2. 中国石油化工股份有限公司石油物探技术研究院, 南京 211103
2. SINOPEC Geophysical Research Institute, Nanjing 211103, China
受各种地质因素影响,煤层气在煤层中并非均匀分布,在适当的地质条件下相对富集.研究煤层气富集规律及其控制因素是开展煤层气勘探的前提.在煤层气富集控制因素方面,Ruppel等[1]研究了煤岩在压力作用下对甲烷及乙烷的吸附性能;Yang等[2]研究了在温度和压力的共同作用下煤岩对气体的吸附性能,得出随压力的升高煤岩的吸附能力增加,随温度的增加煤岩对气体的吸附能力降低.关德师等[3]从煤储层压力角度研究了煤岩的吸附性能,阐述了煤层埋藏史对煤层气的富集影响,并针对煤层气的评价与开发提出了几个需要满足的地质条件;高洪烈[4]通过研究指出煤层气与地下水存在密切关系;池卫国[5]结合生产实践,研究了沁水盆地水文地质条件对煤层气的控制作用;苏现波等[6]通过对煤层气吸附等温曲线的研究,探讨了煤岩吸附能力的影响因素;周志成等[7]研究了煤层水在煤层气的勘探开发过程的作用;叶建平等[8]研究了不同水文地质条件对煤层气赋存的控制作用;魏书宏等[9]从构造运动及构造形态角度研究了沁水煤田南部煤层气的控气特征;张国辉等[10]详细探讨地质构造对煤层气赋存状态的影响;李贵中等[11]研究了煤层水、地质构造与煤层气富集之间的关系,提出了煤层气向斜控气论;秦胜飞等[12]根据地下水动力条件对煤层气富集的影响,提出了滞流水控气论;刘洪林等[13]研究了不同的水动力条件下形成的煤层气成藏的差异;宋岩等[14]认为构造和地下水是影响煤层气富集的两大关键因素;并在其后续的研究中给出了煤层气藏的新定义[15],详细论述了断层、地下水等地质因素对煤层气富集的影响,提出了煤层气富集相关的地质结构模型.他们的研究成果主要从地质构造及其演化、地下水、温压条件等方面对煤层气的富集进行讨论,研究成果也表明地质构造和地下水是影响煤层气富集的重要外部控制因素.
在煤层气地球物理勘探方面,目前主要用地震技术解释煤层的构造,用地震属性分析方法研究薄煤层厚度[16],用叠前AVO反演技术、叠前弹性阻抗(EI)反演技术和叠后波阻抗(AI)反演技术进行煤储层含气性的预测[17];用P波方位AVO技术识别煤层裂缝[18];用频谱分解技术[19]、数字滤波法等[20]预测煤层气的富集区等.从煤层气地震勘探研究进展看,地震勘探主要针对煤层储层属性进行研究,试验表明各方法都需要一定的条件,如采用AVO技术对煤层气储层物性预测需要偏移距均匀分布,且要有较高信噪比的地震资料,纵波方位AVO技术仅适用于定向排列的角度较大的裂隙带的检测[21, 22]等,各项技术都还处于探索试验阶段.
从勘探成本看,地震勘探特别是三维地震勘探成本高,与煤层气经济勘探开发不相适应.而且在地震勘探条件较差的地区,如华北的黄土塬区,较难获得高品质的地震资料.电磁勘探方法主要通过探测地下电性结构差异,从而推断和研究地下地质构造[23-24].近年来在工程、矿产、环境、地下水等许多领域都得到了广泛的应用[25-30],但在煤层气的勘探方面还较少见报道.本文从煤层气富集外部控制因素出发,探讨沁水盆地北部煤层气富集区与地下水和地质构造之间的关系,建立数值模型探讨电磁法的薄层识别问题,提出通过探测地下水和地质构造形态等煤层气富集的外部控制因素间接预测煤层气富集区,并据此模式开展了煤层气电磁勘探技术试验.
2 沁水盆地北部煤层气富集地质特征 2.1 区域地质与水文地质概况沁水盆地是石炭-二叠纪的华北克拉通在奥陶系地层的风化剥蚀面上接受了广泛的含煤沉积后,经历了印支运动,燕山运动,使地层抬升,并遭受大面积剥蚀,形成的残留盆地.盆地总体为一走向北北东的宽缓复式向斜构造(图 1).
|
图 1 沁水盆地东北部大地构造纲要图 Fig. 1 Qinshui Basin in northeastern tectonic outline map |
整体属于阳泉-襄垣富气带,富气带基本沿次级向斜轴部呈北北东向展布,局部有许多近南北向小规模次级褶皱,在这些褶皱部位常常形成煤层气的局部富集中心,地下水整体受分水岭控制,分水岭呈闭合状分布(图 2).地下水由四周向中心汇流,东部与东北部边缘地表水沿煤层露头向深部汇流,在中心部位形成滞流水区.石炭系太原组和二叠系山西组为区内含煤层系,含煤10余层,山西组3#煤和太原组15#煤为主要煤层,太原组15#单层平均厚度达5 m以上,且分布稳定,埋深在200~1500 m之间,为区内煤层气勘探的主力煤层.15#煤与3#煤的地下水矿化特征相同,均为HCO3-Ca.Na型,矿化度在600~1500 mg/L之间.
|
图 2 沁水盆地东北部地下水边界及矿化度分布图 Fig. 2 Groundwater boundary and salinity maps of the northeastern Qinshui basin |
从区内水文地质剖面(图 3)可见,整个煤层气探区处于一向斜构造带上,向斜的两翼均为地下水封堵之势.沿两侧煤系地层露头至深部,地下水分区依次补给区、弱径流-缓流区、滞流区.两侧浅部的地下水补给区煤层气含气量低;深部滞流区,矿化度较高(大于1500 mg/L),是煤层气的有利富集区.
|
图 3 沁水盆地东北部石炭-二叠系煤层及水文地质剖面示意图 Fig. 3 The Carboniferous-Permian coal seams and hydro-geological section diagram of the northeast Qinshui Basin |
在煤层热演化过程中,生成煤层气的同时也有大量的水生成,这些水和地表水的补给共同形成了煤层水,现今煤储层的压力主要表现为地下水的静压力,合适的构造形态可以增加煤储层的静水压力.当储层压力大于煤层气的临界解吸压力时,煤层气以吸附态保存在煤岩中,而形成富集.
本区煤层气的富集主要受构造和地下水控制作用明显.
2.2 特殊地质构造特殊的地质构造是影响煤层气富集的重要外部因素,断层、褶皱和陷落柱是影响煤层气富集的三种重要构造形式.
(1)断层 不同性质的断层对煤层气富集影响不同,封闭性断层有利于保持储层压力,对煤层气的富集有利;开放性断层容易导致储层压力释放,使吸附态煤层气解吸并沿开放通道逸散.
(2)褶皱 向斜构造是煤层气富集的有利构造形式.由于地下水向心汇集,在向斜的中心部位地下水多为承压水,能维持较高的储层压力,煤层气不易解吸,且有利于增大煤岩的吸附能力,因而有利于煤层气的富集;另外,由于地下水活动弱,水体的矿化度较高,甲烷在高矿化度的水中溶解度较小,且溶解在地下水中的甲烷不易随水力运移而散失.在褶皱的向形部位也具有类似的富气规律.
(3)陷落柱 陷落柱是一种的特殊地质构造形式.一般出现在向斜或向形构造的中部,煤系地层存下伏灰岩受地下水的淋滤侵蚀,出现溶洞,上覆地层及煤层在自身重力作用下坍塌,形成陷落柱,一般呈条带状分布.陷落柱影响煤层含气量主要表现在其对煤层封闭性能的破坏,导致煤储层的压力降低,使吸附态的煤层气解吸而逸散.陷落柱的存在也使煤层水有了较好的排泄通道,增强煤层内的地下水动力条件,而是煤层气加速逸散,是导致煤层气贫化的重要因素.
研究区局部陷落柱发育,是造成煤层气贫化的重要因素.
2.3 煤层气的富集模型结合研究区地下水、地质构造,可将研究区煤层气富集模式分为以下三类,即向斜中心部位地下水滞流区水力封闭富集模式[15],斜坡带弱径流水力封堵模式,陷落柱水力运移逸散模式.
(1)滞流水区水力封闭模式.如图 4,地下水由两侧向中心汇流,使向斜中心处于地下水等位线闭合区域内,水文分区属滞流区,地下水呈封闭状态,在中心部位形成水力封闭作用.而且在中心部位静水压力较高,煤层气不易解吸,而且有利于增加煤层的吸附性能,从而形成煤层气的相对富集.
|
图 4 滞流水区水力封闭富集模式 Fig. 4 Stagnatio nwater area and hydraulic closed enrichment mode |
(2)斜坡带弱径流水力封堵模式.如图 5,在地层斜坡带等部位,煤层气在压力作用下向地层上倾方向运移,而地下水沿煤层露头向深部渗流,二者运移方向相反,地下水向深部渗流对煤层气的向上运移产生一定的阻力,减缓其运移速度,同时可以在渗流过程中携带溶解其中的煤层气向深部运移,能有效阻止游离态的煤层气沿煤层向露头运移,而形成水力封堵作用,在深部煤层气相对富集.
|
图 5 斜坡带弱径流水力封堵富集模式 Fig. 5 Slope with weak runoff and hydraulic block enrichment mode |
(3)陷落柱水力运移逸散模式.如图 6,这种作用不利于煤层气的富集成藏.陷落柱常使煤层的封闭性遭到破坏,使煤层失压,导致煤层气解吸;另一方面,陷落柱的存在,使煤层水有了较好的排泄通道,煤层内的水动力活动增强,煤层气在地下水的驱动下加速运移逸散贫化,因此在陷落柱发育的区域,煤层的含气量均较低.
|
图 6 陷落柱水力运移逸散作用模式 Fig. 6 Collapse column and hydraulic transport fugitive action mode |
鉴于煤层气富集与地下水、地质构造之间的密切关系,结合大电磁的勘探原理,提出利用大地电磁法,通过探测地下水的分布,以及有利和不利煤层气富集的地质构造,间接实现煤层气富集区的探测.
3 线性变化薄层模型二维大地电磁响应研究大地电磁探测的分辨率较低,识别具有一定埋深的薄层比较困难.但是,对于特定条件下的薄层的研究,如上下地层电阻率为近似线性变化的薄层模型来说,采用二维模拟探讨其分辨能力,对于提高薄层电阻率地层的分辨率具有实际意义.本文针对沁水盆地的实际地层条件设计相关薄层模型的模拟,为利用电磁法对煤层气富集区薄层背景进行有效勘探提供指导.
3.1 二维MT的变分问题与二维MT边值问题转换为相应的变分问题是,
|
(1) |
式(1)中,u为Ex或Hx,Ω为二维研究区域,CD为地下边界.
TE极化模式(Ex型),AB边界为空气层上边界,并有
u=Ex,

TM极化模式(Hx型),AB边界为地面边界,并有
u=Hx,

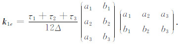
采用矩形中的三角网格剖分法对计算区域Ω进行离散.不失一般性,对于计算区域Ω内任意一个三角单元e(图 7),设在e内,电磁场值u和电性参数τ,λ,k线性变化[31],有
|
图 7 三角单元e示意图 Fig. 7 The schematic diagram of triangular element e |



若单元e的23边位于地下边界CD上时,有
|
这里,ui为三角单元节点处的电磁场,τi、λi、ki为三角单元节点处的电性参数,其下标i为三角单元的节点号;Ni(i=1,2,3)是关于y和z的线性插值形函数,Δ是三角单元的面积.


a1=z2 -z3,a2=z3 -z1,a3=z1 -z2,
b1=y3 -y2,b2=y1 -y3,b3=y2 -y1,
c1=y2z3-y3z2,c2=y3z1-y1z3,c3=y1z2-y2z1.
其中,(y1,z1)、(y2,z2)和(y3,z3)是单元节点的坐标.
在整个研究区域Ω中,将泛函(1)式离散化,表示成所有三角单元e的线性组合,即表示为
|
(2) |
对于式(2)中第一个积分项,有
|
(3) |
式中
|
(4) |
对于式(2)中第二个积分项,有
|
(5) |
式中
|
(6) |
其中,
c11=(6 2 2)λ,c12=(2 2 1)λ,
c13=(2 1 2)λ,c21=(2 2 1)λ,
c22=(2 6 2)λ,c23=(1 2 2)λ,
c31=(2 1 2)λ,c32=(1 2 2)λ,
c33=(2 2 6)λ,λ=(λ1 λ2 λ3)T.
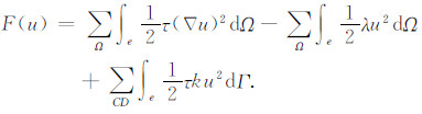
对于式(2)中第三个积分项只对CD边界进行.当单元的23边落在CD边界上时,线积分
|
(7) |
式中
|
(8) |
其中,l为23边长度,d22=(12 3 3 2)τk,d32=(3 2 2 3)τk,d33=(2 3 3 12)τk,d23=d32,τk=(τ2k2 τ2k3 τ3k2 τ3k3)T.
将研究区域Ω内所有单元系数矩阵ke按照总体节点号进行合成,得到
|
(9) |
令F(u)的变分为零,可得线性方程组
|
(10) |
应用第一类边界条件(u|AB=1),解线性方程组,便可得各节点u值,即Ex或Hx值.
用变带宽方式存储矩阵K,用不带平方根的Cholesky分解法求解线性方程组,辅助场和视电阻率的计算方法参见文献[32].
3.3 薄层模型试验分析根据沁水盆地北部和顺煤层气探区,煤层气富集存在水力封闭模式,而在水力封闭区一般处于宽缓向斜的中心,其中心部位地层相对平缓,可认为近似层状,含水富水地层常表现为低阻特征,上覆地层为中高阻,其下伏地层为高阻,主要为奥陶系灰岩,埋深在500 m左右,为检验音频大地电磁法是否能有效分辨低阻薄层,设计如下几个地球物理模型进行分析.
(1)模型一:水平层状介质模型.设计水平层状五层介质,参数如图 8;剖面长0~3 km;点距为20 m,共151个测点;频率范围为7680~0.938 Hz,共52个频点.
|
图 8 水平层状介质模型电性参数示意图 Fig. 8 Electrical parameters of the model one |
图 9为两种不同模式下视电阻率和视相位拟断面图,各层在图中均能表现在断面图上.
|
图 9 水平层状介质模型正演结果 (a)TE模式视电阻率;(b)TE模式相位;(c)TM模式视电阻率;(d)TM模式相位. Fig. 9 Forward result of model one (a) Apparent resistivity of TE mode; (b) Phase of TE mode; (c) Apparent resistivity of TM mode; (d) Phase of TM mode. |
(2)模型二:单斜地层模型.五层倾斜地层模型,参数如图 10;剖面长0~3 km;点距为20 m,共151个测点;频率范围为7680~0.938 Hz,共52个频点.
|
图 10 单斜地层模型电性参数示意图 Fig. 10 Electrical parameters of the model two |
对于倾斜地层,在视电阻率和视相位拟断面图(图 11)上也有较好的反映.
|
图 11 单斜地层模型正演结果 (a)TE模式视电阻率;(b)TE模式相位;(c)TM模式视电阻率;(d)TM模式相位. Fig. 11 Forward result of model two (a) Apparent resistivity of TE mode; (b) Phase of TE mode; (c) Apparent resistivity of TM mode; (d) Phase of TM mode. |
(3)模型三:倾斜含断层模型.参数如图 12;剖面长0~3 km;点距为20 m,共151个测点;频率范围为7680~0.938 Hz,共52个频点.
|
图 12 模型电性参数示意图 Fig. 12 Electrical parameters of the model three |
图 13为模型三的正演结果,断层在视相位断面图中的表现比视电阻率拟断面图表现更明显,TM模式变现为圆滑的起伏地层状异常,较难分辨是否存在断层.试验表明,当埋深较大时,在断距较大时视电阻率和视相位拟断面中才有较明显的表现.
|
图 13 倾斜含断层模型视电阻率与相位拟断面图 (a)TE模式视电阻率;(b)TE模式相位;(c)TM模式视电阻率;(d)TM模式相位. Fig. 13 Forward result of model three (a) Apparent resistivity of TE mode; (b) Phase of TE mode; (c) Apparent resistivity of TM mode; (d) Phase of TM mode. |
上述模型试验结果表明,利用大地电磁法对地下有一定埋深的薄层进行探测时,只要频点分布选择合适,采用本文的正演方法能有效识别薄层的存在.试验结果也为煤层气的电磁勘探提供了技术支持.
4 煤层气富集区勘探试验为验证煤层气富集区大地电磁探测效果,选择沁水盆地北部某煤层气探区的已知煤层气相对富部位开展电磁探测技术试验.仪器为加拿大凤凰公司研制的System 2000.NET多功能电法测量系统.
4.1 试验区地球物理特征试验区位于复式向斜盆地的东北边缘的斜坡带上,整体为一单斜构造,地层缓倾,倾角小于5°,局部发育小断层,构造相对简单,地下水为弱径流-缓流区.试验区奥陶系以上主要有石炭系本溪组、太原组;二叠系山西组、下石盒子组、上石盒子组和石千峰组,三叠系刘家沟组,山梁沟谷覆盖有第四系地层.地表出露二叠系上石盒子组、石千峰组.根据实际露头及钻井岩性测试,并根据不同地层统计电性参数,如表 1.从地层电性参数统计结果看,各地层电阻率有一定的差异,利用大地电磁法开展试验具有物性前提.
|
|
表 1 试验区地层电性参数统计表 Table 1 The stratigraphic electrical parameters tables |
根据区内已知钻井资料统计,15#煤层顶底板以泥岩和砂岩为主,厚度较大,封盖条件较好,顶底板岩性厚度、煤级统计表如表 2.
|
|
表 2 15#煤层顶底板岩性、厚度、煤级统计表 Table 2 The roof and floor lithology, thickness and coal-level of 15# coalseam |
由于试验区地层向北西西方向逐渐变深,区内H-2井为已知产气井,故布置两条剖面,CS01和CS02,在H-2井处正交(如图 14),其中CS01剖面为近南北向(NE19°),穿过H-2井组及其东北部已知煤层气富集区,剖面长度为3.6 km,点距40 m;命名为CS01线,CS02剖面近东西向(NW71°与地层方向一致)穿过H-2井组至其西北部已知煤层气相对贫化区,分别探测两个方向不同含气量部位的电磁响应.
|
图 14 测线位置及15#煤层气含气量分布图 Fig. 14 Survey line position and 15# coal seam gas content distribution |
试验区目标层深度在500~850 m之间,设计工作频段为7680~0.9375 Hz,共52个频点,各频点在对数坐标轴上基本均匀分布.为尽量使观测数据处于波区,实际试验收发距均大于12.00 km,发射源AB长度为2.2 km.两条剖面采用不同的发射源,发射源分别与所测剖面平行,并使剖面处于AB两端张角的30°范围内.电极AB经处理后接地电阻均小于35 Ω(含导线直流电阻),通过试验确定供电电流为4.5~16 A,即高频(7680 Hz)电流为4.5 A,低频(0.9375 Hz)电流为16 A,中间各频点发射电流由发射机按供电系统特性自动调节.
为保证观测数据质量,每个频点适当增加叠加次数,高频频点观测周数为50,低频频点时间长度为50 s,52个频点循环一周用时2600 s.在正式测量前进行了仪器及磁探头的标定,以及各道一致性试验等工作,试验区电磁干扰较小,数据质量较好.
4.3 数据处理与解释数据处理与反演解释采用MTSoft 2D大地电磁解释系统进行,该系统包括数据编辑平滑、静态校正、数据反演等模块,其中反演模块中包含Bostick、OCCOM、NLCG、RRI等多种反演方法,可实现大地电磁数据的预处理及反演解释功能.
由于CSAMT观测数据存在近场效应,根据实际收发距离、实测高频数据等将实测数据中的小于3 Hz以下数据切除,采用MT数据处理方法进行后续处理,处理过程包括曲线平滑、静态校正、近场校正、反演解释等.
(1)典型曲线分析
图 15给出了CS01剖面上5个测深点的原始视电阻率和相位曲线,测深点位分别为S-1320、S-1870、S-2270、S-3410、S-4010,基本均匀地分布在整个剖面上.从各曲线看,视电阻率曲线整体形态基本一致,中高频段(50 Hz以上)视电阻率整体变化不大,在40~60 Ωm,高频点处视电阻率在不同测点处有不同的变化趋势,在30 Hz附近出现明显低阻,小于30 Hz的低频部分电阻率随频率减低而逐渐上升.视电阻率曲线圆滑,在个别频点处数据存在跳点.
|
图 15 部分点位实测视电阻率(ρa)及相位(ϕ)曲线 (a-e)视电阻率曲线;(f-j)相位曲线. Fig. 15 Part of the point measured apparent resistivity and phase curves (a-e) apparent resistivity curves; (f-j) phase curves. |
对比视电阻率曲线和相位曲线,试验剖面地层大致可分为三层,上部中低阻层,中深部存在低阻层,底部为中高至高阻地层,与实际地层结构基本一致.
(2)实测数据拟断面
图 16a中在32 Hz附近视电阻率普遍表现为低阻层,其以上频段视电阻率变化不大,在剖面左侧30~100 Hz之间存在电阻率较低的低阻层,向剖面右侧,该层逐渐向低频段移动,从左至右地层有逐渐变深的趋势;在该层位上部地层整体可视为一个厚层,局部有存在竖直条带状异常,可能为静态效应所致;20 Hz以下视电阻率逐渐增大,成层性较好.视相位断面图中也有类似的层状表现.
|
图 16 CS01剖面实测数据拟断面 (a)视电阻率;(b)相位. Fig. 16 Measured data fake section of CS01 profile (a) Apparent resistivity section; (b) Phase section. |
根据H-2井钻井、测井资料及地层电性参数统计结果结合建立一维理论模型,如图 17a,模型中各层电阻率为考虑电性变化,采用各层的平均电阻率,AMT正演得到的TM模式视电阻率断面图(图 17b)和TM模式相位断面图(图 17c).图 17b中底部分层明显,与图 16a具有基本相同的分层结构,低阻层出现在30~100 Hz之间,相位断面图中在30 Hz左右分层明显.可根据此理论模型设计反演的初始模型,进行资料的反演与解释.
|
图 17 理论模型及正演结果 (a)理论模型;(b)TM模式视电阻率;(c)TM模式相位. Fig. 17 Theory model and the result of its forward modeling (a) Theory model; (b) Apparent resistivity of TM mode; (c) Phase of TM mode. |
(3)成果解释
反演采用NLCG方法,反演中采用钻井和测井资料进行约束,最终获得剖面的反演断面图.
图 18中电阻率为实际电阻率的常用对数值.整体而言,剖面电性层从左(南西)到右(北东)地层逐渐变深,与实际地层变化趋势一致,即向北东方向地层逐渐变深,局部存在小褶皱.近地表处电阻中低,地下深约300~400 m位置有一明显且连续的低阻层,其下部电阻率逐渐增高.整个剖面电性呈层状展布,中深部各层起伏形态相似.根据剖面电性特征,对比H-2井钻及测井解释结果(图 19),在电阻率反演剖面图上推断了太原组及其以上地层界线(图中红色细虚线),以及15#煤层位置(黑色粗虚线).
|
图 18 CS01线电阻率NLCG反演剖面图 Fig. 18 Resistivity NLCG inversion section of CS01 profile |
|
图 19 H-2井地质地球物理综合柱状图 Fig. 19 Geological and geophysical comprehensive column of H-2 wel |
从图 18可见,中深部低阻层为二叠系山西组地层,推断该层含水.测井结果显示K7砂岩及下石盒子组下部的K10砂岩富水性中等,这也是导致该层呈现低阻的主要原因.地层向大号点逐渐变深,有多处局部褶皱向形部位,在这些部位容易形成地下水的富集.钻井资料显示下石盒子组、山西组、太原组和本溪组之间均呈整合接触,表明地层之间具有良好的继承性,太原组地层和15#煤层也有与山西组类似的走向和局部褶皱形态.
由于煤层气富集受煤层顶底板的封闭条件、水动力条件和构造等综合控制,通过维持煤层内的压力,使煤层气处于吸附状态,对煤层气起保存作用的.区内煤层顶底板具有较好的封盖条件,剖面所经过的部位未发现断层和陷落柱.图 18中展示的构造为缓坡构造,推测地下水呈现弱径流-滞流状态,是有利于煤层气富集成藏的一种模式,整体有利于煤层气的富集.
图 20中剖面电性分层明显,且与CS01剖面具有相似的分层结构.根据H-2和HS-1井(投影位置)钻井资料及电阻率反演断面图勾绘了各地层界线.在本剖面中低阻层出现在下石盒子组,在H-2井的左侧低阻层下穿至山西组.剖面西(左)深东(右)浅,中部HS-1井右侧存在断层F5、F8,其中F8断层在电阻率剖面图上有明显显示.根据电阻率断面图推断在4.9 km位置可能存在隐伏断层F1,断层可能切穿山西组,沟通下石盒子组K10砂岩富水层,而使H-2井部位山西组显示低阻.
|
图 20 CS02剖面电阻率NLCG反演断面图 Fig. 20 Resistivity NLCG inversion section of CS02 profile |
从图 20推断F8断层可能为封闭性断层,导致下石盒子组含水层在F8和F2断层之间富水,推测在该段下部山西组和太原组也有类似的特征,而在该部位地层缓倾,容易形成封闭断层-斜坡带富集模式,与实际含气量分布图有较好的对应关系;F5断层可能为开放性断层,在HS-1井钻井过程中钻遇陷落柱,因此,在HS-1井周围煤层气含气量偏低,由于剖面未经过该井,断面图中未显示出陷落柱特征.
根据向斜或向形富气机制,推测在3#和15#等煤层在这些褶皱向形部位也容易形成煤层气的有利富集.在整个剖面位置,地层走向平缓,向北东(大号点方向)逐渐变深,地下水呈现弱径流的趋势,根据煤层气有利的水动力模式,在弱径流或滞流部位是煤层气的有利的富集部位,H-2井位于地层斜坡带上,实测含气量为15.0 m3/t.因此,推测剖面中部至右端的北部为地下水滞流和弱径流区,对煤层气的保存较为有利,与实际煤层气富集部位有较好的一致性.
5 结论煤层气的勘探多采用地震方法,在勘探中发挥了重要作用,但地震勘探特别是三维地震勘探成本极高,煤层气非地震地面勘探研究较少见报,本文通过分析沁水盆地北部地下水和构造之间的关系,提出采用大地电磁法通过探测地下水的分布,以及有利和不利于煤层气富集的地质构造,间接探测和预测煤层气富集区的技术模式,针对该区煤层气富集模式设计了相应的模型,研究了大地电磁法在薄层识别问题,并根据提出的技术模式,在已知煤层气探区开展了电磁探测试验,表明:
(1)地下水和构造是控制试验区煤层气富集的重要因素,这些因素可以作为煤层气电磁勘探切入点,通过探测地下水和有利或不利于煤层气富集的地质构造预测煤层气的富集区.
(2)通过数值模拟,认为大地电磁法能有效识别具有一定埋深的薄层,可以作为煤层气非地震勘探的技术手段;
(3)通过沁水盆地北部煤层气富集区电磁勘探技术试验,认为CSAMT方法在煤层气富集区的勘探和预测方面具有一定的潜力.
由于煤层气富集呈现面积性分布,二维剖面探测只能获得一个方向的信息,为了更好地获得煤层气富集区地层的平面展布特征、构造形态和水动力条件等,可尝试开展大地电磁三维勘探,以了解地下三维电性结构,对煤层气富集区地下水、构造特点和富气模式做出区域性、立体评价,真正实现对煤层气有利富集区进行综合评价.
致谢感谢国家重大专项煤层气勘探关键技术---煤层气综合物探技术应用研究专题(2011ZX05035-002-006 Hz)资助.
| [1] | Ruppel T C, Grein C T, Bienstock D. Adsorption of methane/ethane mixtures on dry coal at elevated pressure. Fuel , 1972, 51(4): 297-303. DOI:10.1016/0016-2361(72)90007-5 |
| [2] | Yang R T, Saunders J T. Adsorption of gases on coals and heattreated coals at elevated temperature and pressure: 1. Adsorption from hydrogen and methane as single gases. Fuel , 1985, 64(5): 616-620. DOI:10.1016/0016-2361(85)90043-2 |
| [3] | 关德师. 煤层甲烷的特征与富集. 新疆石油地质 , 1996, 17(1): 80–84. Guan D S. Discussion on the characteristics and enrichment of coal bed methane. Xinjiang Petroleum Geology (in Chinese) , 1996, 17(1): 80-84. |
| [4] | 高洪烈. 论煤层气与地下水. 中国煤田地质 , 1998, 10(4): 45–48. Gao H L. On coalbed methane and groundwater. Coal Geology of China (in Chinese) , 1998, 10(4): 45-48. |
| [5] | 池卫国. 沁水盆地煤层气的水文地质控制作用. 石油勘探与开发 , 1998, 25(3): 15–18. Chi W G. Hydro geological control on the coalbed methane in Qinshui basin. Petroleum Exploration and Development (in Chinese) , 1998, 25(3): 15-18. |
| [6] | 苏现波, 刘保民. 煤层气的赋存状态及其影响因素. 焦作工学院学报 , 1999, 18(13): 157–160. Su X B, Liu B M. Occurrence of coalbed methane in coal-seam and it's controls. Journal of Jiaozuo Institute of Technology (in Chinese) , 1999, 18(13): 157-160. |
| [7] | 周志成, 王念喜, 段春生. 煤层水在煤层气勘探开发中的作用. 天然气工业 , 1999, 19(4): 23–25. Zhou Z C, Wang N X, Duan C S. Action of coalbed water in the exploration and development of coalbed gas. Natural Gas Industry (in Chinese) , 1999, 19(4): 23-25. |
| [8] | 叶建平, 武强, 王子和. 水文地质条件对煤层气赋存的控制作用. 煤炭学报 , 2001, 10(5): 459–462. Ye J P, Wu Q, Wang Z H. Controlled characteristics of hydrogeological conditions on the coalbed methane migration and accumulation. Journal of China Coal Society (in Chinese) , 2001, 10(5): 459-462. |
| [9] | 魏书宏, 韩少明. 沁水煤田南部煤层气构造控气特征研究. 煤田地质与勘探 , 2003, 31(3): 30–31. Wei S H, Han S M. Study of characteristics of structure-controlled coalbed gas in southern Qinshui Coalfield. Coal Geology & Exploration (in Chinese) , 2003, 31(3): 30-31. |
| [10] | 张国辉, 韩军, 宋卫华. 地质构造形式对瓦斯赋存状态的影响分析. 辽宁工程技术大学学报 , 2005, 24(1): 19–22. Zhang G H, Han J, Song W H. Influence of geological structure on gas existing status. Journal of Liaoning Technical University (in Chinese) , 2005, 24(1): 19-22. |
| [11] | 李贵中, 王红岩, 吴立新, 等. 煤层气向斜控气论. 天然气工业 , 2005, 25(1): 26–28. Li G Z, Wang H Y, Wu L X, et al. Theory of syncline-controlled coalbed methane. Natural Gas Industry (in Chinese) , 2005, 25(1): 26-28. |
| [12] | 秦胜飞, 宋岩, 唐修义, 等. 水动力条件对煤层气含量的影响-煤层气滞留水控气论. 天然气地球科学 , 2005, 16(2): 149–152. Qin S F, Song Y, Tang X Y. The influence on coalbed gas content by hydrodynamics-the stagnant groundwater controlling. Natural Gas Geoscience (in Chinese) , 2005, 16(2): 149-152. |
| [13] | 刘洪林, 李景明, 王红岩, 等. 水动力对煤层气成藏的差异性研究. 天然气工业 , 2006, 26(3): 35–37. Liu H L, Li J M, Wang H Y, et al. Different effects of hydrodynamic conditions on coal-bed gas accumulation. Natural Gas Industry (in Chinese) , 2006, 26(3): 35-37. |
| [14] | 宋岩, 秦胜飞, 赵孟军. 中国煤层气成藏的两大关键地质因素. 天然气地球科学 , 2007, 18(4): 545–553. Song Y, Qin S F, Zhao M J. Two key geological factors controlling the coalbed methane reservoirs in china. Natural Gas Geoscience (in Chinese) , 2007, 18(4): 545-553. |
| [15] | 宋岩, 刘洪林, 柳少波, 等. 中国煤层气成藏地质. 北京: 科学出版社, 2010 . Song Y, Liu H L, Liu S B, et al. The China Coalbed Methane Reservoir Geology (in Chinese). Beijing: Science Press, 2010 . |
| [16] | 王连刚, 李俊乾. 地震技术在煤层气储层研究与物性预测中的应用. 资源与产业 , 2004, 12(4): 158–162. Wang L G, Li J Q. Application of seismic technique on CBM reservoir and prediction of physical property. Resources & Industries (in Chinese) , 2004, 12(4): 158-162. |
| [17] | 彭苏萍, 高云峰, 杨瑞召, 等. AVO探测煤层瓦斯富集的理论探讨和初步实践:以淮南煤田为例. 地球物理学报 , 2005, 48(16): 1475–1486. Peng S P, Gao Y F, Yang R Z, et al. Theory and application of AVO for detection of coalbed methane-A case from the Huainan coalfield. Chinese J. Geophys. (in Chinese) , 2005, 48(16): 1475-1486. |
| [18] | 彭晓波, 彭苏萍, 詹阁, 等. P波方位AVO在煤层裂缝探测中的应用. 岩石力学与工程学报 , 2005, 24(16): 2960–2965. Peng X B, Peng S P, Zhan G, et al. P-wave azimuthal AVO analysis of fracture detection in coalbed and its application to engineering. Chinese Journal of Rock Mechanics and Engineering (in Chinese) , 2005, 24(16): 2960-2965. |
| [19] | 常锁亮, 刘大锰, 林玉成, 等. 频谱分解技术在煤田精细构造解释及煤含气性预测中的应用. 煤炭学报 , 2009, 34(8): 1015–1021. Chang S L, Liu D M, Lin Y C, et al. Application of spectral decomposition for fine seismic structural interpretation in coalfield and gas-bearing property predication of coal seam. Journal of China Coal Society (in Chinese) , 2009, 34(8): 1015-1021. |
| [20] | 杨双安, 宁书年, 张会星, 等. 三维地震勘探技术预测瓦斯的研究成果. 煤炭学报 , 2006, 31(3): 334–336. Yang S A, Ning S N, Zhang H X, et al. Research achievements of forecasting gas using three-dimensional seismic exploration. Journal of China Coal Society (in Chinese) , 2006, 31(3): 334-336. |
| [21] | 常锁亮, 刘大锰, 王明寿. 煤层气勘探开发中地震勘探技术的作用及应用方法探讨. 中国煤层气 , 2008, 5(2): 23–27. Chang S L, Liu D M, Wang M S. Study on the effects and application methods of seismic technique in CBM exploration and exploitation. China Coalbed Methane (in Chinese) , 2008, 5(2): 23-27. |
| [22] | 常锁亮, 杨起, 刘大锰, 等. 煤层气储层物性预测的AVO技术对地震纵波资料品质要求的探讨. 地球物理学进展 , 2008, 23(4): 1236–1243. Chang S L, Yang Q, Liu D M, et al. The discussion of required P-wave quality for the AVO technology based on the CBM reservoir research. Progress in Geophysics (in Chinese) , 2008, 23(4): 1236-1243. |
| [23] | 王绪本, 朱迎堂, 赵锡奎, 等. 青藏高原东缘龙门山逆冲构造深部电性结构特征. 地球物理学报 , 2009, 52(2): 564–571. Wang X B, Zhu Y T, Zhao X K, et al. Deep conductivity characteristics of the Longmen Shan, Eastern Qinghai-Tibet Plateau. Chinese J. Geophys. (in Chinese) , 2009, 52(2): 564-571. |
| [24] | 王若, EndoM, 底青云, 等. 导电薄层下三维岩脉的CSAMT响应分析. 地球物理学报 , 2010, 53(3): 677–684. Wang R, Endo M, Di Q Y, et al. The analysis of CSAMT responses of dyke embedded below conductive overburden. Chinese J. Geophys. (in Chinese) , 2010, 53(3): 677-684. |
| [25] | 底青云, 王光杰, 安志国, 等. 南水北调西线千米深长隧洞围岩构造地球物理勘探. 地球物理学报 , 2006, 49(6): 1836–1842. Di Q Y, Wang G J, An Z G, et al. Geophysical exploration of a long deep tunnel on the west route of South-to-North Water Diversion Project. Chinese J. Geophys. (in Chinese) , 2006, 49(6): 1836-1842. |
| [26] | 朱金华, 冒我冬, 白锦琳, 等. CSAMT法在断层含水性评价中的应用. 物探与化探 , 2011, 35(4): 569–572. Zhu J H, Mao W D, Bai J L, et al. The application of CSAMT method to the evaluation of water-bearing properties of faults. Geophysical and Geochemical Exploration (in Chinese) , 2011, 35(4): 569-572. |
| [27] | 底青云, 王妙月, 石昆法, 等. 高分辨V6系统在矿山顶板涌水隐患中的应用研究. 地球物理学报 , 2002, 45(5): 744–748. Di Q Y, Wang M Y, Shi K F, et al. An applied study on prevention of water bursting disaster in mines with the high resolution v6 system. Chinese J. Geophys. (in Chinese) , 2002, 45(5): 744-748. |
| [28] | 于昌明, 石昆法, 高宇平. CSAMT法在四台矿402盘区陷落柱构造探测中的应用. 地球物理学进展 , 1996, 11(2): 137–147. Yu C M, Shi K F, Gao Y P. Looking for fallen columns of coal mine by CSAMT method in NO. 402 area of Datong city. Progress in Geophysics (in Chinese) , 1996, 11(2): 137-147. |
| [29] | 底青云, 王妙月. 煤层上覆地层含水不均匀性电法探测的可能性. 地球物理学进展 , 2003, 18(4): 707–710. Di Q Y, Wang M Y. Prospecting possibility with electric method for thin water bearing rock layer upper the coal layers. Progress in Geophysics (in Chinese) , 2003, 18(4): 707-710. |
| [30] | SaraevA K, AntaschukK M, NikiforovA B, 等. AMT测深法在金刚石矿勘探中的应用. 地球物理学报 , 2010, 53(3): 657–676. Saraev A K, Antaschuk K M, Nikiforov A B, et al. Audiomagnetotelluric soundings for the diamond exploration. Chinese J. Geophys. (in Chinese) , 2010, 53(3): 657-676. |
| [31] | 刘云, 王绪本. 电性参数分块连续变化二维MT有限元数值模拟. 地球物理学报 , 2012, 55(6): 2079–2086. Liu Y, Wang X B. The FEM for modeling 2-D MT with continuous variation of electric parameters within each block. Chinese J. Geophys. (in Chinese) , 2012, 55(6): 2079-2086. |
| [32] | 刘云.起伏地形大地电磁、时间域瞬变电磁二维数值模拟及直接反演法[博士论文].成都:成都理工大学, 2012. Liu Y. Two-dimension Numerical Modeling for Topography Magnetotelluric/Time-domain Transient Electromagnetic and Direct Inverse Method [Ph. D.thesis](in Chinese). Chengdu: Chengdu University of Technology, 2012. http://d.wanfangdata.com.cn/Thesis/Y2216104 |
2013, Vol. 56

