在矿产资源勘探“攻深找盲”大背景下[1],CSAMT方法在我国深部探矿上发挥着重要的作用[2-7].近年来,国内电磁法仪器的研究也取得较大进展[8-10],但很多仪器,尤其是CSAMT仪器,大都还是依赖进口,缺少自主研发的产品.这给电磁勘探新方法、新理论的研究带来很大的限制,严重阻碍我国电磁法勘探的持续发展.发展自主研制的电磁法仪器,必定为我国电磁法研究提供强有力的支持.对于可控源电磁法的发送机而言,电路拓扑结构模式比较典型的有美国ZONGE公司的GGT(GDP32),加拿大凤凰公司的T30(V6)、TXU-30(V8).其中GGT和T30都采用的拓扑结构模式为AC/AC/DC/ AC,而TXU-30采用了AC/DC/AC/DC/AC的结构模式.这些模式,具有通用性好的特点,只要提供一个普通的发电机电源,就可以工作.然而,这些发送机从系统级的角度来看也存在技术上的复杂性问题,比如大功率条件下铁芯材料磁滞作用、磁路饱和及涡流问题[11],突出地表现在铁芯温度急剧上升,导致功率器件性能大幅下降,甚至损坏.在特大功率发送的条件下,散热系统设计足够优,硅钢片的磁化特性足够好,硅钢片之间的电阻足够大是这些发送机首先考虑的内容,还有各个逆变环节的控制,这些都给系统设计带来一定的挑战.此外,升压变压器还使系统体积和重量偏大.
本文介绍的系统采用了励磁控制的方法,该方法的结构模式为AC/DC/AC,系统结构简单,易于维护与控制,在一定程度上保证了其稳定性与可靠性,且功率可扩展性也较强.只要发电机有足够的额定功率与额定电压,该系统就可以很好地发射大功率信号.避开了传统发送机在大功率条件下逆变环节对铁芯特性的高要求与系统的复杂控制技术等问题.
在励磁闭环控制中,有学者把直流母线电压作为单变量反馈进行基于平均值模型的同步发电机励磁控制研究[12-14],这种平均值模型仅考虑整流器输入交流变量的基波分量和输出直流变量的平均值,从建模的角度来看,把整流器看成一个简单的代数模块,在这个代数模块下,构建了发电机输出量的dq0坐标系与“整流坐标系”之间的关系,并用泰勒级数展开的一次项对某一稳态条件下的非线性系统进行线性化.但这种方法的一个问题就是模型中一些参数的选取,这些参数主要包括电压系数,电流系数与由负载决定的交流侧基波电压与基波电流之间的角度,文献[12]把这些参数用一个常数来代替,在满足一定条件下实现了系统的补偿器设计,文献[13]给出了把这些参数固定化后所带来的一些问题是模型输出阻抗与实际输出阻抗存在很大的偏差,一些学者还对这种模型的应用做了进一步的推广[15].在国内,励磁控制系统的研究随着控制理论和电子技术的不断发展而吸引了大量研究人员投身其中[16-19],从理论研究到工程应用,从仿真模拟到实验室测量,研究方法丰富多彩,这些成果为基于励磁控制的电法发送机研究提供了很好参考与借鉴.
在电法大功率发送机方面,文献[20]把供电电流作为反馈量来实现励磁闭环控制,这种方法在频谱激电(Spectral Induced Polarization,简写为SIP)方法中效果可能很好,但在CSAMT方法中由于发送频率很宽,发送高频(5 KHz以上)时供电线的影响不可忽略,此时,发送电流波形变成类三角波,与低频时的方波波形有较大差异,再加上负载条件的变化而导致发电机的工作点也随着变化,不同工作状态下的系统参数不同,如果不对控制环节进行校正,可能会造成母线直流电压升高较大.直流母线电压作为CSAMT系统的反馈量进行简单的励磁控制时,由于系统的直流母线电压上升时间与调节时间较大,在负载突然发生变化的时候(不同频率下,负载特性变化较大),容易发生超调量过大甚至发生振荡,本文给出了利用相电压作为反馈量来实现闭环控制,实现了宽频(1~9600 Hz)发送条件下输出电压的稳定控制.同时,本文还对CSAMT发送机中频率合成,同步实现,以及扫频实现的技术细节进行详细介绍.
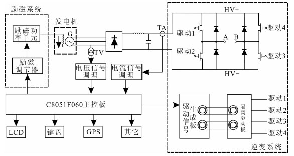
2 发送机系统结构与原理如图 1所示,本发送机系统包括了励磁电流控制系统,发电机体,整流滤波,逆变系统,电压、电流的采集,GPS模块,键盘以及LCD显示器等.
|
图 1 系统框图 Fig. 1 System block diagram |
系统通过对相电压进行采样,应用数字增量式PID的算法实现对励磁电流大小的调节,从而实现对输出功率的控制以及不同发送频率下的母线直流电压的稳定,利用驱动信号生成板以及隔离驱动板来生成逆变系统所需要的驱动信号,最终把不同的频率从AB电极发送出去.
下面将分别介绍发送机的频率合成,同步实现,稳压控制,以及扫频实现.
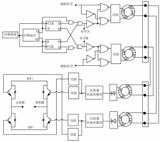
3 频率合成不同频率的发送是发送机的核心之一,本系统利用了MC145151[21]芯片外接一个低通滤波器与压控振荡器来实现基于锁相环的频率合成器.通过给两个12位二进制串行计数器CD4040[22]不同的脉冲数,计数器的输出给MC145151提供分频控制引脚对应的逻辑电平,从而实现不同频率的切换.该锁相环输出一个频率稳定的方波作为分频基波,该分频基波经过串行计数器CD4040分频得到两个反相方波,同时利用分频基波与这两个反相的分频方波通过两个D触发器得到带有死区控制的两个逆变驱动信号A与信号B,电路框图如图 2所示.
|
图 2 逆变系统电路框图 Fig. 2 Inverter circuit system block diagram |
如图 3,对于A信号而言,在分频基波的第一个脉冲过来的时候,由于分频延迟作用,而使得D触发器输出保留前一个状态‘0’约为一个基波时钟(图中显示的t2时间),而到了第二个分频基波时钟到来的时候,就跟随了分频信号,等到了分频信号下降沿到来的时候,由于与门逻辑运算的作用,输出信号A快速变到‘0’状态(图中显示的t3时间),而不产生一个分频基波时钟的延时.可见,在分频信号上升沿来的时候,基波的上升时间起主要作用,而到了分频信号的下降沿来的时候,则该信号下降沿对输出信号起主要作用,显然,有t1=t3,t2=t4.从图中很容易看出对IGBT H桥路驱动所需的死区时间为一个分频基波周期.
|
图 3 信号时序图 Fig. 3 Signal Timing diagram |
信号A,B生成后,利用一个调制信号,对其进行调制,调制后的信号通过线圈耦合过程送到驱动模块,驱动模块对送过来的信号进行解调,还原A,B信号,再对其进行功率放大去驱动IGBT,从而很好地实现了对频率发生系统与驱动系统的隔离作用.
4 同步实现本系统采用了台湾的HOLUX公司产的GR-87模块来实现与接收机的同步.对GPS进行信息提取必须首先要了解帧的结构,然后才能根据某一帧的数据完成对所需信息的提取.根据数据帧的类型不同,帧的头也不相同,主要有“GPGGA”、“GPGSA”以及“GPRMC”等.各个帧数据均以回车符和换行符作为帧的尾标识.
对于发送机同步而言,只需要提取出时间信息就可以了,由于帧的字节数会随着数据的不同而有微小的变化,所以必须用逗号的分隔符作为提取信息的依据,而不能用字节的位置来确定信息.假设已经接受到了一帧数据并且放到了缓存数组中,对数组中的数据逐个判断是否是逗号,以及逗号的位置来确定所需的信息,并对所需要的信息进行解析.时间信息获取后送到主板的时钟芯片进行授时.
有些发送机为了保证精度而使用GPS模块输出的PPS秒脉冲来进行同步.对于CSAMT而言,这个授时精度对发送机的要求并不高,这里需要做一个说明.
文献[23]说明了可以根据电磁场的各个分量,分别求出各场强单分量的视电阻率公式.比如电偶源时,在与偶极矩中心垂直的方向(也就是赤道方式θ=90°),收发距离为r的地方,电场分量Ex的视电阻率公式为
|
(1) |
式中AB为供电偶极长度,MN为测量偶极长度,ΔVE=Ex·MN为测量电极的电压.
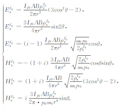
假设地层电阻率是各向同性的,电场与磁场各个分量在某个频率f0=ω0/2π条件下所获得的电阻率应该是一致的,则
|
(2) |
为了讨论方便,这里以波区

在波区,有
|
(3) |
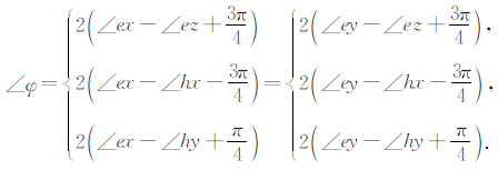
设ρs f0=ρ∠φ,If0=I∠j,Exf0=Ex∠ex,Eyf0=Ey∠ey,Ezf0=Ez∠ez,Hxf0=Hx∠hx,Hyf0=Hy∠hy,Hzf0=Hz∠hz,则有
|
(4) |
所以有:
|
(5) |
可见通过测量的电场与磁场,获得他们的相位后,如果让电道与磁道的相频特性一致的话(通常可以做到很接近),通过简单的减法运算不仅把这个信号调理电路的移相抵消,还可以得到精确的视电阻率的相位信息.通过(4)式可知,如果想利用直接测量得到的单场相位信息来求视电阻率的相位,那么还必须要有电流的相位,否则,再精确的单场相位也毫无意义.
通过以上的理论分析知道,同步对CSAMT方法来说很重要,但对发送机的要求并不苛刻,只要让电场与磁场在采集的时候有发送相应的频率,发送与接受时间相差保持在一个比较小的范围(1 s以内)让其信号强度足够大,并且保证每一个频点发送与接受的时间足够长(保证采集某个频率的信号多个周期)就可以了.
5 稳压控制稳压控制系统如图 4所示.通过主控板的DAC模块输出励磁控制信号,对发送机系统的输出电压进行动态调节.
|
图 4 稳压控制系统原理图 Fig. 4 Voltage stability control system principle diagram |
该系统输出电压的控制是基于数字增量式PID对励磁电流的控制来实现的.PID系统采用的是对发电机的相电压进行采样,并通过数字增量式PID的算法来获得下一步需要调整励磁电流大小DAC输出值,从而实现系统的输出电压的动态控制.
由于供电电极线长达几公里,所以导致发送机负载的感性成分较大,其大小的估算为
|
(6) |
其中l表示线长,单位是m,d表示线的直径,单位是m.L为电感,单位为nH.
假设供电电极线长为1.2 km,线径为0.2 cm,可得该电缆拥有的电感大小约3.3 mH.这个电感就比较大了,在1 KHz以上的时候,这个电感的影响就不能忽略.假设接地电阻为50 Ω,发射频率为4.8 KHz,那么电感的感抗就达到了100 Ω左右,对系统的供电将产生很大的影响.
本系统所用的发电机为无刷柴油发电机,根据不同的负载条件,柴油机进行自动调节的变速转动.采用交流励磁系统,励磁机的激磁线圈由外部电源实现激磁,励磁机的电枢与一个三相整流桥以及发电机励磁线圈做成一个同轴的旋转部件,再从发电机电枢输出三相电.
图 5给出线径为0.2 cm,长为1.2 km的供电线,接地电阻为60 Ω左右的条件下,通过设置不同的设定值(与给定电压值相关),测量发送频率为1 Hz与4800 Hz条件下的输出电压(直流母线电压)曲线.图中的电压差曲线表示在某一设定值条件下高频电压减去低频电压的值.从曲线的形态很容易看出,在低频条件下,设置值与输出电压是简单的线性关系,但是在高频条件下,设置值越高,高频发送对应的输出电压相差越大.
|
图 5 不同设定值的输出电压曲线 Fig. 5 Output voltage curve in different setting value |
由于整流电路非线性元件(整流桥)以及发电机三相漏感的影响,加载后,发电机的相电压产生了一定程度的畸变,直流侧直流分量的大小不仅取决于相电压基波成分,也和其谐波成分有关,这样,相电压有效值与所得直流电压关系变得复杂,无法推导出直流电压与相电压之间的精确关系.用PID对系统进行闭环控制在假负载实验中效果很好,但是加入供电线后,由于带来了感性负载的作用,出现了在高频处输出电压升高的情况.
如果考虑供电线的电感作用,那么发送电流I为
|
(7) |
其中U0为输出电压,R为接地电阻,L为供电线电感,ω/2π为发送频率.当频率足够高后,由于接地电阻经常为几十到几百Ω,于是有
|
(8) |
可见,在高频区,发送电流基本上由电感来决定.
设R=60 Ω,L=3.3 mH,如果在纯阻性负载条件下的电流平均值为I0,那么把(18)式除以I0,把I做一个归一化后随频率f变化曲线如图 6所示.
|
图 6 不同频率下的输出电流曲线 Fig. 6 Output current curves under different frequencies |
从图 6可以看出,发送频率为1 KHz,发送电流下降了0.05倍.到了10 KHz时,这个发送电流不到低频时的0.3倍.
文献[24]给出了输出电压与基波分量的近似解析表达式.由于整流器不同的工作模式下,相电压波形不同,加上发电机三相的漏电感是一个变化的量[11, 25],所以无法得到精确解析式,但是要通过相电压来控制这个输出电压,还是需要找一个近似的关系.
图 7给出了该系统的频率输出特性曲线,图中U相1为发送f1频率时对应的相电压,利用输出直流电压与相电压如图 5的关系得到了输出直流电压不变条件下,相电压与发送频率之间的关系.其中f1是最低的发送频率(通常小于等于1 Hz).
|
图 7 阻感负载条件下的输出特性曲线 Fig. 7 Output characteristic curve with resistor and inductor load |
|
(9) |
(9)式获得了所需的修正量.虽然野外不同工区的负载不同,不过都应该满足图 7所示的曲线规律.导致这个现象的理论依据,可以参考文献[24-25]中的相关论述.相电压对频率的曲线是单调光滑的衰减曲线,这条曲线可以通过实验很容易获得.通过上面的分析可知,这种曲线的衰减形态的诱导因素是供电线的电感,本质上是发电机不能等效为一个理想电压源,表现为整流器的延迟角与换相角不同.每一种供电线都用实验来获取这条特性曲线并不实际,由于以自然数为底的指数函数簇在二范数空间中是稠密的,可用其作为基函数对衰减曲线进行拟合,用一个简单的以自然数为底数的指数衰减曲线来做一个近似(该方法在一些工程问题上用得较多,比如励磁系统建模的过程中,有的学者就用这个办法来描述励磁机的饱和系数和运行电压的关系),如果得到低频时的特性值与高频时的特性值,就可将其作为调节参数来对曲线进行近似.
经过上面的分析,将给定电压值对应的设定值与输出频率的关系所用的尝试函数选为
|
(10) |
其中S表示设定值,S0表示空载条件下的设定值,Kf为频率校正因子,f为发送频率,fT为需要设置的一个拐点频率参数,可以通过实验人工设定,也可以通过设置软件的遍历算法来获取.
图 8为利用(10)式,Kf=1时设置fT=8 KHz的一个输出结果.必须注意的是,不同的负载特性对应的fT的选取也不同.该方法从低频到高频,在某个频率条件下电压稳定获得较好的控制,不同频率点之间稳定的电压比图 5有了很大的改善,从图中可以看出,在8 KHz的地方电压相差最大,所以需要适当地移动fT的位置以及修改Kf来把输出电压控制到合适的位置.用这种方法来做存在对fT以及Kf选取的依赖.有三个思路来处理,第一、就是在控制环中通过一个补偿器引入输出直流电压到控制环节中代替这个修正量.第二、对整流器进行PWM控制,提高功率因子,减小负载对相电压波形的影响,使得相电压与相电流的谐波成分很小,实现不同负载条件下,相电压与输出直流电压之间保持一个比较稳定的函数关系.第三、利用平均值模型,确定好各个系统参数的选取方式,实现对系统的动态补偿.
|
图 8 不同发送频率下的输出电压曲线 Fig. 8 Output voltage curve under different sending frequency |
对于CSAMT而言,扫频技术结合GPS同步可以大大提高施工效率,所以扫频也是该系统的一个重要内容.扫频技术需要解决一个重要问题,就是什么时候开始发送什么频率.换一个角度考虑这个问题,如果把一天按照秒来计时的话,那么上面的那个问题就转化为一天当中某一频率在第几秒开始发射,所以,只要设置的频率其发射的时间长度以秒来计时,并且频率表中的频率总共需要发射的时间可以整除于8h的秒数(这样做的目的是防止由于格林尼治时间与北京时间的不同而导致输出频率混乱的情况),这个问题即可解决.
假设需要发射的频率有24个,每个发射75 s,那么一天中第一个循环所需要发射的频率如表一所示,循环一周所需要的时间为30 min,可以整除于8×3600=28800 s.同样,接下来的时间,按照循环规则,又从第一个频点开始,可列出第二个周期第三个周期等等,对表 1等其他循环表用数学归纳法不难得到一天中任意时刻应该发射的频率编号公式为
|
|
表 1 一个循环周期内频率发射分配表 Table 1 Frequency distribution table within a cycle |
|
(11) |
其中Nf为频率编号;Ts为当前时刻处于1天当中的秒数;tL为一个循环周期所需要的时间,单位是s;tf为每个频点持续发射的时间;式中的%表示取余运算.
7 野外实验结果在河北省固安县张家村野外现场实验中,分别用加拿大凤凰公司的V8发送机TXU-30与本系统按同一频率表发送,表 2为频率表.
|
|
表 2 发送频率表 Table 2 Sending frequency table |
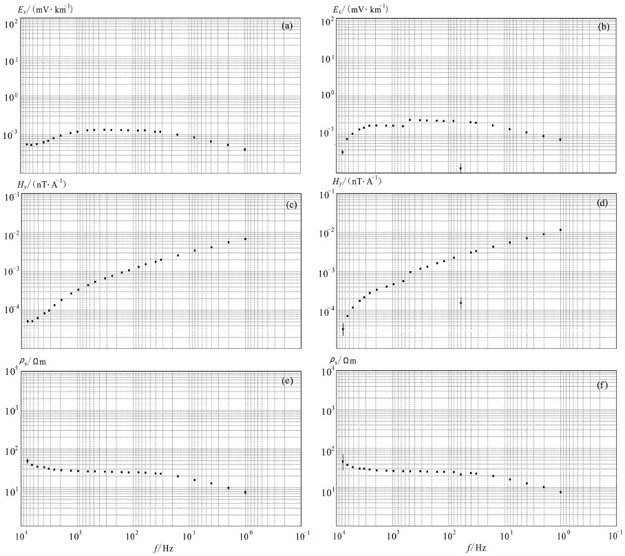
两种发送机发送波形后,接收机采用V8的接收机来接收电磁信号,该发送机与V8发送机TXU-30发送效果如图 9所示,其中V8发送400 V,11 A,本系统发送820 V,25 A.
|
图 9 实验结果 (a)V8发送机获得的电场幅频曲线;(b)本系统获得的电场幅频曲线;(c)V8发送机获得的磁场幅频曲线;(d)本系统获得的磁场幅频曲线;(e)V8发送机获得的视电阻率幅频曲线;(f)本系统获得的视电阻率幅频曲线. Fig. 9 Experimental result (a) Electric field amplitude frequency curve of V8 transmitter; (b) Electric field amplitude frequency curve of this transmitter; (c) Magnetic fieldamplitudefrequencycurveofV8transmitter; (d) Magneticfieldamplitudefrequencycurveofthistransmitter; (e) Apparentresistivity amplitude frequency curve of V8 transmitter; (f) Apparent resistivity amplitude frequency curve of this transmitter. |
V8发送机TXU-30额定功率为+25 ℃条件下可发送20KW,发送电流范围为0.5~40 A,发送电压范围为25~1000 V.它在额定安全电压下发大电流没问题,不过利用大电压发送大电流对仪器有危险,野外接地电阻为33 Ω左右,不满足发送25 A的条件.如果让V8发送820 V/25 A,工作一段时间后就出现异常警告,无法正常施工.本系统发送这个水平的电流比较轻松,接收到的信号明显要强.图 9中表现出该系统在发射频率为60 Hz的时候,接收机的信号掉到了很低的水平,经分析,是由于60 Hz的时候,该系统与传输线之间发生了局部的谐振,使发射到大地的电流大幅度减小,单独发射64 Hz频率后,接收机接收到的信号幅度恢复正常,所以在频率表设计的时候需要避开60 Hz,选择64 Hz来代替,不会对该方法使用造成影响.根据现场实验,该系统在大功率发射的条件下具有很强的优势.
8 结论该系统通过野外实验,获得了预期的效果.利用励磁控制的方法为其它各种可控源电磁勘探方法中所需要的大功率发送机研制提供了一种行之有效的思路,同时,该系统也为更大功率发送机的研制做了一个有实际价值的研究工作.该方法的主功率回路结构简单,易于控制,是系统稳定与可靠的强有力保证.不过就本次研究的系统而言,目前也存在一些需要改进的地方,比如,在扫频状态下,设计合理的补偿器改进PID控制等.
致谢在本次的发送机研制过程中得到了陆焕文老师的精心指导,杨全民老师,张喜龙师傅的协助,得到了课题组其他成员的关心与帮助,这里一并表示衷心感谢.
| [1] | 刘光鼎, 郝天珧. 应用地球物理方法寻找隐伏矿床. 地球物理学报 , 1995, 38(6): 850–854. Liu G D, Hao T Y. Searching of hidden mineral deposits by geophysical methods. Chinese J. Geophys (in Chinese) , 1995, 38(6): 850-854. |
| [2] | 卢鸿飞, 王志福, 王恒, 等. CSAMT测深和重力测量技术在哈密白山钼矿深部找矿和远景评价中的应用. 地球物理学进展 , 2013, 28(3): 1547–1556. Lu H F, Wang Z F, Wang H, et al. The application of CSAMT and GS on prospecting and evaluation in Baishan molybdenum deposit, Hami, Xinjiang. Progress in Geophysics (in Chinese) , 2013, 28(3): 1547-1556. |
| [3] | 邱卫忠, 闫述, 薛国强, 等. CSAMT的各分量在山地精细勘探中的作用. 地球物理学进展 , 2011, 26(2): 664–668. Qiu W Z, Yan S, Xue G Q, et al. Action of CSAMT field components in mountainous fine prospecting. Progress in Geophysics (in Chinese) , 2011, 26(2): 664-668. |
| [4] | 曹令敏. 地球物理方法在金属矿深部找矿中的应用及展望. 地球物理学进展 , 2011, 26(2): 701–708. Cao L M. The application and expectation of the geophysical methods to deep metal mine exploration. Progress in Geophysics (in Chinese) , 2011, 26(2): 701-708. |
| [5] | 花杰, 邢廷炎, 芮小平. CSAMT数据三维可视化的方法. 地球物理学进展 , 2012, 27(4): 1743–1753. Hua J, Xing T Y, Rui X P. The 3D-visualization methods for CSAMT data. Progress in Geophysics (in Chinese) , 2012, 27(4): 1743-1753. |
| [6] | 高勇浩, 刘建利, 高阳, 等. CSAMT法在深部找矿中的应用. 西北地质 , 2010, 43(2): 135–142. Gao Y H, Liu J L, Gao Y, et al. Application of controlled source audio_magnetotelluric method in looking for hidden and deep miness. Northwestern Geology (in Chinese) , 2010, 43(2): 135-142. |
| [7] | 胡飞. CSAMT在下庄矿田铀矿找矿的应用. 西部探矿工程 , 2012, 24(5): 127–131. Hu F. The application of CSAMT in Xia Zhuang field uranium prospecting. Western Exploration Engineering (in Chinese) , 2012, 24(5): 127-131. |
| [8] | 李建华, 林品荣. 野外实验场地球物理电磁数据采集与分析. 地球物理学进展 , 2012, 27(4): 1377–1384. Li J H, Lin P R. Acquisition and analysis of geophysical electromagnetic data on the experiment field. Progress in Geophysics (in Chinese) , 2012, 27(4): 1377-1384. |
| [9] | 姚红春, 陈儒军, 李向宇. 基于GPRS的多频激电仪远程测控系统. 地球物理学进展 , 2010, 25(2): 692–700. Yao H C, Chen R J, Li X Y. A remote control and measurement system for multi-frequency IP instrument based on GPRS. Progress in Geophysics (in Chinese) , 2010, 25(2): 692-700. |
| [10] | 罗维斌, 李庆春, 汤井田. 编码电磁测深. 地球物理学报 , 2012, 55(1): 341–349. Luo W B, Li Q Q, Tang J T. Coded source electromagnetic sounding method. Chinese J. Geophys (in Chinese) , 2012, 55(1): 341-349. |
| [11] | 胡虔生, 胡敏强. 电机学. 北京: 中国电力出版社, 2009 . Hu Q S, Hu M Q. Electrical Motor (in Chinese). Beijing: China Electric Power Press, 2009 . |
| [12] | Jadric I, Borojevic D, Jadric M. Modeling and control of a synchronous generator with an active DC load. IEEE Transactions on Power Electronics , 2000, 15(2): 303-311. DOI:10.1109/63.838103 |
| [13] | Jatskevich J, Pekarek S D, Davoudi A. Parametric average-value model of synchronous machine-rectifier systems. IEEE Transactions on Energy Conversion , 2006, 21(1): 9-18. DOI:10.1109/TEC.2005.847974 |
| [14] | Jatskevich J, Pekarek S D, Davoudi A. Fast procedure for constructing an accurate dynamic average-value model of synchronous machine-rectifier systems. IEEE Transactions on Energy Conversion , 2006, 21(2): 435-441. DOI:10.1109/TEC.2006.874249 |
| [15] | Chiniforoosh S, Atighechi H, Davoudi A, et al. Steady-state and dynamic performance of front-end diode rectifier loads as predicted by dynamic average-value models. IEEE Transactions on Power Delivery , 2013, 28(3): 1533-1541. DOI:10.1109/TPWRD.2013.2262316 |
| [16] | 韩英铎, 谢小荣, 崔文进. 同步发电机励磁控制研究的现状与走向. 清华大学学报(自然科学版) , 2011, 41(4-5): 142–146. Han Y D, Xie X R, Cui W J. Status quo and future trend in research on synchronous generator excitation control. J. Tsinghua Univ. (Sci. & Tech.) (in Chinese) , 2011, 41(4-5): 142-146. |
| [17] | 杨冠鲁. 柴油发电机神经网络非线性励磁控制器研究. 太原理工大学学报 , 2005, 36(2): 142–145. Yang G L. Nonlinear excitation controller for diesel generator based on Neural Network. J. Taiyuan Univ. Technol (in Chinese) , 2005, 36(2): 142-145. |
| [18] | 杨冠鲁, 吴龙标, 胡欣. 基于微分几何方法的柴油发电机非线性励磁控制器. 中国科学技术大学学报 , 2004, 34(6): 739–744. Yang G L, Wu L B, Hu X. Design of diesel generator nonlinear excitation controller based on the differential geometry method. Journal of University of Science and Technology of China (in Chinese) , 2004, 34(6): 739-744. |
| [19] | 汪庆年, 李斌, 张广栋. 基于DSP的新型柴油发电机励磁控制系统研究. 电气传动 , 2010, 40(5): 63–66. Wang Q N, Li B, Zhang G D. Study of a new type diesel generator excitation control system based on DSP. Electric Drive (in Chinese) , 2010, 40(5): 63-66. |
| [20] | 石福升. 大功率多功能发射系统研究. 地球物理学进展 , 2009, 24(3): 1109–1114. Shi F S. A study on high-power multi-function transmitting system. Progress in Geophysics (in Chinese) , 2009, 24(3): 1109-1114. |
| [21] | MC145151 Datasheet (PDF)-Motorola, Inc-Parallel-Input PLL Frequency Synthesizer. http://www.alldatasheet.com/datasheet-pdf/pdf/77363/MOTOROLA/MC145151.html. |
| [22] | CD4040BC Datasheet (PDF)-National Semiconductor-14-Stage, 12-Stage Ripple Carry Binary Counters.http://www.alldatasheet.com/datasheet-pdf/pdf/8179/NSC/CD4040BC.html. |
| [23] | 底青云, 王若. 可控源音频大地电磁数据正反演及方法应用. 北京: 科学出版社, 2008 . Di Q Y, Wang R. CSAMT data Forward and Inversion and Method of Application (in Chinese). Beijing: Science Press, 2008 . |
| [24] | Caliskan V, Perreault D J, Jahns T M, et al. Analysis of three-phase rectifiers with constant-voltage loads. IEEE Transactions on Circuits and Systems I: Fundamental Theory and Applications , 2003, 50(9): 1220-1225. DOI:10.1109/TCSI.2003.816323 |
| [25] | Sudhoff S D, Wasynczuk O. Analysis and average value modeling of line-commutated converter-synchronous machine systems. IEEE Transactions on Energy Conversion , 1993, 8(1): 92-99. DOI:10.1109/60.207411 |
| [26] | 刘金琨. 先进PID控制MATLAB仿真. 北京: 电子工业出版社, 2013 . Liu J K. Advanced PID Control and MATLAB Simulation (in Chinese). Beijing: Publishing House of Electronics Industry, 2013 . |
2013, Vol. 56

