规律进行研究,以期从微观尺度探寻超声波增透机理;并通过和超声波作用前后低渗煤样渗透率变化规律对比相互印证,建立超声激励低渗煤层甲烷渗透率增透修正公式,为建立超声物理激励低渗储层煤层气运移理论,设计适合现场使用的低渗储层煤层气工业开发超声物理激励技术提供理论依据和实验基础.

2 声场激励影响的低渗煤样裂隙演化显微CT实验 2.1 显微CT实验设备及试样

由于煤的多样性和不均匀性,以及各种研究方法的局限性,研究超声作用下的煤岩裂隙发展规律较困难,已有的微观观测方法包括SEM、NMRI和CT扫描等.潘一山等[21]利用NMRI技术成功实现了煤层中水气运移过程的实验研究;在CT扫描微观实验方面,于艳梅等[22]应用CT技术研究瘦煤在不同温度下孔隙变化特征.国外,Withjack[23]最早在20世纪80年代后期将计算机CT扫描技术应用于地质材料特性研究;随后,许多学者也把CT扫描技术应用到地学的其它领域,在CT测试技术、动态观测和实验方法等方面取得了重大进展[24-28].国内杨更社[29]进行了多种岩土材料的细观破裂损伤CT观测和机制研究;任建喜等[30]在CT观测技术的基础上设计了一套实时加载设备,实现了CT的动态观测,并且初步建立了基于X射线CT技术的岩石应力应变本构关系.以上国内外研究对于把CT技术应用到岩石性质研究领域做了非常重要的贡献.

在前人研究基础上,本文采用太原理工大学采矿工艺研究所的μCT225kVFCB型高精度显微CT系统进行实验研究.该系统主要由微焦点X光机、数字平板探测器、高精度的工作转台及夹具、机座、水平移动机构、采集分析系统等结构部分组成,如图 1所示;其最小焦点为3 μm,焦距4.5 mm,放大倍数为1~400倍,密度分辨率≤0.2%,可分辨0.5 μm的孔隙.煤岩试样采用平顶山十矿戊9-20180采面的褐煤,试样直径为5 mm.

图 1 μCT225kVFCB型显微CT实验系统 Fig. 1 Micro-CT experimental system μCT225kVFCB
2.2 超声激励前后煤试样不同尺度裂隙的变化规律

通过微观实验观测超声波作用后机械效应对煤样裂纹扩展作用的难点在于如何真实地反映声场影响下试样裂纹的发生发展规律.一般可以采取两种方法:一种是将同一煤样进行切剖后对施加声波和未施加声波的煤样进行微观CT扫描,通过所得试样的微观剖面做统计分析;另一种是在CT机上固定好试样后,不再拆装,先用CT扫描后再施加超声波作用,这样就实现了声场影响前后对同一煤样进行裂隙大小、位置的对比分析.由于目前国内的超声波装置和CT微观实验设备相对落后,无法对同一试样进行超声波作用前后的两次扫描,因此,本实验采用第一种方式通过对煤样切割成50 mm×50 mm× 50 mm试件,其中一块煤样经过28 kHz超声波作用30 min后,用研磨的办法磨制成直径为5 mm的试样,另外没有经过超声作用的煤样同样磨制成5 mm的试样,实验方案如表 1所示.

表 1 煤样参数和CT微观实验方案 Table 1 Physical properties of coal samples and CT parameters

试验时,先将试样放置于显微CT扫描的转台上进行微观扫描,CT扫描试验条件为:电流75 μA,电压60 kV,投影幅数400,叠加帧频1 fps,纵向切割2000层.从微观实验结果中选取200、400、600、800、1000、1200、1400、1600层X-Y剖面进行分析,实验结果如图 2-图 5所示.

图 2 1#煤样CT扫描裂隙扩展结果 Fig. 2 CT scan results of 1# Coal
图 3 2#煤样CT扫描裂隙扩展结果 Fig. 3 CT scan results of 2# Coal
图 4 3#煤样CT扫描裂隙扩展结果 Fig. 4 CT scan results of 3# Coal
图 5 4#煤样CT扫描裂隙扩展结果 Fig. 5 CT scan results of 4# Coal
2.3 显微CT实验结果分析

由实验结果可以看出,无超声波激励作用时,煤样裂隙条数较少,由图 2图 4观察发现约为1~3条;裂隙长度较短,单条裂隙最长约2.5 mm;根据放大倍数,单条裂隙宽度约在0.89~1.3 μm之间,且裂隙间隔较大,贯通裂隙很少,裂隙多位于所在剖面的边缘处,在该剖面上不能形成连续贯通裂隙通道.由图 3图 5观察发现,对应剖面内的裂隙由剖面边缘逐渐向剖面内部扩展;裂隙数目逐渐增多,裂隙数目多为5~10条左右;单条裂隙长度较长,最大裂隙长度超过试件周长的一半,约在7.5~8.5 mm左右;根据放大倍数单条裂隙宽度明显增加,单条裂隙宽度约在0.98~3.57 μm之间;且裂纹较密集地分布在试样剖面内,有逐步贯通趋势.特别是图 3中第1400和1600层剖面,裂纹从试件顶部一直贯通到试件底部,形成了贯通主破裂裂纹,且在主裂纹周围有明显的微裂纹出现,形成了新的裂隙网络结构,具备了良好的贯通特性.

3 超声波激励作用下低渗储层煤层气增透特性实验研究 3.1 超声波作用前后甲烷气渗流实验 3.1.1 实验煤试样制备

采用与CT实验相同的煤样作为实验试样,按照国际岩石力学学会(ISRM)推荐标准切割加工成50 mm×50 mm×100 mm的标准煤样,相关物理力学参数如表 2表 3所示.

表 2 实验煤样物理性质测试结果 Table 2 Physical property test result of coal samples
表 3 实验煤样力学性质测试结果 Table 3 Mechanical property test result of coal samples

实验装置流程图如图 6所示,在煤样三轴渗透仪上安装高频超声波探头,超声波频率为28 kHz.使用密封螺母将超声探头紧密压紧在煤样上,以确保超声波沿甲烷气通过方向传播.

图 6 实验装置图 Fig. 6 Experimental device
3.1.2 超声波激励甲烷气渗流特性的研究

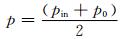
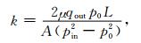
渗透率是决定储层气、水流动的主要因素,也是煤层气开发的重要参数指标. S. Harpalani[31]等认为,影响煤层气渗透率的主要因素有:储层深度、储层压力、有效应力、基质收缩效应和滑脱效应等.根据煤样材料的致密程度的不同,渗透率的实验室测量方法有两种:基于达西定律的稳态测量法和瞬态测量法或压力脉冲法.其中,后一种方法在测量介质为液体的情况下比较成熟,它需要一定量的计算推导.如果测量的介质为气体,由于气体存在可压缩性,测量的方法要复杂一些.在此选用稳态方法进行煤层气的渗透率测量.实验室测定煤样渗透率的理论公式为[32]

(1)

式中:k为气体的渗透率(μm2);p0为标准大气压(Pa);L为煤样的长度(mm);qout为标准大气压下煤层气流量(mL/s);μ为甲烷的动力黏性系数(Pa·s);A为煤样的截面积(mm2);pin为煤样进气端压力(MPa).

煤样中孔隙压力设为p,在实验中可近似认为[33].实验设定的围压、孔隙压力和测定的渗透率数据如表 4所示.

表 4 不同声强作用下煤样的渗透率 Table 4 Permeability of coal sample under different sound intensity
3.2 实验数据分析

以超声功率82.5 W时的实验数据为统计对象,对不同孔隙压力下渗透率的实测值进行拟合后可得如图 7-图 9所示拟合曲线.

图 7 围压4 MPa时渗透率测定结果 Fig. 7 Permeability measuring results under confining pressure 4 MPa
图 8 围压8 MPa时渗透率测定结果 Fig. 8 Permeability measuring results under confining pressure 8 MPa
图 9 围压12 MPa时渗透率测定结果 Fig. 9 Permeability measuring results under confining pressure 12 MPa

(1) 由图 7-图 9分析发现,超声作用后煤岩气测渗透率明显提高,功率为82.5 W,围压为4 MPa,孔隙压力从0.2 MPa变化到0.8 MPa时,煤样渗透率增长率从124%变化到133%;而在功率为121 W的超声作用下,煤样渗透率增长率得到显著提高,从124%变化到143%.

(2) 超声功率提高后,煤样渗透率增长尤为显著,以围压12 MPa为例,在低功率超声作用下,随着孔隙压力的增加,渗透率增长率从低频时的128%~164%变化为142%~196%.

(3) 宏观实验结果和CT显微观测结果比较吻合,参考图 2-图 5可以发现,在功率超声作用下,煤样微观观测不同截面都出现了裂隙网状贯通情况,微观截面裂隙网的形成和贯通是煤样渗透率增长的主要因素,功率超声有助于提高低渗煤样的气测渗透率.

3.3 超声波激励低渗储层气测渗透率修正公式

通过对超声功率为82.5 W时实验数据进行拟合后发现,超声作用后煤样的渗透率实验拟合公式可以表示成如下形式:

(2)

其中,abc为拟合参数,单位分别为μm2μm2/ MPa和cm2/W;J0为超声初始声强,由于煤样尺寸较小,认为声强无衰减.令k0=a+e-bp,表示无超声作用煤样的绝对渗透率,即煤样的绝对渗透率与煤样赋存时的孔隙压力有关,则超声作用后煤样渗透率实验拟合式为:

(3)

式(3)表明,在功率超声的作用下,在超声机械效应衰减范围内,煤样渗透率的增量主要由超声声强引起,且煤样气测渗透率增长率随着孔隙压力的增加而显著增加,因此,在低渗透煤层中超声波对改善煤层渗透性能具有显著的作用.

4 结论

本文利用微观CT观测实验和超声激励实验对超声波作用前后低渗透煤层渗透率变化规律进行探索分析,得到如下结论:

(1) 由CT微观观测发现,无超声波激励作用时,煤样裂隙条数较少,裂隙间隔较大,贯通裂隙很少,裂隙多位于所在剖面的边缘处,在该剖面上不能形成连续贯通裂隙通道;超声波作用后,煤体对应剖面内的裂隙由剖面边缘逐渐向剖面内部扩展,裂隙数目逐渐增多,且裂纹较密集地分布在试样剖面内,有逐步贯通趋势,并且形成了新的裂隙网络结构,具备了良好的贯通特性.

(2) 由实验室煤样渗透率实验发现,超声作用后煤岩气测渗透率明显提高,特别是超声功率提高后,煤样渗透率增长最为显著,功率超声有助于提高低渗煤样的气测渗透率.

(3) 建立了受声强影响的低渗透储层渗透率实验公式,确定了声场影响的低渗煤层渗透率变化的关键参数,为建立完善的超声声场影响的低渗透煤层运移理论奠定基础.

由于现有的实验装备无法实现同一块煤样超声作用前后的CT观测和渗透率测量,从而使得本文的结果具有相对的参考意义,深入研究有待于以后实验技术的提高.

参考文献
[1] 彭守建, 许江, 陶云奇, 等. 地球物理场中煤岩瓦斯渗流研究现状及展望. 地球物理学进展 , 2009, 24(2): 558–564. Peng S J, Xu J, Tao Y Q, et al. Development and prospect of research on coal-seam gas seepage in the geophysical field. Progress in Geophysics (in Chinese) , 2009, 24(2): 558-564.
[2] 芦俊, 王赟, 赵伟. 应用三分量地震数据反演煤系地层孔隙含水量. 地球物理学报 , 2010, 53(7): 1734–1740. Lu J, Wang Y, Zhao W. Quantitative prediction of water content in porosity in coal measure strata using three-component seismic data. Chinese J. Geophys. (in Chinese) , 2010, 53(7): 1734-1740.
[3] 汪志军, 刘盛东, 张兴元. 巷道前方煤体波速与瓦斯参数相关分析研究. 地球物理学进展 , 2012, 27(1): 349–354. Wang Z J, Liu S D, Zhang X Y. Correlation analysis of apparent seismic wave speeds and gas parameters in front of the coal roadway. Progress in Geophysics (in Chinese) , 2012, 27(1): 349-354.
[4] 王伟, 高星, 李松营, 等. 槽波层析成像方法在煤田勘探中的应用--以河南义马矿区为例. 地球物理学报 , 2012, 55(3): 1054–1062. Wang W, Gao X, Li S Y, et al. Channel wave tomography method and its application in coal mine exploration:An example from Henan Yima Mining Area. Chinese J. Geophys. (in Chinese) , 2012, 55(3): 1054-1062.
[5] 冯锐, 林宣明, 陶裕录, 等. 煤层开采覆岩破坏的层析成像研究. 地球物理学报 , 1996, 39(1): 114–124. Feng R, Lin X M, Tao Y L, et al. Geotomographic research on cap rock destruction caused by mining coal seam. Chinese J. Geophys. (in Chinese) , 1996, 39(1): 114-124.
[6] 王宏图, 李晓红, 鲜学福, 等. 地电场作用下煤中甲烷气体渗流性质的实验研究. 岩石力学与工程学报 , 2004, 22(2): 303–306. Wang H T, Li X H, Xian X F, et al. Testing study on seepage properties of methane gas in coal under the action of geo-electric field. Chinese Journal of Rock Mechanics and Engineering (in Chinese) , 2004, 22(2): 303-306.
[7] Harpalani S. The effect of gas evacuation on coal permeability test specimens. Int. J. Rock Mech. Min. Sci. & Geomech. Abstr. , 1984, 21(3): 361-364.
[8] 徐龙君, 鲜学福, 李晓红, 等. 交变电场下白皎煤介电常数的实验研究. 重庆大学学报 , 1998, 21(3): 6–10. Xu L J, Xian X F, Li X H, et al. An experimental study on the permittivity of Baijiao coal in alternating electric field. Journal of Chongqing University (Natural Science Edition) (in Chinese) , 1998, 21(3): 6-10.
[9] Somerton W H. Effect of stress on permeability of coal. Int. J. Rock Mech. Min. Sci. , 1974, 12(2): 129-145.
[10] 王宏图, 杜云贵, 鲜学福, 等. 地电场对煤中瓦斯渗流特性的影响. 重庆大学学报(自然科学版) , 2000, 23(Suppl): 22–24. Wang H T, Du Y G, Xian X F, et al. The influence of geo-electric field on gas seepage properties in coal. Journal of Chongqing University (Natural Science Edition) (in Chinese) , 2000, 23(Suppl): 22-24.
[11] 刘保县, 鲜学福, 姜德义. 煤与瓦斯延期突出机理及其预测预报的研究. 岩石力学与工程学报 , 2002, 21(5): 647–650. Liu B X, Xian X F, Jiang D Y. Research on the mechanism and prediction of delay outburst of coal and gas. Chinese Journal of Rock Mechanics and Engineering (in Chinese) , 2002, 21(5): 647-650.
[12] 刘保县, 鲜学福, 徐龙君, 等. 地球物理场对煤吸附瓦斯特性的影响. 重庆大学学报 , 2000, 23(5): 78–81. Liu B X, Xian X F, Xu L J, et al. Study on adsorption characteristics of coal to gas in geophysical field. Journal of Chongqing University (Natural Science Edition) (in Chinese) , 2000, 23(5): 78-81.
[13] 易俊. 声震法提高煤层气抽采率的机理及技术原理研究. 重庆: 重庆大学, 2007 . Yi J. A research on mechanism and technological principle of enhancing coal bed gas extraction rate by ultrasonic vibrating (in Chinese). Chongqing: Chongqing University, 2007 .
[14] 何学秋. 交变电磁场对煤吸附瓦斯特性的影响. 煤炭学报 , 1996, 21(1): 123–124. He X Q. The effect of alternative electromagnetic field on adsorption of gas by coal. Journal of China Coal Society (in Chinese) , 1996, 21(1): 123-124.
[15] 任伟杰, 袁旭东, 潘一山. 功率超声对煤岩力学性质影响的实验研究. 辽宁工程技术大学学报 , 2001, 20(6): 743–746. Ren W J, Yuan X D, Pan Y S. The experimental study of the action power ultrasound to the coal-mass. Journal of Liaoning Technical University (Natural Science) (in Chinese) , 2001, 20(6): 743-746.
[16] 于永江, 张春会, 王来贵. 超声波干扰提高煤层气抽放率的机理. 辽宁工程技术大学学报(自然科学版) , 2008, 27(6): 805–808. Yu Y J, Zhang C H, Wang L G. Mechanism of ultrasonic interference to increase the rate of CBM. Journal of Liaoning Technical University (Natural Science) (in Chinese) , 2008, 27(6): 805-808.
[17] 张春会, 李其廉, 于永江, 等. 功率超声致煤层瓦斯升温机理. 辽宁工程技术大学学报(自然科学版) , 2009, 28(4): 525–528. Zhang C H, Li Q L, Yu Y J, et al. Power ultrasound-induced heating mechanism of gas in coal seam. Journal of Liaoning Technical University (Natural Science) (in Chinese) , 2009, 28(4): 525-528.
[18] Ikeda T, Kotani K, Maeda Y, et al. Preliminary study on application of X-ray CT scanner to measurement of void fractions in steady state two-phase flows. Journal of Nuclear Science and Technology , 1983, 20(1): 1-12. DOI:10.1080/18811248.1983.9733354
[19] Kawamura T. Nondestructive three-dimensional density measurements of ice core samples by X ray computed tomography. Journal of Geophysical Research , 1990, 95(B8): 12407-12412. DOI:10.1029/JB095iB08p12407
[20] Kawakata H, Cho A, Kiyama T, et al. Three-dimensional observations of faulting process in Westerly granite under uniaxial and triaxial conditions by X-ray CT scan. Tectonophysics , 1999, 313(3): 293-305. DOI:10.1016/S0040-1951(99)00205-X
[21] 潘一山, 唐巨鹏, 李成全. 煤层中气水两相运移的NMRI试验研究. 地球物理学报 , 2008, 51(5): 1620–1626. Pan Y S, Tang J P, Li C Q. NMRI test on two phase transport of gas water in coal seam. Chinese J. Geophys. (in Chinese) , 2008, 51(5): 1620-1626.
[22] 于艳梅, 胡耀青, 梁卫国, 等. 应用CT技术研究瘦煤在不同温度下孔隙变化特征. 地球物理学报 , 2012, 55(2): 637–644. Yu Y M, Hu Y Q, Liang W G, et al. Study on pore characteristics of lean coal at different temperature by CT technology. Chinese J. Geophys (in Chinese) , 2012, 55(2): 637-644.
[23] Withjack E M. Computed tomography for rock property determination and fluid flow visualization. Society of Petroleum Engineers Formation Evaluation , 1988: 696-704.
[24] Klobes P, Riesemier H, Meyer K, et al. Rock porosity determination by combination of X-ray computerized tomography with mercury porosimetry Fresenius. Journal of Analytical Chemistry , 1997, 357(5): 543-547. DOI:10.1007/s002160050210
[25] Doi N, Kato O, Sakagawa Y, et al. Characterization of fracture and rock property of the Kakkonda granite by FMI and other loggings. Journal of the Geothermal Research Society Japan , 1998, 20: 34-37.
[26] Ohtani T, Nakashima Y, Muraoka H. Three dimensional miarolitic cavity distribution in the Kakkonda granite from borehole WD-1a using X-ray computerized tomography. Engineering Geology , 2000, 56(1-2): 1-9. DOI:10.1016/S0013-7952(99)00129-5
[27] Wildenschild D, Vaz C M P, Rivers M L, et al. Using X-ray computed tomography in hydrology:systems, resolutions and limitations. Journal of Hydrology , 2002, 267(3-4): 285-297. DOI:10.1016/S0022-1694(02)00157-9
[28] Goodwin A K, O'Nell M A, Anderson W F. The use of X-ray computer tomography to investigate particulate interactions within opencast coal mine backfills. Engineering Geology , 2003, 70(3-4): 331-341. DOI:10.1016/S0013-7952(03)00101-7
[29] 杨更社. 岩石细观损伤力学特性及本构关系的CT识别. 煤炭学报 , 2000, 25(12): 102–106. Yang G S. CT identification on the meso-damage mechanic characteristics and constitutive relation of rock. Journal of China Coal Society (in Chinese) , 2000, 25(12): 102-106.
[30] 任建喜, 葛修润, 蒲毅彬. 岩石破坏全过程的CT细观损伤演化机理动态分析. 西安公路交通大学学报 , 2000, 20(4): 12–15. Ren J X, Ge X R, Pu Y B. CT Real-time analysis of meso-damage propagation law of the whole process of rock failure. Journal of Xi'an Highway University (in Chinese) , 2000, 20(4): 12-15.
[31] Harpalani S. Gas flow through stressed coal[Ph. D. thesis]. Califomia Berkeley:University of Califomia Berkeley, 1985. http://www.oalib.com/references/18986910
[32] 周世宁, 林柏泉. 煤层瓦斯赋存与流动理论. 北京: 煤炭工业出版社, 1999 . Zhou S N, Lin B Q. The Theory of Gas Flow and Storage in Coal Seam (in Chinese). Beijing: China Coal Industry Publishing House, 1999 .