2. 中国地震局地质研究所, 北京 100029
2. Institute of Geology, China Earthquake Administration, Beijing 100029, China
2008年10月5日在中国天山与塔吉克斯坦交界区域发生了一次Ms6.7级地震,在主震发生1 min和19 min之后,震中附近再次发生Ms6.3级和Ms5.7级的余震.震中区域位于新疆西南部的天山-帕米尔-兴都库什地区,地处西南天山南麓和帕米尔高原的结合部(图 1),为地震多发带,在主震发生之前的9月22日震中区域附近曾经发生过一次Ms3.3级地震.地震震中区域地处边远山区,除了造成震中区域附近民房倒塌,没有造成大量人员伤亡和巨大经济损失.
|
图 1 天山-帕米尔-兴都库什地区附近地质构造简图(改编自文献[1])及1976-2008年间历史地震震源机制解(哈佛大学全球CMT地震目录)和GPS位移量(改编自文献[2]).红色虚线表示震中区域附近地区主要断层,绿色五角星表示震中位置,蓝色箭头表示GPS运动速率(相对于欧亚大陆) Fig. 1 Simplified regional tectonic map of Tianshan-Pamir-Hindukush area (adopted from Ref.[1]) over layered with historical earthquakes happened between 1976-2008(Harvard global CMT catalog) and GPS velocity (adopted from Ref.[2]).Bold red lines indicate major fault in study region, green pentagram marks the epicenter, blue arrow indicates GPS velocity (relative to Eurasia) |
地震发生时,地震断层面上破裂传播造成的应力降激发了向外传播的地震波,对于震级较大的事件,通过观测由应力降激发的体波和面波可以用于反演研究地震断层面的几何参数及破裂的动态扩展过程.关于使用远震体波反演研究地震破裂过程的问题,很多学者[3-7]都曾经做过相关研究.已有研究表明,对于缺乏近场记录的中强度地震,如果可以获得远场宽频带数字地震记录,利用波形反演方法,可以获得地震时断层面上的滑动矢量(错距和倾伏角)及破裂的详细动态扩展过程.根据反演获取的地震震源机制解再结合震中区域附近的地质构造背景知识及余震分布特征,就可以对震中附近地区地震与构造的关系、应力场的分布情况进行详细的讨论和研究.本文中利用全球数字地震台网记录的远场宽频带数字波形记录,对2008年10月5日发生在新疆一塔吉克斯坦边界Ms6.7级地震震源机制及破裂过程进行详细研究,结果表明本次地震是一个逆冲加小幅走滑的地震破裂事件.
2 地质背景地震震中区域位于帕米尔-兴都库什北侧的主帕米尔断裂带附近,该区域与著名的天山造山带、帕米尔高原、塔里木盆地,及兴都库什、西昆仑、喀喇昆仑相连(图 1),地壳深部结构复杂,是地震活动性最活跃的地区之一,也是世界上少有的大陆内部中、深源地震区.研究这一地区地壳应力分布状态,对了解帕米尔-兴都库什地区印度板块与欧亚大陆板块的碰撞方式、造山过程及其地球动力学机制,具有十分重要的意义.
帕米尔-兴都库什处于印度板块与欧亚大陆板块碰撞前锋区域,该地区平均海拔在5000 m以上,地表变形非常剧烈,南北向狭窄,地形崎岖,雪峰林立,世界第二高峰乔戈里峰(611 m)和南迦帕尔巴特峰(8125 m)均位于该区域.在帕米尔-兴都库什的南部,印度板块西北角以年均速率1~4 cm向北运移[2]与欧亚大陆板块和西南天山造山带发生碰撞,并最终将塔里木-卡拉库姆陆块分割,形成北部的塔里木盆地和南部的塔吉克断陷;碰撞产生的巨大挤压应力在帕米尔-兴都库什两侧形成了大型的断层系:西侧的兴都库什走滑断裂系和东侧的喀喇昆仑右行走滑断裂系(图 1).帕米尔-兴都库什的南部与印度板块相邻,西南部与阿富汗(Afghan)块体相接,西北部与费尔干那盆地(Fergana Basin)和西南天山相接,东北部与塔里木盆地相贴(图 1).由于天山-帕米尔-兴都库什地区地质构造的极端复杂性[8-9]以及在不同地质演化阶段所具有的强烈地壳变形特征,导致了该地区断层位置、逆冲方向等因素的不确定性,从而对它的深部构造及不同时期的地球动力学演化研究带来了很大的困难,也给地球物理工作带来了很多互相矛盾的解释.
本文利用2008年10月5日发生在帕米尔-兴都库什地区Ms6.7级地震事件的远场波形资料反演地震震源过程,通过对震源过程及震源机制分析,研究震源区域的应力状态分布.据此,探讨了这一地区的地震活动性的地球动力学成因,以期为帕米尔-兴都库什地区构造地质学研究提供地震学证据.
3 数据和方法 3.1 数据研究中使用的宽频带数字地震资料来自于IRIS分布在全球的数字地震观测台网及中国数字地震台网.我们从IRIS数据管理中心下载到94个震中距在15°~90°之间的数字宽频带P波与SH波波形资料,经过筛选得到其中信噪比较高并且方位角分布比较均匀的各28个波形记录用于反演.
图 2给出了研究中使用到的地震台网分布情况,从图中可以看到,总体来说方位角覆盖情况还是比较理想,能够满足波形反演的要求.
|
图 2 地震台站位置分布图, 图中黑色三角形标示了地震台站位置, 黑色字母表示台站名称, 黑色五角星表示了震中位置 Fig. 2 Distribution map of broad-band seismic stations used in this study, station name marked up of triangle, black triangles denote seismic station and black pentagram denotes epicente |
原始的宽频带数字地震记录所含频率成分较为丰富且信噪比较高,所以我们对原始P波及SH波波形记录没有进行滤波处理,以期望能够充分利用宽频带资料所包含的丰富频谱信息,从而获得地震发生时断层面上破裂扩展的详细情况.一般对天然地震震源机制研究来说每秒10个采样点的记录是比较合适的,所以我们对收集到的波形资料以0.1 s为采样间隔进行重新采样.
3.2 方法研究表明[5-6],在震中距30° < Δ < 90°范围内,直达P波和S波主要在下地幔范围内传播.此时上地幔范围内地球介质的不均匀性, 例如410km和660km速度间断面对直达P波和S波传播的影响较小, 因此计算远场P波和s波时,可以把地球介质模型简化为两个半无限介质模型组成,其中一部分与震源处的介质有关,另一部分与台站处的介质有关.由于震中距离较大,P波和s波的离源角较小,地表附近地壳分层结构的影响可以忽略不计,对于宽频带地震资料,如果我们只考虑直达P波和S波到达之后的几个波形,半无限介质模型是比较合适的.震源附近自由表面的影响,可以用增加震源附近自由表面反射波的贡献加以考虑,对于P波需要考虑P,pP和sP三个震相的贡献,对于SH波只需要考虑SH和sSH震相的贡献.
通常对于远场震源机制的研究来说[3],大概可以分为两步:第一步采用点源模型反演来确定地震的基本震源机制参数,包括断层的走向、倾向、滑动角和震源的深度等;随后结合震源区域的地质构造背景选取一组合适的震源机制参数进行有限断层模型反演,以获得地震发生时断层面上破裂的动态扩展过程.
根据广义射线理论[6],对于点源模型,远场P波垂向记录可以表示为[7]:
|
上式中Am(λ, δ, θ)为方向性系数,ρ为介质密度,δ为断层面倾角,λ为错动方向倾角,θ为断层走向的方位角,Wm(t表示远场P波的地球介质响应.
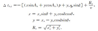
通过对点源模型的反演研究,可以获得震源的基本参数.但是实际的地震破裂过程是十分复杂的,它既不是空间的一个点,也不是时间上的一个脉冲.地震是一个过程,破裂在空间上有一定的分布;另外断层面上各点同时破裂也不符合物理实际,比较合理的模型应该是破裂随着时间在空间上不断发展.为了获得地震发生时断层面上的动态破裂扩展过程,地震学家们发展了有限断层模型[10-11].有限断层模型是在考虑震源为二维平面的情况下,把通常视作点源的地震断层面离散化为多个子断层面元的叠加,通过波形的反演来研究每个断层面元的滑动方向、滑动大小、破裂上升时间及破裂的传播速度参数,从而精细地刻画断层面上的动态破裂过程.一般来说,对于一个中强度地震,我们可以使用X×Y面积的矩形断层来描述,其中X和Y分别表示断层的长度(沿走向)和断层的宽度(沿倾向).为了详细描述地震断层面上的动态破裂过程,可以将有限断层模型划分为N×M个子断层面元,其中N表示沿断层走向的块数,M表示沿断层倾向的块数,通过叠加每个子断层面元的理论地震图,就可以获得整个有限断层面产生的理论地震图.对于有限断层模型来说,远场P波和SH波理论地震图可以分别表示为:
|
式中:
|
上式中Δti, j表示面元(i, j)的破裂开始时间相对于初始破裂点(i, j)的时间延迟,Az为台站的方位角,Xs和ys分别表示面元(i, j)相对初始破裂点(is, js)沿x方向(断层面的走向)和沿y方向(断层面的倾向)的距离,Rs表示面元(i, j)相对初始破裂点(is, js)的直线距离,v表示破裂的传播速度,Wm(t-Δti, j)和Vm(t-Δti, j)分别表示远场P波和SH波的地球介质响应.
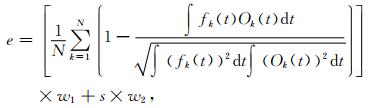
对于地震震源机制反演这样一个多参数、高度非线性化的问题,我们采用模拟退火[12]来进行反演时的优化计算.近年来模拟退火算法已经被成功地应用于天然地震震源破裂过程反演等非线性问题的研究中,并且取得了较好的优化效果[4-7].模拟退火算法是一种通过一定的概率来接受较差解来避免局部最小的局部搜索策略.算法从某个随机生成的初始解出发并进行如下的处理:给定每个模型参数的可能变化范围,每一步生成一个新解(通常根据均匀分布随机生成),如果新解相对之前的解有改进,那么我们就接收这个新解,判断新解是否会接收的概率主要根据目标函数的相对差值和称为温度T的参数得到.为了衡量反演结果的好坏,反演中目标函数定义为观测记录与理论地震图的相关系数,目标函数表示为:
|
上式中fk(t)和Ok(t)分别表示第k个台站的理论与观测的记录[13]; 后一部分为模型的光滑和地震距最小约束,W1和W2分别表示相应的加权系数.如果e为零则表示理论波形和观测波形完全拟合,采用这个公式表示波形的拟合程度是因为该公式对地震体波振幅的绝对大小并不敏感,而是强调波形的拟合[14].在开始计算之前,所有的理论波形和实际观测波形都在时间上进行对齐,这样可以保证在计算目标函数e开始之前相关系数达到最大.温度T在算法运行过程中逐渐减少(如同物理退火过程里面的温度下降),用以减少接受差解的概率.决定是否接收新解的概率由Metropolis分布[15]定义.
有限断层反演中,使用了各28个远场P波和SH波波形资料(图 4).在整个反演过程中断层的走向和倾角固定不变,因此对于每一个子断层面元来说,共有4个参数需要反演,他们分别是子面元的滑动倾伏角,子面元的错距,破裂的传播速度和震源时间函数的上升时间,因此需要反演计算的参数数量是子面元数目的4倍.反演中断层的长度和宽度分别设置为66.5 km和27.5 km,在横向和纵向上又划分为19个和11个子面元.
|
图 4 (a)和(b)分布显示有限断层模型拟合的P波和SH波.图中红线、黑线分别表示实际波形和理论波形, 波形左侧数字给出了台站方位角和震中距, 左上方数字给出了振幅比, 右方字母表示地震台站名字; (c)断层面上的最终滑动破裂分布图, 图中白色五角星表示初始破裂点, 箭头表示子断层面元的滑动矢量, 图中冷色表示滑动量较小区域, 暖色表示滑动量较大区域, 图片左上角半箭头表示有限断层面走向 Fig. 4 (a) and (c) show comparison of the observed and synthetic P and SH waveforms for finite fault model, respectively; black lines indicate observed, red lines indicate synthetic. The station name, azimuth, epicenter and station names are marked up for each waveform.(c) Final slips distribution at the fault plane, white pentagram indicates initial rupture position, arrows indicate slip vector, cold colors indicate lower slip area and warm colors indicate high slip area, half arrow in the left upper corner indicate strike of the finite fault |
地震发生之后,许多研究机构都在第一时间给出了2008年10月5日15点52分49秒发生在中国新疆与塔吉克斯坦边界附近Ms6.7级地震的震源机制参数,如表 1所示,从表中可以看出,两个主要地震研究机构给出的震源参数并不完全一致,但总体上都表明该地震是一次逆断层加小幅走滑的浅源地震.其中CMT的震源参数和USGS的解比较接近,但是震源深度相差较大,分别为12 km和27.6 km; 本文所得震源深度与CMT方法所得震源深度比较接近.本文反演得到震源机制解如图 3所示,图中黑线表示实际观测资料,红线表示理论地震图,从图中可以看出在震源深度为7.4 km的前提下,除了在图中右边部分几个位置比较接近节面的台站资料拟合不太理想之外,观测资料和理论地震图的总体拟合情况还是比较理想.总的来说,通过点源模型反演得到的震源机制解与USGS结果更接近.结合震中区域附近的地质构造,我们推断地震断层走向为57.2°倾角为42.7°滑动角为75°震源深度为7.4 km,北东走向逆断层.
|
|
表 1 不同研究机构给出震源机制解 Table 1 Focal mechanism published by different institute |
|
图 3 点源模型震源机制解(采用下半球投影方式).黑线、红线分别表示点源模型P波垂向位移的理论图和实际观测资料.“+”(绿)和“-”(兰)的圆圈表示P波初动极性及投影位置, 红色圆圈表示用于波形反演的台站的投影位置.图下方给出了两组节面解(走向、倾角、滑动角)和点源模型的震源时间函数(右下) Fig. 3 Focal mechanism obtained from inversion of signal point-source mode (flower hemisphere projection).The black and red lines represent observed and synthetic ground motion waveforms, respectively.The green and blue circles with "+" and "-" indicates the polarity of the direct P wave, and the red circles are the projection of the stations.The source time functions and parameters of two possible fault planes (focal depth, strike, dip and rake) |
基于点源模型反演获得的震源机制参数,我们进一步采用有限断层模型反演了断层面上的破裂过程.有限断层模型反演中,假设破裂只发生在单一断层面上,且破裂发生过程中断层面的走向、倾角保持不变.反演中采用的震源机制参数为:断层面走向57.2°倾角42°震中初始破裂位置参数采用USGS定位结果,经度为73.82°E,纬度为39.53°N,震源深度为27.4 km.图 4显示了观测波形记录与有限断层模型反演得到理论地震波形记录的拟合情况.其中黑线表示实际观测波形记录,红线表示理论波形记录,每个波形图的左上角标示了台站方位角和震中距及波形振幅比.对比图 3和图 4可以发现,有限断层模型反演理论地震图较点源模型反演理论地震图在细节上更好地拟合了实际观测资料.
图 5显示了地震发生时断层面上破裂的动态扩展过程.从图中可以看到,本次地震事件主要表现为由破裂初始点开始,向断层面两端扩展的双向破裂过程.发震后0~9 s内破裂主要以初始破裂点为中心向断层面的四周扩展,9~18 s初始破裂点西南开始出现破裂,并且继续向断层面西南方向进一步扩展; 其中在12 s左右时候出现了本次破裂过程中最大的滑动量,滑动幅度达到125 cm.18~20 s内,初始破裂引发的破裂在遇到最大滑动量之后继续向断层西南方向扩展,但是破裂扩展区域面积变化不大.22 s以后破裂基本趋于停止.从断层面上滑动破裂分布来看,本次地震主要表现为一个比较集中的高滑动区,高滑动区域集中在断层面的西南部,而断层面的东部滑动量相对较小.
|
图 5 地震发生时断层面上破裂在2, 4, 6, 8, 10, 12, 14, 16, 18, 20, 22s和24s时快照.图中红色五角星表示初始破裂点, 冷色表示低滑动区, 暖色表示高滑动区 Fig. 5 Snapshots of rupture process at the fault plane at 2, 4, 6, 8, 10, 12, 14, 16, 18, 20, 22s and 24s.The red pentagram indicate initial rupture position, cold colors indicate lower slip area and warm colors indicate high slip are |
2008年10月5日15点52分49秒在天山西南部天山与帕米尔高原交界处发生了一次震级为Ms6.7级地震,这次地震是该地区近年来发生震级较大的地震.根据USGS提供的地震目录,从1970年到2012年,在该地区曾经发生过403次震级大于4级的地震,震级大于5级的地震58次.地震发生后通过远场P波和SH波波形拟合反演得到的震源深度为7.4 km,地震断层面的走向为57.2°倾角为42.7°滑动角为75°,地震距为8.175×1025 N·m,换算成Mw震级为6.54级;所得到标量地震距与CMT数值较接近.我们的研究表明地震断层面积约为1828 km2, 震源破裂过程相对简单,破裂由震中位置开始,向断层面两端扩展,其中最大的破裂出现在距离震中22.5 km的西南方向处,最大错距量约为125 cm.破裂持续时间约为40 s,在整个破裂时间的前半段内,破裂释放的能量占整个破裂过程释放能量的97%,其中地震发生前15 s内破裂释放的能量占到全部释放能量的88%.另外考虑到在破裂持续时间30 s之后,地震破裂的能量释放基本上趋近停止(图 3),所以反演中选用了47 s时长波形资料用于震源过程反演,该时长波形资料已经包含了所需震相信息(图 3和图 4a、b).
作为中亚现今构造活动最强烈的地区之一,天山-帕米尔-兴都库什地区经常发生破坏性地震,其中包括1902年阿图什8级地震,1985年乌恰7级地震及1997-1998和2004年新疆伽师地震[16].许多学者曾对这一地区的地震活动性及构造运动开展研究[1, 4, 17-18],认为该地区的地震活动性主要受到印度板块与欧亚大陆板块碰撞的影响,且浅源地震的分布与主要构造有着紧密的联系[2, 16].前人研究结果显示欧亚板块以高角度(~50°倾角)向南俯冲,地震最大的深度可达~360 km左右,印度板块以层间插入的方式与欧亚板块碰撞,在帕米尔附近碰撞强烈,地震活动性明显增强.由于印度板块与欧亚大陆板块间的强烈碰撞挤压作用,帕米尔-兴都库什地区长期处于近南北向应力挤压作用下,形成了一系列由皱褶和逆冲断层组成的推覆构造[19-20],逆断层数量占约70%,走滑断层数量占约19%,正断层数量占约11%.其中一些断裂与大地震的发生有着明显的对应关系,如1902年阿图什8级地震和1985年乌恰7级地震.研究还发现大部分浅源地震机制的主压应力轴(P轴)优势取向多位于南北或北北西向,且近水平,反映帕米尔-兴都库什地区受到南北或北北西挤压.帕米尔-兴都库什地区应力场特征表明,印度板块向北的主动推挤,是形成这一地区应力场的主要动力,向南倾的欧亚板块处于一种被动的挤压状态.GPS观测资料表明[21],天山及邻近地区主压应力应变方向主要为近北北西向为主,基本与天山造山带的走向正交.目前天山及周边区域最大剪应变场主要分布在两个区域:北天山的伊赛克湖附近及南天山的天山-帕米尔弧形断裂交汇带[21-22].GPS观测资料显示帕米尔高原相对于西南天山每年约有20 mm左右的汇聚量[21](图 1),据此我们推测2008年10月5日发生在中国天山与塔吉克斯坦交界Ms6.7级地震可能和帕米尔与天山的相互作用过程中,帕米尔北西向逆冲推覆西南天山的构造作用有关[23].
从表 1可以发现各相关地震研究机构给出关于该次地震震源参数有细微差别,考虑到哈佛大学CMT与USGS发布的是实时震源机制参数,也就是说他们是在地震发生后根据分布在全球地震台站记录的实时长周期地震图,采用中心距张量(CMT)方法[24]反演所得.研究结果表明,CMT反演结果对中亚地区地震事件震源深度约束并不准确,通常CMT发布结果震源深度会比使用宽频带资料反演结果系统性的偏深3~6km[25].而在本文中给出结果采用了频谱信息更为丰富的宽频带波形资料反演,所以我们的结果对震源深度的分辨率优于CMT给出结果[25-26].
从波形拟合图中可以看出,理论地震图对于部分细节拟合欠佳或者失真,造成这种细节拟合欠佳或者失真的原因主要有两方面:其中一方面的原因是在计算理论地震图的时候,只采用了简单的半无限介质模型,没有考虑震源区域、传播路径及接受台站附近地球物质结构对地震波传播的影响;另外一个原因是波形反演中只采用了比较容易获取的远场波形资料,如果在反演时能够加入近场强震资料,甚至一些地球动力学观测资料,如GPS和InSAR观测数据;进行近场、远场、GPS及InSAR观测资料的联合反演,则反演结果对地震震源破裂过程的时空描述将更为准确,分辨率必然将会大大提高.致谢研究使用数据来源于IRIS数据管理中心,GMT软件包生成了文中大部分插图.
| [1] | Fan G W, Ni J F, Wallace T C. Active tectonics of the Pamirs and Karakorum. J. Geophys. Res , 1994, 99(B4): 7131-7160. DOI:10.1029/93JB02970 |
| [2] | Zubovich A V, Wang X Q, Scherba Y G, et al. GPS velocity field from the Tien Shan and surrounding regions. Tectonics , 2010, 29: TC6014. DOI:10.029/2010TC002772 |
| [3] | 王卫民, 李丽, 赵连锋, 等. 2003年2月24日新疆伽师Ms6.5级地震震源破裂过程研究. 地球物理学报 , 2003, 48(2): 343–351. Wang W M, Li L, Zhao L F, et al. Rupture process of Jiashi, Xinjiang earthquake (Ms6.5) of Feb. 24, 2003. Chinese J. Geophys (in Chinese) , 2003, 48(2): 343-351. |
| [4] | 高星, 段宗奇, 王卫民, 等. 2008年10月6日当雄Ms6.6级地震破裂过程. 地球物理学报 , 2008, 53(9): 2083–2090. Gao X, Duan Z Q, Wang W M, et al. Rupture process of the Oct.6, 2008Ms6.6 Damxung earthquake, Tibet, China. Chinese J. Geophys (in Chinese) , 2008, 53(9): 2083-2090. DOI:10.3969/j.issn.0001-5733.210.09.008 |
| [5] | 姚振兴, 纪晨. 时间域内有限地震断层的反演问题. 地球物理学报 , 1997, 40(5): 691–701. Yao Z X, Ji C. The inverse problem of finite fault study in time domain. Chinese J. Geophys (in Chinese) , 1997, 40(5): 691-701. |
| [6] | 姚振兴, 郑天愉, 曹柏如, 等. 用P波波形资料测定中强地震震源过程的方法. 地球物理学进展 , 1991, 6(4): 6–36. Yao Z X, Zheng T Y, Cao B R, et al. The method of determining middle and strong earthquake's process using P waveform data. Progress in Geophysics (in Chinese) , 1991, 6(4): 6-36. |
| [7] | 郭志, 高星, 王卫民. 2006年12月26日台湾南部滨海Ms7.2级地震破裂过程研究. 地球物理学报 , 2006, 51(4): 1103–1113. Guo Z, Gao X, Wang W M. Rupture process of southern Taiwan offshore Ms7.2 earthquake of Dec. 12, 2006. Chinese J. Geophys. (in Chinese), (in Chinese) , 2006, 51(4): 1103-1113. |
| [8] | Tian X, Zhao D, Zhang H, et al. Mantle transition zone topography and structure beneath the central Tien Shan orogenic belt. J. Geophys. Res , 2010, 115: B10308. DOI:10.1029/2008JB006229 |
| [9] | 郭志, 高星, 王卫民, 等. 采用地震背景噪音成像技术反演天山及周边区域地壳剪切波速度结构. 科学通报 , 2010, 55(31): 3590–3598. Guo Z, Gao X, Wang W M, et al. S-wave velocity of the crust around Tianshan Mountains inverted from seismic ambient noise tomography. Chinese Sci. Bull (in Chinese) , 2010, 55(31): 3590-3598. DOI:10.1007/s11434-010-4017-3 |
| [10] | Brune J N. Tectonic stress and the spectra of seismic shear waves from earthquakes. J. Geophys. Res , 1970, 75(26): 4997-5009. DOI:10.1029/JB075i026p04997 |
| [11] | Oslon A H, Apsel R. Finite faults and inverse theory with applications to the 1979 Imperial Valley earthquake. Bull. Seism. Soc. Am , 1982, 72(6A): 1996-2001. |
| [12] | Kirkpatrick S, Gelatt Jr C D, Vecchi M P. Optimization by simulated annealing. Science , 1983, 220(4598): 671-680. DOI:10.1126/science.220.4598.671 |
| [13] | Mellman G R, Burdick L J, Helmberger D V. Determination of source parameters from body wave seismograms. Earthquake Note , 1975, 46-44. |
| [14] | Wallace T C, Helmberger D V, Mellman G R. A technique for the inversion of regional data in source parameter studies. J. Geophys. Res , 1981, 86(B3): 1679-1685. DOI:10.1029/JB086iB03p01679 |
| [15] | Metropolis N, Ulam S. The monte carlo method. J. Amer. Stat. Assoc , 1949, 44(247): 335-341. DOI:10.1080/01621459.1949.10483310 |
| [16] | 赵翠萍, 陈章立, 郑斯华. 1998~2003年伽师三次不同类型Ms6级地震震源破裂过程及短期内余震活动特征. 地球物理学报 , 2008, 51(4): 1093–1102. Zhao C P, Chen Z L, Zheng S H. Source rupture process of 3 Jiashi Ms6 events (1998~2003) and its correlation with the aftershock activity. Chinese J. Geophys (in Chinese) , 2008, 51(4): 1093-1102. |
| [17] | 楼小挺, 刁桂苓, 叶国扬, 等. 帕米尔-兴都库什地区中源地震的空间分布和震源机制解特征. 地球物理学报 , 2007, 50(5): 1448–1455. Lou X T, Diao G L, Ye G Y, et al. Spatial distribution of intermediate earthquakes and focal mechanism solutions in the Pamir-Hindu Kush region. Chinese J. Geophys (in Chinese) , 2007, 50(5): 1448-1455. |
| [18] | 宁杰远, 臧绍先. 帕米尔-兴都库什地区地震空间分布特征及应力场特征. 地球物理学报 , 1990, 33(6): 657–669. Ning J Y, Zang S X. The distribution of earthquakes and stress state in Pamir-Hindu Kush regions. Chinese J. Geophys., (in Chinese) , 1990, 33(6): 657-669. |
| [19] | 陈杰, 丁国瑜, BurbankD W, 等. 中国西南天山山前的晚新生代构造与地震活动. 中国地震 , 2001, 17(2): 134–155. Chen J, Ding G Y, Burbank D W, et al. Late Cenozoic tectonics and seismicity in the southwestern Tianshan, China. Earthquake Research in China (in Chinese) , 2001, 17(2): 134-155. |
| [20] | 沈军, 汪一鹏, 赵瑞斌, 等. 帕米尔东北缘及塔里木盆地西北部弧形构造的扩展特征. 地震地质 , 2001, 32(3): 381–389. Shen J, Wang Y P, Zhao R B, et al. Propagation of Cenozoic arcuate structures in northeast Pamir and northwest Tarim basin. Seismology and Geology (in Chinese) , 2001, 32(3): 381-389. |
| [21] | 张培震, 邓启东, 杨晓平, 等. 天山的晚新生代构造变形及其地球动力学问题. 中国地震 , 1996, 12(2): 127–140. Zhang P Z, Deng Q D, Yang X P, et al. Late Cenozoic tectonic deformation and mechanism along the Tianshan mountain, Northwestern China. Earthquake Research in China (in Chinese) , 1996, 12(2): 127-140. |
| [22] | 张国民, 马宏生, 王辉, 等. 中国大陆活动地块边界带与强震活动. 地球物理学报 , 2005, 48(3): 602–610. Zhang G M, Ma H S, Wang H, et al. Boundaries between active-tectonic blocks and strong earthquakes in the China mainland. Chinese J. Geophys., (in Chinese) , 2005, 48(3): 602-610. DOI:10.1002/cjg2.693 |
| [23] | 胥颐, 刘建华, 刘福田, 等. 天山-帕米尔结合带的地壳速度结构及地震活动研究. 地球物理学报 , 2006, 49(2): 469–476. Xu Y, Liu J H, Liu F T, et al. Crustal velocity structure and seismic activity in the Tianshan-Pamir conjunctive zone. Chinese J. Geophys (in Chinese) , 2006, 49(2): 469-476. |
| [24] | Dziewonski A M, Chow T A, Wookhouse J H. Determination of earthquake source parameters from waveform data for studies of global and regional seismicity. J. Geophys. Res , 1981, 86(B4): 2825-2852. DOI:10.1029/JB086iB04p02825 |
| [25] | Ekström G A. A broad band method of earthquake analysis. Cambridge: Harvard University, 1987 . |
| [26] | Molnar P, Lyon-Caen H. Fault plane solutions of earthquakes and active tectonics of the Tibetan Plateau and its margins. Geophys. J. Int , 1989, 99(1): 123-154. DOI:10.1111/gji.1989.99.issue-1 |
2013, Vol. 56
