2. 东方地球物理公司采集技术支持部, 河北涿州 072751
2. BGP Acquisition Technique Supports, Hebei Zhuozhou 072751, China
孔隙度为岩石样品中孔隙空间总和占岩石样品体积的百分比, 实验室测定孔隙度一般采用孔隙体积(Vv)对总体积(Vt)之比.固体骨架的体积(Vs)为: Vs=Vt-Vv, 因此只须知道其中两个量即可计算出孔隙度.测定其中两个量的方法有好几种, 一般利用水银内浮力测定总体积, 利用理想气体的压缩系数测定固体体积或者利用润湿流体完全饱和多孔隙物体的浮力测定固体体积[1].另外, 还可以利用测井资料计算孔隙度, 常用的计算孔隙度的测井方法有[2]:电阻率测井、中子测井、密度测井、声波测井、微电极测井、伽马-伽马测井、微侧向测井等.以上所述与测井有关的计算孔隙度方法都是以准确可靠的测井资料作为前提的, 有些方法中的参数还需岩芯取样标定, 这种做法的优点是准确度高, 不过成本也相应比较高, 且不能覆盖到整个区域.
此外, 还可以利用地震信息估算地层孔隙度, 其基本原理是根据地层孔隙度与地震波传播速度之间的对应关系.这些对应关系主要包括:时间平均方程[3]、Gardner公式[4]、Gassmann-White方程[5]、Biot-Geertsma方程[6]、Herts-Mindlin理论[7]、Dvorkin-Nur的接触胶结模型[8].利用孔隙度与地震波速度关系式来估算孔隙度的前提是必需已知准确的地震波速度, 而在孔隙度等物性参数未知的情况下, 用地震资料反演出的速度是不能确定其准确性的, 因此用准确性未知的速度代入到这些关系式得出的孔隙度, 其准确性也是未知的.
在我国南海, 未固结成岩地层的孔隙度随着海底以下深度的增加而逐渐减小.其主要原因为海底沉积地层的机械压实作用.目前对于求孔隙度随深度变化的趋势也都是从泥岩和砂岩的压实作用去考虑, 并且普遍认为泥岩和砂岩孔隙度在浅层下降得比较快, 而在埋藏较深时降低得比较慢[9].以下是国内外学者有关孔隙度随深度变化的模型: Hubbert和Rubbey (1959)提出了一个指数模型[10]; Ramm和Bjorlykke(1994)提出了与黏土有关的指数回归模型[11], 此模型仅限于机械压实; Dutta等(2009)提出另一个适用于海底浅部急速变化的指数模型[12]; Hamilton (1971)提出了深海陆源沉积物的孔隙度随深度变化经验公式[13]; 云美厚(2002)根据不同温度、压力条件下岩石孔隙度的测定结果, 得出一个孔隙度-温度压力模型[14].以上几种方法基本都是基于孔隙度随深度的增加呈指数下降的假设, 这种假设符合孔隙度在浅部下降快深部下降慢的观点.然而, 在缺少测井资料的情况下, 上述方法中的参数不易确定.即使在一个地区有测井资料的情况下, 由测井数据确定的一套模型参数也不能适用于整个地区, 此即为上述方法的局限性. Hamilton (1971)提出的经验公式[13]经过与测井资料对比发现并不适用于南海.
综合上述各种求取孔隙度的模型与方法, 除了Hamilton经验公式以外其它方法均需要具备一些先决条件, 这些先决条件是否准确直接影响到该方法或模型求取孔隙度的准确性:测井有其覆盖面小的局限性、利用地震信息计算孔隙度需要地震波速度、求孔隙度随深度变化的指数模型需要知道模型中的若干参数等.对于这些问题, 我们从地层的压实性模拟地层的压实过程从而得出孔隙度随深度变化曲线, 这种求孔隙度的方法我们称之为体积模量法, 它只需知道海底表层的孔隙度和地层的矿物组分及百分比.对于海底表层的孔隙度在一个地震观测所覆盖的地区变化不大, 所以可以对其进行微调.对于地层的矿物组分及百分比在测井资料上显示其横向与纵向变化不大, 故可以仅用一组值代表一个区域的分布情况, 利用这种方法得出的结果跟测井资料和地震资料都匹配得较好, 下面将详细阐述它的方法原理.
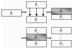
2 方法原理我们假定地层在压实过程中固体骨架的体积不变, 而是孔隙空间随着上覆压力的增加而减小, 压实过程示意图如图 1.
|
图 1 压实过程示意图 |
图 1为海底介质的压实过程, 已知海底表层即图中第一层地层的孔隙度为ϕ1, 第二层为ϕ2, 往下依此类推.我们假设初始状态只有第一层对其以下层的介质产生压实作用, 从而造成孔隙度减小为ϕ2, 然后加上第二层的压实作用从而使第二层以下的孔隙度进一步减小为ϕ3, 依次类推, 逐层往下就可以求出孔隙度随深度的变化趋势了.因此知道上覆压力的增量, 再计算压实产生的孔隙度减小量, 就可以计算出每一个地层的孔隙度.计算方法如下:
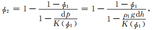
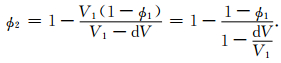
地层的孔隙度由ϕ1减小为ϕ2是由于孔隙空间的减小造成的, 即:
|
(1) |
由体积模量定义得:
|
(2) |
其中体积减小量dV=V1-V2, 有效压强增量为dp=ρ1gdh, ρ1=(1-ϕ1)(ρs-ρf), ρs, ρf分别为固体骨架和骨架中流体的密度, dh为地层厚度增量, ϕ1为表层孔隙度.
由(1)和(2)式得:
|
(3) |
其中K(ϕ1)为该水饱和地层的体积模量, 由Gassmann方程[5]得:
|
(4) |
固体颗粒体积模量K由Hill(1952)平均公式[15]计算:
|
(5) |
此处m为矿物组分的种类数; fi为第i种矿物占固体基质中的体积百分比; Ki为第i种矿物的体积模量.
流体体积模量Kf由Ruess等应力平均[16]计算:
|
(6) |
此处m为流体组分的种类数; fi为第i种流体的体积百分含量; Ki为第i种流体的体积模量.在计算骨架体积模量KDry时, 由于在海底浅层(300m以内)孔隙度ϕ > ϕc(临界孔隙度), 岩石颗粒呈悬浮状, 因此干骨架的体积模量KDry=0.
由上述表层孔隙度估算出下一个地层孔隙度的过程可以得出计算各地层孔隙度的递推公式, 即:
|
(7) |
(7)式为孔隙度的递推公式, 可以沿海底地层由上往下计算各个不同深度处的孔隙度预测值.
3 准确性验证 3.1 预测孔隙度图 2为采用我国南海地区和美国ODP的表层孔隙度分别为0.69、0.65, 矿物组分以及百分比分别选取当地的平均值得到, 由体积模量法计算出的孔隙度预测曲线.
|
图 2 孔隙度预测曲线 Fig. 2 Prediction curves of porosity in the South China Sea and American ODP area |
图中可以看到, 孔隙度随深度近似为线性减小, 在0到250m范围内, 孔隙度一直在0.4以上, 即该图为临界孔隙度以上的地层孔隙度预测曲线.
3.2 与实际孔隙度对比我们用南海测井数据和美国ODP数据与体积模量法的计算结果作对比.对比的结果用绘制曲线的方式显示如图 3和图 4.
|
图 3 南海测井数据对比 Fig. 3 Comparison of porosity between different wells and different estimation models in the South China Sea |
|
图 4 美国ODP井资料对比 Fig. 4 Comparison of porosity between different wells in American ODP area |
图 3中的指数模型要根据测井曲线确定参数, 而体积模量法只需给出表层的孔隙度0.69, 然后代入岩芯取样资料中的矿物组分以及百分比即可.在一个区域矿物组分及其百分比横向变化不大并且测井资料表明在纵向变化也不大, 所以平均值就可以适用于整个地区. 图 3、4显示体积模量法所计算的曲线在海底以下(不包括海水的深度)250m之内与测井曲线基本吻合.
3.3 与实际纵波速度对比 3.3.1 速度-孔隙度模型的选取常用的速度-孔隙度模型[17]:临界孔隙度和Nur的改进Voigt平均[18-19]; Geertsma压实率经验公式[6]; Wyllie的时间平均方程[3]; Raymer-Hunt-Gardner关系式[20].此外, 还有速度-孔隙度-黏土矿物模型[17]: Han的含泥砂岩经验公式; Tosaya的含泥砂岩经验公式; Castagna的速度经验公式.以及Dvorkin的等效介质模型[21-23].
依据南海地区若干口井和美国ODP的U1325C测井数据, 从上述速度-孔隙度模型中筛选出适合未固结成岩地层的计算模型.对比结果如图 5和图 6.
|
图 5 南海地区模型对比分析图 Fig. 5 Comparison of different velocity-porosity models in South China Sea |
|
图 6 美国ODP模型对比分析图 Fig. 6 The comparison of different velocity-porosity models in American ODP wells |
图 5中的红色散点为南海若干口井的可靠声波速度低频趋势, 其它的曲线为各模型计算的纵波速度低频曲线; 图 6中除红色高频曲线为实测速度外, 其它为各模型算出的低频速度曲线.从图 5、6可以看出只有Dvorkin等效介质模型与实际测井资料吻合较好, 更适合于未固结成岩地层.
3.3.2 与实际速度对比根据Dvorkin的等效介质模型, 首先使用体积模量法预测的孔隙度计算出预测的纵波速度值, 然后分别与我国南海的地震波速度和美国ODP声波速度作对比, 如图 7和图 8.
|
图 7 南海地区地震速度对比图 Fig. 7 Comparison of P wave velocities from bulk-model estimation and seismic data in the South China Sea |
|
图 8 美国ODP声波测井速度对比 Fig. 8 Comparison of P wave velocities from bulk-model estimation and American ODP wells |
图 7为南海地区CMP号分别为5911、6982的数据与预测速度对比; 图 8为美国ODP的声波速度与预测的速度对比.对比曲线显示预测效果较好.
4 对输入参数的灵敏度分析影响孔隙度反演结果的因素主要有两个, 一是表层地层孔隙度的选取, 二是矿物组分以及百分比.第一个因素作为初始条件直接影响海底地层的孔隙度, 选取偏大则整个海底地层的孔隙度均会偏大.第二个因素影响到海底地层在水饱和时的体积模量, 进而影响到孔隙度下降的快慢程度, 体积模量较大的地层不易被压实, 孔隙度下降得慢, 体积模量小的地层容易被压实, 孔隙度下降得快.
由图 9、图 10可知表层孔隙度取0.71、0.69、0.66时, 孔隙度随深度变化曲线差别比较明显, 即水饱和地层的纵波速度以及孔隙度随深度变化趋势对于表层孔隙度较为敏感. 表 1显示的是南海四口井岩芯取样数据的矿物组分及百分比, 它们的差别不大.因此用这四口井的矿物组分及百分比求得的平均数可以代表整个测区的值.
|
图 9 不同表层孔隙度预测孔隙度曲线 Fig. 9 Prediction curves of porosity from different surface porosity |
|
图 10 不同表层孔隙度预测速度曲线 Fig. 10 Prediction curves of velocities from different surface porosity |
|
|
表 1 南海地区岩芯分析 Table 1 Core analysis results in the South China Sea |
图 11、图 12表明这四口井的矿物组分及百分比的差异在一定范围内并不会对预测孔隙度产生大的影响.
|
图 11 不同矿物组分预测孔隙度曲线 Fig. 11 Prediction curves of porosity from different mineral compositions of rock |
|
图 12 不同矿物组分预测速度曲线 Fig. 12 Prediction curves of velocities from different mineral compositions of rock |
由公式(3)可知, 体积模量模型需要的参数有:表层孔隙度、矿物密度和体积模量(由矿物组分及其百分比决定). 4节中灵敏度分析已经证实表层孔隙度对体积模量法预测孔隙度起到关键作用, 而矿物组分及百分比则在一定范围内对预测结果影响不大.
表 1显示南海四口井岩芯取样所得到的矿物组分和百分比无论在横向上还是纵向上其值的变化较小, 故这四口井的矿物组分以及百分比的平均值就有代表性.这与体积模量法中地层矿物颗粒的体积模量在纵向上基本恒定的假设符合, 且使得体积模量模型能预测测区的孔隙度具有意义.
由上述结论可知影响孔隙度预测结果的因素为表层孔隙度以及如何用已知孔隙度求取体积模量K(ϕi).对于表层孔隙度, 可以直接采用测井数据求取[2], 一般取与测井数据吻合最好的表层孔隙度, 应用在地震剖面中可在此基础上再做细微调整.也可以从统计的角度, 在[0.4, 1.0]之间任取一个值作为表层孔隙度, 然后再逐渐调整, 直到与地震反演得到的速度吻合最好为止, 即算出的速度值与反演的速度值方差最小.
6 结论综上所述, 在我国南海未固结成岩地层, 针对其孔隙度较高(深度在0~250 m范围内的地层孔隙度均位于临界孔隙度以上), 质地较为柔软, 固体颗粒之间未发生胶结的特点, 用体积模量表示地层的压实性来模拟海底介质的压实过程, 无论是从测井数据还是地震数据, 理论值与实际值都比较吻合.并且它只需要表层孔隙度以及矿物组分百分比即可.在不知道表层孔隙度的情况下, 可以用统计的方法求取.而矿物组分及百分比, 由若干口井的岩芯取样资料显示只用平均值即可代表这个测区的值.因此, 本文提出的方法求海底水饱和地层的孔隙度比较简便可行.
| [1] | 布尔贝T. 孔隙度介质声学. 北京: 石油工业出版社, 1994 . Bourbei T. The Acoustics of the Porous Medium (in Chinese). Beijing: Petroleum Industry Press, 1994 . |
| [2] | 尉中良. 地球物理测井. 北京: 地质出版社, 2005 . Yu Z L. Geophysical Well Logging (in Chinese). Beijing: Geological Publishing House, 2005 . |
| [3] | Wyllie M R J, Gregory A R, Gardner L W. Elastic wave velocities in heterogeneous and porous media. Geophysics , 1956, 21(1): 41-70. DOI:10.1190/1.1438217 |
| [4] | Gardner G H F, Gregory A R. Formation velocity and density-The diagnostic basics for stratigraphic traps. Geophysics , 1974, 39(6): 770-780. DOI:10.1190/1.1440465 |
| [5] | Gassmann F. Elasticity of porous media:über die elastizitat proposer medien. Vierteljahrsschrift der Naturforschenden Gesselschaft in Zürich , 1951, 96: 1-23. |
| [6] | Geertsma J, Smit D C. Some aspects of elastic wave propagation in fluid-saturated porous solids. Geophysics , 1961, 26(2): 169-181. DOI:10.1190/1.1438855 |
| [7] | Mindlin R D. Compliance of elastic bodies in contact. J. Appl. Mech. , 1949, 16: 259-268. |
| [8] | Dvorkin J, Nur A. Elasticity of high-porosity sandstones:Theory for two North Sea data sets. Geophysics , 1996, 61(5): 1363-1370. DOI:10.1190/1.1444059 |
| [9] | Magara K. Comparison of porosity-depth relationships of shale and sandstone. J. Petrol. Geol. , 1980, 3(2): 175-1985. DOI:10.1111/jpg.1980.3.issue-2 |
| [10] | Hubbert M K, Rubbey W W. Mechanics of fluid-filled porous solids and its application to overthrust faulting. Part 1 of role of fluid pressure in mechanics of overthrust faulting. Geo. Soc. Am. Bull. , 1959, 70: 115-166. |
| [11] | Ramm M, Bjorlykke K. Porosity/depth trends in reservoir sandstones:assessing the quantitative effects of varying pore-pressure, temperature history and mineralogy, Norwegian Shelf data. Clay Minerals , 1994, 29(4): 475-490. DOI:10.1180/claymin |
| [12] | Dutta T, Mavko G, Mukerji T. Compaction trends for shale and clean sandstone in shallow sediments, Gulf of Mexico. The Leading Edge , 2009, 28(5): 590. DOI:10.1190/1.3124935 |
| [13] | Hamilton E L. Elastic properties of marine sediments. JGR , 1971, 76(2): 579-604. DOI:10.1029/JB076i002p00579 |
| [14] | 云美厚, 管志宁. 储层条件下砂岩纵波和横波速度的理论计算. 石油物探 , 2002, 41(3): 289–292. Yun M H, Guan Z N. The estimation of P and S-wave velocities in sandstone under in-situ conditions. Geophysical Prospecting for Petroleum (in Chinese) , 2002, 41(3): 289-292. |
| [15] | Hill R. The elastic behaviour of a crystalline aggregate. Proc. Physical Soc., London , 1952, 65(5): 349-354. DOI:10.1088/0370-1298/65/5/307 |
| [16] | Ruess A. Berechnung der Fliessgrenzen von Mischkristallen auf Grund der Plastizittsbedingung für Einkristalle. Z. Angew. Math. Mech. , 1929, 9(1): 49-58. DOI:10.1002/(ISSN)1521-4001 |
| [17] | 葛瑞·马沃可, 塔潘·木克基, 杰克·德沃金.岩石物理手册.徐海滨, 戴建春译.合肥:中国科学技术大学出版社, 2008:91-98, 127, 143-150, 188-198. Gary Mavko, Tapan Mukerji, Jack Dvorikin. The Rock Physics Handbook (in Chinese). Xu H B, Dai J C Trans. Hefei:China University of Science and Technology Press, 2008:91-98, 127, 143-150, 188-198. |
| [18] | Voigt W. Lehrbuch der Kristallphysik. Leipzig: Tuebner, 1910 . |
| [19] | Nur A, Mavko G, Dvorkin J, et al. Critical porosity:A key to relating physical properties to porosity in rocks. The Leading Edge , 1998, 17(3): 357-362. DOI:10.1190/1.1437977 |
| [20] | Raymer L L, Hunt E R, Gardner J S. An improved sonic transit time-to-porosity transform. Trans Soc Prof Well Log Analysts, 21st Annual Logging Symposium , 1980: 1-12. |
| [21] | Dvorkin J, Prasad M, Sakai A, et al. Elasticity of marine sediments:Rock physics modeling. Geophys. Res. Lett. , 1999, 26(12): 1781-1784. DOI:10.1029/1999GL900332 |
| [22] | Ruiz F, Dvorkin J. Sediment with porous grains:Rock-physics model and application to marine carbonate and opal. Geophysics , 2009, 74(1): E1-E15. DOI:10.1190/1.3033212 |
| [23] | Hashin Z, Shtrikman S. A variational approach to the theory of the elastic behaviour of multiphase materials. J. Mech. Phys. Solids , 1963, 11(2): 127-140. DOI:10.1016/0022-5096(63)90060-7 |
2013, Vol. 56

