2. 中国科学院大学, 北京 100049
2. University of Chinese Academy of Sciences, Beijing 100049, China
地球内核作为最后被发现的一级圈层结构[1],在地球深部动力过程中扮演着关键角色[2],为地球科学“知今探古”的探索提供了重要线索.这里的“知今”包括对内核本身物质属性-热力学状态的阐明及其在地球圈层耦合中作用的探讨.具体而言,地震学观测提供了地球介质弹性波速和衰减等信息,而高温高压实验[3]和第一性原理计算[4-5]又进一步约束了物质组分和结构构造等状态参数.同时,对内核的深入认识是更好了解液态外核对流-地磁场发生演化[6]以及核幔动量交换[7-8]的必要环节,而这些耦合过程又会对地表环境产生深远影响[7-9].从各向异性的发现[10]到内核相对地幔差异转动的探讨[11],再到全球3-D层析成像模型的最终提出[12],内核结构的认识经历了从简单到复杂,自静态至动态,由一维及三维的飞跃[13],而对内核生长热力学背景及变形改造机制的探索亦从未间断[14-15].“探古”则着眼于内核生长历程中结晶环境的变迁,这些历史记录往往表现为内核结构组成的系统径向变化[16-18],近地表古地磁化石记录所反映的地磁场变化也暗示了内核生长对液态外核对流状态的影响[9].
固态内核同液态外核的分界面--内核边界(Inner Core Boundary,简记ICB)是内核结晶生长的场所,同时也是内外核物质交换和能量传递的区域,因而其状态参数具有重要的环境指示意义.内核边界剪切波速对热力学状态(如温度和部分熔融)较为敏感,密度差则直接控制着轻元素的固液相分配及外核对流的动力来源[19],而清晰的内核边界反射震相波形本身也可约束界面的尖锐程度[20].由于所有内核震相传播均经过ICB,因此对内核深部结构的深入探索也离不开对其表面性质的较好把握.近年来内核结构的认识经历了从全球(如地球初始参考模型PREM[21])到“准东西半球[22]”,再到区域[23]的细化过程,各级尺度不均匀结构相继浮出水面.同时随着观测数据质的提高和量的积累,区域精细结构探索业已成为现代内核研究的必然趋势.而作为内外核的分界面,ICB包含了大量深部动力学信息,从而引起了地震学、矿物物理学、分子动力学等多学科的广泛关注.
地震波场观测是当前认识ICB的最直接途径,依频段不同,可分为自由振荡和体波两类.前者关注地球介质的低频响应,是研究内核剪切波速及密度分布的重要方法.然而,自由振荡周期较长,分辨能力受到很大限制,难以有效约束ICB精细结构.与之对应,地震体波利用高频弹性波场(主频约1Hz),能较好解析小尺度结构.因此,作为ICB反射震相,前临界PKiKP是ICB结构研究的有力工具.具体而言,ICB几何形态及顶部速度结构异常能显著提前(ICB凸起和/或高速异常)或延迟(ICB凹陷和/或低速异常)PKiKP信号的传播,而PKiKP的振幅又直接受控于ICB物性差异.
体波观测受震源参数、射线路径不均匀分布及台站条件等多种因素制约,而震相组合的引入则能有效压制上述影响.ICB研究常利用核幔边界(Core Mantle Boundary,简记CMB)反射震相PcP与PKiKP构成组合.浅部路径的相似性(图 1a)使PKiKP与PcP的相对到时差及振幅比只显著受控于CMB及ICB结构.同时,对于特定震中距范围,震相组合振幅比只与ICB结构密切相关[24].
|
图 1 地震射线传播路径及观测波形 (a)震源深度19.2km,震中距分别为29.5°和33.5°的PcP(虚线)-PKiKP(实线)射线路径;(b)PKiKP大圆弧路径(灰色实线)以及地震事件(黑边灰五角星)、CMB透射点(灰色空心圆圈)、ICB反射点(黑色空心方框)和台站(黑边灰三角形)的地图投影;事件编号参见表 1,点线圆圈所标6号事件的波形可见(c)和(d);(c)和(d)事件6的PcP和PKiKP观测波形,横坐标为实际观测相对理论到时(PREM)的延迟;黑色记录表明PcP和PKiKP能被同时检出,而灰色记录表明只能检出二者之一;黑色圆点为手工到时挑选结果,震相标记可见图示. Fig. 1 Ray paths and waveforms of PcP and PKiKP (a) The ray paths of PcP (dash line) and PkiKP (solid line) of 19.2km-depth event with epicenter distances of 29.5° and 33.5°; (b) Map projection of great circle paths of PkiKP (greys olid line), earthquake events (grey star with black frame), CMB piercing points (grey hollow circles), ICB reflecting points (black hollow squares) and stations (grey triangle with black frame); the number attached to each event can be looked up in Table 1 for details; (c) and (d) Waveforms of PcP and PKiKP forevent No.6;abscissa stands for observational time relative to theoretic calculation (PREM); black channels show positive detection for both phases while grey ones referring to single PcP or PKiKP; black dots show hand-picking results. |
诚如上述,前临界PKiKP在ICB精细结构研究中独具优势,但微弱的能量使该震相难于观测.内核发现三十余年后,前临界PKiKP才始现于台阵叠加结果[20].由于密集台阵鉴别拾取弱信号的巨大潜能,本文利用华北克拉通西北部密集地震台阵(台站间距约10km)资料搜索PcP-PKiKP震相,而环太平洋地震带也为前临界PKiKP观测提供了丰富的地震事件.研究所获PKiKP记录的反射点遍及东北至华中,为区域ICB精细结构探测提供了重要数据来源.
2 数据和方法 2.1 数据来源和预处理中国科学院地质与地球物理研究所地震台阵探测实验室于2005年9月至2006年9月在鄂尔多斯北缘布设了东西向线状展布的密集宽频带流动地震台阵(图 1b),积累了为期一年的宽频带资料.相邻台站间距约10km,台站采用GuralpCMG-3ESP地震计与Reftek130或72A数据采集器进行记录,采样率为40Hz.
考虑到PKiKP的高频特性,我们对垂直分量记录进行1~2 Hz的带通滤波,保留同时具有清晰PcP和PKiKP震相的资料(图 1c,1d),最终得到了西太平洋地震带8个地震事件,共计73对记录(表 1).由于地核震相能量微弱,初至拾取易受背景噪声及人为因素影响,故到时差选用PKiKP及PcP最大振幅时刻的差值.为防止可能的波峰错位误读,所得结果均在震中距-波形图上逐一检验.
|
|
表 1 事件信息(来自Havard CMT,http://www.globalcmt.org/CMTsearch.html) Table 1 Events information (FromHavard CMT, http://www.globalcmt.org/CMTsearch.html) |
本文主要利用走时残差PKiKP-PcP和振幅比PKiKP/PcP观测反演ICB结构,方法介绍主要包括走时校正和振幅校正两部分.
2.2.1 走时残差走时残差定义为震相组合(PcP-PKiKP)到时差同理论值的偏离,即
|
(1) |
(1)式下标“obs”表示观测数据,“syn”表示理论计算结果.为剔除非地核结构干扰,需对δT进行地幔异常校正[25]和扁率校正[26],最终为:
|
(2) |
其中“corr”表示最终校正结果.
由于PcP和PKiKP浅部路径的相似性,震源和台站附近的速度异常以及震源定位误差所引起的走时扰动能得以有效压制,而同道震相组合亦消除了震源定时误差及震源时间函数的影响,因此走时残差PKiKP-PcP主要反映了CMB-ICB的几何形态及速度结构.具体而言,走时残差的正异常对应着PcP在CMB附近的较快传播和/或PKiKP沿CMB至ICB的传播延迟,反之亦然.
2.2.2 振幅比振幅主要受震级、仪器响应、震源辐射图型因子和自由界面效应等因素影响.采用振幅比能有效抑制震级和仪器响应的贡献,而震源辐射图型因子和自由界面效应也能通过计算求出,有关公式为:
|
(3) |
|
(4) |
Amp为最大振幅比,(4)中的分母两项分别表示震源辐射图型因子(“rad”)及地表自由界面校正(“surf”).由于浅部地幔路径的相似性以及液态外核的高品质因子,介质衰减的影响可以忽略[27].经上述校正,Ampcorr主要受CMB及ICB结构控制.而研究表明[24, 28],25°~50°震中距范围内,振幅比对ICB密度差较为敏感.因此ICB的密度结构可由特定震中距的振幅比观测来约束.
由于震源辐射图型因子在节平面(nodal plane)附近变化迅速,离源角计算误差影响较大,故只考察PcP和PKiKP辐射因子均大于0.7的振幅比结果.同时,为压制随机干扰,对同一事件的振幅比按震中距进行1°间隔0.5°步长的滑动窗口平均,只有观测数目不小于4的窗口才予以保留,最终从73个振幅比数据中得到了12个平均结果.
3 结果分析前临界PKiKP能量微弱,单台拾取难度巨大.本研究利用密集台阵资料,得到了良好的观测结果:PKiKP信号不仅能很好对应慢度叠加的能量峰值,其波形亦清楚可见.而从中提取的走时残差和相对振幅信息约束了地核界面形态和ICB密度差分布,为相关动力学背景认识提供了线索.
3.1 波形记录和慢度域叠加图 1c-1d展示了事件6(见表 1)PcP(图 1c)和PKiKP(图 1d)震相的波形(滤波1~2 Hz),零时刻对应理论初至,黑色圆点为最大振幅挑选结果.两震相记录均展现了清晰可追踪的波形,pPKiKP和sPKiKP亦依稀可见.黑色道集为震相组合同时检出的记录,而灰色则对应仅有二者之一检出.随机噪声引起的波形畸变使部分挑选结果并不对应实际最大振幅.密集台阵的优势之一便在于能通过追踪相邻道集以评判挑选结果的可靠程度,从而有效避免噪声干扰造成的波峰错读.
图 2为事件6慢度域叠加能量在PKiKP理论值附近的分布,其中图 2a和图 2b分别对应相加权叠加和线性叠加结果.为压制时钟误差和高程起伏等台站源扰动,偏移均参考PcP进行.两种叠加方法均给出了理论相对到时-慢度附近的能量极值,而pPKiKP和sPKiKP在PWS能量图中亦清晰可见,验证了观测结果的可靠性,同时也展示了相加权方法在弱信号拾取上的巨大优势[29].
|
图 2 PKiKP慢度域叠加结果 时间零点选取PcP手工挑拣峰值时刻,慢度零点对应PcP理论预测值(PREM);圆形、方形和菱形分别代表PKiKP、pPKiKP和sPKiKP的理论位置,灰色箭头指向观测数据叠加的能量极值点,叠加方法及色标在右上角框图标明. Fig. 2 Slowness-stackvespagram of PKiKP Origin of abscissa set at PcP handpick peak and origin of longitudinal axis referred to theoretical (PREM) slowness of PcP; circle, square and diamondind icating PKiKP, pPKiKP and sPKiKP, respectively, with grey arrows pointing to observational local stacking maxima; top-right boxes show stacking method and color scale. |
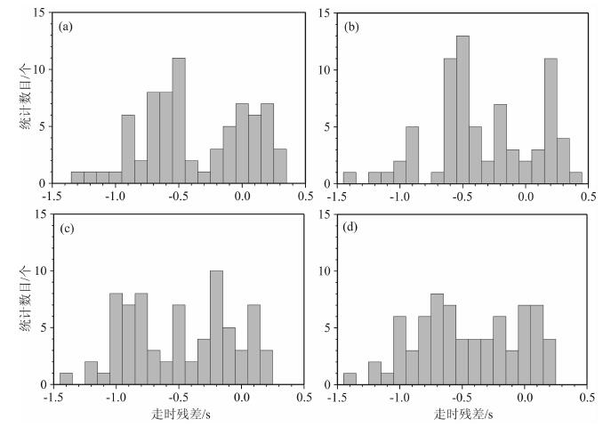
图 3表示PcP-PKiKP相对PREM走时残差的统计直方图,(a)-(d)分别为原始观测(dT),扁率校正(dT-dTellip),地幔校正[25](dT-dTmantle)和最终校正(dT-dTellip-dTmantle)结果.与扁率校正相比,地幔校正并未改善数据离散程度,暗示了全球层析成像分辨率之下小尺度速度扰动的影响.尽管如此,走时残差分布虽然随各种校正呈现不同变动,但间隔0.6~0.7s的双峰形态却贯穿始终.
|
图 3 走时残差的统计直方图 (a)原始观测;(b)扁率校正结果;(c)地幔校正结果;(d)最终结果(对原始数据进行地幔校正和扁率校正). Fig. 3 Statistical histogram of travel time residues after various corrections (a) Primitive observation; (b) After elliptic correction; (c) After mantle correction; (d) Final results (primitive data processed by both elliptic and mantle correction). |
图 4显示了走时残差在PKiKP震相ICB反射点的分布,(a)-(d)依次对应图 3的不同校正结果,底图为层析成像模型[25]给出的CMB附近P波扰动.无论何种校正,走时残差的地理分布均呈现出小范围内显著的系统变化(内核边界70km距离内>0.5s),对应从中部正常区域到东南侧负异常的转变,而这种二元分划正是图 3“双峰结构”地理分布的体现.
|
图 4 走时残差(空心圆圈,残差小于-0.25s;正方框,残差绝对值不大于0.25s)的地理分布,符号位置对应PKiKP的ICB反射点;绿色实线、黑色圆点、黑色五角星和青色黑边三角形分别对应PKiKP大圆弧路径,CMB透射点,震源和台站在地图上的投影;底图为层析成像结果[25]给出的CMB附近地幔纵波波速扰动 (a)原始观测;(b)扁率校正结果;(c)地幔校正结果;(d)最终结果(对原始数据进行地幔校正和扁率校正). Fig. 4 Geographical distribution of travel time residues (hollow circle, residue lower than -0.25s;hollow square, absolute no greater than 0.25s), symbols located at ICB reflected points of PKiKP; green lines are map projection of great-circle paths for PKiKP with black stars indicating epicenters; black dots stand for piercing points of PKiKP on CMB and cyan triangles with black frame for stations; tomography inversion[25] for VP perturbation near CMB is plotted as basemap. (a) Primitive observation; (b) After elliptic correction; (c) After mantle correction; (d) Final results (primitive data processed by both elliptic and mantle correction). |
图 5a和5b分别展示了校正前、后振幅比AmpPKiKP/ AmpPcP随震中距的变化.图中实线为不同ICB密度差模型的理论振幅比,其中黑色粗线为PREM[21]结果,灰色细线对应了0.6g/cm3的递减(向下)和递增(向上).对比图 5a和5b可以发现,虽然部分原始数据(灰色圆圈)校正前后变动显著,但筛选结果(黑色圆圈)却十分稳定,所得平均值(图 5b中黑色实心圆点,纵向误差棒取1σ)也表现出较好的一致性.不难看出,平均值结果主要沿PREM理论值(0.6g/cm3,记“1P”模型,为虚线所圈定)和2倍PREM理论值(1.2g/cm3,记“2P”模型,为点线所圈定)两条曲线展布,同时离散程度亦明显改善,证实了筛选准则选取的合理性.
|
图 5 振幅比的震中距分布 (a)校正前振幅比的震中距分布:空心圆圈(灰色+黑色)为振幅比总数据(73个),其中黑色小圆圈是筛选所得数据(37个);0.0~3.6(g/cm3)等6个数字正下方为对应ICB密度差的理论曲线,其中黑色曲线为PREM(0.6g/cm3)预测结果;连接(25,0.0)至(25,0.5)的点线界定了震中距>25°(且<50°)的ICB密度差专属敏感区间;椭圆形虚线和点线指示的数据点(震中距大于25°)分别对应“P1(正常或略低ICB密度差)”和“P2(不小于2倍PREM密度差)”模型.(b)校正后结果:黑色实心圆点为所选样本子空间1°窗口的平均结果,纵向误差取1σ,其余注释同(a). Fig. 5 Distribution of amplitude ratios with epicenter distance (a) Distribution of amplitude ratio before correction:hollow circles (grey+black) are amplitude ratio results with black ones referring to the selected sample; the six numbers of 0.0~3.6 (g/cm3) indicating ICB density contrasts of the theoretical curves right below, of which the black one calculated by PREM; the elliptical dash line and dotted line bracket clusters of data (epicenter distance greater than 25°) implicating "P1 (normal or a bit lower ICB density contrast)" and "P2 (no less than 2 times of the PREM value)"model, respectively.(b) Distribution of amplitude ratio after correction:black solid dots, with vertical error bar equal to 1σ, show the results of averaging with 1° window; the other illustrations are the same as (a). |
图 6为相对振幅比(观测振幅比除以PREM理论值的自然对数即
|
图 6 相对振幅比的统计直方图,其中灰色对应总数据(共计73组),黑色对应挑选后数据(共计37组) (a)校正前结果;(b)校正后结果. Fig. 6 Statistical histogram of amplitude ratios, with total data (73) in grey and select edones (37) in black (a) Results before correction; (b) Results after correction. |
图 7展示了校正后相对振幅比(对应图 5b及图 6b数据)的空间分布.灰色和黑色符号分别对应单道观测和平均结果.受数据取舍影响,筛选所得37道数据平均值的空间覆盖远不及走时残差,但所得结果依然存在一定的地理分布规律.参照图 5,虚线和点线圈定的“P1”“P2”区域揭示25°~50°(ICB密度差敏感区间)震中距范围内相对振幅比观测的北西-南东向的系统变化.
|
图 7 校正后相对振幅比的地理分布(取自然对数:空心圆圈,小于-0.25;加号,大于+0.25;正方框,绝对值不大于0.25) 符号位置对应PKiKPICB反射点;其中灰色实线对应PKiKP大圆弧路径,黑色五角星为震中位置,而黑边灰三角形则表明台站群;“P1-虚线椭圆”及“P2-点线椭圆”可参见图 5注释. Fig. 7 The geographic distribution of corrected amplitude ratio (in natural logarithm:hollow circle, residue lower than -0.25;plus, greater than +0.25;hollow square, absolute no greater than 0.25) Symbols are located at ICB reflecting points of PKiKP; grey lines are map projection of great circle paths for PKiKP with black stars indicating epicenters and grey triangles with black frame for array stations; the meaning of"P1-dashedellipse" and "P2-dottedellipse" can be foundin Fig.5. |
前临界PKiKP因能量微弱而不易识别,其最初观测[20]便来自台阵叠加结果.本研究表明,密集台阵确能有效识别该震相信号,并显著抑制背景随机噪声引起的振幅离散.日本岛弧东南海域前临界PKiKP的发现[30]证实了这一区域尖锐的内核边界,而本研究则使上述结构向西和北进一步延拓,揭示了东亚-西北太平洋清晰ICB的广泛分布.从事件目录(表 1)可以看出:1)有效观测的发震时刻均对应台阵所处时区(GMT+8)的深夜及凌晨,这也正是环境噪声最弱时段;2)浅源地震(<70km)占据了有效事件的半数以上(5/8),表明浅源地震同样是高质量数据(图 1c-1d和图 2)的可能来源,这与其它研究[24, 27]中广泛采用的深震标准相出入.前人研究之所以优选深源地震主要因为浅部介质不均匀和浅震震源的复杂性.而实际上,浅部路径的相似性在一定程度上减轻震源附近结构的影响.以震源深度30km,震中距30°,频率1 Hz的波场为例,PcP和PKiKP在100km深度穿透点间隔约30km,而Fresnel半径却不小于20km.另外,较小震级(不大于6.0mb,见表 1)的选取确保了相对简单的震源时间函数.因此,更严格的发震时刻选择以及宽松的震源深度限定有助于有效事件检出数目和效率的提高.
4.2 走时残差和CB起伏走时残差较好的空间一致性(图 4)印证了密集台阵射线Fresnel带的叠合.围绕正常区域的半环状负异常(更快的CMB-ICB传播)可对应周边区域的观测结果[31].而自西向东从正常到负异常的迅速变化(沿ICB70km范围内>0.5s)则反映了深部介质的强烈侧向扰动.同时,地核震相组合走时残差研究[32]也表明研究区所处“准东半球[22]”的液态外核底部具有接近PREM的速度结构.而液核的均匀性[33]使ICB-CMB的相对起伏成为上述观测的优选解释.观测所得0.6~0.7s的横向变化(图 3和图 4)限定了ICB不超过3km的起伏.
4.3 振幅比和ICB密度结构的动力学意义振幅比离散远大于走时残差,这与地震射线传播路径的聚-散焦效应及背景噪声有关.数据筛选及窗口平均有效压制了这些随机干扰,使结果能更好反映深部结构.25°~50°震中距范围内的振幅比平均值(图 7黑圈标识)主要反映了ICB密度差的侧向变化.这种横向不均匀具体表现为研究区西北部“低密度差”区域(“P1”,~0.6g/cm3)和东南部“高密度差”区域(“P2”,~1.2g/cm3)的二元分划.
密度结构的强烈侧向变化为ICB动力学状态的认识提供了有益线索.另外,利用Hi-net观测数据对班达海(Banda Sea)区域ICB的研究[34]也揭示了该界面的复杂起伏,印证了深部热力学状态的高度不均匀.动力学模拟表明[35],内核生长是一个在整体自西向东平移(translation)背景下动态结晶-熔融的过程,而位于准东半球的研究区ICB正不断抬升遭受溶蚀[36].所观测区域小尺度现象可能暗示了液核对流和内核生长环境的局部扰动,而对该结构的进一步研究有待于更多地震学观测资料的约束.
致谢感谢中国科学院地质与地球物理研究所地震台阵探测实验室为本项研究提供了原始数据资料,感谢郑天愉研究员、赵亮研究员及地震台阵实验室人员的野外辛勤工作.文中图件使用GMT[37]绘制.
| [1] | Lehmann I. P'. Publ. Bur. Centr. Seismol. Int., 1936, A (14): 87-115. |
| [2] | 宋晓东. 地球内核与地球深部动力学. 地学前缘 , 1998, 5(Suppl.1): 1–9. Song X D. The Earth's inner core and the dynamics of the Earth's deep interior. Earth Science Frontiers (in Chinese) , 1998, 5(Suppl.1): 1-9. (in Chinese) |
| [3] | Tateno S, Hirose K, Ohishi Y, et al. The structure of iron in Earth's inner core. Science , 2010, 330(6002): 359-361. DOI:10.1126/science.1194662 |
| [4] | Pozzo M, Davies C, Gubbins D, et al. Transport properties for liquid silicon-oxygen-iron mixtures at Earth's core conditions. Physical Review B , 2013, 87(1): 14110. DOI:10.1103/PhysRevB.87.014110 |
| [5] | Martorell B, Brodholt J, Wood I G, et al. The effect of nickel on the properties of iron at the conditions of earth's inner core: Ab initio calculations of seismic wave velocities of Fe-Ni alloys. Earth and Planetary Science Letters , 2013, 365: 143-151. DOI:10.1016/j.epsl.2013.01.007 |
| [6] | 李安生, 李振庭. 地球基本磁场的形成与变化的探讨. 地球物理学进展 , 2007, 22(3): 750–758. Li A S, Li Z T. Research into the formation and change of the basic geomagnetic field. Progress in Geophysics (in Chinese) , 2007, 22(3): 750-758. (in Chinese) |
| [7] | Buffett B A. A mechanism for decade fluctuations in the length of day. Geophys. Res. Lett. , 1996, 23(25): 3803-3806. DOI:10.1029/96GL03571 |
| [8] | Pais A, Hulot G. Length of day decade variations, torsional oscillations and inner core superrotation: evidence from recovered core surface zonal flows. Physics of the Earth and Planetary Interiors , 2000, 118(3-4): 291-316. DOI:10.1016/S0031-9201(99)00161-2 |
| [9] | Smirnov A V, Tarduno J A, Evans D A D. Evolving core conditions ca.2 billion years ago detected by paleosecular variation. Physics of the Earth and Planetary Interiors , 2011, 187(3): 225-231. |
| [10] | Morelli A, Dziewonski A M, Woodhouse J H. Anisotropy of the inner core inferred from PKIKP travel times. Geophys. Res. Lett. , 1986, 13(13): 1545-1548. DOI:10.1029/GL013i013p01545 |
| [11] | Song X D, Richards P G. Seismological evidence for differential rotation of the Earth's inner core. Nature , 1996, 382(6588): 221-224. DOI:10.1038/382221a0 |
| [12] | Sun X L, Song X D. Tomographic inversion for three-dimensional anisotropy of Earth's inner core. Physics of the Earth and Planetary Interiors , 2008, 167(1-2): 53-70. DOI:10.1016/j.pepi.2008.02.011 |
| [13] | 李乐, 周蕙兰, 陈棋福. 地球内核的地震学研究进展. 地球物理学进展 , 2004, 19(2): 238–245. Li L, Zhou H L, Chen Q F. Progress in the seismological study of the Earth's inner core. Progress in Geophysics (in Chinese) , 2004, 19(2): 238-245. (in Chinese) |
| [14] | 刘斌, 张群山, 王宝善, 等. 内核地震波速各向异性的成因. 地球物理学报 , 2000, 43(3): 312–321. Liu B, Zhang Q S, Wang B S, et al. Origin of the inner core's seismic anisotropy. Chinese J. Geophys. (in Chinese) , 2000, 43(3): 312-321. (in Chinese) |
| [15] | Mizzon H, Monnereau M. Implication of the lopsided growth for the viscosity of Earth's inner core. Earth and Planetary Science Letters , 2013, 361: 391-401. DOI:10.1016/j.epsl.2012.11.005 |
| [16] | Song X D. Seismic Evidence for an inner core transition zone. Science , 1998, 282(5390): 924-927. DOI:10.1126/science.282.5390.924 |
| [17] | Ishii M. The innermost inner core of the earth: Evidence for a change in anisotropic behavior at the radius of about 300 km. Proceedings of the National Academy of Sciences , 2002, 99(22): 14026-14030. DOI:10.1073/pnas.172508499 |
| [18] | Cormier V F, Li X. Frequency-dependent seismic attenuation in the inner core scattering and fabric interpretation. J. Geophys. Res. , 2002, 107(B12): ESE14-1-ESE14-15. DOI:10.1029/2002JB001796 |
| [19] | Buffett B A, Huppert H E, Lister J R, et al. On the thermal evolution of the Earth's core. J. Geophys. Res. , 1996, 101(B4): 7989-8006. DOI:10.1029/95JB03539 |
| [20] | Engdahl E R, Flinn E A, Romney C F. Seismic waves reflected from the Earth's inner core. Nature , 1970, 228(5274): 852-853. DOI:10.1038/228852a0 |
| [21] | Dziewonski A M, Anderson D L. Preliminary reference Earth model. Physics of the Earth and Planetary Interiors , 1981, 25(4): 297-356. DOI:10.1016/0031-9201(81)90046-7 |
| [22] | Tanaka S, Hamaguchi H. Degree one heterogeneity and hemispherical variation of anisotropy in the inner core from PKP (BC)-PKP (DF) times. J. Geophys. Res. , 1997, 102(B2): 2925-2938. DOI:10.1029/96JB03187 |
| [23] | Krasnoshchekov D N, Kaazik P B, Ovtchinnikov V M. Seismological evidence for mosaic structure of the surface of the Earth's inner core. Nature , 2005, 435(7041): 483-487. DOI:10.1038/nature03613 |
| [24] | Koper K D, Pyle M L. Observations of PKiKP/PcP amplitude ratios and implications for Earth structure at the boundaries of the liquid core. J. Geophys. Res. , 2004, 109(B3): B03301. |
| [25] | Simmons N A, Forte A M, Boschi L, et al. GyPSuM: A joint tomographic model of mantle density and seismic wave speeds. J. Geophys. Res. , 2010, 115(B12): B12310. DOI:10.1029/2010JB007631 |
| [26] | Dziewonski A M, Gilbert F. The effect of small, aspherical perturbations on travel times and a re-examination of the corrections for ellipticity. Geophysical Journal International , 1976, 44(1): 7-17. DOI:10.1111/j.1365-246X.1976.tb00271.x |
| [27] | Cao A M, Romanowicz B. Constraints on density and shear velocity contrasts at the inner core boundary. Geophysical Journal International , 2004, 157(3): 1146-1151. DOI:10.1111/gji.2004.157.issue-3 |
| [28] | Tkalči ć H, Kennett B L N, Cormier V F. On the inner-outer core density contrast from PKiKP/PcP amplitude ratios and uncertainties caused by seismic noise. Geophysical Journal International , 2009, 179(1): 425-443. DOI:10.1111/gji.2009.179.issue-1 |
| [29] | Schimmel M, Paulssen H. Noise reduction and detection of weak, coherent signals through phase-weighted stacks. Geophysical Journal International , 1997, 130(2): 497-505. DOI:10.1111/gji.1997.130.issue-2 |
| [30] | Kawakatsu H. Sharp and seismically transparent inner core boundary region revealed by an entire network observation of near-vertical PKiKP. Earth Planets Space , 2006, 58(7): 855-863. DOI:10.1186/BF03351990 |
| [31] | Koper K D, Pyle M L, Franks J M. Constraints on aspherical core structure from PKiKP-PcP differential travel times. J. Geophys. Res. , 2003, 108(B3): 2168. |
| [32] | Yu W C, Wen L C, Niu F L. Seismic velocity structure in the Earth's outer core. J. Geophys. Res. , 2005, 110(B2): B02302. |
| [33] | Souriau A. Is there any structure inside the liquid outer core?. Geophys. Res. Lett. , 2003, 30(11): 1567. DOI:10.1029/2003GL017008 |
| [34] | Dai Z Y, Wang W, Wen L. Irregular topography at the earth's inner core boundary. Proceedings of the National Academy of Sciences of the United States of America , 2012, 109(20): 7654-7658. DOI:10.1073/pnas.1116342109 |
| [35] | Monnereau M, Calvet M, Margerin L, et al. Lopsided growth of Earth's inner core. Science , 2010, 328(5981): 1014-1017. DOI:10.1126/science.1186212 |
| [36] | Gubbins D, Sreenivasan B, Mound J, et al. Melting of the Earth's inner core. Nature , 2011, 473(7347): 361-363. DOI:10.1038/nature10068 |
| [37] | Wessel P, Smith W H F. New, improved version of generic mapping tools released. EOS, Transaction American Geophysical Union , 1998, 79(47): 579. DOI:10.1029/98EO00426 |
2013, Vol. 56
