2. 中国科学院边缘海地质重点实验室,中国科学院南海海洋研究所, 广州 510301
2. Key Laboratory of the Marginal Sea Geology, South China Sea Institute of Oceanology, Chinese Academy of Sciences, Guangzhou 510301, China
目前海底热流主要通过钻孔测量、探针测量和BSR(BottomSimulatingReflection, 似海底反射)计算等3 种方式获得.3 种方式共同之处都是测量或计算出海底一定深度内的平均地温梯度,然后结合沉积物热导率,得到海底热流值,但测量方式和适用范围有别.钻孔测量方式是在海底钻探过程中,用测井手段在不同深度处测量温度,经适当校正后得到不同深度处的环境温度并获得地温梯度,对采集到的岩心测其室内热导率并进行温压校正和含水量校正[1-3].相对于另外两种方式,钻孔热流最接近区域热流背景,但由于深水区钻探难度较大,成本很高,获得钻孔热流的难度较大,目前钻孔主要分布于水深小于300m 的陆架区,而深水区钻孔热流数据很少;探针测量方式是将海底热流探针插入海底沉积物中,Bullard型或Lister型探针可以根据水下温度数据记录直接推导地温梯度和原位热导率[4-5],而EWING 型探针由水下记录只能获得地温梯度,热导率需要通过室内测量[2-3, 6].由于探针插入沉积物的深度只有几米(如本文两个原位探针热流站位测量时探针插入深度不足6m),所以温度和热导率的测量只是针对海底表层沉积物,考虑到浅水区表层沉积物中环境温度受海底温度周期性变化影响较大,探针测量方式一般适用在水深大于1500 m 的陆坡深水区(对水深1000~1500 m 范围的过渡性区域,如本文两个探针站位,可以只选用探针下部通道的数据记录进行计算,从而降低海底温度周期性变化的影响).相比钻孔测量方式,探针测量相对方便,但可能受表层流体活动等因素的影响;随着天然气水合物勘探工作的深入,利用反射地震剖面的似海底反射BSR 估算热流密度的方法得到广泛应用[7-13],BSR 热流计算简单,但BSR 的不连续性限制了BSR 热流的适用性,且由于实测沉积物热导率难以获取,前人通常采用经验公式估算从海底至BSR 界面的深度范围内沉积物平均热导率[8, 12-13],可能导致BSR 热流的误差.He 等(2009)[14]指出BSR 与天然气水合物稳定带底界的不一致性也会影响BSR 热流的准确性.钻孔测量、探针测量和BSR 计算3 种热流测量方式各有优缺,互为补充,为海底热流的获取提供了重要途径.了解不同测量方式的海底热流的差异,有助于正确理解海底热流特征,进而更好地应用海底热流资料.
在南海北部陆坡天然气水合物勘探区,因其特殊的地理位置和资源意义,近年来受到科学家们的高度重视.广州海洋地质调查局海洋四号船在实施国家“十一五"863计划海洋技术领域的2006AA09A203课题的海上试验时,于2009年用剑鱼1型多通道海底热流探针(属于Lister型探针)在该处进行了海底原位热流测量,得到两条热流剖面[5],其中HF2-3和HF5-3两个站位分别与天然气水合物钻孔SH-2和SH-5位置相近(图 1b),同时在高分辨率地震反射剖面上有BSR 显示(图 2),非常典型的集中了3种热流类型.本文以SH-2 和SH-5 孔为典型实例,分别计算相应位置的钻孔热流、探针热流和BSR 热流,并对比分析不同类型热流的差异及其可能原因.
|
图 1 南海北部陆坡天然气水合物勘探区构造位置及热流站位分布 (a)构造位置;(b)热流站位分布. Fig. 1 Tectonic location and distribution of heat flow sites of natural gas hydrate exploration area on the northern slope of the South China Sea (a) Tectonic location; (b) Distribution of heat flow sites. |
|
图 2 南海北部陆坡天然气水合物勘探区两条海底原位热流剖面处地震反射特征 (a)2号剖面地震反射特征;(b)5号剖面地震反射特征. Fig. 2 Seismic reflection features at two seafloor tn-situ heat flow profiles of natural gas hydrate exploration on the northern slope of the South China Sea (a) Seismic reflection features at profile 2; (b) Seismic reflection features at profile 5. |
南海北部大陆边缘自晚白垩世以来经历了多期张裂,并随着渐新世期间的岩石圈最终破裂和海底扩张而发展为被动大陆边缘[15],发育了较为宽阔的地势平坦的陆架和往海盆方向水深迅速加大的陆坡区,在其陆架-陆坡上发育了包括琼东南盆地-西沙海槽、珠江口盆地以及台西南盆地等含油气盆地.前人研究[16-17]表明这些盆地的深水区域不仅含有丰富的油气资源,而且也是天然气水合物的有利赋存区,是我国水合物勘探研究的重点区域.
南海北部陆坡水合物勘探区位于珠江口盆地的白云凹陷深水区.白云凹陷整体NEE 走向,展布面积约20000km2,现今水深300~3000m, 处于减薄的洋陆过渡地壳和盆地构造转换带位置,是构造形变集中区,凹陷中心地壳厚度仅7km, 新生代以来经历了早期断陷-断坳-坳陷3 个演化阶段[18],沉积环境由陆相逐渐演变为浅海-陆坡深水环境,发育了巨厚的深水沉积,最大沉积厚度约12km, 油气资源前景广阔,近年经钻探证实含有丰富油气的LW3-1-1井[19]、LH34-2-1 井1)即位于该凹陷内.白云凹陷晚期断裂发育,是南海北部新构造运动活跃地区,新构造运动改造、形成了大量的晚期构造圈闭,同时诱发了规模巨大的泥底辟和流体运动.多道地震综合解释剖面上显示出泥底辟和热流体的烟囱状通道和晚期部分断裂可能切穿海底[20-21].滑塌体、泥底辟和特殊构造带等对天然气水合物的形成和聚集提供了有利条件,高分辨率地震勘探表明该区存在特征清晰的BSR,说明该海域很可能存在有资源潜力的天然气水合物[22-23].广州海洋地质调查局于2007年在该海域成功地钻获水合物样品.
1) 中国石化新闻网2009 年12 月的报道,http://sinopecnews.com.cn/shnews/content/2009-12/10/content_710243.htm.
南海北部陆缘具有较高的热流背景[24-25].天然气水合物钻探区的2条热流剖面的探针原位热流值在56~101 mW/m2,其中多数站位热流值高于75mW/m2[5].5 口水合物钻孔的录井资料显示,SH-1、SH-2、SH-3 和SH-7 等四口孔在海底80~230m 范围内平均地温梯度介于45~50 ℃/km, SH-5孔在海底84~176m 范围内平均地温梯度为68.6 ℃/km[26].20世纪80年代中美合作在南海北部进行过海底热流探针测量,获得了3条热流剖面,其中中部剖面的北段就在珠江口盆地白云凹陷附近,位于本文2条热流剖面站位的东部,所测热流值变化于59~79mW/m2[27].处于原位热流剖面和中美合作中部剖面之间的LW3-1-1 钻井所测热流值更高,达92mW/m2[28].
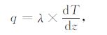
3 热流测量方法及结果根据傅里叶定律,海底热流密度等于地温梯度与相应沉积物热导率的乘积:
|
(1) |
式中T为环境温度,单位为℃,z为深度,单位为m;λ 为沉积物热导率,单位为W·m-1·℃-1;q为热流密度,单位为W·m-2.
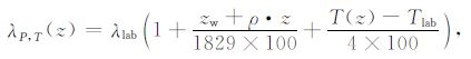
3.1 钻孔热流在神狐海域天然气水合物勘探中,钻井原位温度测量使用的是FPWS(FugroPore WaterSampler)系统,该系统专门为深水取样和测温设计,最大使用水深3000m, 挂载Fenwall112-102EAJ-B01测温设备(测温范围-2~40 ℃,分辨率为0.005 ℃,精度±0.01 ℃,反应时间小于1s),动力系统由WISONEP提供.FPWS系统下降到钻井悬绳底部后锁定在钻具底部,温度探针利用水压插入到周围沉积层中,放置一定时间使探针温度与地层温度平衡,数据实时记录并传送到船上工作站监控设备,测温结束后通过悬索将测温设备抽出地层.沉积物热导率由TK04热导率仪对所采集的岩心样品进行测量,每块样品在测量前均存放在恒温箱内恒温24h, 以便样品与测量环境之间达到热平衡.每块样品进行多次测量,测量结果的平均值作为该样品的热导率.前人实验表明,沉积物热导率和温度、压力及含水量相关[29],因此,实验室得到的热导率还需经过温度、压力以及含水量的校正,才能反映沉积物在原位条件下的导热性质.温、压校正采用如下校正公式[30-31]:
|
(2) |
式中,λP,T(z)为深度z处的沉积物的原位热导率,单位为W·m-1·℃-1;λlab为实验室条件下测得的热导率,单位为W·m-1·℃-1;zw 为水深,单位为m;ρ 是沉积物平均密度,单位为g/cm3;T(z)为深度z处的沉积物的原位温度,单位为℃;Tlab是测量热导率时的实验室温度,单位为℃.考虑到样品在采集后进行了蜡封处理,没有进行含水量的校正.
SH-2和SH-5两个钻孔的地层平衡温度结果如图 3所示,SH-2孔温度随深度几乎呈线性变化,地温梯度相对稳定,海底0~230m 范围平均地温梯度约为0.048 ℃·m-1;但SH-5孔在海底至84m 深度范围内地温梯度明显较大,可达0.088 ℃ ·m-1,84~176m 深度范围内地温梯度相对稳定于0.068 ℃·m-1.两孔热导率特征也有明显区别,SH-2孔热导率垂向上变化较大,从海底至BSR 界面深度范围内热导率基本随深度增大而增大,BSR界面下又略有减小,海底20~230m 深度范围内平均热导率约1.34 W·m-1·℃-1.SH-5孔热导率垂向变化较小,平均热导率约1.03 W·m-1·℃-1.两孔相比较,SH-2孔具有较低的平均地温梯度和较高的平均热导率,而SH-5 孔具有较高的平均地温梯度和较低的平均热导率,两孔的热流结果比较接近(见表 1).
|
图 3 SH-2和SH-5钻孔平衡温度随深度的变化 Fig. 3 Temperature changing with depth on Sites SH-2 and SH-5 |
|
|
表 1 SH-2和SH-5站位钻孔热流 Table 1 Heat flow derived from drilling measurement of Sites SH-2 and SH-5 |
探针按功能大体可分为两大类:一类是根据水下数据记录直接推导地温梯度和热导率,如Bullard型或Lister型探针;另一类是由水下记录仅能获得地温梯度,热导率需要通过室内测量得到,如EWING型探针.以往在南海北部进行的探针热流测量大都是采用EWING 型探针,测量及计算方法见文献[2-3].本文两条热流剖面采用的设备是广州海洋地质调查局研制的剑鱼1 型多通道海底原位热流探针,属于Lister型.使用探针采集数据时,先用绞车下放探针并用Pinger监控探针的下放深度,当距离海底50~100m 时,让探针停在水中3~5min, 以便探针下插前尽量保持竖直,并平衡各通道(即各组温度传感器)温度,为各通道的温度漂移校正做准备.然后高速下放使探针充分插入沉积物,此时探针首先会因摩擦生热而温度升高,随后逐渐回复至平衡温度.7~8min后触发热脉冲,探针先受脉冲加热引起温度升高,随后再次逐渐回复至平衡温度,每次成功测量都可以获得摩擦阶段和脉冲阶段的温度-时间记录.首先对各通道进行温度漂移校正,得到校正后的温度-时间记录,然后将探针视为半径为a的无限长的柱体,依据Hartmann & Villinger(2002)[32]算法拟合实测温度-时间曲线和理论温度曲线,获得各通道的环境温度和热导率,结合探针倾斜度校正,可以计算原位地温梯度和原位热流[5].HF2-3 和HF5-3站位的探针热流分别为68±2mW·m-2 和56±2mW·m-2(见表 2).
|
|
表 2 HF2-3和HF5-3站位探针热流 Table 2 Heat flow derived ^rom probe measurement of Sites HF2-3 and HF5-3 |
Yamano等(1982)[7]首先提出用气体水合物相变的温-压关系和BSR 深度计算BSR 热流,随后众多科学家开展了大量关于BSR热流的研究[8-13].计算BSR 热流时首先要确定相应站位处水深和BSR 深度(例如HF2-3站位处的水深为1200 m, BSR 深度218m),然后采用静水压力模型计算BSR 处的压力:
|
(3) |
式中Patm 为大气压,取0.101325MPa;ρsw 为平均海水密度,取1035kg/m3;g为重力加速度,取9.81m/s2;h为水深,单位为m;z为BSR距离海底的深度,单位为m.
根据Miles(1995)[33]的天然气水合物相平衡曲线方程,由BSR所在处的压力计算相应的BSR温度:
|
(4) |
式中:a=2.8074023,b=1.559474×10-1,c=4.8275×10-2,d= -2.780783×10-3,e=1.5922×10-4,压力p单位为MPa, 温度T单位为℃.
假定地温变化为线性,根据海底温度Tsea、BSR深度处温度TBSR,BSR 距离海底的深度ZBSR,利用简单热传导关系即可求解BSR热流HBSR(单位:W/m2):
|
(5) |
式中λ 为BSR 深度范围的沉积物平均热导率,单位为W·m-1·℃-1,本文采用SH-2和SH-5钻孔的实测平均热导率;HF2-3 和HF5-3 站位处的BSR热流计算结果见表 3.
|
|
表 3 HF2-3和HF5-3站位处BSR热流 Table 3 Heat flow derived from BSR measurement of Sites HF2-3 and HF5-3 |
首先将SH-2和SH-5 两个钻孔处的钻孔热流分别与相近的HF2-3、HF5-3站位处的探针热流和BSR 热流特征对比,以钻孔热流为准,分析探针热流和BSR 热流的偏离情况及可能原因.然后探讨SH-2和SH-5两个钻孔之间热流特征的异同,并分析其天然气水合物意义.
由表 4 知,在HF2-3 站位处,探针热流为68mW·m-2左右,与SH-2钻孔热流64mW·m-2基本一致.而在HF5-3站位处,探针热流为56mW·m-2,明显低于SH-5 钻孔热流70 mW·m-2.由李亚敏等(2010)[5]可知,HF5-3 站位两侧相邻的HF5-1、HF5-2、HF5-4 和HF5-5 等站位的探针热流都在75mW·m-2以上,惟有HF5-3 站位探针热流值不足60mW·m-2.HF5-3站位探针热流偏低的原因可能是海底表层沉积物出现对流散热.由图 2b 知HF5-3站位和SH-5钻孔附近有两条浅部断层延至海底,海水有可能沿断裂下渗,在一定深度处开始侧向运移并在合适位置重新上涌回到海底.这个循环过程中,下渗区的浅层沉积物热量出现散失,上涌区的浅层沉积物热量得到补给.HF5-3站位探针热流明显低于钻孔热流,也明显低于相邻的其他站位的探针热流,表明HF5-3 站位附近可能是海水下渗区,表层沉积物热量被下渗的海水带走而迅速散失,热流偏低.
|
|
表 4 SH-2和SH-5站位处三种类型的热流特征对比 Table 4 Comparing among three types heat flow on Sites SH-2 and SH-2 |
而HF2-3 站位处BSR 热流约64 mW·m-2,与SH-2钻孔热流64mW·m-2一致,HF5-3站位处BSR 热流约74 mW ·m-2,与SH-5 钻孔热流70mW·m-2也基本一致,因此采用实测沉积物平均热导率计算的SH-2和SH-5两个站位处的BSR热流都与相应钻孔热流具有较好的一致性,表明此处BSR 热流估算误差较小.
SH-2和SH-5两孔对应类型的热流特征存在明显区别,SH-2 孔的探针热流高于SH-5 孔,但钻孔热流和BSR 热流均低于SH-2孔.前面已经提到SH-5站位的探针热流偏低可能是海底表层沉积物出现海水对流散热导致,下面主要讨论两孔在钻孔热流和BSR 热流方面的区别.SH-5 孔实测钻孔平均地温梯度和BSR 地温梯度两者比较接近(分别为0.068 ℃ ·m-1 和0.072 ℃ · m-1),但明显高于SH-2孔的相应地温梯度(0.048℃ ·m-1).在热导率特征方面,SH-2孔实测沉积物热导率垂向变化明显,且平均热导率较高,而SH-5孔实测沉积物热导率垂向变化小,海底0~180m范围内平均热导率也较小,仅1.03 W·m-1·℃-1.考虑SH-2和SH-5孔在天然气水合物勘探成果方面的差异:SH-2孔钻获了天然气水合物,而SH-5 钻孔未能钻到天然气水合物.较高的地温梯度和热流背景或许是SH-5孔未钻到天然气水合物的重要原因.那么,什么原因导致了原本在天然气水合物赋存方面给予厚望的SH-5孔具有偏高的地温梯度和热流特征? 观察SH-5孔的地震剖面(图 2),发现钻孔下方有明显的泥底辟活动迹象.泥底辟既能为水合物提供充分的气源物质,同时又能促使地温场的变化而影响天然气水合物的成藏稳定性.王力峰等(2010)[26]将底辟活动进行了时间分期,提出早期和中期的底辟活动有助于天然气水合物的赋存,而在SH-5 孔下部的泥底辟处于晚期上侵,侵入到了天然气水合物稳定域内,温度等值线上移,导致了原本赋存的水合物分解.图 3显示海底50m 深度以下,SH-5孔的平衡温度确实高于SH-2孔的平衡温度.
两孔在热导率方面的特征与其沉积物矿物成分有关.对SH-2和SH-5两孔岩心进行了沉积物全岩X 射线衍射分析,实验由北京大学微构分析测试中心完成.X 射线衍射分析表明,沉积物主要由碎屑矿物、粘土矿物和碳酸盐组分组成,其中主要以陆源碎屑矿物为主,生物碳酸盐组分次之,粘土矿物含量最低.碎屑矿物主要以石英、斜长石、正长石和白云母等轻矿物为主,重矿物主要为黄铁矿和角闪石,种类少,所占比例极低(见表 5).
|
|
表 5 SH-2和SH-5两孔沉积物主要矿物成分 Table 5 Mineral constituents of sediments on Sites SH-2 and SH-5 |
两个钻孔中的各种矿物在岩心纵向上有一定程度的变化.对热导率贡献比较大的石英、长石类等矿物含量纵向变化较小,白云母、粘土矿物含量在不同深度具有不同程度的波动,含量随深度变化最大的为碳酸盐矿物.其中,SH-2岩心的石英、长石等轻矿物的含量在浅部变化不大.非常巧合的是,含水合物层(191~225m)与相邻层位相比,石英长石类陆源碎屑矿物含量高(约40%),碳酸盐含量低(约12%).在SH2钻孔的热导率测量中,岩心自上至下大致为1.1W·m-1·℃-1,含水合物层的岩心热导率明显要比其他层位的要高,大致为1.4 W·m-1·℃-1,这与岩心中的长英矿物的含量变化趋势是一致的.SH-5岩心矿物组成与其他岩心不同.该岩心的矿物含量变化较大,由顶部至底部,碎屑矿物和粘土的含量逐渐减少.在0~99m 的岩心主要以陆源碎屑沉积为主,粘土矿物含量波动不大,生物沉积组分较低.自130m 以下岩心的碎屑矿物急剧下降,碳酸盐矿物含量增加(高达50%),粘土矿物含量很低,该层段主要以生物沉积为主,显示了该沉积时期陆源物质的供应减少.而该岩心的热导率测量结果表明,从上至下热导率值基本不变,大致为1.0 W·m-1·℃-1左右.
5 结论(1) SH-2处探针热流与钻孔热流基本一致,但SH-5站位处探针热流相比钻孔热流明显偏低;采用钻孔实测沉积物平均热导率计算的SH-2 和SH-5两个站位处的BSR 热流都与相应钻孔热流基本一致.
(2) 根据地震剖面及相邻位置探针热流特征分析,SH-5站位处探针热流明显偏低可能是受到流体活动的影响.通过密集的海底探针热流测量,结合高精度多波束地形数据及地震反射剖面等资料,可以有效掌握该区域海底热流特征,并充分认识探针热流的影响因素.
(3) 相对SH-2 孔,SH-5 孔具有较高的地温梯度和热流特征,可能是SH-5 孔未钻到水合物的重要原因.而晚期泥底辟侵入可能是造成SH-5 孔具有较高的温度场并导致原本赋存的水合物分解的原因.
| [1] | 王良书, 刘绍文, 肖卫勇, 等. 渤海盆地大地热流分布特征. 科学通报 , 2002, 47(2): 151–155. Wang L S, Liu S W, Xiao W Y, et al. Distribution feature of terrestrial heat flow densities in the Bohai Basin, East China. Chinese Science Bulletin (in Chinese) , 2002, 47(2): 151-155. |
| [2] | 徐行, 施小斌, 罗贤虎, 等. 南海西沙海槽地区的海底热流测量. 海洋地质与第四纪地质 , 2006, 26(4): 51–58. Xu X, Shi X B, Luo X H, et al. Heat flow measurements in the Xisha trough of the South China Sea. Marine Geology & Quaternary Geology (in Chinese) , 2006, 26(4): 51-58. |
| [3] | 徐行, 施小斌, 罗贤虎, 等. 南海北部海底地热测量的数据处理方法. 现代地质 , 2006, 20(3): 457–464. Xu X, Shi X B, Luo X H, et al. Data processing methods of marine geothermal measurement on the northern margin of the South China Sea. Geoscience (in Chinese) , 2006, 20(3): 457-464. |
| [4] | Lister C R B. The pulse-probe method of conductivity measurement. Geophysical Journal of Royal Astronomical Society , 1979, 57(2): 451-461. DOI:10.1111/j.1365-246X.1979.tb04788.x |
| [5] | 李亚敏, 罗贤虎, 徐行, 等. 南海北部陆坡深水区的海底原位热流测量. 地球物理学报 , 2010, 53(9): 2161–2170. Li Y M, Luo X H, Xu X, et al. Seafloor in-situ heat flow measurement in the deep-water area of the northern slope, South China Sea. Chinese Journal of Geophysics (in Chinese) , 2010, 53(9): 2161-2170. |
| [6] | Pfender M, Villinger H. Miniaturized data loggers for deep sea sediment temperature gradient measurements. Marine Geology , 2002, 186(3-4): 557-570. DOI:10.1016/S0025-3227(02)00213-X |
| [7] | Yamano M, Uyeda S, Aoki Y, et al. Estimates of heat flow derived from gas hydrates. Geology , 1982, 10(7): 339-343. DOI:10.1130/0091-7613(1982)10<339:EOHFDF>2.0.CO;2 |
| [8] | Davis E E, Hyndman R D, Villinger H. Rates of fluid expulsion across the northern Cascadia accretionary prism: constraints from new heat row and multichannel seismic reflection data. J. Geophys. Res. , 1990, 95(B6): 8869-8889. DOI:10.1029/JB095iB06p08869 |
| [9] | Hyndman R D, Foucher J P, Yamano M, et al. Deep sea bottom-simulating-reflectors: calibration of the base of the hydrate stability field as used for heat flow estimates. Earth and Planetary Science Letters , 1992, 109(3-4): 289-301. DOI:10.1016/0012-821X(92)90093-B |
| [10] | Townend J. Estimates of conductive heat flow through bottom-simulating reflectors on the Hikurangi and southwest Fiordland continental margins, New Zealand. Mar. Geol. , 1997, 141(1-4): 209-220. DOI:10.1016/S0025-3227(97)00073-X |
| [11] | Ganguly N, Spence G D, Chapman N R, et al. Heat flow variations from bottom simulating reflectors on the Cascadia margin. Mar. Geol. , 2000, 164(1-2): 53-68. DOI:10.1016/S0025-3227(99)00126-7 |
| [12] | 王宏斌, 梁劲, 龚跃华, 等. 基于天然气水合物地震数据计算南海北部陆坡海底热流. 现代地质 , 2005, 19(1): 67–73. Wang H B, Liang J, Gong Y H, et al. Estimation of the heat flow in the Northern of the South China Sea based on the seismic data of gas hydrate. Geoscience (in Chinese) , 2005, 19(1): 67-73. |
| [13] | 宋海斌, 吴时国, 江为为. 南海东北部973剖面BSR及其热流特征. 地球物理学报 , 2007, 50(5): 1508–1517. Song H B, Wu S G, Jiang W W. The characteristics of BSRs and their derived heat flow on the profile 973 in the northeastern South China Sea. Chinese J. Geophys. (in Chinese) , 2007, 50(5): 1508-1517. |
| [14] | He L J, Wang J Y, Xu X, et al. Disparity between measured and BSR heat flow in the Xisha Trough of the South China Sea and its implications for the methane hydrate. Journal of Asian Earth Sciences , 2009, 34(6): 771-780. DOI:10.1016/j.jseaes.2008.11.004 |
| [15] | Ru K, Pigott J D. Episodic rifting and subsidence in the South China Sea. American Association of Petroleum Geologists, Bulletin , 1986, 70(9): 1136-1155. |
| [16] | Pang X, Yang S K, Zhu M, et al. Deep-water fan systems and petroleum resources on the northern slope of the South China Sea. Acta Geologica Sinica , 2004, 78(3): 626-631. |
| [17] | Zhang H Q, Yang S X, Wu N Y. GMGS-1 science team: China's first gas hydrate expedition successful. Fire in the Earth. Methane Hydrate Newsletter, National Technology Laboratory, US department of Energy, 2007. Spring/Summer Issue, 2007, 1: 4-8. |
| [18] | 庞雄, 陈长民, 彭大钧, 等. 南海北部白云深水区之基础地质. 中国海上油气 , 2008, 20(4): 215–222. Pang X, Chen C M, Peng D J, et al. Basic geology of Baiyun deep-water area in the northern South China Sea. China Offshore Oil & Gas (in Chinese) , 2008, 20(4): 215-222. |
| [19] | 朱俊章, 施和生, 庞雄, 等. 珠江口盆地白云凹陷深水区珠海组烃源岩评价及储层烃来源分析. 中国海上油气 , 2008, 20(4): 223–227. Zhu J Z, Shi H S, Pang X, et al. Zhuhai formation source rock evaluation and reservoired hydrocarbon source analysis in the deepwater area of Baiyun sag, Pearl River Mouth basin. China Offshore Oil & Gas (in Chinese) , 2008, 20(4): 223-227. |
| [20] | 吴能友, 杨胜雄, 王宏斌, 等. 南海北部陆坡神狐海域天然气水合物成藏的流体运移体系. 地球物理学报 , 2009, 52(6): 1641–1650. Wu N Y, Yang S X, Wang H B, et al. Gas-bearing fluid influx sub-system for gas hydrate geological system in Shenhu Area, Northern South China Sea. Chinese Journal of Geophysics (in Chinese) , 2009, 52(6): 1641-1650. |
| [21] | 吴时国, 董冬冬, 杨胜雄, 等. 南海北部陆坡细粒沉积物天然气水合物系统的形成模式初探. 地球物理学报 , 2009, 52(7): 1849–1857. Wu S G, Dong D D, Yang S X, et al. Genetic model of the hydrate system in the fine grain sediments in the northern continental slope of South China Sea. Chinese Journal of Geophysics (in Chinese) , 2009, 52(7): 1849-1857. |
| [22] | 王宏斌, 张光学, 杨木壮, 等. 南海陆坡天然气水合物成藏的构造环境. 海洋地质与第四纪地质 , 2003, 23(1): 81–86. Wang H B, Zhang G X, Yang M Z, et al. Structural circumstance of gas hydrate deposition in the continent margin, the South China Sea. Marine Geology & Quaternary Geology (in Chinese) , 2003, 23(1): 81-86. |
| [23] | 沙志彬, 郭依群, 杨木壮, 等. 南海北部陆坡区沉积与天然气水合物成藏关系. 海洋地质与第四纪地质 , 2009, 29(5): 89–98. Sha Z B, Guo Y Q, Yang M Z, et al. Relation between sedimentation and gas hydrate reservoirs in the northern slope of South China Sea. Marine Geology & Quaternary Geology (in Chinese) , 2009, 29(5): 89-98. |
| [24] | He L J, Wang K L, Xiong L P, et al. Heat flow and thermal history of the South China Sea. Physics of the Earth and Planetary Interiors , 2001, 126(3-4): 211-220. DOI:10.1016/S0031-9201(01)00256-4 |
| [25] | Shi X B, Qiu X L, Xia K Y, et al. Characteristics of surface heat flow in the South China Sea. Journal of Asian Earth Sciences , 2003, 22(3): 265-277. DOI:10.1016/S1367-9120(03)00059-2 |
| [26] | 王力峰, 沙志彬, 梁金强, 等. 晚期泥底辟控制作用导致神狐海域SH5钻位未获水合物的分析. 现代地质 , 2010, 24(3): 1–7. Wang L F, Sha Z B, Liang J Q, et al. Analysis of gas hydrate absence induced by the late-stage diapir domination in the borehole SH5 of Shenhu area. Geoscience (in Chinese) , 2010, 24(3): 1-7. |
| [27] | Nissen S S, Hayes D E, Yao B C, et al. Gravity, heat flow, and seismic constraints on the processes of crustal extension: Northern margin of the South China Sea. Journal of Geophysical Research , 1995, 100(B11): 22447-22483. DOI:10.1029/95JB01868 |
| [28] | Yuan Y S, Zhu W L, Mi L J, et al. "Uniform geothermal gradient" and heat flow in the Qiongdongnan and Pearl River Mouth Basins of the South China Sea. Marine and Petroleum Geology , 2009, 26(7): 1152-1162. DOI:10.1016/j.marpetgeo.2008.08.008 |
| [29] | Ratcliffe E H. The thermal conductivities of ocean sediments. Journal of Geophysical Research , 1960, 65(5): 1535-1541. DOI:10.1029/JZ065i005p01535 |
| [30] | Hyndman R D, Erickson A J, Von Herzen R P. Geothermal measurement on DSDP Leg 26. //Davies T A, Luyendyk B P. Initial Reports of the Deep Sea Drilling Project 26. Washington: US Government Printing Office, 1974: 675-742. |
| [31] | Pribnow D, Kinoshita M, Stein C. Thermal data collection and heat flow recalculations for Ocean Drilling Program Legs, 2002: 101-180. http://www-odp.tamu.edu/publications/heatflow/ODPReprt1pdf. |
| [32] | Hartmann A, Villinger H. Inversion of marine heat flow measurements by expansion of the temperature decay function. Geophys. J. Int. , 2002, 148(3): 628-636. DOI:10.1046/j.1365-246X.2002.01600.x |
| [33] | Miles P R. Potential distribution of methane hydrate beneath the European continental margins. Geophys. Res. Lett. , 1995, 22(23): 3179-3182. DOI:10.1029/95GL03013 |
2012, Vol. 55






