中尺度电离层行波扰动(Medium-Scale Traveling Ionospheric Disturbances,MSTIDs)是电离层波的物理迹象,其传播周期范围为几分钟到1小时[1].MSTIDs导致电离层等离子体存在不规则梯度,对精密导航定位影响较大[2].因此,研究MSTIDs具有十分重要的意义.首要的工作是能够准确探测MSTIDs,其关键在于去除电离层观测数据中电离层随时空变化的趋势项,从而得到扰动序列.Tsugawa等和Kotake等利用GPS电离层观测数据减去其1小时的滑动平均值得到其扰动成分[3-4];Ding等和Wang等采用多项式模型以1个小时以上的时长分段拟合GPS电离层观测数据以去除电离层趋势项[5-6];Katamzi等采用Savitzky-Golay滤波提取电离层扰动部分,其滑动窗口观测数据时长同样在1小时以上[7].
以上研究方法通常可以较好地提取实际的电离层扰动波信息,但去除电离层趋势项时,需要较长的滑动时间窗口,在处理大量数据时比较耗时,而且只适用于事后处理.Hernández-Pajares等提出一种简便的SRTI方法来去除电离层趋势项,只需利用前后几个历元观测值即可[1, 8].该观测值可以应用于实时处理,非常适合于导航应用中对电离层扰动的探测,而且可以以此定义一个电离层扰动指标应用于精密定位中[1].但现有SRTI只对周期小于33 min的MSTIDs具有较好的灵敏性,这限制了SRTI探测电离层扰动的能力.本文对SRTI探测电离层扰动的方法进行改进,以提高该方法探测扰动的能力.
2 MSTIDs探测方法 2.1 SRTI方法探测MSTIDs的基本观测值是无几何关系的GPS载波相位,其与电离层总电子含量(Total Electron Content,TEC)的关系式如下:
|
(1) |
式中,L4为无几何关系组合相位观测值(单位为m);k为TEC与观测值间的转化因子,其大小约为0.105 m/ TECU;b为每个连续观测弧段中未知的常量偏差,主要包括载波相位模糊度以及硬件延迟.
在较短时间内,如果电离层没有发生扰动,可以近似认为电离层TEC值呈线性变化.基于此,Hernández-Pajares等[8]采用如下的组合观测值来去除电离层趋势项:
|
(2) |
式中,ΔL4(t)为扰动项,t为观测历元,τ为前后历元间隔.结合(1)式,考虑电离层投影函数M可以得到TEC的扰动项dTEC:
|
(3) |
对周期为T的MSTID,扰动波D可以表示为:
|
(4) |
式中,A0为MSTID的振幅,

|
(5) |
在没有发生周跳时,
由(5)式知,扰动波


本文采用不同于(2)式的组合观测值来去除电离层趋势项:
|
(6) |
相对于(2)式,(6)式不仅利用间隔为τ的前后两个观测值,也用到了间隔为2τ的前后两个观测值,考虑到与当前历元的时间间隔不同,这两组观测值所采用的权值比是7/3.同样,我们得到去除电离层趋势变化时的扰动波
|
(7) |
便可以根据周期同样为T,振幅为
|
(8) |
的扰动波
下面讨论SRTI方法与改进的SRTI方法探测的有效扰动周期范围.根据观测的扰动波与实际扰动波振幅之间的关系,定义R1=A1/A0,R2=A2/A0为增强因子.增强因子在大于1时,探测方法十分有效;当增强因子小于0.4时,由于真实的扰动波被严重减弱,其灵敏性降低.在时间间隔τ=300 s时,可得R1、R2与扰动周期的关系如图 1所示.
|
图 1 增强因子与扰动周期的关系(τ=300 s) Fig. 1 The relationship between augment factor and disturbance period (τ=300 s) |
由图 1知,R1大于1的周期范围为400~1200 s,大于0.4的范围约为360~2000 s,表明SRTI方法探测MSTIDs的有效周期范围为6 min到33 min,尤其对周期6 min至20 mim的扰动比较灵敏,但对周期为33 min以上的MSTIDs灵敏性较低.而R2大于1的周期范围约为380~1550 s,大于0.4的范围约为360~2760 s,表明改进的SRTI法探测MSTIDs的有效周期范围约为6 min到46 min,对周期6 min至26 mim的扰动尤其灵敏.相比于原SRTI方法,改进的SRTI方法增加了扰动探测的能力,对周期33 min到46 min的扰动也具有较高的灵敏度.
需要说明一点,由于卫星及电离层穿刺点与电离层扰动波存在相对运动,引起多普勒效应,使得观测的扰动波周期与扰动波的真实周期并不相同,这里探测的周期范围都是指观测的扰动波周期.
3 实例分析选取位于美国加利福利亚州南部的JPLM(34.205°N,118.173°W)、CIT1(34.140°N,118.130°W)、CHIL(34.330°N,118.030°W)、CMP9(34.350°N,118.410°W)和CSN1(34.254°N,118.524°W)共5个IGS测站2012年年积日189的GPS实测数据,对MSTIDs进行分析.各测站相距较近,平均间距在20 km左右(在估计扰动传播参数时,避免由于测站间距过长引起观测数据序列相位的整周模糊度问题).由于低高度角时,卫星与接收机视线方向电离层TEC值通常变化较大,使得去除趋势项时误差较大,而且低高度角时垂直方向上的电离层TEC值受投影函数影响也较大,在数据处理时,为了减少低高度角数据的影响,卫星截止高度角设为40°.
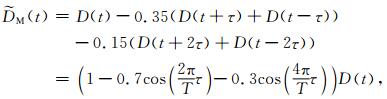
3.1 MSTIDs探测采用JPLM站卫星PRN21观测数据计算的电离层扰动序列及其快速傅里叶变换(Fast Fourier Transform,FFT)结果如图 2所示(其他几个测站得到相似的结果,为简便,不再一一列出),其中图 2a、2b分别为SRTI法和改进的SRTI法计算的电离层扰动序列.观察两种方法处理的扰动序列结果,可以发现在21:30-23:00 LT均发生明显的电离层扰动,其扰动幅度最大达0.5~0.6 TECU,且存在两个以上的波峰(波谷),扰动周期小于1小时.因此,可以确定存在MSTIDs,而且根据其发生的时间段,属于夜间扰动.
|
图 2 卫星PRN21观测数据计算的电离层扰动序列及其FFT频谱图 (a)(c)为SRTI法计算的扰动序列及其时间段21:30-23:00 LT的FFT频谱图,(b)(d)为改进的SRTI法计算的扰动序列及时间段21:30-23:00 LT的FFT频谱图. Fig. 2 Ionospheric disturbances sequence and its FFT spectrum graph using observations of satellite PRN21 Panel (a)(c) represent ionospheric disturbances sequence by SRTI method and FFT spectrum graph at 21:30-23:00 LT respectively, and panel (b)(d) are the counter part of modified SRTI method. |
图 2c、2d分别为对SRTI法和改进的SRTI法所得时间段21:30-23:00 LT的扰动序列进行FFT的频谱图,考虑到MSTID最大频率一般不超过0.0033 Hz(周期为5 min)[8],为方便观测,图中只给出了频率0.004 Hz以内的结果.从图中可以看出,两个序列频谱图均在频率为0.0011 Hz(周期约为15 min)有显著的振幅,大小分别为0.25 TECU和0.26 TECU,满足Hernández-Pajares等[8] MSTID振幅应大于0.1 TECU的要求,可以认为扰动序列存在周期为15 min的MSTID.根据图 1可知,扰动周期为15 min时增强因子分别为R1=1.48、R2=1.50,求得两种方法计算的实际扰动波振幅均为0.17 TECU,吻合得较好,说明图 1理论结果的合理性.
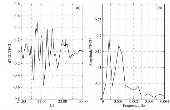
观测频谱图 2d,可以发现改进的SRTI法处理结果在频率0.00043 Hz(周期约为39 min)处还存在另一显著振幅,大小约为0.11 TECU,可以认为存在周期为39 min的MSTID.但是,SRTI法处理序列的频谱图 2c在频率0.00043 Hz处并不存在显著振幅,认为不存在MSTID.为了对SRTI方法和改正SRTI方法探测结果进行验证,给出Savitzky-Golay滤波处理相同观测数据得到的电离层扰动序列及其FFT频谱图如图 3a、3b所示.
|
图 3 Savitzky-Golay滤波处理卫星PRN21观测数据得到的电离层扰动序列及时间段21:30-23:00 LT的FFT频谱图 Fig. 3 Ionospheric disturbances sequence by Savitzky-Golay filter and FFT spectrum graph at 21:30-23:00 LT using observations of satellite PRN 21 |
由于Savitzky-Golay滤波滑动窗口数据时长大于1小时(大于MSTIDs的最大周期),可以较好地提取实际的电离层扰动波信息,其结果可以作为参考真值.从图 3a可以看出,电离层扰动同样发生在21:30-23:00 LT,而且大波谷(约0.5 TECU)和小波谷(约0.2 TECU)交替出现,表明显著的MSTID应不只一种.图 3b频谱图进一步证实了这个结论:在频率0.0011 Hz(周期约为15 min)和0.00043 Hz(周期约为39 min)处均存在显著的振幅,大小分别为0.17 TECU和0.19 TECU,表明扰动序列存在两个显著的MSTID.这与改进的SRTI法处理的结果是一致的,即存在两个不同周期的MSTID.前面已经给出,由改正的SRTI法得到周期15 min的MSTID实际振幅为0.17 TECU,与Savitzky-Golay滤波处理结果相同;对于周期为39 min的MSTID,根据图 1,其增强因子R2=0.53,同样计算出其实际振幅为0.2 TECU,与Savitzky-Golay滤波处理结果也是基本相同的,这说明改进的SRTI法探测的扰动结果是准确的.
通过以上分析,可以确定在21:30-23:00 LT时,电离层扰动序列主要包含周期15 min和周期39 min的MSTID.从探测结果看,SRTI法对较短周期扰动比较有效,对较长周期扰动不敏感,而改进的SRTI法对较短周期和较长周期的扰动均具有灵敏性,这与图 1的理论结果是一致的.
3.2 传播参数估计在这部分,我们将利用改进的SRTI方法提取的扰动观测序列来估计MSTIDs的传播参数(主要包括扰动周期、波速以及波的传播方向),分析其可行性.本文采用的方法为傅里叶变换相位差分法:设有三个相距几十公里的测站,对三个测站观测的同一颗卫星的扰动序列进行快速傅里叶变换,可以得到观测的扰动频率fobs和扰动序列在三个测站之间的相位差φ21、φ31.考虑卫星运动引起的多普勒效应,扰动波的真实频率fwav为[6, 10-13]:
|
(9) |
式中,k为波数,up为电离层穿刺点的水平运动速度.
获取三个测站之间的相位差以及扰动频率后,可以解算出扰动的周期、水平相速度以及扰动的传播方向,具体的计算公式可以参照文献[6, 10, 13].在实际计算过程中,可以采用多个测站(大于3)进行解算,取所有解的平均值作为最终的结果,以提高参数估计的可靠性.
图 4给出了利用改进的SRTI法分别计算5个测站卫星PRN21的观测数据得到的电离层扰动序列值(为区分,各测站计算的扰动序列值进行了整体平移).从图中可以看出,各测站计算的序列值均在21:30-23:00 LT发生了“类波”的扰动,各测站序列值变化趋势基本上一致,而且扰动的变化形态几乎一样,只是存在一定的时差,满足傅里叶变换相位差分法计算电离层扰动传播参数的条件.
|
图 4 改进的SRTI法处理各测站卫星PRN21观测数据得到的电离层扰动序列 Fig. 4 Ionospheric disturbances sequence by modified SRTI method using 5 different stations′ observations of satellite PRN 21 |
选择5个测站中的任意3个测站组合来估算扰动传播参数,并去掉几何强度比较差的组合(如JPLM、CIT1和CMP9,这3个站几乎在同一条直线上,造成解的不稳定),总共8组解,每个组合及其均值结果如表 1所示.从解算结果看,不同组合解虽然存在一定的差异(这主要是由于三角形的几何强度不同以及扰动在不同区域传播参数不完全相同引起的),但整体上结果一致.
|
|
表 1 扰动传播参数计算结果 Table 1 The results of MSTIDs propagation parameters |
表 1给出了两个不同观测频率的MSTID扰动传播参数解算的均值.对于fobs=0.0011 Hz,其真实扰动周期为17.8 min,水平相速度为158.3 m/s,传播的方位角为234.7°;对于fobs=0.00043 Hz,其真实扰动周期为46.7 min,水平相速度为239.4 m/s,传播方位角为285.6°.两个MSTID传播方向存在约50°的夹角,其原因可能是由于激发电离层扰动的作用力方向不完全相同造成的.由于实际的电离层扰动波主要是这两个频率的MSTID的合成,而且由图 3b频谱图知二者能量基本相同,可以确定电离层扰动波传播方向应为西偏南方向.
在3.1节已指出,观测到的MSTIDs属于夜间扰动.Tsugawa等[9]和Kotake等[4]对美国加州南部夏季夜间的MSTIDs进行了统计研究,表明夜间扰动的传播方向主要为西南方向,水平相速度为60~160 m/s,周期为15~60 min;宋茜等[10]同样对加州地区的夜间MSTIDs进行了研究,其结果为:扰动传播方向为210°~300°,水平相速度为100~250 m/s,周期为20~40 min.从扰动传播参数解算结果看,本文结果与宋茜等研究结果符合得较好,这是由于解算方法比较相似,都是在频域内解算,只是获取测站间相位延迟的手段不同:本文采用的快速傅里叶变换,宋茜等采用的是三通道最大熵谱分析方法[10, 14].同样,本文处理结果与Tsugawa等、Kotake等研究结果基本一致,只是波速的大小存在一定差异.这主要是因为其根据二维扰动序列图,直接在时域内对扰动序列的传播参数进行解算[9, 15];而本文是对扰动序列做频谱分析,然后对每个显著MSTID进行求解.另外,由于本文采用的是2012年的观测数据,而Tsugawa等、Kotake等统计的是2007年以前的数据,不同年份电离层夜间扰动特性可能不完全一致.
总的来说,本文计算的MSTIDs传播参数符合前人研究成果,表明改进的SRTI法提取的扰动序列应用于MSTIDs传播参数求解的可行性.
4 结论本文给出了一种改进的SRTI方法来探测中尺度电离层行波扰动.理论分析结果表明,原有SRTI法只对周期范围为6~33 min的电离层扰动具有较好的灵敏性,而改进的SRTI法将周期范围扩大到6~46 min,提高了该方法探测电离层扰动的能力.
采用美国加州南部5个IGS站2012年年积日189的观测数据来对两种方法的探测能力进行实例分析.实验结果表明:改进的SRTI法与Savitzky-Golay滤波处理结果一致,均探测到周期为15 min和39 min的两个MSTID,而且两种方法探测的实际扰动振幅大小相同,而原有SRTI法只探测到了前者,表明改进的SRTI法对短周期和较长周期的电离层扰动均具有较好探测能力,与理论结果是一致的.利用改进的SRTI法计算的扰动序列,采用傅里叶变换的相位差分法估计了电离层扰动的传播参数,其结果总体上与前人研究成果一致,这表明改进的SRTI法完全可以应用于MSTIDs的研究中,而且计算简单,在处理大量数据时具有一定优势.
| [1] | Hernández-Pajares M, Juan J M, Sanz J, et al. Propagation of medium scale travelling ionospheric disturbances at different latitudes and solar cycle conditions. Radio Science , 2012, 47: RS0K05. DOI:10.1029/2011RS004951 |
| [2] | Lejeune S, Wautelet G, Warnant R. Ionospheric effects on relative positioning within a dense GPS network. GPS Solutions , 2012, 16(1): 105-116. DOI:10.1007/s10291-011-0212-1 |
| [3] | Tsugawa T, Kotake N, Otsuka Y, et al. Medium-scale traveling ionospheric disturbances observed by GPS receiver network in Japan: A short review. GPS Solutions , 2007, 11(2): 139-144. DOI:10.1007/s10291-006-0045-5 |
| [4] | Kotake N, Otsuka Y, Ogawa T, et al. Statistical study of medium-scale traveling ionospheric disturbances observed with the GPS networks in Southern California. Earth, Planets and Space , 2007, 59(2): 95-102. DOI:10.1186/BF03352681 |
| [5] | Ding F, Wan W X, Ning B Q, et al. Two-dimensional imaging of large-scale traveling ionospheric disturbances over China based on GPS data. J. Geophys. Res. , 2012, 117(A8): A08318. |
| [6] | Wang M, Ding F, Wan W X, et al. Monitoring global traveling ionospheric disturbances using the worldwide GPS network during the October 2003 storms. Earth, Planets and Space , 2007, 59(5): 407-419. DOI:10.1186/BF03352702 |
| [7] | Katamzi Z, Smith N D, Mitchell C N, et al. Statistical analysis of travelling ionospheric disturbances using TEC observations from geostationary satellites. J. Atmos.Sol-Terr.Phy. , 2011, 74: 64-78. |
| [8] | Hernández-Pajares M, Juan J M, Sanz J. Medium-scale traveling ionospheric disturbances affecting GPS measurements: Spatial and temporal analysis. J. Geophys. Res. , 2006, 111(A7): A07S11. |
| [9] | Tsugawa T, Otsuka Y, Coster A J, et al. Medium-scale traveling ionospheric disturbances detected with dense and wide TEC maps over North America. Geophys.Res.Lett. , 2007, 34(22): L22101. DOI:10.1029/2007GL031663 |
| [10] | 宋茜, 丁锋, 万卫星, 等. 北美地区夜间中尺度电离层行进式扰动的GPS台网监测研究. 地球物理学报 , 2011, 54(4): 936–941. Song X, Ding F, Wan W X, et al. Monitoring nighttime medium-scale traveling ionospheric disturbances using the GPS network over North America. Chinese J. Geophys. (in Chinese) , 2011, 54(4): 936-941. |
| [11] | Ding F, Yuan H, Wan W, et al. Occurrence characteristics of medium-scale gravity waves observed in OH and OI nightglow over Adelaide (34.5°S, 138.5°E). J. Geophys. Res. , 2004, 109(D14): D14104. DOI:10.1029/2003JD004096 |
| [12] | Afraimovich E L, Palamartchouk K S, Perevalova N P. GPS radio interferometry of travelling ionospheric disturbances. J. Atmos. Sol-Terr. Phy. , 1998, 60(12): 1205-1223. DOI:10.1016/S1364-6826(98)00074-1 |
| [13] | 江葵, 丁锋, 万卫星, 等. Adelaide地区大气重力波的气辉观测. 空间科学学报 , 2007, 27(6): 491–497. Jiang K, Ding F, Wan W X, et al. Observational of atmospheric gravity waves in airglow over Adelaide. Chin. J. Space Sci. (in Chinese) , 2007, 27(6): 491-497. |
| [14] | 王敏, 丁锋, 万卫星, 等. 与日夜交替线移动相关的中尺度电离层扰动GPS网观测. 地球物理学报 , 2009, 52(5): 1146–1155. Wang M, Ding F, Wan W X, et al. GPS observational of TID events generated by the moving solar terminator. Chinese J. Geophys. (in Chinese) , 2009, 52(5): 1146-1155. |
| [15] | Saito A, Fukao S, Miyazaki S. High resolution mapping of TEC perturbations with the GSI GPS network over Japan. Geophys. Res. Lett. , 1998, 25(16): 3079-3082. DOI:10.1029/98GL52361 |
2013, Vol. 56
