2. 大庆油田博士后科研工作站, 大庆 163458;
3. 东北石油大学博士后科研流动站, 大庆 163318;
4. 大庆油田有限责任公司勘探开发研究院, 大庆 163712
2. Post Doctoral Work Station, Daqing Oilfield, Daqing 163458, China;
3. Post Doctoral Mobile Station, Northeast Petroleum University, Daqing 163318, China;
4. Exploration and Development Research Institute of Daqing Oilfield Company Ltd., Daqing 163712, China
近50年来, 地球物理学家在单一薄层地震响应特征研究方面取得了许多重要成果[1-18], 这些成果为地层中单一薄层定性解释和厚度定量预测奠定了良好的基础.而作为地层中常见的地质结构---薄互层, 由于其内部结构特征多样、组合关系众多以及时、频响应特征复杂, 很难探究其内在响应机理和时频变化规律, 导致相关研究相对较少[19-23], 这制约了薄互层的研究与发展, 超薄薄互层(总厚度小于1 / 4波长)定性识别与厚度定量预测业已成为长期困扰地球物理学家的一个技术难题[24].
我国东部新生陆相含油盆地多以砂泥岩薄互层沉积为主, 并夹有少量薄层碳酸盐岩、页岩及膏盐层, 地层岩性和厚度横向变化大, 地层厚度大多处于常规地震勘探分辨率之下.因此, 如何准确描述薄互层的时频特征响应规律, 阐述其与地层结构之间的内在联系, 进而确定薄互层的互层数、厚度及分布范围, 建立单层砂体厚度定量预测关系, 这对提高薄互层的地震分辨能力具有重要意义.
根据单层与单层之间的关系, 可将薄互层分为韵律型薄互层和递变型薄互层.而目前薄互层研究多是基于假定各界面反射系数绝对值相等且单层厚度相同这一理想情形下进行讨论的.这在地层中是具有一定的代表性的, 因为其它类型薄互层可以近似或等效为等厚薄互层处理.此外, 研究等厚薄互层也是研究其它类型薄互层的基础, 深刻理解和认识等厚薄互层的地震响应特征规律, 对于识别一大类薄互层特征具有重要指导意义.
2 正演模拟建立如图 1a所示的地层模型, 该模型由均匀泥岩背景中包含不同互层数的砂泥岩等厚薄互层地质体组成, 砂泥岩的互层数分别设定为10、6、3、2, 借以考察不同互层数对薄互层时频特征响应规律的影响.其中砂岩的速度为2918 m / s, 密度为2.14 g/cm3; 泥岩的速度为3180 m / s, 密度为2.32 g/cm3.正确设定背景泥岩层的厚度, 使薄互层的中心位于2 s处, 便于不同层数薄互层瞬时频谱特征的抽取与对比.地震子波采用零相位雷克子波, 地震波主频39 Hz (峰值频率为30 Hz); 基于波场延拓理论, 采用深度域相移法正演模拟获取单炮记录; 采取中间放炮、两边接收的采集方式, 地震道采样点数为4000, 采样间隔为0.001 s, 道间距为10 m, 共1000道.然后让单层厚度从30 m以1 m为间隔变化到1 m.对于四种等厚薄互层模型共模拟了120套地震数据体.
|
图 1 地层模型及正演炮记录 Fig. 1 The stratigraphic model and the shot gather gained by forward modeling |
单层厚度为24 m的正演模拟获得的单炮记录如图 1b所示, 从炮记录中抽取零偏移距地震道, 分别读取顶、底界面及薄互层中部反射子波的时域最大振幅; 采用广义S变换对该地震道进行时频分析, 在时频波谱图上薄互层中间所对应的时刻(2 s处), 抽取薄互层反射复合波的瞬时频谱, 求取该时刻的瞬时振幅谱, 从瞬时振幅谱分别读取峰值频率和陷频频率的大小以及峰值频率所对应的振幅谱最大幅度、频谱宽度等特征参数, 然后对120套地震数据分别进行统计分析, 考察具有不同互层数的等厚薄互层时频特征变化规律.
3 数据分析与认识 3.1 反射复合波的时域特征当单层厚度大于3 / 16波长时, 等厚薄互层时域地震道表现为中、高频等幅振荡, 振动频率随单层厚度减薄逐渐增加; 最大振幅之间具有很好的可分性, 由此可以定性判断出等厚薄互层的互层数及单层之间的相对时间厚度(图 2a).当单层厚度介于3 / 16波长与1 / 8波长之间时, 随着单层厚度的减薄, 其时域反射波形除了薄互层顶底界面处的半子波波形不发生变化外, 中部各层的振幅逐渐降低, 但薄互层的互层数仍可分辨(图 2b).当单层厚度等于1 / 8波长时, 薄互层顶底界面处存在相对高幅的反射子波, 反射子波相位相差180 °, 而薄互层中部由于强烈干涉作用而导致振幅衰减, 出现高频弱反射, 此时, 互层数不能准确分辨(图 2c); 当单层厚度小于1 / 8波长时, 薄互层中部振幅衰减到0, 薄互层的总体特征与均一厚层相类似(图 2d); 随着单层厚度进一步的减薄, 顶底界面子波进一步靠近、融合; 当薄互层总厚度小于1 / 4波长时, 反射子波为单峰复合波, 时域振幅略有增加(图 2e).
|
图 2 等厚薄互层时域特征随着单层厚度变化关系 (a)单层厚度为24 m; (b)单层厚度为12 m; (c)单层厚度为9 m; (d)单层厚度为7 m; (e)单层厚度为1 m. Fig. 2 The time domain characteristics vary with single layer thickness for isopachous thin interbedding (a)The single layer thickness is 24 m; (b)The single layer thickness is 12 m; (c)The single layer thickness is 9 m; (d)The single layer thickness is 7 m; (e)The single layer thickness is 1 m. |
当单层厚度大于3 / 16波长时, 时频波谱图上(图 3a), 薄互层顶底界面处存在半子波频谱, 其频带宽度较薄互层中部宽; 薄互层中部的幅频特性在垂向上保持一致, 但频带宽度较窄; 薄互层在瞬时频谱上表现为一个窄带尖峰(图 4a), 说明等厚薄互层的调谐效应只保留特定频率信号能量, 而对其它频率成分具有压制作用.当单层厚度介于3 / 16波长与1 / 8波长之间时, 时频波谱图呈现波谱分裂现象(图 3b), 强烈的干涉作用导致薄互层中部中低频能量被压制, 高频能量也进一步被削弱, 但高频端波谱的幅频特性在垂向仍保持一致.薄互层顶底界面处形成低幅、宽频带的双子波瞬时频谱.瞬时频谱最大幅度有所降低(图 4b), 高频频带变宽, 在低频处可见多个陷频点, 峰值频率右侧几乎无陷频点.当单层厚度等于1 / 8波长时, 时频波谱图呈现完全的波谱分裂(图 3c), 薄互层顶底界面处存在瞬时子波谱, 由于强烈的干涉作用, 导致薄互层中部的信号能量损失几乎殆尽, 时频波谱中部出现了完全割裂现象, 只有最高频率段的频谱略有连接.从瞬时频谱上看(图 4c), 其高频频率成分能量很低, 而低频能量也很弱, 导致整个频谱的能量均很低, 表现出最低的时域振幅和频谱幅值; 但此时可以从陷频点的个数判断出薄互层的互层数.当单层厚度小于1 / 8波长时, 界面处的子波谱出现逐渐融合特征, 高频部分完全分离(图 3d); 瞬时频谱图上, 75 Hz以上的高频频率成分遭到压制, 存在能量较低的中低频成分; 此时, 可从陷频点的个数判断出薄互层的互层数(图 4d).当薄互层总厚度小于1 / 4波长, 时频波谱图上显示为单一子波谱特征, 瞬时频谱接近于震源子波频谱, 为单峰值、无陷频点、幅值较低的子波频谱(图 3e, 图 4e).
|
图 3 等厚薄互层波谱特征随着单层厚度变化特征 (a)单层厚度为24 m; (b)单层厚度为12 m; (c)单层厚度为9 m; (d)单层厚度为7 m; (e)单层厚度为1 m. Fig. 3 The spectral characteristics vary with single layer thickness for the isopachous thin interbedding (a)The single layer thickness is 24 m; (b)The single layer thickness is 12 m; (c)The single layer thickness is 9 m; (d)The single layer thickness is 7 m; (e)The single layer thickness is 1 m. |
|
图 4 等厚薄互层瞬时频谱特征随着单层厚度变化特征 (a)单层厚度为24 m; (b)单层厚度为12 m; (c)单层厚度为9 m; (d)单层厚度为7 m; (e)单层厚度为1 m. Fig. 4 The instantaneous frequency spectrum characteristics vary with single layer thickness for the isopachous thin interbedding (a)The single layer thickness is 24 m; (b)The single layer thickness is 12 m; (c)The single layer thickness is 9 m; (d)The single layer thickness is 7 m; (e)The single layer thickness is 1 m. |
等厚薄互层反射波瞬时频谱的峰值频率与薄互层单层厚度密切相关, 当单层厚度大于1 / 8波长时, 随着单层厚度的变大, 峰值频率逐渐降低(图 5).当单层厚度小于1 / 8波长时, 峰值频率呈现短斜直线分布, 并随着单层厚度的减薄, 峰值频率逐渐增加.
|
图 5 峰值频率随着薄互层单层厚度变化关系 菱形、正方形、三角形和乘号分别代表互层数为10、6、3、2, 实线代表 1/4波长, 虚线代表 1/8波长, 下同. Fig. 5 The crossplot for peak frequency versus single layer thickness The diamond, square, the triangle and multiplication sign represent the layer number is 10, 6, 3 and 2;The solid line represents 1/4 wavelength; The dash line represents 1/8 wavelength; The same as below. |
等厚薄互层反射波瞬时频谱的峰值频率也与互层数密切相关, 当单层厚度等于1 / 4波长时, 其峰值频率等于入射波的主频, 当单层厚度小于1 / 4波长时, 随着互层数的减少, 峰值频率略有降低; 当单层厚度大于1 / 4波长时, 随着互层数的减少, 峰值频率略有增大.当单层厚度小于1 / 8波长时, 随着互层数的减少, 呈短直线分布的峰值频率的个数减少, 短直线之间的间隔增大.
3.3.2 瞬时频谱最大幅度等厚薄互层瞬时频谱最大幅度与单层厚度密切相关, 振幅谱在1 / 4波长处取得最大值(图 6), 这主要是因为此厚度下峰值频率与互层数无关, 各界面处反射波相位一致, 达到一种“共振”效果, 导致其时域振幅和频谱最大振幅最大.当单层厚度大于1 / 4波长时, 随着单层厚度的减薄, 振幅谱的最大幅值逐渐增大; 当单层厚度小于1 / 4波长且大于1 / 8波长时, 随着单层厚度的减薄, 振幅谱的最大幅值逐渐减小.当单层厚度等于1 / 8波长时, 振幅谱最大幅值取得极小值; 当单层厚度小于1 / 8波长时, 振幅谱最大幅值较低, 表明单层之间具有强烈的破坏性干涉作用导致较多高频能量损失.
|
图 6 瞬时频谱最大振幅随薄互层单层厚度变化关系 Fig. 6 The crossplot for maximum amplitude of frequency spectrum versus single layer thickness |
薄互层瞬时频谱最大幅度与互层数密切相关.随着互层数的减少, 振幅谱的最大幅度降低, 互层数大于6时, 振幅谱最大幅度变化不明显; 互层数小于6时, 振幅谱的最大幅度迅速减低; 互层数为2时, 幅度降低近5 0%.不同反射系数的振幅谱总体趋势是一致的, 但振幅谱的最大幅度与反射系数大小成正比.
3.3.3 陷频频率以瞬时频谱的峰值频率为界, 定义峰值频率左边与峰值频率最邻近的陷频频率为左陷频频率, 定义峰值频率右边与峰值频率最为邻近的陷频频率为右陷频频率.
(1)左陷频频率
当单层厚度大于1 / 8波长时, 左陷频频率随着单层厚度的减薄逐渐增大.随着互层数的减少, 左陷频频率是先略有增加后再略有减小(图 7).互层数为2时, 单层厚度8 m之下的薄互层无左陷频; 互层数为3时, 单层厚度6 m之下的薄互层无左陷频; 互层数为6时, 单层厚度3 m之下的薄互层无左陷频; 互层数为10时, 只有单层厚度为1 m的薄互层无左陷频.当单层厚度小于1 / 8波长时, 左陷频频率随着单层厚度的减薄呈现短直线线性增加; 随着互层数的减少, 短直线的个数逐渐减少.
|
图 7 左陷频频率随着薄互层单层厚度变化关系 Fig. 7 The left notched frequency of instantaneous amplitude spectrum vary with single layer thickness |
(2)右陷频频率
右陷频频率随着单层厚度减薄逐渐增大(图 8), 并逐步趋近于3 / 16波长.随着互层数的减少(≥3), 右陷频频率略有减小, 只有互层数为2时, 右陷频频率比其它互层数的均大, 说明互层数为2时, 频谱宽度最大.互层数为2时, 单层厚度在9~17 m之间的薄互层无右陷频; 互层数为3时, 单层厚度在11~14 m之间的薄互层无右陷频; 互层数为6时, 单层厚度在11~19 m之间的薄互层无右陷频; 互层数为10时, 单层厚度在10~19 m的薄互层无右陷频.当单层厚度小于1 / 8波长时, 右陷频频率随单层厚度的减薄呈现短直线线性增加; 随着互层数的减少, 短直线的个数逐渐减少.
|
图 8 右陷频频率随着薄互层单层厚度变化关系 Fig. 8 The right notched frequency of instantaneous amplitude spectrum vary with single layer thickness |
定义振幅谱最大幅度的10%所对应的频率差为薄互层局部频谱的瞬时谱宽.当单层厚度大于1 / 8波长时, 随着单层厚度的减薄, 频谱宽度增大, 最大谱宽可达50 Hz(图 9); 当单层厚度等于1 / 8波长时, 谱宽跃变到低值; 当单层厚度小于1 / 8波长时, 频谱宽度变化范围较大, 在10~70 Hz之间变化, 并随着单层厚度趋近于0而迅速变宽, 并逐渐接近于震源子波的频带宽度.
|
图 9 瞬时频宽随着薄互层单层厚度变化关系 Fig. 9 The bandwidth of spectrum vary with single layer thickness |
当单层厚度大于1 / 8波长时, 随着互层数的减少, 频宽略有增加.互层数大于6时, 谱宽变化不大.当单层厚度小于1 / 8波长时, 随着互层数的减少, 谱宽也相应地变大; 随着单层厚度减薄, 所有互层数的频宽都趋近于震源子波的频带宽度.
3.3.5 时域振幅分别从薄互层顶界面、中部、底界面的最大峰值处拾取时域地震道的峰值振幅.从图中可以看出(图 10, 11, 12), 三个振幅受互层数的影响较小, 变化规律几乎相同.当单层厚度等于1 / 4波长时, 时域振幅取得最大值; 当单层厚度小于1 / 2波长而大于1 / 4波长时, 时域振幅随着单层厚度的减小而逐渐增大; 当单层厚度小于1 / 4波长时, 随着单层厚度的减小, 振幅逐渐减小并趋近于0
|
图 10 顶界面振幅随薄互层单层厚度变化关系 Fig. 10 The maximum amplitude of top interface in time-domain vary with single layer thickness |
|
图 11 薄互层中部振幅随着薄互层单层厚度变化关系 Fig. 11 The maximum amplitude of medium interface in time-domain vary with single layer thickness |
|
图 12 底界面处振幅随薄互层单层厚度变化关系 Fig. 12 The maximum amplitude of bottom interface in time-domain vary with single layer thickness |
当单层厚度小于1 / 8波长时, 互层数为2时, 单层厚度小于8 m的薄互层中部和顶界面无振幅; 互层数为3时, 顶部界面振幅曲线5 m之下、中部振幅曲线9 m之下无振幅; 互层数为6时, 顶部振幅曲线2 m之下、中部振幅曲线5 m之下无振幅; 互层数为10时, 中部振幅曲线3 m之下无振幅, 顶底部振幅均可读取; 互层数大于6时, 底界面处峰值振幅光滑降低, 但并不趋近于0, 只是在1、2 m处迅速增大; 而互层数小于3时, 振幅是先增大后减小, 并逐步趋近于0(图 12).
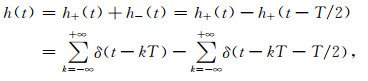
4 薄互层单层厚度定量预测等厚砂泥岩薄互层反射系数序列h(t) (反射系数间隔为Δ)等效于正脉冲反射系数序列h + (t)与负脉冲反射系数序列h -(t) (正、负脉冲反射系数序列的脉冲周期均为T, 且T=2Δτ)之和, 而负脉冲反射系数序列又可视为一个正脉冲反射系数序列极性反转后并时移T / 2的狄拉克梳状函数[25] :
|
(1) |
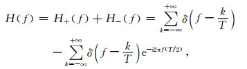
将其变化到频域:
|
(2) |
当δ函数非零时, sin函数为0;而当δ函数为0时, sin函数非0, 则
|
(3) |
即
|
(4) |
其中, n为任意奇数.由式(4)可知, 理想情况下, 无限厚的等厚薄互层的频域响应为一个梳状函数, 其在1 / T, 3 / T, 5 / T, …厚度处存在脉冲峰值.但由于地震信号总是有限带宽的, 因此, 当频域梳状函数的频带宽度大于地震信号带宽时, 其超出地震带宽的峰值频率是无法在反射波瞬时频谱反映出来.因此:
|
(5) |
其中, f0为地震波的峰值频率, 且f0=1 / T.式(5)说明, 在有限带宽情况下, 其反射波瞬时频谱只是f0的函数.由于T完全由薄互层的单层厚度确定.因此, 式(5)建立了峰值频率与薄互层单层厚度之间的定量关系, 可由峰值频率定量预测薄互层内单砂体厚度.
当单层厚度大于1 / 8波长时, 利用正演模拟所采用的实际单层厚度数据由式(5)计算出理论的峰值频率, 然后再与该单层厚度下瞬时频谱中读取的峰值频率对比, 在互层数大于6情况下, 二者几乎相等, 最大绝对误差不超过0.1;利用正演后的峰值频率数据与薄互层单层厚度进行拟合, 发现二者具有严格的反比关系(图 13), 相关系数均达到0.9999, 从而证明了理论分析公式的正确性.
|
图 13 峰值频率与单层厚度之间关系(大于1 / 8波长) Fig. 13 The crossplot for peak frequency versus single layer thickness(Single layer thickness more than 1/8 wavelength) |
当单层厚度小于1 / 8波长时, 由于震源子波的有限频带会对反射系数频谱的高频成分具有强烈的压制和滤除作用, 导致邻近震源子波高频衰减区的峰值频率被严重地削弱和压制而无法记录(图 4d), 而在低频端被识别出的视峰值频率与单层厚度之间无任何定量关系, 此时, 并不能够利用峰值频率预测薄互层的单层厚度.
已有的研究表明, 瞬时频谱的陷频频率与薄层厚度具有反比关系[26-27], 因此, 当单层厚度小于1 / 8波长时, 可以建立瞬时频谱的陷频频率与单层厚度之间的定量关系.虽然本文提出的峰值频率附近的左右陷频频率与单层厚度之间不具有连续变化关系, 而是呈现短直线分布, 但是研究发现瞬时频谱的第一陷频频率或第二陷频频率与单层厚度之间具有反比关系, 可以利用瞬时频谱的第一陷频频率或第二陷频频率预测薄互层单层厚度.利用正演模拟数据所得到的第一陷频频率, 建立了其与单层厚度拟合关系, 发现二者具有反比关系, 相关系数达到0.999以上(图 14).
|
图 14 第一陷频频率与单层厚度之间关系(小于1 / 8波长) Fig. 14 The first notched frequency versus single layer thickness(Single layer thickness less than 1/8 wavelength) |
通过上述研究可以发现, 当单层厚度介于1 / 2波长和3 / 16波长, 等厚韵律型薄互层其时域特征为等幅中频振动, 瞬时频谱表现为单一频率峰, 其只允许与单层厚度相关的频率信号通过, 而对其它频率成分具有很强的压制作用.其峰值频率一般落在中频范围内, 并随着单层厚度减薄逐渐向高频方向移动.当单层厚度介于3 / 16波长和1 / 8波长, 由于震源子波频带宽度的有限性, 当单一频率峰进入震源子波的高频衰减区时, 震源子波的有限带宽对单一频率峰的幅值具有削截作用, 导致高频能量发生损失, 地层中部振幅降低.当单层厚度小于1 / 8波长时, 此时, 单一频率峰业已超出震源子波谱的有效频带范围, 导致超过奈奎斯特截频的高频单一频率峰能量无法被记录, 地层中部的能量完全损失, 此时在薄互层中部会产生无反射界面的假象, 其时域特征与厚层反射特征相同.综上所述, 震源子波有限带宽与由单层厚度调谐控制的单一频率峰之间的匹配关系, 是等厚薄互层时域、频域响应特征最为本质的作用机理, 正确理解这一机理, 对于薄互层单层厚度解释与互层数判别具有重要意义.此外, 薄互层顶底界面处反射波时域特征不受薄互层结构和地震子波性质的影响, 是薄互层最为明显的特征, 据此可以从地层剖面中确定薄互层所在位置.
将不同单层厚度的薄互层的峰值频率大小、个数、时域特征、时频域波谱特征及上述参数随着单层厚度减薄的变化趋势进行统计分析, 发现不同单层厚度范围内的薄互层其时域和频域参数大小及其变化规律是各不相同的(表 1), 这说明不同单层厚度的薄互层砂体是可区分的; 此外, 薄互层会在横向上较大范围内分布, 其峰值频率大小和个数受反射系数大小的影响较小, 会在频域水平切片上稳定分布, 同时其时域特征和时频域波谱特征会表现出相同的变化规律, 这便于井间砂体的追踪与对比.因此, 有理由相信, 通过联合薄互层时域特征和频域特征参数不仅可以定性识别出不同单层厚度的薄互层砂体, 而且可以预测薄互层砂体的空间分布范围.
|
|
表 1 不同厚度范围的等厚薄互层时频域特征参数变化对比表 Table 1 The comparison among time-frequency domain characteristics for isopachous thin interbedding with different range of single layer thickness |
在薄互层单层厚度定量分析预测方面, 由于薄互层会在震源子波频带范围内表现为单一的频率峰, 且峰值频率大小与薄互层的单层厚度之间具有近似反比关系, 因此在实际地震解释当中, 可以利用过井地震剖面来标定这一关系, 即:首先在过井地震剖面上, 寻找典型的表征薄互层存在的时域特征和频域特征, 确定薄互层的大致厚度和分布范围, 并在关键井中与测井曲线进行对比和相互验证, 增加薄互层解释的准确性.然后通过峰值频率大小及其个数确定厚度层单层厚度是小于1 / 8波长, 还是大于1 / 8波长; 对于单层厚度大于1 / 8波长的薄互层, 通过关键井利用电阻率测井曲线准确解释薄互层的单层厚度, 然后对井旁地震道进行时频分析, 获取不同单层厚度薄互层的瞬时频谱的峰值频率大小, 然后与薄互层的单层厚度建立定量关系.对于单层厚度小于1 / 8波长的薄互层, 从瞬时频谱上读出第一陷频点或第二陷频点的频率值, 然后与单层厚度之间进行拟合, 得到单层厚度定量预测关系; 利用此两种拟合出的定量关系, 对非井旁地震道可定量预测薄互层的单层厚度, 结合薄互层定性识别结果, 可以有效增加解释结果的可信度.
6 结论(1)薄互层顶底界面反射波的时域特征, 不受薄互层内部结构和地震子波性质的影响, 可利用它确定薄互层顶底界面的位置及总厚度.
(2)当单层厚度大于1 / 8波长时, 可以由时域地震道的峰值振幅个数确定薄互层内的互层数, 当单层厚度小于1 / 8波长时, 可以由陷频点的个数确定互层数.
(3)不同厚度区间的薄互层反射复合波的时域和频域特征是不同的, 可以利用其不同表现规律定性划分出薄互层中单层砂体的厚度分布区间.
(4)当单层厚度大于1 / 8波长时, 可以利用等厚薄互层的频域梳状函数特性, 建立梳状函数峰值频率与单层厚度之间的定量关系; 当单层厚度小于1 / 8波长时, 可以利用第一或第二陷频频率定量预测薄互层中的单砂体厚度.
(5)当薄互层的总厚度小于1 / 4波长时, 反射波振幅近似为单峰的复合波, 其振幅大小与地层中的含砂量有关, 而与砂岩的层数、空间分布无关, 此时反射波不会给出薄互层内部反射界面分布的任何信息, 薄互层只能作为一个视均质体的等效单层处理.
(6)薄互层的单一峰值频率与单层厚度成反比变化.单层厚度越薄, 则峰值频域要跨越改变几十赫兹甚至几百赫兹, 因此, 要提高地震勘探薄互层的分辨能力, 特别是单层厚度较薄的薄互层, 必须采用宽高频入射子波, 从而保证有更多反映薄互层内部结构的高频信息得以记录.
致谢非常感谢审稿人对本文所提出的宝贵建议; 感谢本文编辑对文章所做出的细致修改!
| [1] | Widess M B. How thin is a thin bed?. Geophysics , 1973, 38(6): 1176-1180. DOI:10.1190/1.1440403 |
| [2] | Kallweitt R S, Wood L C. The limits of resolution of zero-phase wavelets. Geophysics , 1982, 47(7): 1035-1046. DOI:10.1190/1.1441367 |
| [3] | 苏盛甫. 薄储集层的反射特征和定量解释方法. 石油地球物理勘探 , 1988, 23(4): 387–402. Su S F. Thin-reservoir reflection and the quantitative interpretation method. Oil Geophysical Prospecting (in Chinese) , 1988, 23(4): 387-402. |
| [4] | Gochioco L M. Modeling studies of interference reflections in thin layered media bounded by coal seams. Geophysics , 1992, 57(9): 1209-1216. DOI:10.1190/1.1443336 |
| [5] | Gochioco L M. Tuning effect and interference reflections from thin beds and coal seams. Geophysics , 1991, 56(8): 1288-1295. DOI:10.1190/1.1443151 |
| [6] | De Voogd N, den Rooijen H. Thin-layer response and spectral bandwidth. Geophysics , 1983, 48(1): 12-18. DOI:10.1190/1.1441400 |
| [7] | 孙鲁平, 郑晓东, 首皓, 等. 薄层地震峰值频率与厚度关系研究. 石油地球物理勘探 , 2010, 45(2): 254–259. Sun L P, Zheng X D, Shou H, et al. The studies on relationship between thin-layer seismic peak frequency and its thickness. Oil Geophysical Prospecting (in Chinese) , 2010, 45(2): 254-259. |
| [8] | Marfurt K J, Kirlin R L. Narrow-band spectral analysis and thin-bed tuning. Geophysics , 2001, 66(4): 1274-1283. DOI:10.1190/1.1487075 |
| [9] | 凌云研究小组. 应用振幅的调谐作用探测地层厚度小于1/4波长地质目标. 石油地球物理勘探 , 2003, 38(3): 268–274. Ling Yun Study Group. Application of amplitude tuning in surveying geologic target thickness less than 1/4 wavelength. Oil Geophysical Prospecting (in Chinese) , 2003, 38(3): 268-274. |
| [10] | Chung H M, Lawton D C. Frequency characteristics of seismic reflections from thin beds. Canadian Journal of Exploration Geophysics , 1995, 31(1-2): 32-37. |
| [11] | 凌云研究组. 地震分辨率极限问题的研究. 石油地球物理勘探 , 2004, 39(4): 435–442. Ling Yun Research Group. Study of seismic resolution limit. Oil Geophysical Prospecting (in Chinese) , 2004, 39(4): 435-442. |
| [12] | Lange J N, Almoghrabi H A. Lithology discrimination for thin layers using wavelet signal parameters. Geophysics , 1988, 53(12): 1512-1519. DOI:10.1190/1.1442432 |
| [13] | Koefoed O, De Voogd N. The linear properties of thin layers, with an application to synthetic seismograms over coal seams. Geophysics , 1980, 45(8): 1254-1268. DOI:10.1190/1.1441122 |
| [14] | Zeng H L. How thin is a thin bed? An alternative perspective. The Leading Edge , 2009, 28(10): 1192-1197. DOI:10.1190/1.3249773 |
| [15] | Marangakis A, Costain J K, Coruh C. Use of integrated energy spectra for thin-layer recognition. Geophysics , 1985, 50(3): 495-500. DOI:10.1190/1.1441927 |
| [16] | Robertson J D, Nogami H H. Complex seismic trace analysis of thin beds. Geophysics , 1984, 49(4): 344-352. DOI:10.1190/1.1441670 |
| [17] | Okaya D A. Spectral properties of the earth's contribution to seismic resolution. Geophysics , 1995, 60(1): 244-251. |
| [18] | 李雪英, 陈树民, 王建民, 等. 薄层时频特征的正演模拟. 地球物理学报 , 2012, 55(10): 3410–3419. Li X Y, Chen S M, Wang J M, et al. Forward modeling studies on the time-frequency characteristics of thin layers. Chinese J. Geophys (in Chinese) , 2012, 55(10): 3410-3419. |
| [19] | 黄文锋, 姚逢昌, 李宏兵. 薄互层调谐规律研究与净厚度估算. 石油地球物理勘探 , 2012, 47(4): 584–591. Huang W F, Yao F C, Li H B. Regularities of tuning effects of thin interbedded layers and their net thickness determination. Oil Geophysical Prospecting (in Chinese) , 2012, 47(4): 584-591. |
| [20] | 高静怀, 陈文超, 李幼铭, 等. 广义S变换与薄互层地震响应分析. 地球物理学报 , 2003, 46(4): 526–532. Gao J H, Chen W C, Li Y M, et al. Generalized S transform and seismic response analysis of thin interbeds. Chinese J. Geophys. (in Chinese) , 2003, 46(4): 526-532. |
| [21] | 张玉芬, 熊维纲. 石油地震勘探中薄互层的反射系数序列振幅谱特征分析. 地球科学--中国地质大学学报 , 1994, 19(5): 685–693. Zhang Y F, Xiong W G. Characteristic analysis of amplitude spectra of reflection coefficient of thin interbedding in oil prospecting. Earth Science-Journal of China University of Geosciences (in Chinese) , 1994, 19(5): 685-693. |
| [22] | 赵晨光. 薄互层地震反射波的特征分析. 石油地球物理勘探 , 1986, 21(1): 32–46. Zhao C G. The analysis of seismic reflection from thin interbedding. Oil Geophysical Prospecting (in Chinese) , 1986, 21(1): 32-46. |
| [23] | 崔凤林, 管叶君. 时频分析--薄互层结构研究的新途径. 石油物探 , 1992, 31(2): 1–15. Cui F L, Guan Y J. Time-frequency analysis--a new way for thin interbeds examination. Geophysical Prospecting for Petroleum (in Chinese) , 1992, 31(2): 1-15. |
| [24] | 凌云, 郭向宇, 高军, 等. 油藏地球物理面临的技术挑战与发展方向. 石油物探 , 2010, 49(4): 319–336. Ling Y, Guo X Y, Gao J, et al. The technical challenges on the development trend of reservoir geophysics. Geophysical Prospecting for Petroleum (in Chinese) , 2010, 49(4): 319-336. |
| [25] | Knapp R W. Vertical resolution of thick beds, thin beds, and thin-bed cyclothems. Geophysics , 1990, 55(9): 1183-1190. DOI:10.1190/1.1442934 |
| [26] | 黄绪德. 薄层陷频法. 勘探地球物理进展 , 2002, 25(5): 1–6. Huang X D. Discussion on notches-in-thin-bed. Progress in Exploration Geophysics (in Chinese) , 2002, 25(5): 1-6. |
| [27] | Partyka G A, Gridley J M, Lopez J. Interpretational applications of spectral decomposition in reservoir characterization. The Leading Edge , 1999, 18(3): 353-360. DOI:10.1190/1.1438295 |
2013, Vol. 56

