2. 国家海洋局第二海洋研究所, 杭州 310012;
3. 中国地震台网中心, 北京 100045
2. Second Institute of Oceanography, State Oceanic Administration PRC, Hangzhou 310012, China;
3. China Earthquake Networks Center, Beijing 100045, China
利用地震响应分辨地下地质现象的能力, 取决于地震记录分辨率的大小.因此, 地震分辨率一直是地震勘探的热点问题.早期, 很多国内外学者从地震分辨率的相关概念、准则及计算公式等方面做了大量的工作[1-8]:分辨率的概念主要有垂直分辨率、水平分辨率、时间分辨率、波形分辨率、广义空间分辨率等; 垂直分辨率的主要极限准则有Knapp准则、Rayleigh准则、Ricker准则、Widess准则等.这些研究从分辨率的定义和计算准则角度对分辨率进行了研究, 没有考虑介质模型的不同对地震波的分辨率的影响, 本文将以Ricker准则为基础, 研究波在更能准确描述地球介质的双相介质模型中传播时纵向分辨率的变化规律.随着高分辨率地震勘探技术的发展, 如何提高地震勘探的分辨率也成为研究的热点.要提高地震勘探分辨率, 必须要首先研究清楚地震子波在介质中传播时波形与频谱的实时的变化规律, 以及介质的某些重要参数在这其中的影响.双相介质[9-17]是指由两种具有不同相态的物质所组成的介质.例如, 岩石骨架与孔隙中的水、石油或天然气等所构成的介质.双相介质较传统的单相弹性介质的假设更接近于实际, 它充分考虑了介质的结构、流体的特殊性质、局部特性与整体效应的关系, 更能真实反映地震信息与地下岩石的力学性质之间的关系, 更能准确地描述实际地层结构和地层性质, 更能适应越来越复杂的油气储藏勘探的实际需要.因此, 真实、准确地描述多孔隙介质特性和弹性波传播特征变化这一相互影响、相互关联的动态过程、认识弹性波在孔隙岩石中的传播规律, 对于解决实际应用中具有普遍性的多孔隙地学问题具有深远意义和巨大价值.双相介质的研究目前主要集中在地震波场的正演分析[18-25].本文从双相介质模型地震波速度与衰减的频率特性出发, 探讨波传播过程中, 子波波形与频谱相应的变化过程以及所导致的纵向厚度分辨率的变化规律.同时, 分析渗透率、黏滞系数、喷射流长度等介质模型参数变化对于纵向分辨率的影响.本文研究对于油气资源、海洋高分辨率地震勘探技术的发展具有很好的指导价值.
2 基本理论方法目前, 研究和应用较多的双相介质模型主要有Biot模型与BISQ模型.由于BISQ模型将流体与固体相互作用的两种力学机制有机地结合起来(Biot流与喷射流同时存在), 因此, 在物理表述上更加完善, 更趋于实际.整体研究思路:通过分析双相介质相速度与衰减随频率的变化规律, 进一步可得到初始雷克子波在传播过程中子波频谱与波形的变化规律, 提取出各变化阶段子波的主频, 并计算其纵向分辨率.
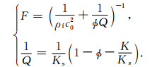
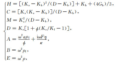
根据Biot模型[9-12]的基本方程, 纵波相速度和逆品质因子可以表示为
|
(1) |
|
(2) |
|
(3) |
|
(4) |
|
(5) |
|
(6) |
其中, k是波数, α是Biot曲度因子, a称为孔隙尺寸参数, η是孔隙液体黏滞系数, κ是渗透率, c是声波速度(复数速度), ρ是沉积物总体密度, 参数F代表了Biot流系数.Ks是沉积物颗粒体积模量, Kf是孔隙液体体积模量, Kb是框架体积模量, Gb是框架剪切模量, ρf为孔隙液体密度, ρs为沉积物颗粒密度.
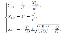
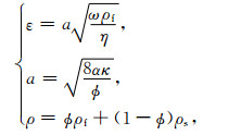
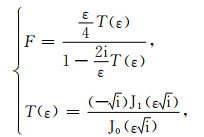
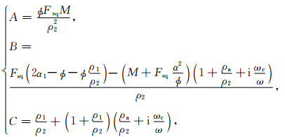
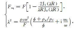
按照BISQ理论模型和方程[13-14], 纵波的速度和衰减的解析表达式如下:
|
(7) |
|
(8) |
|
(9) |
|
(10) |
|
(11) |
其中, J0、J1分别为Bessel方程, ϕ是孔隙度, M是干燥骨架的单轴应变模量, R是特征喷射流长度, ρ1=(1-ϕ)ρs, ρ2=ϕρf, ρs是沉积物固体颗粒密度, ρf为孔隙填充液体的密度, ρa是Biot耦合密度(表示固体和液体之间的内部耦合), ωc是Biot特征角频率, ωc=

波每传播一个波长时振幅衰减的分贝数为: β=27.29Q-1.
波传播距离L时的振幅谱为:Ap1=Ap0/(10β·L/λ/20), Ap0为初始子波振幅谱, λ为子波波长.
波传播距离L时的波形记录为:Sig1=Ap1· exp(i·Ang(Sig)), Sig为初始子波, Ang()为子波的相位谱.
根据Sig1提取子波的视周期Ts, 则波传播L距离后, 子波的主频为:fb=1/Ts.
则子波传播L距离后, 纵向厚度分辨率为: H=V(fb)·Ts/4.6.
需要注意的是子波波形与频谱在传播过程中是实时变化的, 本文研究以当前子波单位波长为距离更新计算中子波的相关参数.
3 数值分析双相介质参数采用如下数值:固相密度ρs=2650kg/m3, 流相密度ρf=1000kg/m3, 固流耦合密度ρa=420kg/m3, 固相体积模量Ks=38GPa, 流相体积模量Kf=2.25GPa, 孔隙度ϕ=0.15, 渗透率κ=1×103 μm2, 拉梅常数λ=9GPa、μ=13GPa, 喷射流长度R=1mm, 黏滞系数η=0.02Pa·s.震源初始的子波采用雷克子波, 峰值频率fp=30Hz.
图 1为BISQ与Biot模型波传播分辨率影响对比图.从图可知:BISQ模型中相速度与衰减随频率变化较大, 相速度递增, 单位波长衰减值先增大后减小, Biot模型相速度与衰减随频率变化很小(图 1a、图 1b); BISQ模型中, 随着传播距离的增大, BISQ模型中子波的主频降低, 可分辨厚度增大, 也即纵向分辨能力减小, Biot模型中子波主频与分辨率的变化很小, 原因可以归结为BISQ模型考虑喷射流机制导致的波的衰减要远远高于Biot模型(图 1c、图 1d); BISQ模型中, 子波随着传播距离增大, 频带比原始子波频带变窄, 波形变宽, 而Biot模型中子波形态与频带宽度与原始子波相比变化很小(图 1e、图 1f); BISQ模型的就算结果更加符合实际介质中波的传播规律.
|
图 1 BISQ与Bot模型波传播分辨率影响对比图 (a)相速度-频率曲线;(b)传播单位波长时衰减-频率曲线;(c)子波主频-传播距离曲线;(d)可分辨厚度-传播距离曲线;(e)传播一定距离后子波波形图;(f)传播一定距离后子波频谱图. Fig. 1 Resolution contrast with wave propagation based on BISQ and Biot model (a) Velocity-frequency curve; (b) Attenuation per wavelength-frequency curve; (c)Main frequency-propagation length curve; (d)Resolution-propagation length curve; (e) Wave after propagation; (f)Frequency spectrum after propagation. |
图 2为BISQ模型中渗透率对分辨率影响.从图可知:随着渗透率的增大, 相速度与衰减随频率的变化相对变小(图 2a、图 2b); 随着渗透率的增大, 子波主频与纵向分辨能力随着传播距离的变化幅度相对减小, 子波主频向低频移动的速度变慢, 子波纵向分辨能力降低速度变慢(图 2c、图 2d); 在一定传播距离下, 随着渗透率的增大, 子波波形变窄, 频带变宽(图 2e、图 2f).
|
图 2 BISQ模型中渗透率对分辨率影响 (a)不同渗透率相速度-频率曲线;(b)不同渗透率单位波长衰减-频率曲线;(c)不同渗透率子波主频-传播距离曲线;(d)不同渗透率可分辨厚度-传播距离曲线;(e)不同渗透率下传播一定距离后子波波形;(f)不同渗透率下传播一定距离后子波频谱. Fig. 2 Permeability effect on resolution based on BISQ model (a) Velocity-frequency curve with different κ; (b) Attenuation per wavelength-frequency curve with different κ; (c) Main frequency-propagation length curve with different κ; (d) Resolution-propagation length curve with different κ; (e) Wave after propagation with different κ; (f) Frequency spectrum after propagation with different κ. |
图 3为BISQ模型中黏滞系数对分辨率影响.从图可知:在分析的频率范围内, 随着黏滞系数的减小, 相速度整体减小, 且变化规律趋于缓和, 单位波长衰减变化规律趋于单调、简单化(图 3a、图 3b); 随着黏滞系数的减小, 子波主频与子波纵向分辨能力随着传播距离的变化幅度相对减小, 子波主频向低频移动的速度变慢, 子波纵向分辨能力降低速度变慢(图 3c、图 3d); 在一定传播距离下, 随着黏滞系数的减小, 子波波形变窄, 频带变宽(图 3e、图 3f).
|
图 3 BISQ模型中黏滞系数对分辨率影响 (a)不同黏滞系数相速度-频率曲线;(b)不同黏滞系数单位波长衰减-频率曲线;(c)不同黏滞系数子波主频-传播距离曲线;(d)不同黏滞系数可分辨厚度-传播距离曲线;(e)不同黏滞系数下传播一定距离后子波波形;(f)不同黏滞系数下传播一定距离后子波频谱. Fig. 3 Coefficient of viscosity effect on resolution based on BISQ model (a) Velocity-frequency curve with η (b) Attenuation per wavelength-frequency curve with η; (c) Main frequency-propagation length curve with η; (d) Resolution-propagation length curve with η; (e) Wave after propagation with different η; (f) Frequency spectrum after propagation with different η. |
图 4为BISQ模型中喷射流长度对分辨率的影响.从图可知:随着喷射流长度的增大, 相速度整体增大, 且拐点向低频端移动, 单位波长衰减拐点向低频端移动(图 4a、图 4b); 随着喷射流长度的增大, 子波主频与子波纵向分辨能力随着传播距离的变化幅度相对增大, 子波主频向低频移动的速度加快, 子波纵向分辨能力降低速度变快(图 4c、图 4d); 在一定传播距离下, 随着喷射流长度的增大, 子波波形变胖, 频带变窄(图 4e、图 4f).
|
图 4 BISQ模型中喷射流长度对分辨率的影响 (a)不同喷射流长相速度-频率曲线;(b)不同喷射流长单位波长衰减-频率曲线;(c)不同喷射流长子波主频-传播距离曲线;(d)不同喷射流长度可分辨厚度-传播距离曲线;(e)不同喷射流长下传播一定距离后子波波形;(f)不同喷射流长下传播一定距离后子波频谱. Fig. 4 The jet length effect on resolution based on BISQ model (a) Velocity-frequency curve with different R; (b) Attenuation per wavelength-frequency curve with different R; (c) Main frequency-propagation length curve with different R; (d) Resolution-propagation length curve with different R; (e) Wave after propagation with different R; (f)Frequency spectrum after propagation with different R. |
分析对比了双相介质Biot模型和BISQ模型子波在传播过程中波形与频谱的变化规律, 进一步得出在传播过程中子波主频的变化及纵向厚度分辨率的变化.研究了BISQ模型中, 渗透率、黏滞系数、喷射流长度对子波在传播过程中主频与纵向厚度分辨率的变化的影响.得出了以下几点意义的结论:
(1)BISQ模型由于同时考虑了Biot流与喷射流两种机制, 相速度与衰减的随频率的变化幅度更大, 导致雷克子波在传播过程中, 主频不断向低频端移动, 分辨率不断降低, 而Biot模型中主频变小与分辨率降低的变化规律十分微弱, BISQ模型结果更加符合实际介质.
(2)BISQ模型中, 渗透率增大, 子波在传播过程中主频向低频端移动趋势变缓, 分辨率降低速度变慢, 即在其它条件相同时, 渗透率增加, 分辨率相对较高.
(3)BISQ模型中, 黏滞系数增大, 子波在传播过程中主频向低频端移动趋势加快, 分辨率降低速度变快, 即在其它条件相同时, 黏滞系数增加, 分辨率相对较低.
(4)BISQ模型中, 喷射流长度增大, 子波在传播过程中主频向低频端移动趋势加快, 分辨率降低速度变快, 即在其它条件相同时, 喷射流长度增加, 分辨率相对较低.
(5)BISQ模型中, 子波纵向厚度分辨率随着子波传播距离的增大呈现非线性递增, 但在传播距离不很大的情况下(小于10km)时, 分辨率与传播距离可以近似的作为线性关系处理.
通过本文研究, 可以促进基于双相介质理论的地震勘探资料能量吸收补偿方法、频带拓宽方法的研究与开发, 从而提高地震资料的分辨率及深部有效信息, 推动油气资源、海洋高分辨率地震勘探技术发展.
| [1] | Ricker N. Wavelet contraction, wavelet expression, and the control of seismic resolution. Geophysics , 1953, 18(6): 769-792. |
| [2] | Kallweit R S, Wood L C. The limits of resolution of zero-phase wavelets. Geophysics , 1982, 47(7): 1035-1046. DOI:10.1190/1.1441367 |
| [3] | Widess M B. Quantifying resolving power of seismic systems. Geophysics , 1982, 47(8): 1160-1173. DOI:10.1190/1.1441379 |
| [4] | Sheriff R E, Geldart L P. Exploration Seismology. Cambridge: Cambridge University Press, 1982 : 152 -155. |
| [5] | Wu R S, Toksoz M N. Diffraction tomography and multisource holography applied to seismic imaging. Geophysics , 1987, 52(1): 11-25. DOI:10.1190/1.1442237 |
| [6] | Vermeer G J O. Factors affecting spatial resolution. Geophysics , 1999, 64(3): 942-953. DOI:10.1190/1.1444602 |
| [7] | Knapp R W. Vertical resolution of thick beds, thin beds, and thin-bed cyclothems. Geophysics , 1990, 55(9): 1183-1190. DOI:10.1190/1.1442934 |
| [8] | Chen J, Schuster G T. Resolution limits of migrated images. Geophysics , 1999, 64(4): 1046-1053. DOI:10.1190/1.1444612 |
| [9] | Biot M A. Theory of propagation of elastic waves in a fluid-saturated porous solid. Ⅰ. Low-frequency range. Journal of the Acoustical Society of America , 1956, 28(2): 168-178. DOI:10.1121/1.1908239 |
| [10] | Biot M A. Theory of propagation of elastic waves in a fluid-saturated porous solid. Ⅱ. Higher frequency range. Journal of the Acoustical Society of America , 1956, 28(2): 179-191. DOI:10.1121/1.1908241 |
| [11] | Biot M A. Generalized theory of acoustic propagation in porous dissipative media. Journal of the Acoustical Society of America , 1962, 34(9A): 1254-1264. |
| [12] | Biot M A. Generalized boundary condition for multiple scatter in acoustic reflection. Journal of the Acoustical Society of America , 1962, 44(6): 1616-1622. |
| [13] | Dvorkin J, Nur A. Dynamic poroelasticity:A unified model with the squirt and the Biot mechanisms. Geophysics , 1993, 58(4): 524-533. DOI:10.1190/1.1443435 |
| [14] | Dvorkin J, Mavko G, Nur A. Squirt flow in fully saturated rocks. Geophysics , 1995, 60(1): 97-106. DOI:10.1190/1.1443767 |
| [15] | Stoll R D, Bautista E O. Using the Biot theory to establish a baseline geoacoustic model for seafloor sediments. Continental Shelf Research , 1998, 18(14-15): 1839-1857. DOI:10.1016/S0278-4343(98)00060-0 |
| [16] | Stoll R D. Velocity dispersion in water-saturated granular sediment. Journal of the Acoustical Society of America , 2002, 111(2): 785-793. DOI:10.1121/1.1432981 |
| [17] | 杨顶辉, 张中杰, 滕吉文, 等. 双相各向异性研究、问题与应用前景. 地球物理学进展 , 2000, 15(2): 7–21. Yang D H, Zhang Z J, Teng J W, et al. The study of two-phase anisotropy, questions and applied prospects. Progress in Geophysics (in Chinese) , 2000, 15(2): 7-21. |
| [18] | 李红星, 陶春辉, 周建平, 等. 双相各向异性介质中波场速度与衰减特征分析. 石油地球物理勘探 , 2009, 44(4): 457–464. Li H X, Tao C H, Zhou J P, et al. Analysis on velocity and attenuation feature of wavefield in biphase anisotropic medium. OGP (in Chinese) , 2009, 44(4): 457-464. |
| [19] | 杨顶辉. 双相各向异性介质中弹性波方程的有限元解法及波场模拟. 地球物理学报 , 2002, 48(5): 575–583. Yang D H. Finite element method of the elastic wave equation and wavefield simulation in two-phase anisotropic media. Chinese J. Geophys. (in Chinese) , 2002, 48(5): 575-583. |
| [20] | 杨宽德, 杨顶辉, 王书强. 基于Biot-Squirt方程的波场模拟. 地球物理学报 , 2002, 45(6): 853–860. Yang K D, Yang D H, Wang S Q. Wave-field simulation based on the Biot-Squirt equation. Chinese J. Geophys. (in Chinese) , 2002, 45(6): 853-860. |
| [21] | 李红星, 陶春辉. 双相各向异性随机介质伪谱法地震波场特征分析. 物理学报 , 2009, 58(4): 2836–2842. Li H X, Tao C H. Features analysis of seismic wave field in two-phase anisotropic random medium with the pseudo spectral method. Acta Physica Sinica (in Chinese) , 2009, 58(4): 2836-2842. |
| [22] | 李红星, 陶春辉, 周建平, 等. 非胶结含水合物沉积物修正等效介质速度模型及其地震波场特征研究. 物理学报 , 2009, 58(11): 8083–8093. Li H X, Tao C H, Zhou J P, et al. Modified effective medium modeling and seismic wave field in un-cemented marine sediments with hydrates. Acta Physica Sinica (in Chinese) , 2009, 58(11): 8083-8093. |
| [23] | 申义庆, 杨顶辉. 基于BISQ模型的双相介质位移场Green函数. 地球物理学报 , 2004, 47(1): 101–105. Shen Y Q, Yang D H. The green function of two-phase media BISQ model. Chinese J. Geophys. (in Chinese) , 2004, 47(1): 101-105. |
| [24] | 聂建新, 杨顶辉, 巴晶. 含泥质低孔渗各向异性黏弹性介质中的波频散和衰减研究. 地球物理学报 , 2010, 53(2): 385–392. Nie J X, Yang D H, Ba J. Velocity dispersion and attenuation of waves in low-porosity-permeability anisotropic viscoelastic media with clay. Chinese J. Geophys. (in Chinese) , 2010, 53(2): 385-392. |
| [25] | 张显文, 王德利, 王者江, 等. 基于BISQ机制三维双相正交裂隙各向异性介质衰减及频散方位特性研究. 地球物理学报 , 2010, 53(10): 2452–2459. Zhang X W, Wang D L, Wang Z J, et al. The study on azimuth characteristics of attenuation and dispersion in 3D two-phase orthotropic crack medium based on BISQ mechanism. Chinese J. Geophys. (in Chinese) , 2010, 53(10): 2452-2459. |
2013, Vol. 56
