2. 成都理工大学"地球探测与信息技术"教育部重点实验室, 成都 610059;
3. 中国石油化工集团公司多波地震重点实验室, 德阳 618000;
4. 中国石化西南油气分公司勘探开发研究院德阳分院, 德阳 618000
2. Key Laboratory of Earth Exploration & Information Technology of Ministry of Eduation, CDUT, Chengdu 610059, China;
3. SINOPE Key Laboratory of Multi Components Seiemic Technolgy, Deyang 618000, China;
4. Exploration & Production Research Institute Deyang Branch, Southwest Branch Co., SINOPEC, Deyang 618000, China
AVO(Amplitude VersusOffset)技术以弹性波动力学理论为基础,利用Zoeppritz方程等严密的数学物理理论描述地震波的反射振幅随入射角(或炮检距)变化的规律,并以此判别地下岩石及孔隙填充流体的性质.AVO 技术与地震、地质、测井等信息相结合,还可用于真假“亮点"的识别、油气藏描述等,在国内外已有许多成功的实例[1-7].20 世纪80年代初,Ostrander[8]首先将AVO 技术应用于“亮点"型含气砂岩的识别,发现了含气砂岩反射振幅随偏移距增加而增加、含水砂岩反射振幅随偏移距增加而减少的现象.这主要是由于岩石孔隙内含天然气时,纵波速度会明显降低,而横波速度相对保持不变,纵、横波速度比值发生了明显的变化,这种变化导致在不同炮检距的反射振幅的分布有着不同的表现.然而,随着AVO 技术实践的深入,人们发现并不是所有的含气砂岩的振幅都是随炮检距的增大而增加的.为了避免对AVO 的盲目应用,学者们提出用AVO 属性交汇的方法识别岩性和油气异常.Ruthorford等[9]根据垂直入射时反射系数的差别将砂岩分为三类,Castagna等[10]按截距和梯度两个属性把砂岩分为四类,其中只有第三类砂岩的振幅才是随着炮检距的增大而增加的.为了更好地利用AVO 属性进行油气检测,AVO 反演技术获得了长足发展,不少学者还提出了直接油气检测因子(Smith-Gidlow[11];Fatti[12]),利用纵波速度、横波速度、阻抗、截距、梯度等参数,综合描述储集层及其填充流体与围岩的之间的岩石物理性质差异.Goodway等[13]得到了λρ ,uρ 和λ/u等弹性参数,Gray[14]改进了Goodway等[13]的方法,直接得到了λ 和μ ,消除了λρ ,uρ 中密度的影响,这些弹性参数可以用于储集层岩性和流体的描述.
然而,常规的AVO 技术忽视了频率因素.事实上,地震波的反射系数与频率之间的关系十分密切[15-18],地震波经过油气储集层后表现出来的吸收衰减、速度发散等异常现象,主要反映在反射系数与频率的相关性上.频变AVO 技术就是在这样的背景下被提出来的,是常规AVO 技术的发展.本文基于Zoeppritz方程,从地震波的反射系数与频率关系的建立出发,研究频变AVO 属性提取方法与分析技术,在川西坳陷深层致密碎屑岩气藏的含气性检测中取得了良好的应用效果.
2 方法原理地震波在含油气储集层中传播时,在低频部分与高频部分具有不同的响应特征.目前,针对这些响应特征的研究,大多数集中在叠后地震数据.而利用叠前地震数据研究AVO 属性的频率响应规律的文献报道却相对较少;且大多数属于分频AVO 分析.所谓分频AVO 分析技术,是采用分频技术,先对叠前地震进行分频处理,然后在分频数据的基础上实现AVO 油气检测.它与频变AVO 最根本的差别在于其并未从频率与反射系数的数学关系入手,采用反演手段获取AVO 属性.
Chapman[16]的多尺度裂隙介质理论认为,描述裂隙介质模型的弹性张量可以表示为
|
(1) |
式中,λ 为拉梅常数,单位N/m2;μ 为剪切模量,单位N/m2;ω 为频率,单位Hz;τ为时间尺度参数,单位s;φ 为孔隙度;ε为裂缝密度,单位n/m;κf 为体积模量,单位N/m2;i、j、k、l为不大于6的正整数.可将式(1)所示张量分解成两项,即:
|
(2) |
其中,第一项Cijkliso是无填充物时骨架各向同性介质的弹性张量,第二项Cijkl1是由裂缝和孔隙引起的扰动量.
设参考弹性常数为
|
(3) |
|
(4) |
式中,VP、VS 分别为纵横波传播速度;ρ 为密度.在某个特定的频率ω0 时,设流体饱和体积模量为κf0、时间尺度参数为τ0、裂缝密度为ε0,则VP、VS 可以分别表示为
|
(5) |
|
(6) |
Cijkliso可以表示为
|
(7) |
这样,对于任意频率值、任意流体体积模量和时间尺度参数值,裂隙介质模型的弹性张量可以表示为:
|
(8) |
Chapman 多尺度裂缝介质模型与Thomsen、Hudson等单尺度模型相比,它考虑到两种尺度裂隙下的流体与固体骨架的相互作用.即,中等规模裂缝包含在微裂缝性孔隙基岩中,裂缝长度可比粒级尺度孔隙或微裂缝要大得多,但却小于地震波长.该模型引入了一个长度特征量,它与中等规模裂缝有关,在地震频率方面起着很重要的作用.因而,Chapman多尺度裂隙介质与实际储集层的介质特征非常近似.基于该理论,可以推导出地震波的AVO 响应与频率之间的关系,进而获得频变AVO属性.
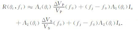
由于在Zoeppritz方程精确解中直接引入多尺度裂缝模型参数会使得反射振幅表达式非常复杂,不便于实际应用.为此,在多尺度裂缝模型的基础上,既考虑频率参数的影响,又能直接沿用现有的AVO 分析框架,Smith 和Gidlow[11]提出的纵波AVO 近似公式(9)可以简单扩展为公式(10),即
|
(9) |
|
(10) |
式中,R为反射系数;θ 为入射角,单位(°);f为频率,单位Hz;i为整数.
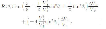
当θ<30°时,部分AVO 属性可表示如下:
截距表示为式(11)
|
(11) |
截距表示为式(12)
|
(12) |
碳氢检测因子表示为式(13)
|
(13) |
流体检测因子表示为式(14)
|
(14) |
拟泊松比表示为式(15)
|
(15) |
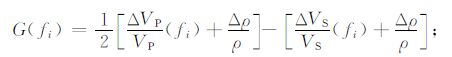
对$\frac{\Delta {{V}_{\text{P}}}}{{{V}_{\text{P}}}}\left( {{f}_{i}} \right)$与$\frac{\Delta {{V}_{\text{S}}}}{{{V}_{\text{S}}}}\left( {{f}_{i}} \right)$在主频f0 附近按泰勒级数展开,则有:
|
(16) |
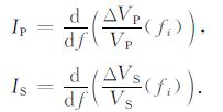
因而,相对于主频率f0 的纵波阻抗IP、横波阻抗IS,可以表示为频率的偏导数:
|
(17) |
设Af 代表主频为f时对应的AVO 属性,当主频f1、f2 相差不大且f1<f2 时,构建如下公式:
|
(18) |
式中,c为常数.利用公式(18)即可计算频变AVO属性.
需要特别提出的是,Smith和Gidlow 近似形式的在推导过程中采用了Gardner关系式Vp=a*ρ0.25,该假设不具有普遍性,其指数0.25可以根据工区先验信息来确定.
3 应用实例川西新场地区陆相深层须家河组致密砂岩具有“四超二复杂"(超深、超致密、超晚期构造、超高压和复杂的气水关系、复杂的储集层非均质性)的特点[19-21].岩性主要为岩屑石英砂岩、长石岩屑砂岩,砂体厚度高达90m, 总孔隙度通常在1%~4%,渗透率普遍低于0.06×10-3μm2.在孔渗性极差的致密厚层砂体中,发育孔隙度大于4%、渗透性偏高的优质储层.如CX560井钻遇的优质储层平均孔隙度达7.11%.因此,优质储层是天然气高产、稳产的关键条件,准确地进行含气性识别是该区井位部署成功的关键,也是目前急需解决的难题之一.
但是,川西坳陷新场地区广布现代河床沉积和第四系松软沉积物,地震纵波信号在传播过程中受低降速带的影响,高频衰减快、有效频带窄、主频偏低、储层地震响应特征不明显,致使该区气藏预测难度极大,常规的含气性识别技术难以奏效.为此,开展本文所述的频变AVO 含气性识别新技术研究,能为川西陆相深层气藏的勘探开发获得突破提供重要的技术支撑.
基于上述方法原理,利用新场地区3D3C(三维三分量)叠前地震资料进行频变AVO 处理,可以获得截距、梯度、碳氢检测因子、流体检测因子、纵横波阻抗等[22]多种频变AVO 属性,并用于含气性识别.以下仅阐述计算获得的流体检测因子、拟泊松比两种频变AVO 属性对孔隙含气性识别的应用效果.
图 1所示为新场地区深层须家河组Tx24 层段10Hz流体检测因子含气性识别结果.在图 1中,流体检测因子的值在彩色区域中较大,在白色区域中较小;彩色区域较好地刻画了须家河组Tx24层中的砂岩分布.将流体检测因子与该区的钻井结果对照,获得工业高产天然气能的X851、XC8、X301、X3、X2等井具有十分明显的流体检测因子大值异常,而低产井X11处,流体检测因子值相对较小;在未获天然气工业产能的CX560井位置,未发现流体检测因子大值异常现象.因此,流体检测因子的值越大(图中颜色越红),含气的可能性大.
|
图 1 新场Tx24层段10HZ流体检测因子含气性识别平面图 Fig. 1 Gas recognition plane graph of fluid factor at 10 Hz inTx24 layer section inXinchang reservoir |
图 2所示为新场地区深层须家河组Tx24 层段10Hz(左)、15 Hz(右)拟泊松比含气性识别结果.图中显示,10Hz与15Hz拟泊松比含气性识别结果相似,都能较好地描述富气砂岩的平面分布,且区内X851、XC8、X301、X3、X2等高产井均分布于拟泊松比值较小的富气砂岩区域(图中红色箭头所指区域).总体而言,10 Hz的拟泊松比可以较好的描述该层存在的大套泥岩分布范围,15 Hz的拟泊松比描述效果相对较差;但两者均难以刻画大套砂岩中夹杂的少量泥岩分布,即“砂包泥"现象.在图中指示的砂岩区域中,均存在少量的“砂包泥"现象,为井位的成功部署增添了不确定因素.15 Hz指示的富气砂岩范围大于10Hz的,综合钻井信息,说明含气砂岩的主要反射能量表现为低频信息,高频信息则以非含气砂岩的反射为主.
|
图 2 新场Tx24层段10 HZ(左)、15 HZ(右)拟泊松比含气性识别平面图 Fig. 2 Gas recognition plane graph of pseudo-poisson ratio at 10 Hz(left) and 15(right) inTx24 layer section inXinchang reservoir |
图 3 所示为新场地区深层须家河组Tx24 层段10Hz与15 Hz频变拟泊松比含气性识别结果,该结果是利用公式(18)计算获得的,能够较好地描述须家河组Tx24 层砂、泥岩的展布情况.图中可见,获得工业天然气能的X851、XC8、X301、X3、X2、X10、X11、X202等井均具有较强的频变拟泊松比异常(红色区域),而未获工业产能的CX565、X201 井均未出现异常.总体而言,利用频变拟泊松比异常可以区分出砂岩中的泥岩分布,能较有效地解决“砂包泥"识别难题.
|
图 3 新场Tx24层段10 Hz与15 Hz频变拟泊松比含气性识别平面图 Fig. 3 Gas recognition plane graph of frequency dependent pseudo-poisson ratio at 10 Hz and 15 Hz in Tx24layer section inXinchang reservoir |
总之,尽管四川新场地区深层须家河组致密碎屑岩储层含气性识别难度极大,但是若充分利用流体检测因子、拟泊松比等参数进行综合分析,准确地挖掘出泥岩与砂岩、不含气的砂岩与富气砂岩的频变AVO 属性响应特征及其差异,则能有效地解决“砂包泥"中“砂"的判别与致密砂岩储层的含气性识别难题.
4 结论与认识AVO 属性分析一直是重要的油气识别手段,在油气勘探开发中发挥着重要作用.但关于AVO 属性与频率之间的理论研究及其在油气预测中的应用却鲜见报道,本文阐述的频变AVO 含气性识别技术是常规AVO 技术的发展.通过理论研究及其在四川盆地新场地区深层致密碎屑岩储层含气性识别中的应用,表明:
(1) 地震波的反射系数与频率密切相关,据此可以推导出地震波的AVO 响应与频率之间的关系,进而获得频变AVO 属性;
(2) 流体检测因子、拟泊松比等频变AVO 属性对储层的含气性比较敏感,可综合研究并利用其描述富气圈闭,进而降低勘探开发风险.
| [1] | Roden R, Latimer R. An introduction-Rock geophysics/AVO. The Leading Edge , 2003, 22(10): 987-987. DOI:10.1190/1.1623638 |
| [2] | Chopra S, Castagna J P. Introduction to this special section-AVO. The Leading Edge , 2007, 26(12): 1506-1507. DOI:10.1190/1.2821935 |
| [3] | 李景叶, 陈小宏, 郝振江, 等. 多波时移地震AVO反演研究. 地球物理学报 , 2005, 48(4): 902–908. Li J Y, Chen X H, Hao Z J, et al. A study on multiple time-lapse seismic AVO inversion. Chinese J. Geophys. (in Chinese) , 2005, 48(4): 902-908. |
| [4] | 刘洪林, 朱秋影. 基于叠前深度偏移的AVO反演及解释. 地球物理学进展 , 2007, 22(3): 905–912. Liu H L, Zhu Q Y. AVO inversion and interpretation based on prestack depth migration. Progress in Geophysics (in Chinese) , 2007, 22(3): 905-912. |
| [5] | 冯晅, 舒梦珵, 王兆国, 等. P-P波和P-SV波联合AVO反演研究. 地球物理学进展 , 2008, 23(5): 1556–1559. Feng X, Shu M C, Wang Z G. Joint AVO inversion using P-P and P-SV seismic data. Progress in Geophysics (in Chinese) , 2008, 23(5): 1556-1559. |
| [6] | 孙鹏远, 孙建国, 卢秀丽. P-SV波AVO方法研究进展. 地球物理学进展 , 2003, 18(4): 602–607. Sun P Y, Sun J G, Lu X L. Progress in research on the method of P-SV wave AVO. Progress in Geophysics (in Chinese) , 2003, 18(4): 602-607. |
| [7] | 尚永生, 杨长春, 王真理, 等. 塔里木盆地卡4区块AVO研究. 地球物理学进展 , 2007, 22(5): 1408–1415. Shang Y S, Yang C C, Wang Z L, et al. AVO research in Ka-4 region of Tarim basin. Progress in Geophysics (in Chinese) , 2007, 22(5): 1408-1415. |
| [8] | Ostrander W J. Plane-wave reflection coefficients for gas sands at nonnormal angles of incidence. Geophysics., Soc. of Exploration Geophysics. , 1984, 49(10): 1637-1648. |
| [9] | Rutherford S R, Williams R H. Amplitude-versus-offset variations in gas sands. Geophysics , 1989, 54(6): 680-688. DOI:10.1190/1.1442696 |
| [10] | Castagna J P, Swan H W. Principles of AVO crossplotting. The Leading Edge , 1997, 16(4): 337-341. DOI:10.1190/1.1437626 |
| [11] | Smith G C, Gidlow P M. Weighted stacking for rock property estimation and detection of gas. Geophysics. Prospect. , 1987, 35(9): 993-1014. DOI:10.1111/gpr.1987.35.issue-9 |
| [12] | Fatti J L, Smith G C, Vail P J, et al. Detection of gas in sandstone reservoirs using AVO analysis: A 3-D seismic case history using the Geostack technique. Geophysics , 1994, 59(9): 1362-1376. DOI:10.1190/1.1443695 |
| [13] | Goodway W, Chen T, Downton J. Improved AVO fluid detection and lithology discrimination using Lame petrophysics parameters: "Lamda-Rho ", "Mu-Rho", & "Lamda/Mu fluid stack", from P and S inversions: 67th Annual International meeting, SEG. Expanded Abstract , 1997: 183-186. |
| [14] | Gray D. Elastic Inversion for Lame Parameters, 72nd Annual International Meeting. SEG., Expanded Abstract, 2002: 197-200. |
| [15] | Chapman M. Frequency-dependent anisotropy due to meso-scale fractures in the presence of equant porosity. Geophysical Prospecting , 2003, 51(5): 369-379. DOI:10.1046/j.1365-2478.2003.00384.x |
| [16] | Maultzsch S, Chapman M, Liu E R, et al. Modelling frequency-dependent seismic anisotropy in fluid-saturated rock with aligned fractures: implication of fracture size estimation from anisotropic measurements. Geophysical Prospecting , 2003, 51(5): 381-392. DOI:10.1046/j.1365-2478.2003.00386.x |
| [17] | Chapman M, Liu E, Li X Y. The influence of abnormally high reservoir attenuation on the AVO signature. The Leading Edge , 2005, 24(11): 1120-1125. DOI:10.1190/1.2135103 |
| [18] | Chapman M, Liu E R, Li X Y. The influence of fluid-sensitive dispersion and attenuation on AVO analysis. Geophysical Journal International , 2006, 167(1): 89-105. DOI:10.1111/gji.2006.167.issue-1 |
| [19] | 杨克明. 川西坳陷须家河组天然气成藏模式探讨. 石油与天 然气地质 , 2006, 27(6): 786–793. Yang K M. Gas reservoiring mode in Xujiahe Formation of western Sichuan depression. Oil & Gas Geology (in Chinese) , 2006, 27(6): 786-793. |
| [20] | 叶军, 陈昭国. 川西新场大型气田地质特征与预测关键技术. 石油与天然气地质 , 2006, 27(3): 384–391. Ye J, Chen S G. Geological Characteristics of large Xinchang gas field in western Sichuan depression and key predication technologies. Oil & Gas Geology (in Chinese) , 2006, 27(3): 384-391. |
| [21] | 程冰洁, 徐天吉. 地震信号的多尺度频率与吸收属性. 新疆石油地质 , 2008, 29(3): 314–317. Cheng B J, Xu T J. Multi-scale frequency and absorption attributes of seismic signals. Xinjiang Petroleum Geology (in Chinese) , 2008, 29(3): 314-317. |
| [22] | 王赟, 石瑛, 杨德义. 弱度比在裂隙含流体检测中的应用. 地球物理学报 , 2008, 51(4): 1152–1155. Wang Y, Shi Y, Yang D Y. Application of the weakness ratio in fracture medium fluid detection. Chinese J. Geophys. (in Chinese) , 2008, 51(4): 1152-1155. |
2012, Vol. 55

