地球物理学报  2012, Vol. 55 Issue (3): 744-750   PDF    
电离层Alfven谐振反馈不稳定性研究
石润1,2     
1. 中国极地研究中心国家海洋局极地科学重点实验室,上海 200136;
2. 复旦大学物理系,上海 200433
摘要: 本文利用分层(磁层、电离层、大气层)模型,分析了电离层电导率以及磁场方向对电离层Alfven谐振(简称IAR)反馈不稳定性的影响.结果表明:倾斜磁场可以有效改变IAR的参数(谐振频率与增长率),进而改变IAR反馈不稳定性的性能,磁场方向向上时,在电离层电导率较大且不考虑Hall电导率的情况下,磁场倾斜角的减小有利于电离层不稳定性的形成,电离层Hall电导率可以增大IAR反馈不稳定性的增长率,且对于较大的倾角增长率提升较大.
关键词: 分层模型      电离层Alfven谐振反馈不稳定性      倾角     
Study of the ionospheric Alfven resonant feed back instability
SHI Run1,2     
1. State Oceanic Administration Key Laboratory for Polar Science, Polar Research Institute of China, Shanghai 200136, China;
2. Department of Physics, Fudan University, Shanghai 200433, China
Abstract: The layered model (magnetosphere, ionosphere and atmosphere) is used to analyze the influence of ionospheric conductivity and dip angle of the magnetic field on the Ionospheric Alfven Resonant (IAR) feedback instability. The results of the numerical calculation show that the dip angle effectively modifies the parameters (resonant frequencies and the growth rate) of the IAR, which consequently influence the IAR feedback instability; for the upward magnetic field, the decreasing of dip angle is propitious to the formation of the instability for large Pederson conductivity when ignoring the Hall conductance; the consideration of Hall conductance can increase the growth rate, especially for greater dip angle..
Key words: Layered model      Ionospheric Alfven resonant instability      Dip angle     
1 引 言

电离层反馈不稳定性首先由Sato[1]提出,通过场向电流,Alfven 波将携带的电子注入到电离层中,从而改变电离层电导率,而其在电离层的反射也因此变化,波在谐振中不断与电离层作用,在适当条件下形成正反馈获取电离层能量.不同于以往电离层在磁层电离层耦合中所处的被动地位,电离层反馈提供了主动的能量输入,丰富了磁层电离层耦合理论.随后,电离层反馈由Miura与Sato[2]、Watanabe与Sato[3]、Streltsov与Lotko[4-5]、Lu[6-7]等人进一步发展.这种机制是建立在磁力线谐振(FLR)的基础上,而另一种谐振腔———电离层Alfven谐振腔同样可以激发电离层反馈的不稳定性.

电离层以上Alfven 速度沿磁力线的剧烈变化导致了电离层Alfven谐振腔的产生.IAR 的谐振频率在0.1~10 Hz之间,高度范围一般在3000km高度以下,它与人们所熟知的舒曼谐振、磁力线谐振(FLR)一样构成空间中的天然谐振腔.IAR 的概念起初由Polyakov等人[8]提出,Trakhtengertz[9-10]与Lysak[11]分别分析了电离层参数对IAR 谐振频率与衰减率的影响.随后,电离层Alfven 谐振腔被大量实验观测所证实[12-14].

Lysak[15]对IAR 作了比较详细的研究,包括边界条件、电离层电导率、Alfven 速度梯度以及波频率的变化对Alfven波传播的影响,并将电离层反馈理论用于IAR 中,首次提出了IAR 反馈不稳定性.由于IAR 的谐振频率远大于FLR 的谐振频率,因而它的反馈效率也较高,也被称作快电离层反馈.Alfven速度随高度的剧烈变化同样导致了电离层压缩波波导的形成,压缩波与Alfven波通过电离层的Hall效应产生耦合,这种耦合对电离层Alfven谐振腔的特性产生影响,Pokhotelov等[16-17]研究了电离层Hall效应对IAR 反馈不稳定性的作用,表明这种Hall色散改变IAR 的频谱,并提高IAR 反馈不稳定性的增长率.Lysak 等[18](2002)分析了电离层反馈的能量来源,指出电离层反馈的能量来源于电离层焦耳热的减少,反馈不稳定性在电离层电导率较低的情况下更容易产生.

本文在以往研究的基础上,分析磁场倾斜条件下的IAR 反馈不稳定性.这一研究有助于更好地理解电离层反馈不稳定性理论.

2 模 型

本文采用Sciffer[19]模型,将ULF 波的传播区域分为三层:磁层、电离层(视为薄层)、大气层,磁场B0xz平面内,与水平方向成角度I[20],注意到I与磁倾角反向,所以B0=(B0cosI,0,B0sinI),这里将磁场视为常量.假设介质在水平方向均匀分布,并且只随高度变化,这样ULF波可以写为ei(kxx+kyy)-iωt的平面波形式.本文假设ky=0,即磁流体波只在磁子午面内沿水平方向传播.以下根据石润等[20]传播模型给出各层传播模型.

2.1 磁 层

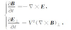
根据石润等[20],用理想MHD 方程描述ULF波在磁层的传播:

(1)

其中,V2 =c2Va2/(c2 +Va2),Va = √(B2/μ0ρ)为Alfven速度,这里V表示修正的Alfven速度,由于波的传播速度不可能超过光速,所以引入了修正的Alfven速度.ρ 为等离子体密度,c为光速.取Alfven速度的形式

(2)

其中h为标高,典型值为103 km.ε=VAI/VAMVAI为电离层处Alfven速度,VAM 为磁层外部Alfven速度.由(2)式可以看出,ε 的值决定Alfven速度梯度的大小,进而影响IAR 的谐振特性,由于电离层以上等离子体浓度受各种条件如太阳活动强度、季节、昼夜、地理位置等的影响,ε 的值也将因各种条件而有所不同.

在理想MHD 条件下E =0,所以有ExcosI+EzsinI=0,又剪切模式与快波模式分别满足以下关系

剪切模式:

(3)

压缩波模式:

(4)

将以上关系代入(1)式,令β = β0e-z/2hβ0 =2ωhcscI/VAIη=βsinIη0 =2ωh/VAI,其中ω 表示波的角频率,可以看出β0 表示以2hcscI/VAI 为单位的归一化角频率,得剪切模式的解为

(5)

压缩模的解为

(6)

其中,C±a, f 分别为剪切与压缩模的系数(a、f分别代表Alfven波模和压缩波模),v= √[4h2(kx2 +ky2)-η02ε2],J表示Bessel函数.这里假设4h2(kx2+ky2)>η02ε2,当η→0,即z→∞时,J-v(η)→∞.这样为保证解的合理性,需要C-f =0,此时压缩波的解给出波场随高度迅速衰减[20],这也对应了压缩波波导理论,即压缩波在电离层波导内沿水平方向传播.

2.2 电离层

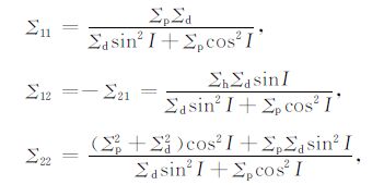
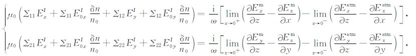
将电离层视为无厚度的薄片,边界条件通过法拉第定律给出,其内电流与电场的关系由(7)式给出[19]:

(7)

其中

ΣdΣpΣh 分别为电离层高度积分纵向、Pederson、Hall电导率,而Σmn(mn为电导率张量中元素的位置)可理解为等效电离层电导率,代替了以往磁力线垂直于电离层时电离层Pederson、Hall电导率,此时场向电流对电离层边界贡献隐含在等效电离层电导率中.一般情况下纵向电导率远大于Pederson和Hall电导率,即Σd $\gg $ΣpΣh.

2.3 大气层

ULF波在大气层的解由石润等[20]给出.

2.4 边界条件

由安培定律,电离层上下边界通过(8)式联系起来

(8)

式中nz表示z方向的单位向量,Δb表示上下两边界的磁场扰动的变化.

如果考虑自洽电离层,场向电流携带的电子可以改变电离层电导率,引起Alfven 波的反射的变化,从而改变场向电流,这构成了IAR 的反馈机制,这种反馈在一定条件下形成正反馈,IAR 的反馈不稳定性由此产生.假设电导率正比于电子浓度

(9)

电离层电子浓度变化满足连续性方程

(10)

其中S表示由粒子沉降产生的源项,R表示复合率,n0 表示不考虑场向电流的等离子体密度,这里,我们假设S与场向电流j 成正比,S= QjsinI(根据Sato[1]),这里考虑了磁倾角的因素,其中Q=δ/(eΔz),这里Δz表示电离层厚度,δ 表示一个沉降电子激发的电子-离子对的数目,它与沉降电子的能量近似成线性关系.

(11)

在本文中只考虑反馈不稳定性的线性阶段,而不考虑电子浓度变化与背景电子浓度相当的情况,所以假设电子浓度变化远小于背景电子浓度(δn$ \ll $n0),令τ =4hRn0/(sinIVAI),对(10)式进行Fourier变换得到

(12)

这里u0x表示电离层等离子体在x方向上的背景漂移速度.

由式(7)、(8)、(9)可得存在背景电场的电离层边界条件为

(13)

其中E0xIE0yI分别为电离层xy方向的背景电场,并且在处理中忽略了扰动的二阶项.方程右边表达式物理量中的上标m, atm 分别代表磁层和大气层.

3 电离层反馈不稳定性

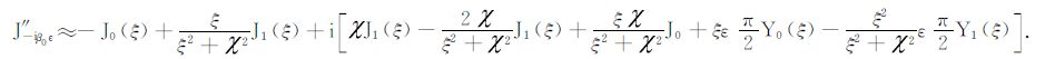
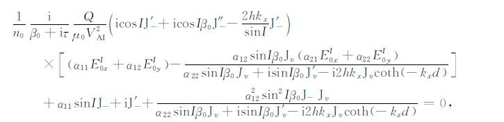
取磁层ULF波的解为Exa=C-aJ-iβ0ε(β)βi2hkxcotIEyf=C+fJv(η),即只考虑剪切出射波与压缩波随高度衰减的情况(值得注意的是解的选取需要考虑磁场的方向,由于本文选取的背景磁场方向向上,所以选取剪切模的解为Exa= C-a J-iβ0ε(β)βi2hkxcotI,而当背景磁场方向向下即sinI<0 时,剪切模的解为Exa=C+aJiβ0ε(β)βi2hkxcotI),与大气层的解代入(13)式.令αmn=μ0VAIΣmnαp =μ0VAIΣpαh =μ0VAIΣh 表示归一化电离层电导率,得到色散关系

(14)

左式中第一项是由电离层反馈性引入的,后三项给出不考虑反馈时IAR 的色散关系.

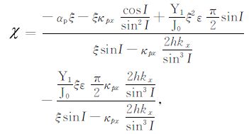
根据Pokhotelov[16],在kh$\gg $1条件下,ββ0 附近,Bessel函数以指数形式变化:Jkxh(η)∝exp(-kxz),所以J′kxh=2hkxJkxh/η.另外在kd$\gg $1条件下,即波的水平尺度远小于大气层高度,coth(-kxd)= -1.令κpx=Ex0/n0·αpQ/(μ0VAI2)、κpy=Ey0/n0·αpQ/(μ0VAI2),则(14)式可写为

(15)

下面简要分析电离层分别处于高电导率与低电导率情况下的色散关系.令β0 =ξ+iχ (相应的ω =υ+iγ ),其中ξ=υ·2h/(VAIsinI)为归一化角频率,χ=γ·2h/(VAIsinI)为归一化增长率,均以VAIsinI/2h为单位.在ξ 邻域内将Bessel函数展开,并根据其性质[15],式(15)中Bessel函数及其导数可写为如下形式:

(16)

(17)

(18)

在推导过程中忽略了χε的二阶项,注意到此时χ假定为一阶小量.

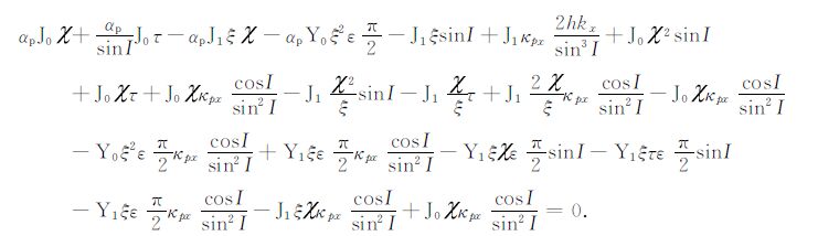
将(16)~(18)式代入(15)式,为公式推导的方便并能够得到倾斜磁场的作用这里忽略了Hall电导率,得到以下关系:

(19)

这里的J1、J0、Y1、Y0 分别代表J1(ξ)、J0(ξ)、Y1(ξ)、Y0(ξ).

整理后,实部满足关系:

(20)

虚部满足关系:

(21)

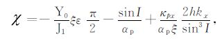
当电离层处于高电导率时,即αp$\gg $1时,仅保留零阶量,方程(20)可写为

(22)

此时方程的解为J0(ξ)的零点,将J0=0代入(21)式得到

(23)

这里忽略了二阶量的作用,注意到增长率为γ =VAIsinI/2h·χ .当κpx=0,式(23)简化为未考虑反馈的衰减率.式(23)最后一项是由反馈引入的增长项.当时,形成不稳定性,可以看出,此时I的减小有利于不稳定性的形成.

当电离层处于低电导率时,即αp$\ll $1 时,方程(20)可写为

(24)

代入(21)式得到

(25)

式中第一项分子为负值(注意到Y1 与J0 符号相反),第二项分子为正值,当,第一项给出Alfven 波在IAR 中的衰减,第二项给出由于反馈产生的波的增长,此时I的减小同样有利于不稳定性的形成;当,情况相反.需要注意的是,由于n0αp 成正比,当αp$\ll $1时,δn$\ll $n0 的条件可能不再满足.

图 1显示的是根据(15)式,通过数值计算得出的第一谐振频率与增长率,背景参数为kx=0.1km-1ε=0.1,αh=0,κpx=0.02,τ=0.横坐标为归一化电离层Pederson电导率αp.由于电离层反馈不稳定性主要发生在极区附近,所以分别选择了I=90°(实线)、80°(点划线)、70°(双划线)的情况.由图中可以看出,当I=90°,谐振频率随αp 的增大而减小,增长率随αp 先增大而后减小,在αp=0.3附近达到最大值.I=80°时谐振频率与增长率的变化与I=90°类似,但增长率有所增大.I=70°时增长率的最大值变大,并且谐振频率与增长率整体向αp 增大的方向偏移,这是等效电离层电导率作用的结果.αp$\gg $1 时,谐振频率随I的增大而增大,而增长率则减小,这也印证了前述分析.

图 1 反馈不稳定情况下谐振频率U)与增长率(b) 7=90°,80°,70。(实线,点划线,双划线),kx=0. 1 km-1,ε = 0. 1,ah = 0,κpx =0. 02 , κpy = 0,τ=0 Fig. 1 Resonant frequency (a) and growth rate (b) for I=90°,80° 70° (solid line, dash-doted line, dashed line),kx=0. 1 km-1,ε = 0. 1,ah = 0,κpx =0. 02 , κpy = 0,and τ=0 when ionospheric feedback is considered

由式(15)可以看出,当αh=0(不考虑Alfven波与压缩波的耦合时),κpy不起任何作用,也即如果没有Hall电导率,y方向的背景电场对反馈不稳定性没有影响,这里的y向为磁经方向.由于地轴与磁轴存在一定夹角,如果背景电场取晨昏电场,则x向与y向电场可能都不为0,两者都会对反馈不稳定性产生影响.图 2κpx=κpy=0.02、αh=αp 条件下的谐振频率与增长率,其他参数与图 1一致.与图 1有所不同,谐振频率在αp<1处变化较大,尤其是对于I=90°、80°两种情况.另外,图 2所示谐振频率随αp 的变化相对平缓(αp~1),这主要是由于Hall电导率对谐振频率的变化起到了平缓的作用.在图 1I=90°、80°、70°对应增长率的最大值分别为0.239、0.257和0.296,而图 2I=90°、80°、70°对应增长率的最大值分别为0.40、0.40 和0.39.I=90°、80°时增长率的最大值较图 1 有所增大,并与I=70°情况下的增长率接近,甚至大于I=70°情况下的增长率,说明Hall电导率对于I较大时对应的增长率提升较明显.

图 2 考虑Hall电导率时谐振频率(a)与增长率(b)I=90°,80°,70°(实线,点划线,双划线),κpx=κpy=0.02,αh=αp Fig. 2 Resonant frequency ( a) and growth rate (b) for I = 90° 80° 70° (solid line, dash-doted line, dashed line),dashedline),κpx=κpy=0.02 and αh=αp
4 讨论和结论

电离层反馈不稳定性的能量来源于电离层的焦耳热[18],电离层电导率在电离层反馈不稳定性的形成中起到重要作用.本文主要讨论了磁场倾斜对反馈的影响,磁场倾角的引入通过改变等效的电离层电导率,进而影响电离层的反馈.事实上,影响电离层反馈的因素很多,包括电离层以上Alfven速度随高度的梯度ε=VAI/VAM 、电离层Pedersen 电导率Σp 以及Hall电导率Σh、背景电离层电场强度E0xIE0yI,粒子沉降导致中性粒子电离的源项S,以及电离层的复合率R.Alfven 速度随高度的梯度越大,IAR 捕获的Alfven 波能量的能力越强[15],反馈的增长率也就越大,但其对谐振频率影响较小.电离层Pederson电导率在IAR 中起到重要的作用,它不仅影响谐振频率,也影响增长率.忽略电离层反馈时,谐振频率随Pederson 电导率逐渐减小(从一阶Bessel函数的零点到零阶Bessel函数的零点),增长率随Pederson电导率先减小后增大,在αp≈1时衰减最强,能量被电离层吸收,考虑到电离层反馈时,Alfven波携带的场向电流改变电离层电导率,因而相对于αp 较大的情况,αp 较小时反馈对谐振频率与增长率的影响更加强烈.IAR 中Alfven波通过电离层Hall电导率与快波耦合,这种耦合不仅导致IAR 的频移,而且导致反馈增长率的增大[16],但Hall电导率的作用相对较弱.参数κpxκpy中包含了背景电离层电场强度E0xIE0yI以及粒子沉降导致中性粒子电离的源项S的作用,其中E0xI通过Pederson 电导率提供电离层反馈的能量,注意到Alfven波的电场扰动分量沿x方向,由Alfven 波的电场扰动在电离层产生的Pederson 电流也沿x方向.而E0yI通过Hall电导率对IAR 反馈不稳定性产生作用,压缩波的电场扰动沿y方向,由此产生的电离层Hall电流也沿y方向.另外源项S的增大无疑将有助于反馈不稳定性的形成,而电离层的复合率R将抑制不稳定性的发展.

磁场的倾角与Alfven 速度梯度ε、电离层Pedersen电导率Σp 以及Hall电导率Σh 一样,都是IAR 的基本参数,这些参数决定了电离层Alfven谐振腔的特性,进而也影响IAR 反馈不稳定性的特征.磁场倾斜的影响主要体现在两个方面:一方面,它改变了谐振腔的路径,谐振腔两个反射面(电离层与Alfven速度梯度极大值)的距离随着磁场倾斜的增大而减小,在Alfven速度相同的情况下,IAR 的谐振频率随之减小,衰减率也有所改变;另一方面,磁场的倾斜改变了电离层电导率张量(参考(7)式),且对张量中各项的影响也不尽相同,说明对于不同波模磁场倾斜的作用是有所不同的,如前文所述,电导率的变化影响着IAR 的特性,所以倾斜的磁场通过改变电离层电导率张量影响IAR.除此以外,磁倾角也对色散关系中的反馈项(式(14)左式第一项)有所影响,这种影响通过场向电流以及反馈产生的电离层电导率变化体现.

本文的一个重要假设是ky=0,这对应了磁流体波在磁子午面内的传播,此时,剪切模的电场扰动只有x分量,压缩模只有y分量,它们通过电离层Hall电导率产生耦合.但当ky≠0 时,两种波模都有xy方向的分量,它们的解很难区分,且即使不考虑Hall电导率,两种波模也会产生耦合[19],这些因素将会对电离层反馈不稳定性的分析产生一定影响.ky≠0的情况将在以后的工作中讨论.

通过以上的分析,我们得到以下结论:磁场的倾斜对电离层反馈不稳定性的影响非常复杂,磁场的倾角可以有效改变IAR 反馈不稳定性的谐振频率与增长率,磁场方向向上时,在电离层电导率较大的情况下,磁场的倾角减小有利于电离层不稳定性的形成,电离层Hall电导率可以增大IAR 反馈不稳定性的增长率,且对于较大的倾角增长率提升较大.

参考文献
[1] Sato T. A theory of quiet auroral arcs. J. Geophys. Res. , 1978, 83(A3): 1042-1048. DOI:10.1029/JA083iA03p01042
[2] Miura A, Sato T. Numerical simulation of global formation of auroral arcs. J. Geophys. Res. , 1980, 85(A1): 73-91. DOI:10.1029/JA085iA01p00073
[3] Watanabe K, Sato T. Self-excitation of auroral arcs in a three-dimensionally coupled magnetosphere-ionosphere system. Geophys. Res. Lett. , 1988, 15(7): 717-720. DOI:10.1029/GL015i007p00717
[4] Streltsov A V, Lotko W. Multiscale electrodynamics of the ionosphere-magnetosphere system. J. Geophys. Res. , 2004, 109: A09214. DOI:10.1029/2004JA010457
[5] Streltsov A V, Lotko W. Ultra-low-frequency electrodynamics of the magnetosphere-ionosphere interaction. J. Geophys. Res. , 2005, 110: A08203. DOI:10.1029/2004JA010764
[6] Lu J Y, Rankin R, Marchand R, et al. Electrodynamics of magnetosphere-ionosphere coupling and feedback on magnetospheric field line resonances. J. Geophys. Res. , 2007, 112: A10219. DOI:10.1029/2006JA012195
[7] Lu J Y, Wang W, Rankin R, et al. Electromagnetic waves generated by ionospheric feedback instability. J. Geophys. Res. , 2008, 113: A05206. DOI:10.1029/2007JA012659
[8] Polyakov S V, Rapoport V O. Ionospheric Alfvén resonator. Geomag. Aeronomy , 1981, 21: 816-822.
[9] Trakhtengertz V Y, Feldstein A Y. Effect of the nonuniform Alfven velocity profile on stratification of magnetospheric convection. Geomagnetism and Aeronomy , 1981, 21(5): 771.
[10] Trakhtengertz V Y, Feldstein A Y. Quiet auroral arcs: ionospheric effect of magnetospheric convection stratification. Planet. Space Sci. , 1984, 32(2): 127-134. DOI:10.1016/0032-0633(84)90147-8
[11] Lysak R L. Theory of auroral zone PiB pulsation spectra. J. Geophys. Res. , 1988, 93(A6): 5942-5946. DOI:10.1029/JA093iA06p05942
[12] Belyaev P P, Polyakov S V, Rapoport V O, et al. The ionospheric Alfvén resonator. J. Atmos. Terr. Phys. , 1990, 52(9): 781-787. DOI:10.1016/0021-9169(90)90010-K
[13] Belyaev P P, B?singer T, Isaev S V, et al. First evidence at high latitudes for the ionospheric Alfvén resonator. J. Geophys. Res. , 1999, 104(A3): 4305-4317. DOI:10.1029/1998JA900062
[14] Grzesiak M. Ionospheric Alfvén resonator as seen by Freja satellite. Geophys. Res. Lett.. 2000 : 923 -926.
[15] Lysak R L. Feedback instability of the ionospheric resonant cavity. J. Geophys. Res. , 1991, 96(A2): 1553-1568. DOI:10.1029/90JA02154
[16] Pokhotelov O A, Pokhotelov D, Streltsov A, et al. Dispersive ionospheric Alfvén resonator. J. Geophys. Res.. 2000 : 7737 -7746.
[17] Pokhotelov O A, Khruschev V, Parrot M, et al. Ionospheric Alfvén resonator revisited: feedback instability. J. Geophys. Res. , 2001, 106(A11): 25813-25824. DOI:10.1029/2000JA000450
[18] Lysak R L, Song Y. Energetics of the ionospheric feedback interaction. J. Geophys. Res. , 2002, 107(A8): 1160. DOI:10.1029/2001JA000308
[19] Sciffer M D, Waters C L. Propagation of ULF waves through the ionosphere: analytic solutions for oblique magnetic fields. J. Geophys. Res. , 2002, 107(A10): 1297. DOI:10.1029/2001JA000184
[20] 石润, 赵正予, 张北辰. 电离层Alfven谐振器对地面观测到的地磁信号的影响初步研究. 地球物理学报 , 2010, 53(9): 2013–2022. Shi R, Zhao Z Y, Zhang B C. Investigating the influence of IAR on geomagnetic signals at ground. Chinese J. Geophys. (in Chinese) , 2010, 53(9): 2013-2022.