西南地区是我国地震活动最强烈的地区之一,2008年5月12日和2010年4月14日发生在该地区的汶川MS8.0地震和玉树MS7.1地震造成了大量的人员伤亡和巨额的财产损失,引起了国内外地震学家的普遍关注.然而,对于该地区地震危险性分析及地震预测研究而言,仅仅依靠现代仪器记录的四十年左右的地震资料是远远不够的.因此,开展西南地区历史强震震源机制的研究,认识该区域历史强震的发震构造,在区域构造活动、地震危险性分析及地震预测研究中均具有重要的科学意义.
历史地震的研究离不开详细而准确的历史地震目录.前人经过大量的搜集、考证、整理工作,先后整理汇编了《中国地震年表》,《中国地震目录》,《中国地震历史资料汇编》,《中国地震目录》(第三版),《中国历史强震目录》[1],《中国近代地震目录》[2]等历史地震资料,极大地提高了我国历史地震目录的准确性和完备性.但由于历史记载的不准确性和历史资料缺失等原因,尤其在西南地区,这些历史地震目录均存在震中位置不准确,缺少震源机制信息等问题[3].
依靠仪器记录而建立的现代地震目录包含较为准确的震中位置和震源机制信息.中国地震局主导并基于现代地震台网观测所出版的全国性地震目录始于1970年,与国际上其他国家的全国性现代地震目录形成的时间(约在1950-1970 年代间)基本相当.然而自1882年Milne,Ewing和Gray研制的摆式地震仪在东京成功记录到一个地方震的地震图后,20世纪始,现代地震仪在世界各地陆续安装并投入观测,全球范围内的仪器记录也越来越多地被收集发布.1897 年,Milne开始收集世界各地的60多个台站记录,并发布Shide Circulars (1900-1912)[4].1913 年Milne逝世后,牛津大学Turner教授负责继续进行全球台站记录的收集和发布工作(1913-1917)[5].从1918 年开始,这份全球地震报告开始更名为《国际地震资料汇编》(International Seismological Summary,1918-1963)1).因此,充分利用自20世纪开始的包括中国在内世界各地地震台的记录资料,对1900年至1970年间发生在我国的强震的震源位置进行重新定位,可以大大提高这段时间内历史地震目录中震源参数的准确性,将基于仪器观测的现代地震目录的形成时间向前拓展,对我国基于可靠的现代地震目录开展的工程地震学、地震预测及地震地质学中等相关研究的开展具有重要意义.一些国外地震工作者通过收集20世纪开始的世界各地地震台的记录资料,已经开展了类似的工作并取得了具有重要意义的成果[6-8].
另一方面,震源机制解成为了地震的发生时间、地点、震级外的另一组描述震源的基本参数,近年来愈来愈受到固体地球科学家的重视.如哈佛大学、美国联邦地质调查局利用全球数字地震台网记录,能在震后几小时内反演出全球5.5级以上地震的震源机制解并在网上发布2),3).中国地震局地球物理研究所陈运泰和许力生领导的研究组从1990 年代起也在做同样的工作[9],他们利用全球数字地震台网记录和中国数字地震台网记录,在震后数小时网上发布国外6 级以上和国内5 级以上强震的震源机制解.
2) http://www.globalcmt.org/CMTfiles.html
3) http://earthquake.usgs.gov/earthquakes/eqarchives/fm/
许忠淮等人[10]主要基于ISS的P 波初动数据,使用格点尝试法对部分历史地震震源机制解进行重新测定,得到了中国及邻近地区1951年至1971 年之间47个可供参考的震源机制解.张诚等人[11]整理了不同作者使用不同方法求解震源机制解的结果,汇编了1904年至1989年间发生在中国及邻近地区的2037次地震的震源机制解.阚荣举等人[12-13]研究给出了1933年至1972年之间M≥5级及1973年至1979年之间M≥4 级的发生在西南地区及其邻区地震事件的P 波初动解.成尔林[14]给出了1933年至1978年之间76次发生在四川境内M≥5级(少数小于5级)的地震事件的P波初动解.同时,基于地震地质、地震等震线调查等资料反演历史地震震源机制近年来受到了地震学的重视[15-16].历史地震震源机制研究不仅为丰富震源机制资料提供了新的途径,在开展现今强震活动缺乏区的发震构造及地震危险性预测等研究显得尤为重要和必要.本文使用现代仪器记录的ISSP 波初动和俞春泉等人[17]改进的格点尝试法对1933 年至1970 年之间西南地区的29个强震求解震源机制解,并对震源机制解进行质量分类.
利用现代应力场的研究结果,并结合地震地质资料,推断地震的震源机制解,是获取缺乏仪器观测的历史强震震源机制解的一种可能途径[18-19].李铁明等人[19]根据华北地区的现代应力场结果和地震地质资料,用间接的方法,建立了华北地区含有震源机制解的强震历史地震目录,本研究中对历史地震滑动角的估计方法参照了他们的工作.Jiang等人也曾使用这种方法估计华北地区历史地震的滑动角[20].但是对估计得到的滑动角准确性分析上,本研究得出的结论和李铁明等人[19]的结果并不完全一致.
综上所述,本文的研究目标主要包括三个方面:
(1) 使用现代仪器记录的ShideCirculars,ISS和EHBBulletin4)震相到时,对1900 年至1970 年之间研究区域的强震使用更加精确的地球模型和精度更高的反演方法重新定位,并对定位结果进行可靠性分析;
4) InternationalSeismologicalCentre,EHB Bulletin,http://www.isc.ac.uk,Internatl.Seis.Cent.,Thatcham,UnitedKingdom,2009.ftp://www.isc.ac.uk/pub/ehb/
(2) 使用现代仪器记录的ISSP波初动,使用改进的格点尝试法对1933年至1970年之间研究区域的强震求解震源机制解,并对震源机制解进行质量分类;
(3) 综合地震地质资料对缺乏仪器记录的强震震源机制解进行推断,并对解的可靠性进行分析讨论.综合以上三个方面,可以提高研究区域1900年至1970年之间历史强震目录震源参数的准确性和可靠性.
2 西南地区构造背景与研究范围本研究所取西南地区主要包括四川大部分地区,云南东北部部分地区,西藏东南部部分地区和青海南部部分地区.该区域位于青藏高原东缘川滇、巴颜喀拉和华南三大活动块体的交接部位(图 1),发育着控制破坏性地震发生地点的NW 向、NE 向和近SN 向3组活动地块边界断裂带[21].川滇与巴颜喀拉块体间的边界为NW 向的甘孜-玉树断裂带和鲜水河断裂带,运动学性质以左旋剪切为主;川滇与华南块体间的边界包括SN 向的安宁河断裂带,具有剪切和挤压的双重特性;巴颜喀拉与华南块体间的边界为龙门山断裂带,兼有逆冲分量和右旋剪切分量.其中,NW 向断裂带与近SN 向断裂带之间的运动学性质呈逐渐过渡的特点.
考虑西南地区历史地震目录的完整性、精确性和样本数等因素,界定需要重构的历史地震目录的时间-空间-震级界限:
(1) 经度范围:97.5°E-106°E,纬度范围:26°N-34°N;
(2) 时间范围:1900年1月1日-1969年12月31日;
(3) 震级范围:M≥6.0.
构建含有震源机制解的地震目录数据包括地震发生的时间,经度,纬度,震级,震源深度,发震断层的走向、倾角和滑动角.
3 建立历史地震目录的基本原理对历史地震的台站记录使用更加精确的球状地球模型(PREM,IASP91和AK135等)和精度更高的反演方法能够有效提高历史地震的定位精度[22].我们使用1900 年至1970 年之间Shide Circulars,ISS和EHB 报告上列出的全球地震台记录的P 波和S波到时,对该时间范围内的41个地震事件使用Schweitzer的HYPOSAT 程序重新定位[23],其中32个事件的定位结果定位精度和可靠性较好.使用1933年至1970 年之间ISS 的P 波初动,对该时间范围内的28个地震事件使用俞春泉等人[17]改进的格点尝试法求解其震源机制解,其中14个事件的解可靠性较好.对于没有台站记录和震源机制解结果可靠性较差的27个历史地震,拟用如下的间接方法推断震源机制解.
发震断层的走向和倾角根据震中位置[1-2],结合西南地区活动断裂带的资料[24-27]并参照等震线图像[1, 2, 24],推断出可能的发震断层,并取该断层的走向和倾角数据为震源破裂面的走向和倾角.实际查找断层资料对比地震震中位置时,对于震中位置没有已知断层的情况,取距离震中位置最近的已知断层及等震线为参照,设置震源破裂面的走向和倾角.
|
图 1 西南地区活动构造与活动块体分布图[21] Ⅰ巴颜喀拉块体;Ⅰ1 龙门山次级块体;Ⅱ川滇块体(可进一步划分为川西北(Ⅱ1)和滇中(Ⅱ2)2个次级块体);Ⅲ华南块体. Fig. 1 Map showing active fault sand active blocks in southwestern China[21] Ⅰ Bayankala Block;Ⅰ1 Long menshan secondary block;Ⅱ Sichuan-Yunan Block;Ⅲ the South China Block. |
历史地震的滑动角由西南地区的平均构造应力场的方向与推断出的发震断层走向和倾角共同决定.基于以下两种假设:研究区域构造应力场方向在研究时间段内保持不变;历史地震断层的滑动方向和该断层面上剪切应力方向一致,可以推导出历史地震的滑动角公式[19].
设构造应力场P轴方位ΦP,俯角δP,T轴方位ΦT,俯角δT,则在北东下地理坐标系中方向矢量的数学表达式为
|
(1) |
|
(2) |
中间轴(B轴)的方向矢量表示为
|
(3) |
设研究区域构造应力场最大、中间和最小主应力分别为σ1,σ2,σ3,只考虑偏应力张量,从而有:
|
(4) |
只考虑构造应力场的相对大小和式(4),设σ3 =-1并且引入表示主应力相对大小的量R:
|
(5) |
可以得到:
|
(6) |
用R表示σ1 和σ2,得到:
|
(7) |
|
(8) |
从而在主轴坐标系中,应力可表示为
|
(9) |
设地震断层面的走向和倾角分别为Φ 和δ,在北东下地理坐标系中表示该断层:
|
(10) |
|
(11) |
|
(12) |
其中l,m,n分别为断层面的走向,沿断层面向下的方向和断层面的法向.
将主轴坐标系中的应力张量(式(9))在断层坐标系l,m,n中表示,可以得到沿断层走向的应力T1和沿断层倾向的应力T2:
|
(13) |
|
(14) |
从而滑动角可以表示为
|
(15) |
这样就从现代平均构造应力场的方向和相对大小[28],和每一个历史地震发震断层的走向和倾角估计得到历史地震的滑动角方向.
4 结果与讨论由第3节所述的方法,可以得到一个含有震源机制解的西南地区历史地震目录(图 2 和表 3).该地震目录包含西南地区1900年至1970年震级大于6.0的共计41个地震.
|
图 2 西南地区历史地震震源机制和空间分布图(1900年1月至1969年12月) 图中红色细线为西南地区主要断裂带,黑色填充的震源机制解球是缺乏地震记录的情况下用间接方法推断得到的结果,蓝色填充的震源机制解球表示由ISS资料求解得到的P波初动解,震源参数详见表 3. Fig. 2 Map showing focal mechanisms and spatial distribution of historical major earthquakes in southwestern China (Jan.1900 to Dec.1969) The red lines represent the mainactive faults in southwestern China,black focal mechanisms denote solutions of infer red results by the indirect method,blue focal mechanisms represent solutions calculated by P-wave first motion. Source parameter details of all events are listed inTable 3. |
|
|
表 3 含有震源机制解的西南地区历史地震目录 Table 3 A historical strong earthquake catalog including focal mechanism in southwestern China |
使用ShideCirculars,ISS和EHB的到时数据对1900年至1970年之间的41个地震事件进行定位,得到32个可靠的定位结果.需要特别说明的是,由于作者对ShideCirculars资料收集不全,因此对于1901-02-15地震没有进行定位.1913年8月发生在四川冕宁的6.0级地震,由于发震月份和日期不清,也没有进行定位.定位时发现,发震时间和经纬度的准确性大体上与台站记录数有关.在95% 的置信水平下,对于较多台站记录的地震事件,发震时间和经纬度的误差较小,可以达到±0.1°左右,对于台站记录较少的地震事件,误差大多数在±1°以内.定位结果与ISS震中位置5)比较图见图 3a,与张诚等人[11]的震中位置比较图见图 3b,与部分有烈度等震线图的地震宏观震中比较图[24]见图 3c,定位误差图见图 3d.由图 3a和图 3b可见,除1923-10-20,1941-10-08和1970-02-24地震外,其他地震定位结果与ISS 及张诚等人[11]的震中位置基本一致,由图 3c可见,定位结果与宏观震中十分接近.由图 3d可见,大部分地震事件的定位误差在±1°以内,其中17个地震事件的定位误差在±0.1°以内,对于历史地震,此种程度的定位精度应该可以接受.
5) ISS.CAT(earthquakecatalog,1918-1963):http://earthquake.usgs.gov/research/data/iss_summ.php
|
图 3 震中位置比较图及定位误差图 (a)为与ISS震中位置(1923-1961)比较图,箭头的起点为作者的震中位置,终点为ISS 震中位置;(b)为与张诚等人[11]的震中位置(1923-1967)比较图,箭头的起点为作者的震中位置,终点为张诚等人[11]的震中位置;(c)为与有烈度等震线图的宏观震中[24](1923-1967)比较图,箭头的起点为作者的震中位置,终点为宏观震中的位置;(d)为定位误差图,十字的交叉点表示震中位置,十字的横向和竖向长度分别代表经度和纬度的定位误差. Fig. 3 Comparison of earthquake epicenters from different sources and error bars of locations (a) Comparison with ISS epicenters(1923-1961),the start of arrows present epicenter sinverted in this study,the end of arrows present epicenters in ISS.(b) Comparison with epicenters of result of Zhang et al.[11](1923-1970),the start of arrows present epicenters inverted in this study,the end of arrows present epicenters of result of Zhang et al.[11].(c)Comparison with macro-epicenters[24],the start of arrows present epicenters inverted in this study,the end of arrows present macro-epicenters.(d) Error bars of location,the center of error bars present epicenters and the length of error bars present errors of location. |
定位时,初始深度分别设定为0km 和17km两组,即地表和西南地区已知地震震源深度的平均值[29],每一组都进行两次反演:一次为固定深度为初始深度反演其他震源参数;另一次为同时反演深度和其他震源参数,反演时若深度在某个区间振荡则将深度固定为此区间的中间值再反演其他震源参数.结果采用所有反演结果中残差的均方根最小的一组解.
4.2 基于P波初动的震源机制结果用1933年至1970年之间ISS的P 波初动,对该时间范围内的28个地震事件使用俞春泉等人[17]改进的格点尝试法求解其震源机制解,其中14个事件的解可靠性较好(如图 2 中蓝色球所示).其中A类解3个,B 类解2 个,C 类解9 个.A 类解为准确可靠的震源机制解,P 波初动在震源球投影图上分布比较均匀,对得到的2个节面限制较好;B 类解为较为准确可靠的震源机制解,可靠性较A 类解略差,P波初动在震源球投影图上分布比较合理,基本能够约束住2个节面;C 类解可靠性相对较差,P 波初动在震源球投影图上分布不均匀,不能很好地约束2个节面,但基本能够判断出震源机制解的性质.
比较本文得到的震源机制解与张诚等人[11]和许忠淮等人[10]的解(见图 4),可以看出,对于大多数地震事件,三者(或两者)之间震源机制解的性质相似,但部分地震事件仍存在一些差异.例如1955-06-07和1955-09-23 地震,三者的震源机制解非常接近,可以认为其震源机制解可信度很高.对于1960-11-09,1961-06-27和1967-08-30a地震,两者的震源机制解比较接近,可以认为其震源机制解较为可靠.同时,存在部分地震事件或者与张诚等人的结果接近,或者与许忠淮等人的结果接近,比如1966-02-05和1967-08-30b地震.以及存在部分有些差异的地震事件,比如1936-05-16,1952-09-30 和1966-09-28地震,这些地震事件的震源机制解的可靠性稍差.
|
图 4 震源机制解比较图 浅灰色填充的震源机制解表示张诚等人[11]的结果,黑色填充的表示许忠淮等人[10]的结果,灰色填充的表示本文的结果. Fig. 4 Comparison of different focal mechanism solutions The balls filled with light gray are focal mechanism solutions collected by Zhang et al.[11],black balls are solutions of Xu et al.[10],and gray balls are solutions in this paper. |
对于部分典型地震,可以根据得到的新的定位结果和震源机制信息推断其可能的发震断层.对于1948-05-25地震,震源机制显示为左旋走滑性质,与理塘—巫断裂性质一致,且等烈度图和震源机制中的走向倾角也与理塘—巫断裂吻合,因此可以推断1948-05-25地震的发震断层为理塘—巫断裂.对于1955-04-14 地震,震源机制显示为左旋走滑性质,可能的发震断层为三条近平行的左旋走滑断裂:雅拉河断裂、色拉哈断裂和折多塘断裂,但定位结果显示的震中位置最接近折多塘断裂,且震后调查显示的宏观震中也位于折多塘,因此可以推断1955-04-14 地震的发震断层为折多塘断裂.对于1955-09-23地震,震源机制显示为左旋走滑性质,与昔格达断裂的运动性质一致,震中位置接近昔格达断裂,震源机制中的走向倾角也与昔格达断裂吻合,因此可以推断1955-09-23 地震的发震断层为昔格达断裂.与此类似,可以推断1960-11-09 地震的发震断层为东门沟断裂,1967-08-30 地震(MS6.8)的发震断层为更娘-马哇断裂.
4.3 间接方法推断的震源机制解及不确定性分析对于没有台站记录和震源机制解结果可靠性较差的27个历史地震,使用李铁明等人[19]的间接方法推断震源机制解(如图 2中黑色球所示).
必须指出,历史地震发震断层的走向和倾角的不确定性严重依赖于地质资料的完备性.同时由于对发震断层的人为判断及发震断层可能是隐伏断层等情况,会造成部分历史地震的走向和倾角存在较大的偏差,其中发震断层的倾角往往由于缺乏有效约束,不确定性更大.
滑动角受区域构造应力场、发震断层走向和倾角的控制,而西南地区构造应力场比较复杂,使用平均构造应力场计算得到的滑动角可能对部分历史地震是不合适的.同时由于历史地震发震断层的走向和倾角的不确定性,对计算得到的滑动角也有一定程度的影响.为进一步论证李铁明等人[19]估计滑动角的方法是否可靠,需要从以上两个方面进行研究.
讨论走向和倾角对滑动角的影响,可在使用同样的构造应力场参数条件下,使用由地质资料得到的走向和倾角数据与哈佛大学震源机制解中的走向和倾角数据分别估算滑动角,并对其进行比较和分析.讨论构造应力场对滑动角的影响,是在其他条件不变的基础上,将西南地区构造应力场分区域,对不同历史地震使用该地震事件所处的构造应力场分区的应力状态,估算历史地震的滑动角.
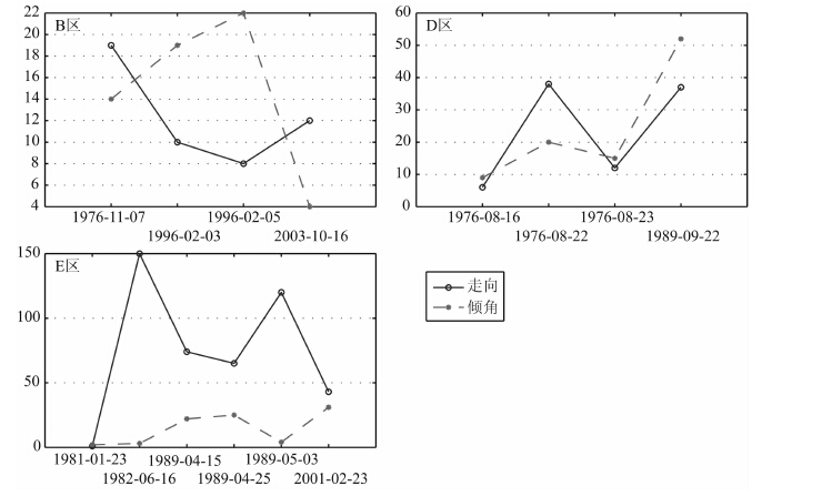
为了论证走向和倾角数据对滑动角结果的影响以及细化构造应力场分区能否降低滑动角误差,本研究选取1976 年至2003 年之间研究区震级大于6.0的共14个地震事件(其中不包括1976年12月13日的地震事件,因为该事件未在哈佛大学震源机制解中收录),将哈佛大学震源机制解(CMT)中的走向倾角数据与地质资料得到的走向倾角数据,根据崔效锋等人[30]对川滇地区现代构造应力场细结构的结果(图 5f,表 1),估算滑动角(图 5a,5b,5c,5d)并进行比较.实验得到两种资料在分区前后估算的滑动角与哈佛大学震源机制解给出的滑动角之差的绝对值图(图 7),以及分区前后两种资料在所有四种情况下与哈佛大学震源机制解中滑动角之差的直方图(图 8),并进行分析讨论.
|
图 5 地质资料和CMT 得到的走向倾角数据在分区和未分区两种情况下得到的滑动角及西南地区应力场分区图 (a)使用地质资料的走向倾角数据在未分区的情况;(b)使用地质资料的走向倾角数据在分区的情况;(c)使用哈佛大学震源机制解的走向倾角在未分区的情况;(d)使用哈佛大学震源机制解的走向倾角在分区的情况;(e)哈佛大学震源机制解;(f)西南地区应力场分区图(修改自崔效锋等人[30]). Fig. 5 Focal mechanisms and stress field division in southwestern China (a) Focal mechanisms based on geological strikeand dipdata before stress zoning. (b) Focal mechanisms based on geological strikeand dipdata after stress zoning. (c) Focal mechanisms based on strike and dipdata from CMT before stress zoning.(d) Focal mechanisms based on strike and dipdata from CMT after stress zoning. (e) CMT solutions.(f) Map of stress zones in southwestern China by Cui et al.[30],revised. |
|
图 6 地质资料的走向倾角数据与哈佛大学震源机制解给出的走向倾角数据之差(绝对值) 实线表示走向,虚线表示倾角. Fig. 6 Absolute differences of strikes and dips between geological data and CMT data Solid lines represents trike data,dash lines represent dip data. |
|
图 7 不同应力场分区中,两种来源的走向倾角数据在分区和不分区的情况下推断出的四种滑动角与哈佛大学震源机制解给出的滑动角之差(绝对值) 蓝线表示未分区时使用哈佛大学震源机制解的走向倾角数据的结果,红线表示分区后使用哈佛大学震源机制解的走向倾角数据的结果,粉红线表示未分区时使用地质资料推断的走向倾角数据的结果,绿线表示分区时使用地质资料推断的走向倾角数据的结果. Fig. 7 Absolute differences of slip between four situations and CMT data in three different stress zones Blue lines represents lip solutions based on strike and dip data from CMT before stress zoning,red lines represents lip solutions based on strike and dip data from CMT after stress zoning,pink lines represents lip solutions based on geological strike and dip data before stress zoning,green lines represents lip solutions based on geological strike and dip data after stress zoning. |
|
图 8 四种情况下估算的滑动角与震源机制解给出的滑动角之差的直方图 (a)地质资料的走向倾角数据在未分区的情况;(b)地质资料的走向倾角数据在分区后的情况;(c)哈佛大学震源机制解给出的走向倾角数据在未分区的情况;(d)哈佛大学震源机制解给出的走向倾角数据在分区后的情况. Fig. 8 Histograms of differences between in ferred slip and slip from CMT in four situations (a) Situation based on geological strike and dip data,before stress zoning.(b) Situation based on geological strike and dip data,after stress zoning.(c) Situation based on strike and dip data from CMT,before stress zoning.(d) Situation based on strike and dip data from CMT,after stress zoning. |
从图 6可以看出,地质资料的走向倾角数据与哈佛大学震源机制解给出的走向倾角数据在部分地震存在较大的差异,而后者的数据是现代数字地震台网记录反演的结果,是更可靠的.这也说明了基于地质资料而间接推断的震源机制走向与倾角数据存在较大的不确定性,很重要的一个原因是由于地震事件的发震断层不明.实际上,在通过地震地质资料查找地震事件的发震断层时经常会遇到地质资料不充分的困难,导致无法确定发震断层.同时,由图 5f可以看出,西南地区的区域构造应力场情况比较复杂,不同地区的应力场存在着较大的不同,从而基于区域平均应力场参数推断滑动角可能会导致较大的误差,因而在西南地区分区的构造应力场情况下推断滑动角是一种可能的做法.
对比图 7中两种来源的走向倾角数据在分区前后的结果,可以得到滑动角之差减小的地震事件数占分区总事件数的比例(表 2).由图 7 和表 2 分区前后的比例可以看出,B 区和D 区的大部分地震事件由两种来源的走向倾角数据推断的滑动角之差在分区后都更小,而E 区的大部分地震事件得到的滑动角之差在分区后反而更大.说明分区的方法在B区和D 区一定程度上能够提高滑动角的准确性,但是对E 区却并不适用.从图 7 中还可以看出,在B区和D 区,分区后滑动角之差减小的程度较大,以及分区后滑动角之差减小的全部比例均超过50%,可以认为对构造应力场进行细分对提高用间接方法推算滑动角的准确性是必要的.对比这两种不同来源的走向倾角数据在未分区或者分区后的情况可以看出,使用震源机制解的走向倾角数据在未分区的情况下推断得到的滑动角,在B 区和E 区与理论滑动角的差更小,在D 区却更大了,总体比例超过了50%;在分区的情况下,B区和E 区只有一半的地震事件在使用震源机制解的走向倾角数据后与理论滑动角的差更小,而在D 区却是全部都增大了,总体比例不足50%.同时,使用这两种不同来源的走向倾角数据得到的滑动角有不大的差异,因此可以得出使用震源机制解给出的走向倾角数据对于提高推断滑动角的准确性有有限的帮助.
|
|
表 2 分区后及使用震源机制解的走向倾角数据后滑动角之差减小的地震事件数占分区总事件数的比例 Table 2 Percentages of earthquake event number after stress zoning and earthquake event number with decreased difference of slip based on strike and dip data from CMT in the total number of events |
许忠淮等人[10]通过计算美国Harvard 大学和美国地质调查局的NEIC(国际地震资料中心)分别测定的“最佳双力偶"解之间的差异大小,来衡量同一地震的不同震源机制解之间的差异程度.结果显示,不同测定结果的滑动矢量的夹角平均值为25°,均方根值为30°,指出夹角30°可能代表了双力偶震源机制解测定精度的较好水平.万永革等人[31]也指出同一地震不同测定结果的滑动矢量之间的夹角分布较分散,但优势分布在20°左右.图 8a-8d中,差值在20°范围内的地震占总体的比例分别为14%、21%、21%和43%.对比图 8a,8b和c,d,可以看出,直方图有向中间收拢的趋势,即在分区后估算得到滑动角与震源机制解给出的滑动角之差有减小,误差在20°范围内的地震占总体的比例分别从14%增加到21% 和从21% 增加到43%,再次论证了分区能够提高估算滑动角的误差,但是从增加的比例来看,能够提高的程度有限,这也和E 区中不适用分区方法的地震事件较多有关.分别对比图 8a,8c和8b,8d,误差在20°范围内的地震占总体的比例分别从14%增加到21% 和从21% 增加到43%,即使用震源机制解的走向倾角数据在一定程度上优于地质资料的走向倾角数据,但并不明显.
5 结论和展望本研究在前人工作的基础上,通过查找地质资料、国内外地震台记录和历史地震目录,使用震相到时定位、P波初动求解震源机制解及李铁明等人[19]的方法,计算并整理得到西南地区1900 年至1970年间震级大于6.0 的包含41 个地震事件震源机制解的历史地震目录.通过使用更加精确的地球模型和精确度更高的程序,对比前人的定位结果和震源机制结果,认为得到的包含震源机制解的历史地震目录是对西南地区的历史地震资料较好的补充和完善.
由于震相到时的读取误差,定位结果显示出某些历史地震的发震位置及震源深度误差较大,同时,部分发震断层可能是隐伏断层或不明断层,均对推断发震断层存在较大的影响.由于记录到P 波初动的台站分布不均匀,及部分地震记录到P 波初动数据较少,一些历史地震的震源机制解受约束不够,导致其震源机制解质量不高.对于地震目录中根据李铁明等人[19]的方法得到的滑动角,根据西南地区构造应力场比较复杂的特点,与现代震源机制解对比,研究分析其不确定性,认为该方法在西南地区适用程度有限,这与西南地区复杂的构造应力场以及部分历史地震发震断层难以确定有密切关系.分析结果表明,在西南地区部分精细的构造应力场分区中估计滑动角是能够有效提高准确性.由于受西南地区复杂的断裂带和缺乏的地震地质资料影响,使用由地质资料估计得到的走向和倾角数据来估算滑动角存在比较大的误差,目前消除这部分的误差存在着较大的困难,因此只使用平均应力场而未使用分区的应力场来推断滑动角.同时,推断滑动角时,使用有明显差异的震源机制解和地质资料的走向和倾角数据,前者略微优于后者,可能是由于滑动角对走向和倾角数据的敏感度不高造成的.
需要注意的是,历史地震目录的信息可能含有较大的不准确性和不确定性,在对历史地震目录比较敏感的相关研究时需要谨慎.
西南地区历史地震震源参数的研究是一项困难而重要的工作,但限制于现代仪器记录的数据太少以及缺乏对震源深度约束较好的深部震相,定位结果中震源深度结果包含较大的误差.另一方面,在数据量一定的情况下,修正的地球速度模型和新的定位方法会在一定程度上提高定位的精确度.因此,进一步挖掘国外仪器记录的数据以及使用新的地球速度模型和新的定位方法是两种可以提高定位结果的途径.P波初动解的质量强烈依赖于初动资料的分布状态和数量,新的求解P 波初动解的方法(例如本文采用的CHNYTX 方法)能够在一定程度上消除一些计算中的影响(比如P 波初动资料在某个区间聚集导致的可能解在此区间权重较大的影响),但很难从根本上解决P 波初动资料分布不均和数量不足带来的影响.因此,对于使用P 波初动法确定历史地震震源机制参数,更多地搜寻历史地震的P波初动资料才能得到更为可信的解.对于没有仪器记录的历史地震,通过不断更新的地质资料和更为精确可信的构造应力场情况,推断历史地震的滑动角信息,或许是目前为止最为可行的办法.
致谢感谢崔效锋研究员提供的西南地区应力场分区结果,以及两位审稿人非常有益的建议.
| [1] | 国家地震局震害防御司. 中国历史强震目录. 北京: 地震出版社, 1995 . Department of Earthquake Disaster Prevention,China Earthquake Administration. The Catalogue of Chinese Historical Strong Earthquakes (in Chinese). Beijing: Seismological Press, 1995 . |
| [2] | 中国地震局震害防御司. 中国近代地震目录. 北京: 中国科学技术出版社, 1999 . Department of Earthquake Disaster Prevention China Earthquake Administration. The Catalogue of Chinese Modern Earthquakes (in Chinese). Beijing: China Science and Technology Press, 1999 . |
| [3] | 丁国瑜主编. 中国岩石圈动力学概论. 北京: 地震出版社, 1991 . Ding G Y (Chief Editor). Explanatory Notes for the Atlas of Lithospheric Dynamics of China (in Chinese). Beijing: Seismological Press, 1991 . |
| [4] | British Association for the Advancement of Science, Seismological Committee (BAASSC) (1900—1912). Circular Nos. 1-27. These circulars are generally known as the "Shide Circulars.". |
| [5] | British Association for the Advancement of Science, Seismological Committee (BAASSC) (1913—1917). Bulletin, 3-month issues between January 1913 and December 1917. |
| [6] | Engdahl E R, Villaseor A. Global Seismicity: 1900—1999. // Lee W H K, Kanamori H, Jennings P C eds. International Handbook of Earthquake and Engineering Seismology. Part A, Chapter 41. Boston: Academic Press, 2002: 665-690. |
| [7] | Engdahl E R, van der Hilst R, Buland R. Global teleseismic earthquake relocation with improved travel times and procedures for depth determination. Bull. Seism. Soc. Am. , 1998, 88(3): 722-743. |
| [8] | Villase?or A, Engdahl E R. A digital hypocenter catalog for the International Seismological Summary. Seism. Res. Lett. , 2005, 76(5): 554-559. DOI:10.1785/gssrl.76.5.554 |
| [9] | 许力生, 陈运泰. 用数字化宽频带波形资料反演共和地震的震源参数. 地震学报 , 1997, 19(2): 113–128. Xu L S, Chen Y T. Invert source parameters of Gonghe earthquake by digital broadband waveform data. Acta Seismologica Sinica (in Chinese) , 1997, 19(2): 113-128. |
| [10] | 许忠淮, 汪素云, 高阿甲, 等. 我国部分早期震源机制解答的重新测定. 地震地磁观测与研究 , 1994, 15(5): 1–9. Xu Z H, Wang S Y, Gao A J, et al. Redetermination of some early focal mechanism solutions of Chinese earthquakes. Seismological and Geomagnetic Observation and Research (in Chinese) , 1994, 15(5): 1-9. |
| [11] | 张诚, 曹新玲, 曲克信, 等. 中国地震震源机制. 北京: 学术书刊出版社, 1990 . Zhang C, Cao X L, Qu K X, et al. Focal Mechanisms of Chinese Earthquakes (in Chinese). Beijing: Academic Publishing House, 1990 . |
| [12] | 阚荣举, 张四昌, 晏凤桐, 等. 我国西南地区现代构造应力场与现代构造活动特征的探讨. 地球物理学报 , 1977, 20(2): 96–109. Kan R J, Zhang S C, Yan F T, et al. Present tectonic stress field and its relation to the characteristics of recent tectonic activity in Southwestern China. Chinese J. Geophys. (Acta Geophysica Sinica) (in Chinese) , 1977, 20(2): 96-109. |
| [13] | 阚荣举, 王绍晋, 黄崐, 等. 中国西南地区现代构造应力场与板内断块相对运动. 地震地质 , 1983, 5(2): 79–90. Kan R J, Wang S J, Huang K, et al. Modern tectonic stress field and relative motion of intraplate block in Southwestern China. Seismology and Geology (in Chinese) , 1983, 5(2): 79-90. |
| [14] | 成尔林. 四川及其邻区现代构造应力场和现代构造运动特征. 地震学报 , 1981, 3(3): 231–241. Cheng E L. Recent tectonic stress field and tectonic movement of the Sichuan province and its vicinity. Acta Seismologica Sinica (in Chinese) , 1981, 3(3): 231-241. |
| [15] | 周青云, 周仕勇, 陈棋福, 等. 正演推算1730年北京西郊地震的发震断层和滑动角. 地震研究 , 2008, 31(4): 369–376. Zhou Q Y, Zhou S Y, Chen Q F, et al. Forward inference of the causative fault and the slip angles of the faults of the 1730 Western Beijing earthquake. Journal of Seismological Research (in Chinese) , 2008, 31(4): 369-376. |
| [16] | Fitzko F, Suhadolc P, Aoudia A, et al. Constraints on the location and mechanism of the 1511 Western-Slovenia earthquake from active tectonics and modeling of macroseismic data. Tectonophysics , 2005, 404(1-2): 77-90. DOI:10.1016/j.tecto.2005.05.003 |
| [17] | 俞春泉, 陶开, 崔效锋, 等. 用格点尝试法求解P波初动震源机制解及解的质量评价. 地球物理学报 , 2009, 52(5): 1402–1411. Yu C Q, Tao K, Cui X F, et al. P-wave first-motion focal mechanism solutions and their quality evaluation. Chinese J. Geophys. (in Chinese) , 2009, 52(5): 1402-1411. |
| [18] | 沈正康, 万永革, 甘卫军, 等. 华北地区700年来地壳应力场演化与地震的关系研究. 中国地震 , 2004, 20(3): 211–228. Shen Z K, Wan Y G, Gan W J, et al. Crustal stress evolution of the last 700 years in North China and earthquake occurrence. Earthquake Research in China (in Chinese) , 2004, 20(3): 211-228. |
| [19] | 李铁明, 沈正康, 徐杰, 等. 华北地区MS≥6. 5级地震震源断层参数的研究. 地球物理学进展 , 2007, 22(1): 95–103. Li T M, Shen Z K, Xu J, et al. Analysis on the parameters of seismogenic fault of the earthquake more than 6.5 in North China. Progress in Geophysics (in Chinese) , 2007, 22(1): 95-103. |
| [20] | JiangM M, ZhouS Y, SandvolE, 等. Lithosphere structure and azimuthal anisotropy beneath southern Tibet from Rayleigh wave tomography with a 2-D seismic array. Geophys. J. Int. , 2011: 185. DOI:10.1111/j.1365-246X.2011.04979 |
| [21] | 徐锡伟, 张培震, 闻学泽, 等. 川西及其邻近地区活动构造基本特征与强震复发模型. 地震地质 , 2005, 27(3): 446–461. Xu X W, Zhang P Z, Wen X Z, et al. Features of active tectonics and recurrence behaviors of strong earthquakes in the Western Sichuan province and its adjacent regions. Seismology and Geology (in Chinese) , 2005, 27(3): 446-461. |
| [22] | Schweitzer J. How can the ISC location procedures be improved? Physics of the Earth and Planetary Interiors, 2006, 158(1): 19-26. |
| [23] | Schweitzer J. HYPOSAT-an enhanced routine to locate seismic events. Pure and Applied Geophysics , 2001, 158(1-2): 277-289. DOI:10.1007/PL00001160 |
| [24] | 唐荣昌, 韩渭宾. 四川活动断裂与地震. 北京: 地震出版社, 1993 . Tang R C, Han W B. Active Faults and Earthquakes in Sichuan Province (in Chinese). Beijing: Seismological Press, 1993 . |
| [25] | 刘祖荫, 苏有锦, 秦嘉政, 等. 20世纪云南地震活动. 北京: 地震出版社, 2002 . Liu Z Y, Su Y J, Qin J Z, et al. Seismicity in Yunnan on 20th century (in Chinese). Beijing: Seismological Press, 2002 . |
| [26] | 马杏垣. 中国岩石圈动力学地图集. 北京: 中国地图出版社, 1989 . Ma X Y. Lithospherical Dynamics Atlas of China (in Chinese). Beijing: China Cartographic Publishing House, 1989 . |
| [27] | 国家地震局地质研究所, 云南省地震局. 滇西北地区活动断裂. 北京: 地震出版社, 1990 . Institute of Geology,China Earthquake Administration, Seismological Bureau of Yunnan Province. Active Faults in Northwest Yunnan Region (in Chinese). Beijing: Seismological Press, 1990 . |
| [28] | 杨国华, 韩月萍, 王敏, 等. 中国大陆几个主要地震活动区的水平形变. 大地测量与地球动力学 , 2003, 23(3): 42–49. Yang G H, Han Y P, Wang M, et al. Horizontal deformation in several major seismically active areas in Chinese mainland. Journal of Geodesy and Geodynamics (in Chinese) , 2003, 23(3): 42-49. |
| [29] | 周玖, 黄修武. 我国西南地区现代重力构造运动与震源深度及震中展布的关系. 地震研究 , 1986, 9(1): 63–71. Zhou J, Huang X W. Recent gravitational tectonic movement in Southwest China and its relation to focal depths and epicentral distribution. Journal of Seismological Research (in Chinese) , 1986, 9(1): 63-71. |
| [30] | 崔效锋, 谢富仁, 张红艳. 川滇地区现代构造应力场分区及动力学意义. 地震学报 , 2006, 28(5): 451–461. Cui X F, Xie F R, Zhang H Y. Recent tectonic stress field zoning in Sichuan-Yunnan region and its dynamic interest. Acta Seismologica Sinica (in Chinese) , 2006, 28(5): 451-461. |
| [31] | 万永革, 周公威, 吴忠良, 等. 中国地震震源机制测定结果的比较. 地震地磁观测与研究 , 2001, 22(5): 1–15. Wan Y G, Zhou G W, Wu Z L, et al. China seismic mechanisms comparison for different determination. Seismological and Geomagnetic Observation and Research (in Chinese) , 2001, 22(5): 1-15. |
2012, Vol. 55




