地球物理学报  2013, Vol. 56 Issue (10): 3255-3269   PDF    
非绝热加热对大气局地扰动位能的影响和机理
高丽1,2 , 李建平2     
1. 中国气象局 国家气象中心 数值预报中心, 北京 100081;
2. 中国科学院大气物理研究所 大气科学和地球流体力学数值模拟国家重点实验室, 北京 100029
摘要: 本文运用统计相关和奇异值分解方法, 系统地考察了非绝热加热对大气局地扰动位能的影响特征和机理问题.分析结果表明, 热带地区海表温度异常和扰动位能的耦合相关特征与厄尔尼诺和南方涛动变率的关系密切, 扰动位能在热带外地区的耦合模态空间型呈现出与北太平洋-北美大气遥相关型极为相似的分布特征.通过进一步考察大气中视热源与扰动位能的耦合特征, 发现在低纬地区仍主要反映了厄尔尼诺和南方涛动的影响机制, 在热带外地区, 视热源异常的耦合模态则表现出与北半球环状模类似的特点, 这表明热带外地区大气的局地能量有效性与热带非绝热加热的遥强迫以及局地性热源加热强迫有着极为密切的联系.
关键词: 大气非绝热加热      扰动位能      海温      视热源     
Impacts and mechanism of diabatic heating on atmospheric perturbation potential energy
GAO Li1,2, LI Jian-Ping2     
1. Numerical Prediction Center, National Meteorological Center, China Meteorological Administration, Beijing 100081, China;
2. State Key Laboratory of Numerical Modeling for Atmospheric Sciences and Geophysical Fluid Dynamics, Institute of Atmospheric Physics, Chinese Academy of Sciences, Beijing 100029, China
Abstract: This study systematically examines the impacts and mechanism of diabatic heating on atmospheric perturbed potential energy (PPE) using statistical correlation analysis and singular value decomposition (SVD) analysis methods. Results show that the coupled correlation features between tropical sea surface temperature (SST) anomalies and PPE are intimately associated with the El Niño-Southern Oscillation (ENSO) phenomenon and those between tropical SST anomalies and extratropical PPE are characterized by the Pacific-North America (PNA)-like pattern. Through further examination of the coupled features between atmospheric apparent heat source (Q1) and PPE, it is demonstrated that over the tropical region the impacts and mechanism between them still mainly reflect ENSO variability, whereas over the extratropical region the coupled patterns between them are manifested by the northern-hemispheric annular mode to some extent. This indicates that the atmospheric local energy availability over the extratropics is closely linked with the remote forcing of tropical diabatic heating and the forcing of local heat source..
Key words: Atmospheric diabatic heating      Perturbation potential energy      Sea surface temperature      Apparent heat source     
1 引言

在经典大气能量学框架下,全位能被分解为可以释放转化成动能的有效部分和不可释放的无效部分[1-3].对于这一能量有效性问题的研究,人们通常使用大气有效位能的基本概念,基于此来探讨位能与动能的转换、能量循环以及大气环流的维持,并将其拓展到海洋能量学的研究中[4-13].但以往这些研究中,有效位能的概念大多只具有全球平均意义,反映了大气或海洋系统的整体能量有效性.然而,大气系统内部的能量收支、分布与转化都具有明显的局地性特征,这种具有明显局地意义的能量异常变化必然会对局地大气环流的变化产生显著影响[14-16].因此,考察局地能量有效性问题对于了解局地大气环流的变动极为重要.

在前面已有工作中,我们提出了适用于反映局地能量有效性问题的扰动位能概念(Perturbed Potential Energy,PPE),以此来研究局地全位能与动能转化的能量有效性问题[17-19],并考察了扰动位能的时空分布特征和年际异常变率[17, 20],揭示了扰动位能与大气环流异常变化的主耦合相关分布型及其影响机理[21].在最近的工作中,扰动位能已被分层加以考虑,并被应用到南海夏季风的能量收支分析[22-23],有助于深入理解季风乃至其它气候系统演变过程中不同位相转换的原因.

事实上,大气能量学的变化与作为大气外源的非绝热加热关系尤为密切[24].大气环流的异常变化与大气辐射强迫、潜热释放以及下垫面加热等非绝热过程紧密关联.非绝热加热对全球和局地的大气能量有效性均具有显著影响.因此,在前面研究基础上,本文进一步探讨非绝热加热对扰动位能的影响特征和相关机理,对于理解扰动位能与非绝热加热的关系以及扰动位能主模态的形成问题具有重要意义.本文将考察扰动位能与代表非绝热加热的变量场之间的耦合相关特征,进而揭示非绝热加热对于代表局地能量有效性特征的扰动位能的影响机理.

2 资料和方法

本文利用美国NCEP/NCAR(National Centers for Environment Prediction/National Center for Atmospheric Research)再分析资料[25],所用资料时段为1948-2004年,每年取冬季(11月-次年3月)作为研究对象;格点资料分辨率取为5°×5°,主要针对热带(南北纬30°之间)北半球热带外地区(20°N以北到极地)进行分析.所用变量分别为计算得到的整层积分的扰动位能,各标准气压层的三维大气温度场和风场,以及表面温度场和气压场.使用的海表温度(SeaSurfaceTemperature,SST)数据集为美国气候资料中心提供的扩展重构的海表温度资料.

大气中的非绝热加热是维持大气环流运转和发展天气系统的主要热力强迫因子.非绝热加热(冷却)过程构成了大气内能的源(汇)项,并在大多数天气现象(如对流、锋面、天气系统等)中起着决定性作用.非绝热加热率的估算一般有直接和间接的方法.对于直接方法,通过分别估计非绝热加热各分量,例如潜热释放可以从降水率来估计或从向外长波辐射来估算.然而,这样的估计通常不能反映非绝热加热的垂直分布特征,而且,一般也不可能对全球尺度的不同非绝热加热各分量有较为可信的估计.对于间接方法,它是利用热力学能量方程,从大气环流资料来计算作为剩余项的非绝热加热[26].其优点是完整的三维空间的大气环流资料可供利用,而这些资料的观测精度相对比较可靠,而且,如果非绝热加热是从现代数值天气预报模式提供的分析资料间接计算得到的,那么这种余差法是最为准确的.通过直接利用现有各个层次上再分析资料等计算非绝热加热率的方法,我们得到了全球三维空间非绝热加热(视热源)分布,具体计算方案将在第5节中给出.扰动位能与非绝热加热场之间耦合关系通过奇异值分解(Singular Value Decomposition,SVD)分析技术加以实现.有关这一方法的说明详见文献[21]附录.

3 海表温度与扰动位能的耦合相关特征

热带海表温度异常加热对于大气环流异常变化的影响问题,已有很多研究[27-28].一方面,低纬SST异常与低纬大气环流系统的异常变化相互耦合,在这一过程中,SST异常提供的外源加热(或冷却)必然通过局地扰动位能作为桥梁才能最终转化为大气环流异常的动能.另一方面,低纬SST异常对热带外地区大气环流异常,主要是以球面Rossby波频散的方式对中高纬地区大气环流产生影响[27-28],在此过程中,扰动位能同样扮演着转换桥梁的作用.当然,这本身就是一个复杂的科学问题.这里旨在从资料诊断角度揭示外源异常与扰动位能的耦合变化关系.

3.1 热带地区SST与热带PA之间的SVD分析

首先,以冬季(当年11月-次年3月)南北纬30°之间的热带地区的整层扰动位能为左场,海表温度SST为右场进行SVD分析,其目的是考察低纬下垫面海温非绝热加热异常对于低纬度的局地能量有效性的影响问题.这里之所以针对冬季,很大程度上是考虑到热带太平洋的异常暖事件都是在这一时期达到成熟位相,便于给出主要相关特征,其它季节则要偏弱很多.

表 1给出了前5个SVD模态的主要信息.第一模态解释两个场之间的总协方差平方和的81.94%,能够代表两个场耦合变化型的主要特征,分别解释了SST方差的27.7%和整层扰动位能方差的24.11%.可见,两个场的耦合变化型在扰动位能和SST场中均占较大的方差比例.相比之下,第二耦合模态的方差贡献虽然远不及第一模态,但其在各自场中的贡献仍然很大.大部分耦合模态左右场展开时间系数之间的相关可达0.6~0.8,通过了99.9%的信度检验.

表 1 热带地区扰动位能(左场)与SST(右场)SVD前5个模态的数据信息 Table 1 Information of the first 5 SVDs of tropical PPE (left) and SST (right)

图 1是SVD第一模态左右场的同类相关、异类相关以及展开系数的时间序列图.第一模态解释了约82%的总协方差平方和,并分别解释了约24%和28%的低纬度扰动位能和SST异常的各自变率方差贡献.分析发现,右异类相关图与SST标准化距平经验正交函数(EOF)分析的第一特征向量图很相似(图略),而左异类相关图相似于PA的第一特征向量.很显然,在低纬地区,第一模态已成为主要的空间分布型,它不仅是耦合相关的支配模态,同时也是两个场各自变率的主要模态.对于表示SST的右场相关图而言,正是我们所熟知的热带太平洋海温异常变化主要空间型,即在赤道中-东太平洋以及赤道西印度洋等区域呈现大范围的海温异常,而在赤道西太平洋以及南北两侧呈现反相异常分布,这是已被广泛研究的SST异常变率的厄尔尼诺和南方涛动(ENSO)模态,同类和异类相关图几乎是完全一样的,仅仅是后者的相关系数中心值略有下降.

图 1 冬季整层扰动位能为左场、热带地区海表温度SST为右场SVD第一模态 (a)和(b)分别是左、右同类相关图,等值线间隔0.1;(c)和(d)是左、右异类相关图,等值线间隔0.2;(e)为左右场的扩展系数经过3点平滑的时间序列.TCC为时间相关系数,PV为方差百分比. Fig. 1 The first SVD of winter PPE (left) and tropical SST (right) Panels (a) and (b) are the left and right homogeneous correlation maps, contour interval is 0.1;(c) and (d) the left and right heterogeneous correlation maps, contour interval is 0.2;(e) The extension coefficient series of the left and right fields with a 3-point running mean.TCC:temporal correlation coefficient; PV:percentage of variance.

对于表示低纬地区扰动位能的左场相关图,可以看到,同类和异类相关图彼此之间非常相象,前者仅在量值上比后者略大一点.更为引人注目的特征是,扰动位能相关图上的主要特征分布与SST相关图对应的相当好,即在低纬度基本上都呈现负相关分布,分别在赤道中-东太平洋和西印度洋存在高负荷载中心区,而在赤道东大西洋上也呈现负荷载中心.这些特征显然与Walker环流密切相关,因为在低纬度海气耦合系统中,当SST异常呈现ENSO主模态时,对应的大气环流异常就会表现出整个低纬地区的Walker环流异常变化,而扰动位能相关型正是受SST异常型支配、并直接引起环流异常型产生的中间环节,在非绝热加热和动能之间起到物理上衔接的作用.

另外,从这一模态的左右场展开时间系数序列来看,其相关系数达到0.871,它们的演变情况几乎完全一致,值得注意的是,在1980年代以后的两次强El Niño事件(1982/83事件和1997/98事件)中,时间系数都变成很大的负值,这在期间的几次中等强度暖事件中也有反映,历史上也存在很多次这样大的负值时段.

3.2 热带地区海表温度与热带外地区PA之间的SVD分析

在分析低纬度相关特征之后,我们进一步探讨热带SST异常与热带外地区大气扰动位能的相关关系,这将为研究热带外局地能量有效性和大气环流异常变化问题提供新视角.下面仍以冬季(当年11月-次年3月)北半球(NH)20°N热带外地区整层局地扰动位能为左场,以南北纬30°之间的热带地区的海表温度SST为右场进行SVD分析.

表 2是前5个SVD模态的主要信息.第一模态解释两个场之间的总协方差平方和的48.52%,能够很好地代表两个场耦合变化型的主要特征.这一耦合型解释了SST方差的23.62%,解释了整层扰动位能方差的9.34%.由此可见,虽然低纬度地区耦合模态对于各自方差贡献都很大,但低纬度SST异常变化所能解释的热带外地区大气扰动能量变率并不是特别突出,这也反映出热带外地区大气环流异常与低纬度外强迫关系的复杂性.在前5对事件展开系数的相关系数中,大部分都在0.4~0.6之间,且通过99.9%的信度检验.

表 2 中高纬扰动位能(左场)与低纬SST(右场)SVD前5个模态的数据信息 Table 2 Information of the first 5 SVDs of NH extratropical PPE (left) and tropical SST (right)

图 2给出的是SVD第一模态左右场的同类相关、异类相关以及展开系数的时间序列.同样分析发现,右异类相关图与SST标准化距平EOF分析的第一特征向量图很相似,而左异类相关图相似于PA的第一特征向量.从右场的同类和异类相关图来看,它们与图 1中对应的比较相似,只是相关系数略有下降,特别是异类相关图,彼此之间差别很小,仅在量值上稍有差异.对于左场的同类相关图而言,它与其自身的主EOF模态非常相似,但异类相关图则差异很大,主要是欧亚大陆上的正相关中心消失了,其余分布比较相似.其中突出的特征表现在显著的太平洋-北美型(PNA型),这显然是与赤道太平洋SST的主模态(ENSO模态)相对应的.当然,这一PNA型耦合模态虽然占据了总协方差的大部分贡献,但它并不是北半球热带外大气扰动位能的首要模态(仅是一部分),也就是说,当已知了SST异常(非绝热加热异常)的主模态时,其时间系数仅能够解释北半球热带外的一部分扰动位能(PNA区域变率)方差.此外,这一模态的左右场展开时间系数序列间的相关系数为0.659,比图 1e中对应序列的相关要低一些,这也反映出两个场关系的复杂性一面.

图 2 冬季北半球热带外地区整层扰动位能为左场、热带地区海表温度SST为右场SVD第一模态 (a)和(b)中最外围纬圈是20°N,经向网格线间隔20°. Fig. 2 The first SVD of winter NH extratropical PPE (left) and tropical SST (right) In (a) and (b), the outmost latitude is at 20°N and longitudinal interval is 20°.
3 Niño3指数与扰动位能的相关分析

海温异常以外部热源强迫的形式影响局地能量的有效性,其影响机制是通过主要耦合相关模态来加以实现.在前面SVD分析结论基础上,即热带及其以外地区扰动位能都与低纬度SST异常存在耦合变化模态,并且ENSO异常型扮演着重要角色,因此,下面我们将以表征ENSO变率的热带太平洋海温关键区Niño3指数与全球扰动位能场进行相关分析,以期得到进一步结论.

图 3给出了去掉线性趋势的Niño3指数与PA1的同期相关系数分布情况.在1月份图上可以看到,Niño3指数与热带除了西大西洋和西太平洋以外的大部分地区的PA1都呈现非常显著的正相关,特别是在中-东太平洋直到南美洲北部的广大区域,而与南北半球中纬度许多地区也存在显著负相关,其中包括中国的大部分地区.而在7月份图上,低纬度热带地区的正相关区域进一步扩大,几乎形成环绕地球一周的闭合圆环,而且,相关系数量值也在加大,但1月份存在于南北半球中纬度特别是中国区域的显著负相关区面积大幅度缩小,甚至消失,不过在南极大陆和格陵兰岛出现了大范围负相关区.进一步考察了前期Niño3指数与后期夏季7月份PA1的关系,发现春季4月份Niño3区SST异常与低纬度扰动位能一阶矩之间有很好的正相关关系,从滞后相关图上看出,热带中-东太平洋到南美洲以及赤道非洲和北印度洋均为显著正相关系数分布,北半球中纬度亚洲-西太平洋区域以及格陵兰岛南部为显著负相关区,当然,相关系数的数值要较同期相关小一些.这种滞后相关关系的发现有助于季节预报机理问题的研究.

图 3 Niño3指数与PA1的相关分布 (a)1月份同期相关;(b)7月份同期相关;(c)前期4月份Niño.3指数与7月份PA1. Fig. 3 Correlations between Niño3 indexandPA1 (a) Simultaneous correlations in Jan; (b) Simultaneous correlations in Jul; (c) Correlations between Niño.3 SST in Apr and PA1 in Jul.

图 4给出了去掉趋势的Niño3指数与PA2的同期相关系数分布情况.在1月份图上,Niño3指数与热带除了大西洋和西太平洋以外的大部分地区的PA2都呈现非常显著的正相关,特别是在中-东太平洋直到南美洲北部区域,而在西太平洋地区以及南半球副热带海洋上呈现显著负相关区,南北半球中纬度呈现带状正相关区,其中也包括中国中部地区.在7月份相关图上,低纬正相关区范围大幅度缩减,仅在副热带南太平洋、赤道非洲和南美洲以及印度和中南半岛等地区呈现显著正相关分布,中纬度负相关区几乎完全消失,这与扰动位能一阶矩对应图上的情形截然相反.这表明,扰动位能一阶矩在很多情况下要比二阶矩更具物理意义,而且相关信号更为稳定显著,同时反映出一阶矩扰动位能更能揭示局地能量有效性相关问题和机理.此外,我们也考察了前期Niño3指数与后期夏季7月份PA2的关系,结果发现春季4月份Niño3区SST异常与低纬度扰动位能二阶矩之间基本上不存在显著正相关关系,在滞后相关图上,仅仅在赤道南美洲和非洲达到显著相关水平,北半球中纬度存在并不连贯的显著负相关区.

图 4图 3,但为Niño3指数与PA2的相关分布 Fig. 4 The same as Fig. 3, but for correlations between Niño3 index and PA2
4 表面温度与扰动位能的相关关系

海表温度异常对于大气系统热力动力过程的影响是我们知道的,同样作为下垫面边界条件,陆面温度的异常变化也必然会对大气局部能量有效性造成影响.因此,在对SST场异常以及特征指数与大气扰动位能相关关系进行分析基础上,这里简要考察表面温度(Surface Air Temperature,SAT)与扰动位能的局地单点相关关系.

图 5给出了扰动位能和表面温度的点对点局地相关系数分布情况.可以看出,全球各个格点在四个季节PPE和SAT的相关系数均大于0,呈现正相关特征,除了少部分区域的相关没有达到规定的统计显著性检验(阴影区),大部分地区相关都很显著,通过了信度为99.9%的显著性检验.而且,相关不显著区域主要集中于夏半球,1月份分布在澳洲和南大洋以及热带地区,而7月份则分布在北太平洋和北大西洋海区以及热带和南极附近;春秋过渡季节阴影区显著减小,主要集中于热带,但春季4月份南极大陆几乎都未通过严格的显著性检验.总体来看,陆面温度和扰动位能的相关要好于海面.

图 5 表面温度和扰动位能一阶矩在四个季节的局地相关分布 (a)-(d)分别为1月、4月、7月和10月;阴影区为没有通过99.9%信度检验的区域 Fig. 5 Correlations between SAT and PPE in (a) Jan, (b) Apr, (c) Jul, and (d) Oct Shading denotes the area under the 99.9% confidence.

由于全球表面温度表征的是地球表面热源和热汇的水平分布,影响它的局地因子有太阳辐射、纬度、表面反照率、气团的移动(平流)和局地海陆分布,其中,太阳辐射和纬度是最具影响却又无法分离的因子,这些因子同时也制约着全球三维空间温度场.另一方面,扰动位能反映的是局地能量的有效性,它与局地温度相对于全球平均的偏差有关,因而,表面温度与局地扰动位能的显著相关是容易理解的,这也反映出两者变化具有一致性.当然,在不同季节也会出现相关相对较弱的个别区域,这些情况可能与其它未知因素有关.

5 大气视热源与扰动位能的相关关系

大气中存在各种热源形式,它们是外源强迫(非绝热加热)在大气中的表现形式.自从Yanai等首次引入视热源概念[26]之后,这一研究方法已被广泛应用到天气气候诊断分析中.下面仍将利用计算相关和SVD,分析大气视热源与扰动位能之间的耦合特征和机理,这可能与前面下边界异常状况的影响有所不同.我们将首先简要介绍一下视热源的相关研究和本文计算方案.

5.1 大气视热源的计算

由于缺乏标准等压面上大气加热率资料,实际上既无法直接分析大气加热的空间分布,也无法考察非绝热加热在大气环流变化过程中所起的作用.为此,在过去相关研究中,基本上用两种方法计算大气的加热率(热源和热汇):一是直接分别计算辐射、湍流和凝结等各分量并求和,如早期这方面的研究[29-31];另一方法是由热量方程和运动方程出发,利用风场和温压场的资料来倒算大气中三维空间加热率的分布,这种方法不仅可以得到表面热源和热汇的分布,也可以得到加热的空间分布[26, 32].

在计算中由于很难估计方程中量级最小但又极为重要的垂直平流项,早期方案一般选择避开垂直项计算,只用平流项来代表大气的加热[32-33].此后,逐渐考虑估计垂直运动作用的方案被发展,Yanai等在1973年的工作无疑具有深远影响[26],他们在研究热带云团整体性质时,提出了视热源(Q1)和视水汽汇(Q2)概念,并应用到青藏高原加热机制研究中[34-35],此后又利用再分析资料重新计算视热源和视水汽汇来研究其季节和年际变化[36].

本文对视热源计算是在Yanai等研究方案[26, 36]基础上进行了一些改进.①所需的垂直速度ω直接采用NCEP/NCAR再分析资料中所提供的标准等压面上的垂直速度,并非Yanai所采用的利用散度方程通过垂直积分而得到的ω;②作整层积分时,使用了全部17个等压面层积分,而不是Yanai等[26, 36]所采用的只积分到对流层顶;③为了提高间接方法中时空差分运算的精度,本文采用了最新的高精度计算差分格式[37];④而且,计算了1948-2004年共计57年的全球三维逐日视热源资料(即非绝热加热率),然后得到月平均场.

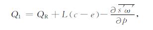
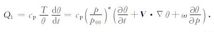
这里简要给出视热源Q1的定义和计算方案.根据位温形式的热力学方程表述可以得到视热源的定义如下:

(1)

其中,θ为位温,V为水平风速,ω=dp/dt,为p坐标系中的垂直速度,κ=R/cPRcP分别为干空气气体状态常数和干空气的定压比热,p00=1000hPa,T为温度.按照Yanai等[26]的讨论,视热源Q1代表局地加热和水汽的特征,可进一步解释为:

(2)

其中,QR为辐射加热率,c为单位质量空气的凝结率,e为云和雨水的蒸发率,s=cPT+gz,为空气的干静力能,L为凝结潜热.上标的撇号表示由于积云对流和湍流造成的偏差.

对(2)式从大气层顶积分到地面,可以得到

(3)

其中, PS分别为地表单位面积的降水率和感热通量.这样,我们就可以将Q1/cP的空间分布视为大气的总加热率的空间分布.

5.2 Q1与扰动位能的局地相关分析

图 6是扰动位能和垂直积分视热源在四个季节的局地相关系数分布.可以看出,扰动位能在低纬大片地区与视热源呈现正相关关系,显著相关区域主要集中在热带中东太平洋地区,冬季最为明显;春季4月份显著相关性最弱,仅在赤道太平洋出现带状阴影区;在夏秋季节,正相关区收缩到赤道中太平洋,但在西太平洋暖池地区、中南半岛附近以及赤道印度洋、大西洋和西非等地区,也出现显著正相关分布.与低纬形成鲜明对比的是,中纬度地区的大部分海洋上扰动位能与Q1呈现显著负相关关系,陆地上达到显著水平的相关很少;受海陆分布影响,南半球的纬向带状均匀分布特征明显,主要出现在西风带位置,北半球显著相关区域出现在北太平洋和大西洋.值得关注的是,南极大陆在1月份呈现大片正相关分布特征,但其它季节相关显著区域明显缩小,相比之下,北半球高纬度地区则局部相关特征差异较大,既存在正相关区域,也存在负相关区域.

图 6 视热源Q1和扰动位能一阶矩在四个季节的相关分布 (a)-(d)分别为1月、4月、7月和10月;阴影区为通过99.9%信度检验的区域. Fig. 6 Correlations between Q1 and PPE in (a) Jan, (b) Apr, (c) Jul, and (d) Oct Shading denotes the area exceed the 99.9% confidence.

总体来看,扰动位能和视热源之间的相关分布主要依赖于纬度,在全球尺度的热源和热汇处(对应低纬和高纬地区)呈现正相关关系,在中间的过渡区域则呈现反相关关系;陆地上的相关特征明显不如海洋上显著,这是下垫面不同造成局部冷热不均匀分布的结果.从季节变化来看,不同季节对应的某纬度带上相关正负属性不会改变,但是显著区域的位置和范围略有变化.

5.3 热带地区Q1和扰动位能的SVD分析

在前面单点相关分析基础上,进一步以Q1为左场,以大气扰动位能为右场进行了SVD场相关分析,并按照热带地区Q1和扰动位能之间,以及北半球热带外Q1和扰动位能之间两种情况来分别开展研究.

首先,以冬季热带地区的视热源Q1为左场,以该地区整层积分的扰动位能为右场进行SVD分析,其目的是考察低纬以潜热为主的非绝热加热率与局地能量有效性的相关关系.表 3给出了前5个SVD模态的主要信息.第一模态解释两个场之间的总协方差平方和的62.18%,能够代表两个场耦合变化型的主要特征,解释Q1方差的27.02%,解释整层扰动位能方差的7.03%,两个场的耦合变化型显然在Q1场中占较大的方差比例.第二耦合模态的方差贡献则远不及第一模态,其仍在Q1场中的贡献很大.大部分耦合模态左右场展开时间系数之间的相关可达0.7以上,通过了99.9%的信度检验.

表 3 低纬地区Q1(左场)与扰动位能(右场)SVD前5个模态的数据信息 Table 3 Information of the first 5 SVDs of tropical Q1(left) and PPE (right)

图 7是SVD第一模态左右场的同类相关、异类相关以及展开系数的时间序列图.对比发现,左、右场的同类和异类相关图均与对应标准化距平EOF分析的第一特征向量图非常相似(图略),说明主相关模态能够代表各自变率的主要空间模态.因此,对于低纬地区而言,第一模态已成为主要的空间分布型,它不仅是耦合相关的支配性模态,同时也是两个场各自变率的主要模态.

图 7 低纬地区Q1为左场,扰动位能为右场的SVD第一模态 其它信息同图 1,但等值线间隔为0.1. Fig. 7 The first SVD of tropical Q1(left) and PPE (right) Other information is the sameas Fig. 1, but with a contour interval of 0.1.

对于表示扰动位能的右场相关图,正是我们前面看到与热带太平洋海温异常相耦合的扰动位能空间型,在低纬度基本上都呈现负相关分布,分别在赤道中-东太平洋和西印度洋存在高负相关中心区,而在赤道东大西洋上也呈现负相关中心.同类和异类相关图几乎是完全一样的,仅仅是后者的相关系数中心值略有下降.对于表示低纬地区视热源的左场相关图,可以看到,同类和异类相关图彼此之间非常相象,前者仅在量值上比后者略大一点.引人注目的特征是,Q1相关图上的主要特征与前面低纬SST相关图对应很好,即在赤道中-东太平洋、西印度洋和东大西洋存在高的负相关中心区,而在其间分布着高的正相关系数区.上述分布特征显然与ENSO模态及其影响的大气环流异常型密切相关,因为在低纬度海气耦合系统中,当SST异常呈现ENSO主模态时,对应的垂直运动产生异常变化,导致大气中凝结潜热释放出现异常变化,进而使得大气环流异常表现出整个低纬地区的Walker环流异常变化.从这一模态的左右场展开时间系数序列来看,其相关系数达到0.817,它们的演变情况几乎完全一致,从图中可以看到,在1980年代以后的两次强El Niño事件(1982/83事件和1997/98事件)中,时间系数都表现出明显很大的负值,在此期间几次中等强度暖事件也有类似情况,历史上也存在很多次这样大的负值情况.

5.4 热带外地区Q1和扰动位能的SVD分析

这里进一步探讨热带外地区Q1和扰动位能的耦合相关特征.事实上,有关热带外地区、特别是中高纬地区视热源的相关研究并不多,因此,这里的研究为深入认识热带外局地能量有效性和大气非绝热加热率时空特征等问题提供参考.下面以冬季北半球热带外地区Q1为左场,以该地区整层局地扰动位能为右场进行SVD分析.表 4是前5个SVD模态的主要信息.

表 4 中高纬地区Q1(左场)与扰动位能(右场)SVD前5个模态的数据信息 Table 4 Information of the first 5 SVDs of tropical Q1(left) and PPE (right)

表 4中可以看到,第一模态解释两个场之间的总协方差平方和的25.86%,基本能够代表两个场耦合变化型的主要特征.这一耦合型解释了Q1方差的12.90%,解释了整层局地扰动位能方差的5.39%.总体来看,这里给出的相关效果并不是特别理想,尽管如表 3中所示,对于低纬度地区耦合模态对于Q1方差贡献都很大,但热带外地区Q1异常变化所能解释的该地区大气扰动能量变率并不是很突出,这也反映出热带外地区大气环流异常与非绝热加热率的关系比较复杂一些.在前5对事件展开系数的相关系数中,大部分都在0.7~0.8之间.

图 8给出了SVD第一模态左右场的同类相关、异类相关以及展开系数的时间序列.我们依然对这里第一耦合模态与两场各自EOF主模态进行了对比,发现二者之间具有很好的相似性.从右场的同类和异类相关图来看,它们与前面已经进行的该地区扰动位能SVD第一耦合模态是完全一致的,特别是同类相关图,而异类相关图仅仅是相关系数略有下降,从这里结果来看,同类和异类图彼此之间差别非常小.对于左场的同类相关图而言,相关系数的分布相对混乱一些,主要特征表现在副热带和极区的正相关系数分布,以及中纬度地区的显著负相关分布,值得注意的是,正负相关区的纬向对称性保持的不错,看来与热带外大气涛动特征关系密切.相比之下,Q1场的异类相关图则比同类图更混乱一些,仅中纬度负相关形成了带状分布,极区显著正相关只存在孤立的几个中心.这里需要说明的是,以往有关视热源研究很少涉及中高纬度情况,使得对于该地区所表现出来的异常耦合特征,很难从物理上加以解释,这与Q1本身所反映的各种非绝热加热的贡献复杂性有关,因此,对于这一问题,需要首先对该地区Q1的若干特性进行深入分析,这将在以后的工作中加以研究.此外,这一模态的左右场展开时间系数序列间的相关系数为0.807.

图 8 热带外地区Q1为左场,扰动位能为右场的SVD第一模态,其它信息同图 7 Fig. 8 The first SVD of extratropical tropical Q1(left) and PPE (right).Other information is the same as Fig. 7
6 结论与讨论

天气和气候异常现象与大气系统内部的局地能量源(汇)密切相关,而这与非绝热加热是密不可分的.本文旨在考察非绝热加热对大气扰动位能的影响特征,并在此基础上初步探讨其机理问题.分析结果表明,海表温度和扰动位能二者主耦合型与ENSO变率关系密切,而海温异常对热带外扰动位能的影响模主要在太平洋-北美区域存在显著信号,此外,全球表面温度对大气扰动位能有很显著的影响特征.本文进一步研究了大气中视热源与扰动位能的相关机理问题,结果显示,低纬地区两场仍主要以ENSO模态为主要耦合型,而在热带外地区相关关系要弱一些,视热源异常耦合模态表现出与北半球环状模[38]类似的特点.

作为前面研究工作的延伸,本文研究使我们加深了对“非绝热加热-扰动位能-大气动能”之间的耦合相关机理的认识.这里需要指出的是,热带非绝热加热对热带外地区大气环流异常的影响作用,可能是通过局地扰动位能的途径加以实现的,回答这一问题,需要借鉴以往关于低纬加热异常与中高纬环流异常的关系和机制研究工作[39-45],而依据本文研究结果,可以从局地能量有效性新视角来重新探讨上述问题.在此基础上,围绕扰动位能概念在天气气候学异常机理分析中的应用问题将是下一步研究工作的重点.

参考文献
[1] LorenzE N. The Nature and Theory of the General Circulation of the Atmosphere. Geneva: World Meteorological Organization Publication, 1967 : 107 .
[2] 杨大升, 刘余滨, 刘式适. 动力气象学. (第二版). 北京: 气象出版社, 1983 : 303 -304. Yang D S, Liu Y B, Liu S K. Dynamical Meteorology (in Chinese). (2nd ed). Beijing: Meteorological Press, 1983 : 303 -304.
[3] Peixoto J P, Oort A H. Physics of Climate. New York: Springer-Verlag, American Institute of Physics Press, 1992 : 520 .
[4] Lorenz E N. Available potential energy and the maintenance of the general circulation. Tellus , 1955, 7(2): 157-167. DOI:10.1111/tus.1955.7.issue-2
[5] Dutton J A, Johnson D R. The theory of available potential energy and a variational approach to atmospheric energetics. Advances in Geophysics , 1967, 12: 333-436. DOI:10.1016/S0065-2687(08)60379-9
[6] Boer G J. Zonal and eddy forms of the available potential energy equations in pressure coordinates. Tellus , 1975, 27(5): 433-442. DOI:10.1111/tus.1975.27.issue-5
[7] Lorenz E N. Available energy and the maintenance of a moist circulation. Tellus , 1978, 30(1): 15-31. DOI:10.1111/tus.1978.30.issue-1
[8] Taylor K E. Formulas for calculating available potential energy over uneven topography. Tellus , 1979, 31(3): 236-245. DOI:10.1111/tus.1979.31.issue-3
[9] Oort A H, Asher S C, Levitus S, et al. New estimates of the available potential energy in the world ocean. J. Geophys. Res. , 1989, 94(C3): 3187-3200. DOI:10.1029/JC094iC03p03187
[10] Shepherd T G. A unified theory of available potential energy. Atmosphere-Ocean , 1993, 31(1): 1-26. DOI:10.1080/07055900.1993.9649460
[11] Winn-Nielsen A, Chen T C. Fundamentals of Atmospheric Energetics. New York, Oxford: Oxford University Press, 1993 : 376 .
[12] Siegmund P. The generation of available potential energy, according to Lorenz' exact and approximate equations. Tellus , 1994, 46(5): 566-582. DOI:10.1034/j.1600-0870.1994.t01-3-00002.x
[13] Huang R X. Available potential energy in the world's oceans. Journal of Marine Research , 2005, 63(1): 141-158. DOI:10.1357/0022240053693770
[14] Ren H L, Jin F F, Kug J S, et al. Transformed eddy-PV flux and positive synoptic eddy feedback onto low-frequency flow. Climate Dyn. , 2011, 36(11): 2357-2370.
[15] 廖清海, 陶诗言, 王会军. 东亚地区夏季7~8月大气环流季节演变异常的内部动力学过程. 地球物理学报 , 2006, 49(1): 28–36. Liao Q H, Tao S Y, Wang H J. Internal dynamics related to anomalies of seasonal evolution of summer circulations in East Asia during July-August. Chinese J. Geophys. (in Chinese) , 2006, 49(1): 28-36. (in Chinese)
[16] Ren H L, Jin F F, Gao L. Anatomy of synoptic eddy-NAO interaction through eddy-structure decomposition. J. Atmos. Sci. , 2012, 69(7): 2171-2191. DOI:10.1175/JAS-D-11-069.1
[17] 高丽.扰动位能的理论研究和诊断分析[博士论文].北京:中国科学院研究生院, 2006: 138. Gao L. Theoretical studies and diagnostic analyses of perturbation potential energy [Ph.D.thesis](in Chinese). Beijing: Graduate School of the Chinese Academy of Sciences, 2006: 138. http://cdmd.cnki.com.cn/Article/CDMD-80058-2006189536.htm
[18] 李建平, 高丽. 扰动位能理论及其应用?——扰动位能的概念、表达及其时空结构. 大气科学 , 2006, 30(5): 834–848. Li J P, Gao L. Theory on perturbation potential energy and its applications-concept, expression and spatio-temporal structures of perturbation potential energy. Chinese J. Atmos. Sci. (in Chinese) , 2006, 30(5): 834-848. (in Chinese)
[19] 高丽, 李建平, 任宏利. 绝热大气过程的若干性质. 自然科学进展 , 2006, 16(6): 644–648. Gao L, Li J P, Ren H L. Some characteristics of the atmosphere during an adiabatic process. Progress in Natural Science (in Chinese) , 2006, 16(6): 644-648. DOI:10.1080/10020070612330047 (in Chinese)
[20] 高丽, 李建平. 局地大气能量有效性中的表面扰动位能特征. 气象学报 , 2011, 69(4): 664–671. Gao L, Li J P. Characteristics of the surface perturbation potential energy in the local atmospheric energetic efficiency. Acta Meteorologica Sinica (in Chinese) , 2011, 69(4): 664-671. (in Chinese)
[21] 高丽, 李建平. 扰动位能与大气环流异常的耦合关系及机理研究. 地球物理学报 , 2012, 55(3): 768–780. Gao L, Li J P. Relationship and mechanism between perturbation potential energy and atmospheric general circulation anomalies. Chinese J. Geophys. (in Chinese) , 2012, 55(3): 768-780. (in Chinese)
[22] 汪雷, 李建平, 郭彦. 大气分层扰动位能控制方程及其应用——南海夏季风活动的能量收支. 大气科学 , 2012, 36(4): 769–783. Wang L, Li J P, Guo Y. Governing equations of atmospheric layer perturbation potential energy and its applications-energy budget of the South China Sea summer monsoon activity. Chinese J. Atmos. Sci. (in Chinese) , 2012, 36(4): 769-783. (in Chinese)
[23] 汪雷, 李建平, 丁瑞强. 分层扰动位能理论及其应用——以南海夏季风的年际变化为例. 地球物理学报 , 2013, 56(2): 392–408. Wang L, Li J P, Ding R Q. Theory on layer perturbation potential energy and its application: Annual variation of the South China Sea summer monsoon. Chinese J. Geophys. (in Chinese) , 2013, 56(2): 392-408. (in Chinese)
[24] 高丽, 李建平. 大气能量有效性的研究进展. 地球科学进展 , 2007, 22(5): 486–494. Gao L, Li J P. Progress in the study of atmospheric energy efficiency. Advances in Earth Science (in Chinese) , 2007, 22(5): 486-494. (in Chinese)
[25] Kalnay E, Kanamitsu M, Kistler R, et al. The NCEP/NCAR 40-year reanalysis project. Bull. Amer. Meteor. Soc. , 1996, 77(3): 437-471. DOI:10.1175/1520-0477(1996)077<0437:TNYRP>2.0.CO;2
[26] Yanai M, Esbensen S, Chu J H. Determination of bulk properties of tropical cloud clusters from large-scale heat and moisture budgets. J. Atmos. Sci. , 1973, 30(4): 611-627. DOI:10.1175/1520-0469(1973)030<0611:DOBPOT>2.0.CO;2
[27] Hoskins B J, Karoly D J. The steady linear response of a spherical atmosphere to thermal and orographic forcing. J. Atmos. Sci. , 1981, 38(6): 1179-1196. DOI:10.1175/1520-0469(1981)038<1179:TSLROA>2.0.CO;2
[28] 黄荣辉, 李维京. 夏季热带西太平洋上空的热源异常对东亚上空副热带高压的影响及其物理机制. 大气科学 , 1988, 12(S1): 107–116. Huang R H, Li W J. Influence of heat source anomaly over the western tropical Pacific on the subtropical high over East Asia and its physical mechanism. Chinese J. Atmos. Sci. (in Chinese) , 1988, 12(S1): 107-116. (in Chinese)
[29] Jacobs W C. Sources of atmospheric heat and moisture over the North Pacific and North Atlantic Oceans. Ann. N. Y. Acad. Sci. , 1943, 44(1): 19-40. DOI:10.1111/nyas.1943.44.issue-1
[30] Jacobs W C. The energy acquired by the atmosphere over the oceans through condensation and through heating from the sea surface. J. Meteor. , 1949, 6(4): 266-272. DOI:10.1175/1520-0469(1949)006<0266:TEABTA>2.0.CO;2
[31] Smagorinsky J. The dynamical influence of large-scale heat sources and sinks on the quasi-stationary mean motions of the atmosphere. Quart. J. Roy. Meteor. Soc. , 1953, 79(341): 342-366. DOI:10.1002/(ISSN)1477-870X
[32] Wexler H. Determination of the normal regions of heating and cooling in the atmosphere by means of aerological data. J. Meteor. , 1944, 1(1): 23-27. DOI:10.1175/1520-0469(1944)001<0023:DOTNRO>2.0.CO;2
[33] Möller F. Die Wärmebilanz der freien Atmosphäre im Januar. Met. Rundschau , 1950, 3: 97-108.
[34] Luo H B, Yanai M. The large-scale circulation and heat sources over the Tibetan Plateau and surrounding areas during the early summer of 1979, Part II: heat and moisture budgets. Mon. Wea. Rev. , 1984, 112(5): 966-989. DOI:10.1175/1520-0493(1984)112<0966:TLSCAH>2.0.CO;2
[35] Yanai M, Li C F. Mechanism of heating and the boundary layer over the Tibetan Plateau. Mon. Wea. Rev. , 1994, 122(2): 305-323. DOI:10.1175/1520-0493(1994)122<0305:MOHATB>2.0.CO;2
[36] Yanai M, Tomita T. Seasonal and interannual variability of atmospheric heat sources and moisture sinks as determined from NCEP-NCAR reanalysis. J. Climate , 1998, 11(3): 463-482. DOI:10.1175/1520-0442(1998)011<0463:SAIVOA>2.0.CO;2
[37] Li J P. General explicit difference formulas for numerical differentiation. J. Comput. Appl. Math. , 2005, 183(1): 29-52. DOI:10.1016/j.cam.2004.12.026
[38] Li J P, Wang J X L. A modified zonal index and its physical sense. Geophys. Res. Lett. , 2003, 30(12). DOI:10.1029/2003GL017441
[39] 李建平, 吴国雄, 胡敦欣, 等. 亚印太交汇区海气相互作用及其对我国短期气候的影响(上卷). 北京: 气象出版社, 2011 : 1 -516. Li J P, Wu G X, Hu D X, et al. Ocean-Atmosphere Interaction over the Joining Area of Asia and Indian-Pacific Ocean and Its Impact on the Short-Term Climate Variation in China (Volume I) (in Chinese). Beijing: China Meteorological Press, 2011 : 1 -516.
[40] 李建平, 吴国雄, 胡敦欣, 等. 亚印太交汇区海气相互作用及其对我国短期气候的影响(下卷). 北京: 气象出版社, 2011 : 517 -1081. Li J P, Wu G X, Hu D X, et al. Ocean-Atmosphere Interaction over the Joining Area of Asia and Indian-Pacific Ocean and Its Impact on the Short-Term Climate Variation in China (Volume Ⅱ) (in Chinese). Beijing: China Meteorological Press, 2011 : 517 -1081.
[41] 左金清, 任宏利, 李维京, 等. 我国南方夏季低频雨型的季节内水汽输送特征. 地球物理学报 , 2009, 52(9): 2210–2221. Zuo J Q, Ren H L, Li W J, et al. Intraseasonal characteristics of the water vapor transport associated with the low-frequency rainfall regimes over Southern China in summer. Chinese J. Geophys. (in Chinese) , 2009, 52(9): 2210-2221. (in Chinese)
[42] Li J P, Wu Z W, Jiang Z H, et al. Can global warming strengthen the East Asian summer monsoon? . J.Climate , 2010, 23(24): 6696-6705. DOI:10.1175/2010JCLI3434.1
[43] Ren H L, Jin F F, Kug J S, et al. A kinematic mechanism for positive feedback between synoptic eddies and NAO. Geophys. Res. Lett. , 2009, 36(11): L11709. DOI:10.1029/2009GL037294
[44] Ren H L, Jin F F. Recharge oscillator mechanisms in two types of ENSO. J. Climate , 2013, 26(17): 6506-6523. DOI:10.1175/JCLI-D-12-00601.1
[45] 李建平, 任荣彩, 齐义泉, 等. 亚洲区域海-陆-气相互作用对全球和亚洲气候变化的作用研究进展. 大气科学 , 2013, 37(2): 518–538. Li J P, Ren R C, Qi Y Q, et al. Progress in air-land-sea interactions in Asia and their role in global and Asian climate change. Chinese J. Atmos. Sci. (in Chinese) , 2013, 37(2): 518-538. (in Chinese)