地球物理学报  2012, Vol. 55 Issue (1): 252-259   PDF    
基于Zoeppritz偏导方程精确解的地层密度多角度反演
刘福平1, 孟宪军2, 王玉梅2, 慎国强2, 肖加奇3     
1. 北京印刷学院, 北京 102600;
2. 中国石化胜利油田有限公司物探研究院, 东营 257022;
3. 中国石油集团长城钻探工程有限公司, 北京 100176
摘要: 基于Zoeppritz方程对介质密度偏导数所建立的偏导方程的精确解,构造了多角度反演地层介质密度的反演方程,在偏导数求解过程中考虑了介质密度对波速度的影响因素,并由此实现了利用反射系数梯度精确解计算地层密度的多角度联合反演.通过数值算例考察了计算方法,结果显示:反演方法对层状地层模型不论反射波是否存在相干现象均获得了较好的反演结果,反演迭代10次后计算结果的最大相对误差能够收敛到1%之内;随着反演角度的增加地层介质密度反演的精度逐步提高,反演具有自动校正能力,有快的计算速度.本方法克服了传统AVO(Amplitude Versus Offset)基于Zoeppritz方程近似所遇到的困难,不受反演角度大小及反射界面对波反射强弱的限制,为地层介质密度的多角度包括大角度反演提供了一种新的快速有效的计算方法.
关键词: Zoeppritz偏导方程      地层介质密度反演      反射系数梯度      大角度反演     
Multi-angle inversion of formation densities based on the accurate solutions of Zoeppritz's partial derivative equations
LIU Fu-Ping1, MENG Xian-Jun2, WANG Yu-Mei2, SHEN Guo-Qiang2, XIAO Jia-Qi3     
1. Beijing Institute of Graphic Communication, Beijing 102600, China;
2. Shengli Geophysical Research Institute of China Petrochemical Corporation, SINOPEC, Dongying 257022, China;
3. Great Wall Drilling Corporation of China Petroleum Corporation, CINOGWDC, Beijing 100176, China
Abstract: Based on the accurate solutions of Zoeppritz's partial derivative equations, which is the derivative equations of Zoeppritz equations with respect to densities of formation, we have constructed the multi-angle inverse equations for inversion of formation densities, and realized the multi-angle inversion of formation densities with the accurate solution of reflected coefficient's grads of seismic wave. We have also given numerical examples for different stratum models. The results show that whether there is interference between two reflected waves from different reflection interfaces or not, the precisions of inverse results are very good, if only the iterative times of inversion are over 10, the largest relative error of inverse results is less than 1%; with the increasing of inverse angles the precision of multi-angle inverse results is gradually improved; the inversion has emending function itself, and has high running speeds. This method has overcome the difficulty that conventional AVO(Amplitude Versus Offset) approximate methods are confronted with, and is not restricted with the magnitude of incidence angle whether the reflection interface is strong reflection or not. This method offers a new computational method for us to invert for the densities of strata with multi-angles.
Key words: Zoeppritz's partial derivative equations      Inversion of formation densities      Grads of reflected coefficients of seismic wave      Large-angle inverse     
1 引 言

AVO 反演技术已被广泛应用在石油勘探开发中[1-8],但目前的AVO 反演几乎都是利用Zoeppritz方程近似式实现的,勘探过程中所遇到的许多问题很难满足Zoeppritz方程近似的成立条件,即满足小角度和弱反射界面[9-19],在解决大角度和强反射反演问题时遇到了困难[9-19],现有的基于Zoeppritz方程近似的AVO 反演方法难以满足勘探需要.在勘探阶段地层密度信息十分缺乏,而地层密度是反映地层岩性的重要的参数之一;又因在地震波速度公式中含有介质的密度,使得由Zoeppritz方程表示的地震波反射系数与介质密度的关系更加复杂,利用反射系数反演介质密度的难度增加,而再利用Zoeppritz方程近似实现地层密度(一般不考虑波速度中介质密度的影响)反演,方法本身就存在大的偏差,因此基于Zoeppritz偏导方程(Zoeppritz方程对介质密度的导数方程)精确解,考虑波速度中介质密度的影响,开展包括适合于大角度反射问题的地层密度反演将具有实际意义.另一方面在实际的地震记录中包含了丰富的AVO 信息,这也正是地震勘探方法的优势所在,如何充分利用多角度(偏移距)信息仍是需要研究的新问题.目前的反演中很少同时考虑多角度反射波的联合反演问题,多角度反射波信息并没有得到充分利用.为减少反演的多解性、提高反演精度和收敛性[20],需要充分利用多角度信息实现多角度的联合反演.文献[21]给出了反射系数对介质密度比导数的计算方法,但尚未涉及利用地震波反射系数对介质密度导数(称反射系数梯度)精确解实现地层密度的反演.本文利用Zoeppritz偏导方程精确解,由反射系数对介质密度比的导数给出了计算反射系数梯度的方法,利用反射系数梯度精确解实现了地层介质密度的多角度联合反演,算例获得了好的反演效果,拓展了传统AVO 反演技术的应用范围,克服了常规利用AVO 反演技术计算地层介质密度所遇到的困难.

2 Zoeppritz偏导方程精确解

文献[21]已经给出了Zoeppritz方程对反射界面两侧介质密度比偏导的计算方法及矩阵元表示.由于介质密度的反演需要的是反射系数梯度,所以需要在Zoeppritz方程矩阵元对介质密度比偏导表示[21]的基础上进一步给出地震波反射系数梯度的精确计算方法,通过下面的方法可实现反射系数梯度的精确计算.

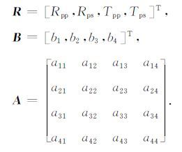
设入射波为纵波(p波),在反射界面,反射系数所满足的Zoeppritz方程为[1, 2]

(1)

其中

(2)

在(2)式中RppRpsTppTps分别为反射p(纵)波、sv(横)波和折射p、sv波的反射和折射系数, T 表示矩阵的转置,a11 =sinαa12 =cosβa13 =-sinα′,a14 =cosβ′,a21 =cosαa22 =-sinβa23 =cosα′,a24 =sinβ′,a31 =cos2βa32 =-$\frac{{{\upsilon }_{s1}}}{{{\upsilon }_{p1}}}$sin2βa33 =-$\frac{{{\rho }_{2}}}{{{\rho }_{1}}}\frac{{{\upsilon }_{p2}}}{{{\upsilon }_{p1}}}$cos2β′,a34 =-$\frac{{{\rho }_{2}}}{{{\rho }_{1}}}\frac{{{\upsilon }_{s2}}}{{{\upsilon }_{p1}}}$sin2β′,a41 =$\frac{\upsilon _{s1}^{2}}{{{\upsilon }_{p1}}}$sin2αa42 =vs1cos2βa43 =$\frac{{{\rho }_{2}}}{{{\rho }_{1}}}\frac{\upsilon _{s2}^{2}}{{{\upsilon }_{p2}}}$sin2α′,a44 =-$\frac{{{\rho }_{2}}}{{{\rho }_{1}}}$vs2cos2β′ ,b1 =-sinαb2 =cosαb3 =-cos2βb4 =$\frac{\upsilon _{s1}^{2}}{{{\upsilon }_{p1}}}$sin2α .α 为p波入射角,β为转换sv波(横波)的反射角,α′,β′ 为透射p,sv波的折射角,vp1vs1ρ1vp2vs2ρ2 分别为波在介质1、2 中的p、sv波的速度和介质的密度.

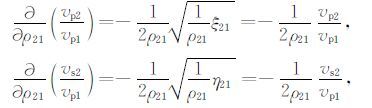
设在反射界面两侧介质的密度比为ρ21 =ρ2/ρ1,将Zoeppritz方程的第4行同除以vp1,然后将方程两边ρ1ρ2 求导得

(3)

(4)

方程(3)、(4)为Zoeppritz偏导方程,其中[21]

(5)

(6)

(7)

求解方程(1)、(3)、(4)可计算反射系数对介质密度的偏导数(反射系数梯度),其中速度比利用了关系$\frac{{{\upsilon }_{p2}}}{{{\upsilon }_{p1}}}$=$\sqrt{\frac{1}{{{\rho }_{21}}}}$ξ21,$\frac{{{\upsilon }_{s2}}}{{{\upsilon }_{p1}}}$=$\sqrt{\frac{1}{{{\rho }_{21}}}}$η21,在此ξ21η21 为与反射界面两侧与介质弹性参数有关的常数.由此得介质波速度比对介质密度比的导数为

利用这两关系式,实现了波速度比对介质密度比导数的计算,在此并不需要计算ξ21η21.

3 地层介质密度的多角度反演

设反演地下介质密度的目标函数为

(8)

其中D为实际地震记录,S(t)= W*R,为模型响应(合成地震记录),W为地震子波,Rm的非线性函数.设f(m)=S-D,则f(m)为参差向量函数,若设mkm的第k次迭代近似.使反演的目标函数极小得到迭代公式

(9)

(10)

其中Gk=$\nabla $F(m)λk为第k次迭代计算的步长.

在式(9)中,为提高计算的速度和稳定性把正定对角矩阵加到GkTGk上,使矩阵变成条件数较好的对称正定矩阵,反演迭代公式修改为

(11)

其中In阶单位矩阵,αk为一个正实常数.计算步骤如下:

步骤1 给定初始点m1,初始参数α1,增长因子β,允许误差ε>0,计算F(m1),置α=α1k=1;

步骤2 置α=α/β,计算Gk

步骤3 解方程组:

(GkTGk+αkI)dk=GkTfk求得方向dk后,令mk+1=mk+dk

步骤4 计算F(mk+1),若‖F(mk+1)‖< ‖F(mk+1)‖则转向步骤6,否则转向步骤5;

步骤5 若‖Gkf(mk)‖ <ε,则停止迭代,得m=mk;否则,置α =αβ,转向步骤3;

步骤6 若‖Gkf(mk)‖ <ε,则停止迭代,得m=mk+1;否则置k=k+1,返回步骤2.

4 地震子波与反射系数对介质密度导数的褶积

对(8)式取梯度有

(12)

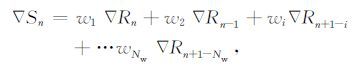
其中ΔW=0.由(12)式可知在地层介质密度迭代反演方程(11)中,反演矩阵G的计算最终归结为地震子波与反射系数对介质密度导数的褶积,因此研究地震子波与反射系数对介质密度导数的褶积计算是本文反演方法的关键,该褶积反映了合成地震记录的振幅对地层介质密度变化反映的敏感程度.

假设地震子波振幅为W= [w1w2,…wNW],Nw 为子波的长度,则合成地震记录可写为

(13)

由(12)、(13)式得地震子波与多角度反射系数对介质密度导数的褶积可写为

(14)

其中Sn为第n层反射界面反射波的合成地震记录.

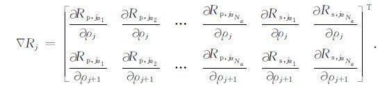
设第j层反射界面有Nα 个入射角度的地震记录,入射角分别为α1αiαNα,第i个入射角p-波的反射系数为Rj=Rpjαi,因每个反射界面波的反射系数仅与反射界面两侧的介质密度、波速度及入射角有关,与其他层的介质密度等参数无关,因此第j个反射界面反射系数对介质密度的导数只有对ρjρj+1 的导数不为零.在只有纵波地震记录的情况下,利用多角度反射系数对介质密度导数可构造如下反射系数梯度矩阵:

(15)

同时有纵波和横波地震记录,设在第j层反射界面,纵波反射系数为Rp,jαi,横波反射系数为Rs,jαi,总反射系数为Rj= [RpjαiRs,jαi]T,则可构造如下梯度矩阵:

(16)

5 地层介质密度反演算例

下面选择泥岩—油砂反射界面,地层参数:波速度vp1=2500m/s,vp2=2900m/s; vs1=1020m/s,vs2=1550m/s; 密度ρ1=2200kg/m3ρ2=2300kg/m3.地震子波为Ricker 子波,频率f=35 Hz,采样间隔2ms,子波长度80ms.

表 1为地层介质密度反演迭代20次的计算结果,Nα 为反演角度的个数,每隔5°选择一个反演角度,分别选取了Nα =3~9 个角度进行了反演.当Nα=9则表示选取α=0°,5°,10°,15°,20°,25°,30°,35°,40°共9个入射角的地震记录反演地层的密度.图 1明显表明随着反演角度的增多地层介质密度反演结果的计算精度在逐步提高.表 1 中算例显示反演结果的前4位有效数字是相同的,说明层间波不存在相干时该地层密度反演方法是可以达到较高的计算精度.

图 1 地层介质密度反演结果随反演角度的变化 Fig. 1 The inversion results of formation densities with multi-angles
表 1 反演角度数对地层介质密度反演精度的影响(反演初值 ρ1,sta2,sta = 2250 kg/m3 ,迭代计算9次的结果) Table 1 The influence of inversion angles on the inversion precision of formation densities (starting value ρ1,sta2,sta = 2250 kg/m3 ,Computing results (iterative 9 times))

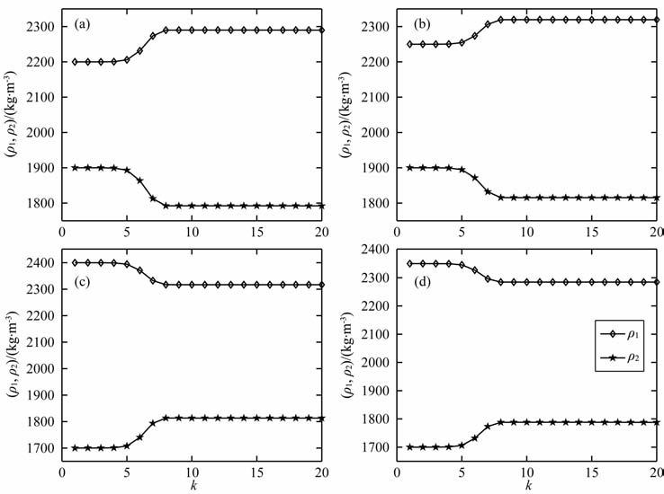
图 2表 2考察了反演介质密度的计算精度随反演迭代次数(k)的变化关系,列出了几种不同反演初值的反演结果.图 2(a~c)地层模型数值为:ρ1,mod=2200kg/m3ρ2,mod=2300kg/m3图 2a的反演初值ρ1,sta=ρ2,sta=2250kg/m3,取反射界面两侧介质密度的平均值,图 2b的反演初值ρ1,sta=ρ2,sta=2240kg/m3,偏向接近第一层介质的密度,图 2c的反演初值ρ1,sta=ρ2,sta=2270kg/m3,接近第二层的密度;图 2(d~f)为改变地层模型密度的计算结果(图 2dρ1,mod=2200kg/m3ρ2,mod=2400kg/m3图 2eρ1,mod=2300kg/m3ρ2,mod=2000kg/m3图 2fρ1,mod =2300kg/m3ρ2,mod=1800kg/m3),在这三种情况下反演初值均取反射界面两侧介质密度的平均值.图 3考察了当两层介质密度初值取不同数值时对反演结果的影响,图 3 中所有模型的密度均为ρ1,mod=2300kg/m3ρ2,mod=1800kg/m3图 3(a~d)为选取不同反演初值的计算结果(图 3aρ1,sta=2200kg/m3ρ2,sta=1700kg/m3图 3bρ1,sta =2250 kg/m3ρ2,sta= 1900kg/m3图 3cρ1,sta =2400kg/m3ρ2,sta=1700kg/m3图 3dρ1,sta =2350 kg/m3ρ2,sta=1900kg/m3).图 2图 3 的所有计算都迭代了20次,均显示在这些迭代的计算过程中,4~8次之间的迭代校正量较大,当迭代次数超过9次后,反演结果趋向于一个较为稳定的数值.这两个算例还显示:反演初值对计算结果确实影响较大,当反射界面两侧介质密度初值取相同数值时(ρ1,sta=ρ2,sta),如果初值能取两介质密度的平均值,计算结果能收敛到模型参数值(图 2a,d~f),但当初值不是取两介质密度的平均值时(注意两个初值仍取ρ1,sta=ρ2,sta),反演结果不一定收敛到地层模型值,而是趋近于一个确定的常数值,这表现出了反演的多解性(图 2(b,c));当反射界面两侧介质密度初值取不相同数值时(ρ1,staρ2,sta,见图 3),如果取反演初值分别接近两层介质的模型数值,反演结果也能较好地收敛到模型的数值.由表 2(对应于图 2a)还可以看出在迭代次数10~20之间,计算反演结果有一个小的波动,其计算结果收敛于一个固定的常数值.这两个算例从第11次迭代起目标函数模的平方和均已小于10-12.

图 2 反演地层介质密度随反演迭代次数的变化曲线 Fig. 2 The varieties of inversion results of formation densities with computing iterative times
表 2 地层介质密度反演结果随反演 迭代次数的变化(对应于图 2a) Table 2 The varieties of inversion results of formation densities with iterative times

图 4表 3 的计算设定了4 个反射界面(5 个介质层),层间反射波存在相互干涉,地层的层速度依次为vp=1980,2200,2440,2660,1980m/s; vs=808,1260,1304,1478,808m/s.ρmρst、ρinv分别为地层模型(介质密度)、反演初值和反演结果.图 4地层模型存在4个反射界面时的反演结果,不同反射界面间的反射波存在相互干涉(层间距小于波的相干长度),(两相邻反射界面之间分别存在10个采样点),各不同层段反演结果能较好地逼近地层模型参数值,准确地计算结果见表 3ρinv1,最大相对误差在1%之内.

表 3ρinv2为假设地层反射界面共有4 个,在第一个反射界面上方为均匀介质,第4 个反射界面的下方也是均匀介质,并且这4 个连续反射界面的间距较小(即这4 个连续反射层的层间距取为采样间隔)时的计算结果,参数取值ρinv1完全相同(见表 3),尽管反演初值与地层模型参数的差距有的反射层可能较大,但经过10次反演迭代后地层介质密度的反演结果与模型介质密度的最大相对误差在1% 之内,说明该方法同样适应于反演层间反射波存在多次干涉的情况,且具有较高的计算精度.

表 3 层间反射波存在相干时地层介质密度反演结果 (反演迭代次数为 k= 10) Table 3 The inversion results of formation densities when there is interference between two reflected waves which come from d i ffereni reflected interface (Iterative Umes : 10)
图 3 反演地层介质密度随反演迭代次数的变化曲线 Fig. 3 The varieties of inversion results of formation densities with computing iterative tmes
图 4 层间反射波存在相干时地层介质密度反演结果 Fig. 4 The inversion results of formation densities when there is interference between two reflected waves which come from different reflected interface
6 结 论

本文给出了由地震波反射系数对介质密度比导数(公式(5))计算反射系数梯度的计算方法(公式(3)、(4)),实现了基于Zoeppritz偏导方程精确解的多角度联合反演介质密度的计算(利用公式(3)、(4)、(11)和(15)).通过算例对计算方法进行了考察,结果显示:在反演条件相同的情况下无层间干涉的反演结果比存在层间相干时要高,但迭代10次后计算结果的最大相对误差能够控制在1% 之内;多角度反演结果随反演角度的增加而提高;计算反射系数及解Zoeppritz偏导方程采用的是方程组的直接解法,在求解这些参数时的计算机耗时较少.由于本方法实现反射系数梯度精确解的计算并没有附加任何新的条件,并充分考虑了波速度中介质密度的影响,所以方法的适应范围是全角度和不同变化的地层(即Zoeppritz方程成立的条件),克服了常规VAO 反演仅适应于小角度弱反射的问题,使方法不受反演角度及界面反射强弱的限制.利用地震波反射系数梯度精确解多角度反演地层密度的实现,使反演能够充分利用多角度的地震记录信息,尤其是大反射角的信息,这对于实现高精度地震资料的反演将具有重要意义.

参考文献
[1] Fred J H. 地震振幅解释. 孙夕平, 赵良武译. 北京: 石油工业出版社, 2006: 18-39.
[2] 陆基孟. 地震勘探原理(上, 下). 东营: 石油大学出版社, 1993, 上: 20-30, 下: 123-194, 267. Lu J M. Seismic Exploration Principle (the first and second volumes, in Chinese). Dongying: Petroleum of University Press, 1993: the first volume: 20-30, the second volume: 123-194, 267.
[3] Shuey R T. A simplification of the Zoeppritz equations. Geophysics , 1985, 50(3): 609-614.
[4] 李景叶, 陈小宏, 郝振江, 等. 多波时移地震AVO反演研究. 地球物理学报 , 2005, 48(4): 902–908. Li J Y, Chen X H, Hao Z J, et al. A study on multiple time-lapse seismic AVO inversion. Chinese J. Geophys. (in Chinese) , 2005, 48(4): 902-908.
[5] 孟宪军, 姜秀娣, 黄捍东, 等. 叠前AVA 广义非线性纵、横波速度反演. 石油地球物理勘探 , 2004, 39(6): 645–650. Meng X J, Jiang X D, Huang H D, et al. Generalized non-linear P wave and S wave velocity inversion of prestack AVA. Oil Geophysical Prospecting (in Chinese) , 2004, 39(6): 645-650.
[6] Shou H, Liu H, Gao J H. AVO inversion based on common shot migration. Applied Geophysics , 2006, 3(2): 99-104.
[7] 顾汉明, 王家映, 江涛, 等. 海底多波多分量AVO 蕴含弹性参数信息的定量分析. 石油地球物理勘探 , 2000, 35(1): 56–63. Gu H M, Wang J Y, Jiang T, et al. Quantitative analysis of elastic parameter informations contained in AVO of sea bottom multiwave multicomponent seismic data. Oil Geophysical Prospecting (in Chinese) , 2000, 35(1): 56-63.
[8] 陈建江, 印兴耀, 张广智. 层状介质AVO叠前反演. 石油地球物理勘探 , 2006, 41(6): 656–662. Chen J J, Yin X Y, Zhang G H. Prestack AVO inversion of layered medium. Oil Geophysical Prospecting (in Chinese) , 2006, 41(6): 656-662.
[9] 王保丽, 印兴耀, 张繁昌. 基于Gray 近似的弹性波阻抗方程及反演. 石油地球物理勘探 , 2007, 42(4): 435–439. Wang B L, Yin X Y, Zhang F C. Gray approximation-based elastic wave impedance equation and inversion. Oil Geophysical Prospecting (in Chinese) , 2007, 42(4): 435-439.
[10] 丁继才, 常旭, 刘伊克, 等. 基于声波方程的井间地震数据快速WTW反演方法. 地球物理学报 , 2007, 50(5): 1527–1533. Ding J C, Chang X, Liu Y K, et al. Rapid method for acoustic wave-equation WTW inversion of crosshole seismic data. Chinese J. Geophys. (in Chinese) , 2007, 50(5): 1527-1533.
[11] Brittan J, Warner M. Wide-angle seismic velocities in heterogeneous crust. Geophysics Journal International , 1997, 129(2): 269-280. DOI:10.1111/gji.1997.129.issue-2
[12] Zhang W P, Guo P, Hu T Y. Study and practice of wide-angle seismic data processing. Applied Geophysics , 2004, 1(1): 31-37. DOI:10.1007/s11770-004-0026-9
[13] Fruehn J, White R S, Fliedner M, et al. Large-aperture seismic: Imaging beneath high-velocity strata. World Oil , 1999, 220(1): 109-113.
[14] 胡中平, 管路平, 顾连兴, 等. 高速屏蔽层下广角地震波场分析及成像方法. 地球物理学报 , 2004, 47(1): 88–94. Hu Z P, Guan L P, Gu L X, et al. Wide angle seismic wave field analysis and imaging method below the high velocity shield layers. Chinese J. Geophys. (in Chinese) , 2004, 47(1): 88-94.
[15] 李怀胜. 广角反射在塔中地区的应用. 石油物探 , 2005, 44(3): 292–295. Li H S. The application of wide-angle reflection method in central Tarim basin. Geophysical Prospecting for Petroleum (in Chinese) , 2005, 44(3): 292-295.
[16] 王志, 贺振华, 黄德济, 等. 高速屏蔽层下弱反射层地震勘探—广角反射. 勘探地球物理进展 , 2002, 25(5): 23–27. Wang Z, He Z H, Huang D J, et al. A seismic survey method for weak reflectors below shielded layer of high velocity: Wide angle reflection. Progress in Exploration Geophysics (in Chinese) , 2002, 25(5): 23-27.
[17] 孙成禹, 倪长宽, 李胜军, 等. 广角地震反射数据特征及校正方法研究. 石油地球物理勘探 , 2007, 42(1): 24–29. Sun C Y, Ni C K, Li S J, et al. Feature of wide-angle reflection data and correction method. Oil Geophysical Prospecting (in Chinese) , 2007, 42(1): 24-29.
[18] 王志, 贺振华, 黄德济, 等. 广角反射波场特征研究及正演模拟分析. 地球物理学进展 , 2003, 18(1): 116–121. Wang Z, He Z H, Huang D J, et al. The wave-field features researching of wide-angle reflection and the analyzing of forward modeling. Progress in Geophysics (in Chinese) , 2003, 18(1): 116-121.
[19] 徐文君, 於文辉, 胡中平. 广角反射波的特征及正演模拟. 石油地球物理勘探 , 2006, 41(4): 390–395. Xu W J, Yu W H, Hu Z P. Feature and forward simulation of wide-angle reflection. Oil Geophysical Prospecting (in Chinese) , 2006, 41(4): 390-395.
[20] 王彦飞. 反演问题的计算方法及其应用-当代科学前沿论丛. 北京: 高等教育出版社, 2007 : 31 -84. Wang Y F. Computational Method for Inverse Problem and Their Applications (in Chinese). Beijing: Higher Education Press, 2007 : 31 -84.
[21] 刘福平, 孟宪军, 王玉梅, 等. 介质密度反演偏导矩阵的精确计算方法. 地球物理学报 , 2010, 53(9): 2189–2195. Liu F P, Meng X J, Wang Y M, et al. Accurate method for calculating derivative matrix in medium density ratio inversion. Chinese J. Geophys. (in Chinese) , 2010, 53(9): 2189-2195.