2.油气资源与探测国家重点实验室,北京 102249;
3.中国石油集团公司物探重点实验室,北京 102249
2.State Key Laboratory of Petroleum Resource and Prospecting,China University of Petroleum,Beijing102249,China;
3.CNPC Key Lab of Geophysical Exploration,Beijing102249,China
近十年来,由于电磁勘探仪器和处理解释技术的快速发展,以及深水域油气勘探所面临的技术和经济的巨大挑战,使可控源海洋电磁(MCSEM)勘探方法得到了爆炸式发展.目前,该方法已成为探测和描述海洋油气储层的新兴手段.尽管MCSEM 方法由Young 和Cox[1]提出至今已有近40 年的历史,但是真正用于深水海洋油气勘探仅有几年时间[2-3].而且,由于该方法所用电磁源的激发频率为0.01~10Hz, 电磁场在空气-海水界面、海水层以及海底地层中的传播以散射为主,基于弹性波场建立的传播理论不完全适用该类散射场的分析.所以,前人建立的一些基于波场传播的海洋电磁数据处理方法[4-7]不能完全适用于MCSEM 勘探数据的处理.
到目前为止,MCSEM 方法在海洋油气勘探中的应用主要限于深水域(水深>300 m)[2-3].在浅水域,由于接收器记录的海底电磁响应中空气波影响占主导,来自于地层的有效信号淹没于强空气波信号中,难于识别和提取.这里所指的空气波概念[4-7]最早是由Chave和Cox[8]描述的,是受弹性波传播的启发和海水-空气界面电阻抗巨大差异的特征而命名的.Amundsen等[4]基于“空气波"的波动性质,将海洋电磁信号分离为上行和下行的电磁波场,通过屏蔽下行波场实现空气波的压制.Ziolkowski等[7]提出了时间域的时窗信号分离等多种压制空气波的方法,取得了一些效果.然而,由于海洋电磁勘探中电磁场的传播以电磁散射为主,基于波动场的电磁数据处理方法不能适用.Um 和Alumbaugh[9]用电流密度剖面分析了不同海水深度上空气波能量占主导的“临界点"出现的位置,得到了垂直电场分量不受空气波影响和空气波能量在海底地层中仍然存在的重要认识结果.David 和Lucy[10]利用简单的一维模型模拟分析了CSEM 应用于浅水勘探的物理机制,阐明了源信号与空气-海水、海水层和地层相互作用的关系,指出了空气波与地层有效信号的复杂耦合关系.刘长胜等[11]利用Lorentz势函数和Coulomb势函数,导出了一维层状介质的电磁场响应,分析了水深对接收电磁场的影响.然而,限于总电磁场的模拟分析,对空气波的影响机理仍然没有涉及.
本研究在David和Lucy[10]的基础上,从海洋电磁勘探的基本原理出发,基于电磁场的模式分解理论将水平电偶极子激发的电磁场分解为横电(TE)和横磁(TM)模式,导出了两种模式的电磁位函数和对应的电磁场关系,分析了接收信号中空气波、海水层与海底地层电磁场的相互作用关系.用一维层状介质模型的电磁响应数值模拟,考察了海底电磁响应中空气波与其它电磁信号的相互耦合方式,根据空气波的复杂特点,提出了可行的空气波压制方法.基于模式分解关系的理论分析知道,海底地层、海水层和空气层中的低频电磁场在各电阻抗界面之间产生高度耦合散射电磁场,无法实现完全的分离.以海水-空气界面折射波场为基础的经典“空气波"只是电磁响应中空气层与其它介质相互作用的一部分,因此,前人提出的上行波和下行波分离的空气波压制方法只压制了部分空气波信号,在浅水域勘探数据处理中难以取得好的效果.
2 层状介质中电磁场的模式分解基于Maxwell方程和电磁位函数的定义,导出层状地层中水平电偶极子(HED)激发时,散射电磁场的横电(TE)和横磁(TM)两种模式的电磁位和电磁场关系,为分析电磁发射信号与空气层、海水层和海底地层相互作用奠定基础.
2.1 均匀介质中电磁场的横电(TE)和横磁(TM)模式定义频率域的Maxwell方程,存在激发源的情况下,可以表示为[12]
|
(1) |
其中,电场强度为E(V/m),磁场强度为H(A/m),Jsm 和Jse 分别是磁性源和电性源的电流密度,磁阻抗

对于可控源海洋电磁测量中的水平电偶极子,有Jms =0,Jes =Idsx,其中Ids和x分别是水平电偶极子的偶极矩和x方向的单位矢量.将方程(1)中的电场和磁场强度分解为横电(TE)和横磁(TM)两种模式,即:
|
(2) |
其中,ETE、ETM 和HTE、HTM 分别表示横电(TE)和横磁(TM)模式的电场和磁场强度.
为了分析方便,利用Schelkunoff定义的两个矢量位函数A和F[12],导出HED 激发源电磁场的横电(TE)和横磁(TM)两种模式,相应地方程(2)中的电场和磁场与位函数A和F具有如下关系[12-13]:
|
(3) |
|
(4) |
而且,位函数A和F满足如下非均匀Helmholtz方程:
|
(5) |
式中,
在均匀介质中,利用直角坐标系下二维傅里叶变换求解HED 激发的位函数方程(5),可以得到位函数A和F的如下关系[14-15]:
|
(6) |
|
(7) |
其中,kx和ky分别是直角坐标系下二维傅里叶变换的x,y方向的波数,u= (kx2+ky2-k2)1/2.
为利用Hankel变换进行快速计算,将(6)、(7)式直角坐标系下的关系转换到柱坐标系[13-14]:
|
(8) |
|
(9) |
将(6)和(7)代入(3)和(4)即可得到横电(TE)和横磁(TM)两种模式下的电磁场.
2.2 一维层状介质中电磁场的横电(TE)和横磁(TM)模式 2.2.1 无限厚海水层单界面情况对于无限厚海水层的单界面的情况,可以用图 1所示的单界面半空间介质模型表示.海水层中HED 源激发,在海水层和海底地层中产生的电磁位函数可以参考(8)、(9)式写出.对于TM 模式,海水层和海底地层中电磁位有
|
图 1 MCSEM 分析的双层介质模型 Fig. 1 MCSEM model for two-layer medium analysis |
|
(10) |
|
(11) |
对于TE 模式,海水层和海底地层中电磁位有
|
(12) |
|
(13) |
其中,A0TM (ρ,z)、A1TM (ρ,z)、F0TE (ρ,z)和F1TE(ρ,z)分别表示在海水和海底地层激发的TM 和TE 模式的电磁位函数;ρ = (x2 +y2)1/2 为径向距离,λ2 =kx2+ky2为柱坐标下的空间波数,ui= (kx2+ky2-ki2)1/2,i=0,1分别是与海水和海底地层参数相关的波数,


设坐标原点位于海水与海底地层的交界面,由两种模式的电场和磁场切向分量连续性条件得到TM 和TE 模式电磁场的上行和下行反射和透射系数为
|
(14) |
其中,
利用附录(A18)—(A21)式中两种模式的电磁场和电磁位函数关系,可得海水层中电磁场表达式:
|
(15) |
|
(16) |
|
(17) |
|
(18) |
|
(19) |
|
(20) |
|
(21) |
|
(22) |
|
(23) |
|
(24) |
|
(25) |
其中,
(1) TM 模式和TE 模式电磁位函数的形式解
对于有限厚海水层和海底多层的情况,也可用上面的方法导出相应的位函数和场函数关系.如图 2a所示,以海底作为z0 =0的坐标平面,源处于海底以上h米处,海水层厚为H米,海底以下第i层地层的厚度和底界深度分别为hi,zi,则空气层、海水层和海底各地层的位函数形式解为
|
图 2 MCSEM 分析多层层状介质模型(a)和四层介质模型(b) Fig. 2 Multi-layer model(a)and four-layer model(b) for MCSEM analysi |
|
(26) |
|
(27) |
|
(28) |
|
(29) |
其中,AaU,A0U ,A0D ,AiU,AiD(i=1,2,…,N),A(N+1)D 分别是空气、海水层和海底地层中TM 模式波的上行、下行波反射和透射系数.同理对TE 模式,空气、海水和海底各地层的位函数有:
|
(30) |
|
(31) |
|
(32) |
|
(33) |
其中,FaU,F0U ,F0D ,FiU,FiD(i=1,2,…,N),F(N+1)D 分别是空气、海水层和海底地层中TE 模式波的上行、下行波反射和透射系数.
(2) 海水层中TM 和TE 模式的电磁位表达式
对于坐标原点位于海水与海底地层的交界面,利用交界面上两种模式的电场和磁场切向分量连续性条件,经过冗长的推导,可得TM、TE 模式波的上行、下行波反射和透射系数(见附录A):
|
(34) |
|
(35) |
其中,


|
(36) |
|
(37) |
|
(38) |
|
(39) |
|
(40) |
|
(41) |
(3) 海水层中TM 和TE 模式的电磁场关系
根据上边的TM 和TE 模式的电磁位函数(42)和(45)式,代入(10)—(13)式便可得海水层中电磁场关系:
|
(42) |
|
(43) |
|
(44) |
|
(45) |
|
(46) |
|
(47) |
其中,
|
(48) |
|
(49) |
|
(50) |
|
(51) |
|
(52) |
|
(53) |
其中,
为更好地分析源信号与空气界面、海水层和海底地层相互作用,下边以四层介质地电模型(图 2b)的电磁场关系为例,开展空气波与信号相互作用的分析.由上边的多层介质一般关系,取N=2,且将反射系数和透射系数关系代入,即得到四层介质对应的电磁场函数(附录B).相应的TM 模式和TE 模式电磁场函数可简化为
|
(54) |
其中
对于TE 模式电场分量同样有:
|
(55) |
在实际勘探环境中,电磁场的TM 和TE 两种模式与空气-海水界面的相互作用,全部体现在RairTM和RairTE 两个反射系数中,它与海水深度、空气与水的电导率及激发频率有关.对于TM 模式由(38)式的反射系数定义可知:
|
(56) |
在海洋电磁勘探的激发频率下,
|
(57) |
当空气电导率σair →0时,uair = (kx2+ky2-kair2)1/2 =(kx2+ky2)1/2 =λ,(57)式退化为
|
(58) |
由(58)式知道,无论海水电导率如何变化,在空间波数λ 不为零的条件下,RTEair 都不为1,即通常情况下,海水层中的TE 模式电磁信号都会向空气层中透射.将该传播系数代入关系式(55)知道,此时电磁位函数与空气-海水界面和地层界面的传播系数密切相关,而且,空气-海水界面的传播系数随海水电导率和横向空间波数发生变化,表现在实际测量中即在给定海水条件下,不同的地层电性参数对应于空气波出现不同的临界偏移距.因此,经典的“空气波"[4, 16]分析只考虑了TE 模式电磁信号中部分空气相互作用的影响.
另一方面,从(54)和(55)式的电磁场响应关系还可以看到,两种模式的总场信号都由5 个部分的贡献组成.第一项为源的贡献,相当于海水层中扩散电磁场.后边的4项由分母耦合在一起,无法将单个界面的反射或透射分离.这就是用传统上行波和下行波分离方法难于将空气波分离出来的根本原因[17, 18].第二项只体现了海水-空气界面的反射系数,即为经典的空气波影响项.第三项只与两个地层的反射系数相关,代表了有效信号的主部.第四项包括了可分离的两项,包含了空气-海水界面反射与各个地层界面反射的耦合作用.第五项是空气波与海底地层两个界面的反射的耦合贡献,体现了三个界面的反射信号的相互耦合.
事实上,从电磁场响应关系理论分析知道,对于TM 模式,由于RTMair =-1,即接收信号中所有项只与地层界面的反射和透射系数相关.因此,通过电磁波场的模式分解,提取TM 模式的电磁响应,可以有效地消除空气-海水界面的影响.对于TE 模式,由于空气-海水界面的反射RTEair ≠ 1 且随海水电导率和横向空间波数发生变化,对应于给定海水条件下,地层电性参数不同,出现空气波在总场中占优势的临界偏移距也发生变化.在实际资料处理中,由于地层的电性参数未知,无论进行采用何种分解方法,都难于将空气波的影响分离和消除.经典的“空气波"压制方法[4-7]只是近似地考虑了TE 模式电磁信号中第二项的影响,而且,由于分母项多个界面的反射系数的耦合作用,在压制经典空气波同时,也损失了部分有效信息[10].因此,对于TE 模式中海水-空气界面与其它界面的相互作用的影响,只有通过海底地层的“电导率建模",估计空气波占优的临界偏移距,利用空气波影响小的数据进行处理解释.
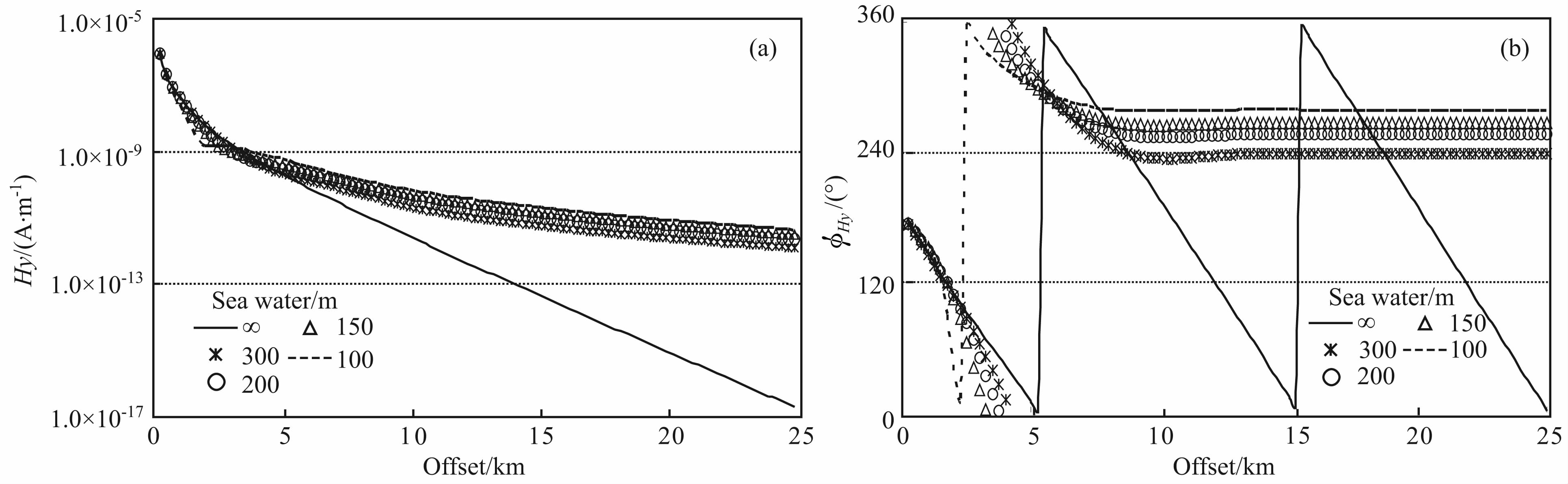
4 一维海底地层的海洋电磁响应的模拟与空气波影响分析在进行CSEM 勘探测量时,HED 源位于测线上方,轴线方向和测线方向平行,接收器沿测线布置,通过测量不同偏移距处电磁场响应的差异来判断海底是否存在油气或水合物等高阻目标.目前大多数实际勘探和研究工作将300 m 作为深海和浅海的分界线,而且,MCSEM 的应用实例也主要限于深海环境油气储层的探测.在浅水域环境下,MCSEM 探测技术的探测能力如何以及水深小到什么程度来自海底高阻地层的电磁场异常会消失,目前定量研究结果不多[19].因此,下边基于上边的模式分解电磁场关系和不同水深的多层介质地电模型,分别考察水深和空气电导率变化对不同电磁场场分量的影响.模拟计算采用的地层模型如图 3b所示.源距海底高度分别为=50m 和25m, 激发频率f=0.1~1Hz, 接收器间隔Δx=250 m, 海水电导率σ0=3.33S/m, 海水层厚度H=30 m~∝.对于无限海水厚度采用图 2 的模型计算,而四层介质采用图 3b的模型来计算,背景介质σ1=0.5S/m, 高阻目标层σ2=0.01S/m, 埋深1000m, 厚度100m.
|
图 3 Hy分量在不同海水深度的磁场幅度(a)和相位响应(b),激发频率为0.25 Hz Fig. 3 Amplitude and phase of Hy component in different sea water depths at excited frequency of0.25 Hz |
尽管上边理论分析采用模式分解的电磁场关系,在实际勘探中接收器记录的电磁场均是两种模式叠加场,为了使数值模拟结果得到的认识能应用于实际电磁测量数据,下边给出的模拟结果均是两种模式的叠加场.图 3(a, b)给出了不同海水深度下磁场Hy分量的幅度和相位模拟结果.图中看到,在半对数刻度图上,无限厚海水层对应的磁场幅度随偏移距增大表现出近似线性衰减的特征,这一特征反映了均匀海底地层中电磁场扩散散射特征.而在100、150、200m 和300 m4 个水深上,幅度曲线在临界偏移距6km 以内与无限厚水深响应特征相似,而在6km 以外幅度曲线斜率出现急剧变化,反映了空气波淹没有效信号的临界位置.相位曲线上,同样在6km 以外,相位变得平坦.同时,我们也注意到,300m 水深与其它3 个水深的响应曲线存在较大的相位差,这就是为什么目前海洋电磁勘探中大多选择300 m 作为深水和浅水的分界标志的原因.
图 4(a, b)给出了电场Ex分量在不同水深时的幅度和相位响应.与磁场Hy分量类似,在半对数刻度图上,无限厚海水时电场幅度随偏移距增大线性降低,而在100、150、200m 和300m4个水深上,幅度曲线在临界偏移距5.0km 以斜率急剧变小的拐点,之后也呈现近线性的衰减趋势.相位曲线上,将无限水深的曲线作为参考画出,同样在近5.0km以外,相位曲线变得平坦,300m 水深的曲线与其它水深的相位响应存在较大差异.
|
图 4 Ex分量在不同海水深度的电场幅度和相位响应,激发频率为0.25 Hz Fig. 4 Amplitude and phase of Ex component in different sea water depths at excited frequency of 0.25 Hz |
图 5(a, b)给出了电场Ez分量在不同海水深度时的幅度和相位响应.图中看到,在半对数刻度图上,无限厚海水时电场幅度随偏移距增大呈线性降减小趋势,其它四个海水深度上也存在类似的变化趋势.相位曲线上,随海水深度变浅也只是出现微弱的相位移.因此,Ez分量受海水深度变浅引起的空气波影响较小,即接收电场的垂直分量可以减弱空气波的影响.但也应当注意,图 6a上除无穷水深外,其它深度上,幅度曲线也是在较小的偏移距上存在幅度曲线斜率的变化,表明即使电场的垂直分量也受到空气波的影响.
|
图 5 Ez分量在不同海水深度时的电场幅度和相位响应,激发频率0.25 Hz Fig. 5 Amplitude and phase of Ez component in different sea water depths at excited frequency of 0.25 Hz |
|
图 6 磁场Hy分量在不同海水深度的幅度和相位响应,激发频率为0.25 Hz, 源距海底高度25m, 接收器置于海底 Fig. 6 Amplitude and phase of Hy component in different sea water depths at excited frequency of 0.25 Hz when the source is 25 m above the sea floor and receivers are at the sea floor |
为了考察更浅水深时电磁场的响应特征,我们进一步考察了源放置于海底上方25 m 处,接收器置于海底,水深在50、70、100m 和120m 时电磁场的响应.Fig. 6(a, b)给出了源距海底25m, 接收器置于海底,磁场Hy分量在水深为50、70、100 m 和120m 四个不同深度时的幅度和相位曲线,激发频率为0.25Hz.图中看到,在这四个水深上,空气波占优的临界偏移距明显变小,在近2.5km 处幅度曲线斜率均出现突变,相位相位曲线在空气波出现的偏移距上发生突变,而且,空气波占主导时相位曲线变得平坦.
图 7(a, b)给出了源距海底高度25 m, 接收器置于海底条件下,电场Ex分量在不同海水深度的幅度和相位响应,激发频率为0.25 Hz.图中显示,四个海水深度上,在临界偏移距5.5km 处幅度曲线斜率均出现突变,相位曲线在空气波出现的偏移距上发生突变,而当空气波占主导时,相位曲线变得平坦.需要注意的是,电场Ex分量出现空气波占优的临界偏移距要大于磁场Hy分量出现空气波占优的临界偏移距,这也是目前海洋电磁勘探中水平分量应用最多的原因之一.
|
图 7 电场Ex分量在不同海水深度的幅度和相位响应,激发频率为0.25 Hz, 源距海底高度25m, 接收器置于海底 Fig. 7 Amplitude and phase of Ex component in different sea water depths at excited frequency of0.25 Hz when the source is 25 m above the sea floor and receivers are at the sea floor |
图 8(a, b)给出了源距海底高度25m, 接收器置于海底条件下,电场Ez分量在不同海水深度的幅度和相位响应,激发频率为0.25 Hz.图中看到,在这4个海水深度上,尽管不同偏移距上,幅度曲线的斜率也存在微小的变化,总体上,幅度曲线随偏移距近似线性衰减,斜率变化不大.这说明,电场Ez分量受空气波影响较小.相位曲线的变化也与无限水深相似,对应不同水深只存在微小的相位移.因此,在浅水域测量电场Ez分量,可以较好地避免空气波的严重影响.实际上,由于受到海水波动和海底洋流等因素的影响,大尺度垂直接收天线的应用至今仍然没有很好解决,这也是未来浅水域海洋电磁勘探硬件设备努力的方向之一.
|
图 8 电场Ez分量在不同海水深度的幅度和相位响应,激发频率为0.25 Hz,源距海底高度25m,接收器置于海底 Fig. 8 Amplitude and phase of Ez component in different sea water depths at excited frequency of0.25 Hz when the source is 25 m above the sea floor and receivers are at the sea floor |
在分析上边的空气波影响的模拟结果时,需要注意两个关键点.第一,在水深小于300m的浅水域,即使在小偏移距上,电磁场的幅度和相位值与无限水深结果存在差异,电磁信号与空气的相互作用在所有偏移距上都有影响,并不限于大于临界偏移距的范围,在小于临界偏移距时,地层有效信号占优而掩盖了空气波的影响.第二,在所有偏移距上,包括空气波开始出现的临界偏移距以外的范围,所测得的电磁信号均与海底地层电性结构相关.尽管幅度曲线近似直线,实际上斜率仍存在微小变化,而相位曲线平坦,其梯度也没有减为零,即实际记录的电磁场相速度仍然是有限的且与海底地层电阻率相关.
4.2 空气电导率变化对不同电磁场分量响应的影响为了定量考察空气波对电磁场的影响程度,我们设计了不同空气电导率的模型,用于考察空气电导率变化对电磁场不同分量的影响.从上边的理论分析知道,TE 模式不存在电场的垂直分量.因此,下边显示的垂直电场结果只是TM 模式的电场垂直分量.从上边的模拟结果可看到,电场垂直分量受空气波影响较小,那么小到何种等级呢?为此,我们将前边计算有限水深响应的模型稍作变化.设空气电导率不为零,而为0.000001S/m, 其它参数不变.图 9(a, b)给出了空气电导率不同时,电场Ez分量在100m 水深的幅度和相位响应曲线,激发频率为0.25 Hz, 源距海底高度25 m, 接收器置于海底.从图 9(a, b)中看到,即使在空气波影响不严重的垂直分量情况下,空气波还是存在的.约为9.0km 处,幅度曲线和相位曲线均与无限水深结果出现较大的分开,表示空气波占优临界点的出现.而在图 10(a, b)的300m 水深情况下,幅度曲线和相位曲线出现分开的临界偏移距较大,约为15.5km.从这一模拟结果知道,即实际探测情况下,垂直分量也是受空气波影响的,只不过与水平电磁场分量相比,程度较小而已,空气波占优出现的临界距离较大,这也是工业界取300m 作为深水与浅水域大致界限的原因.在深水条件下,通常临界偏移距会大于测线长度,而在记录的剖面上没有明显的表现而已.在浅水域测量,由于空气波占优出现的临界偏移距明显变短,即使垂直电场分量数据的处理,为了得到良好的地下电阻率分布结果,也需要考虑空气波压制.
|
图 9 海水电导率不同时,电场Ez分量在100m 海水深度的幅度和相位响应,激发频率为0.25 Hz,源距海底高度25m,接收器置于海底 Fig. 9 Amplitude and phase of Ez component in different air resistivities and 100 sea water depth at excited frequency of 0.25 Hz when the source is 25 m above the sea floor and receivers are at the sea floor |
|
图 10 海水电导率不同时,电场Ez分量在300m 海水深度的幅度和相位响应,激发频率为0.25 Hz, 源距海底高度25m, 接收器置于海底 Fig. 10 Amplitude and phase of Ez component in different air resistivities and 300 m sea water depth at excited frequency of 0.25 Hz when the source is 25 m above the sea floor and receivers are at the sea floor |
基于电磁场的模式分解理论和一维水平层状模型,导出了海洋电磁勘探中横电和横磁两种响应模式的电磁位和电磁场关系式.从电磁场关系的理论分析和数值模拟结果得到如下认识:
第一,基于TE 和TM 电磁波场模式分解关系的分析知道,空气波是非常复杂的电磁散射现象,它是电磁波在空气层、海水层和海底地层的相互耦合作用下产生的散射波场,与海底地层高度耦合,前人提出的上行波和下行波分离的方法也难于较好地分离空气波信号;
第二,仿照地震波传播模式,将空气波视为沿空气-海水界面传播的简单信号,将难于正确描述以散射为主的海洋电磁勘探中的空气波影响.经典的“空气波"只是电磁波在空气层、海水层和海底地层的相互耦合作用下产生的散射波场的一部分贡献,即使这一部分空气波在压制过程中也损失了有效信号;
第三,由电偶极子源激发产生的电磁波与海水-空气界面作用时,在TM 和TE 两种模式上表现出较大差异.电磁场的垂直分量只有横磁模式的贡献,受空气波影响较小,空气波占优出现的临界偏移距较大,测量垂直电场分量将有利于减弱空气波的影响;
第四,根据空气波在TM 和TE 两种模式上表现出的差异,通过仔细的勘探设计和处理解释的模型正演结果,可以利用不同分量的适当组合,压制空气波的影响.同时,由于空气波与地层的相互耦合作用,压制的空气波中也含有部分地层电阻率信息,通过适当的分离方法,空气波自身所包含的地层信息可以得到利用;
第五,在有限水深时,由于TM 模式分量比TE模式分量受空气波的影响较小,因此,通过分离电磁场信号中的TM 分量可减小空气相互作用的影响.
6 附录A:多层介质中TM 和TE 模式的电磁位函数 6.1 TM和TE模式电磁位函数通解和各层介质中的形式解对于N层介质,图 2a 所示,设空气层为介质air, 海水层为介质0,地层为介质i=1,2,…,N,则水平电偶极子在均匀海水层中发射产生的TM 模式的电磁位在空间波数域的通解分别为
|
(A1) |
在空气、海水和海底以下各层介质中,TM 模式电磁位的形式解为
|
(A2) |
|
(A3) |
|
(A4) |
|
(A5) |
其中,AaU,A0U ,A0D ,AiU,AiD(i=1,2,…,N),A(N+1)D 分别是空气、海水层和海底地层中TM 模式波的上行、下行波反射和透射系数.
同理对TE 模式,空气、海水和海底各地层的位函数有:
|
(A6) |
|
(A7) |
|
(A8) |
|
(A9) |
其中,FaU,F0U ,F0D ,FiU,FiD(i=1,2,…,N),FD(N+1)分别是空气、海水层和海底地层中TE 模式波的上行、下行波反射和透射系数.
6.2 TM模式电磁位传播系数的确定由电场和磁场在空气-海水、海水和海底地层个交界面上切向分量的连续性,TM 模式频率波数域电磁位函数满足如下边界条件:
|
(A10) |
式中,i=air, 0,1,2,…,N-1.
从最底层半空间开始,直到海水与空气的界面相关的各层的电磁位关系代入(A10),且令

|
(A11) |
同样,由电场和磁场在空气-海水、海水和海底地层个交界面上切向分量的连续性,TE 模式电磁位函数满足如下边界条件:
|
(A12) |
式中,i=air, 0,1,2,…,N-1.
从最底层半空间开始,直到海水与空气的界面相关的各层的电磁位关系代入(A12)式,且令z⌒i=iωμ,

|
(A13) |
将(A11)和(A13)代入(A3)和(A7)关系式得到直角坐标下的电磁位函数为
|
(A14) |
其中,
|
(A15) |
对应的柱坐标下电磁位的关系式:
|
(A16) |
|
(A17) |
在柱坐标系下,由电磁位函数代入(3)和(4)式的柱坐标关系,得到两种模式电磁场计算关系:
|
(A18) |
|
(A19) |
|
(A20) |
|
(A21) |
由附录A 中的关系(A1)—(A5)的通解知道,空气介质air、海水层介质0、地层介质1和介质2中TM和TE 模式的电磁位在空间波数域的形式解为
|
(B1) |
|
(B2) |
|
(B3) |
|
(B4) |
|
(B5) |
|
(B6) |
|
(B7) |
|
(B8) |
其中,RTMairu、RTM0u 、RTM0d 、RTM1u 、RTM1d 和RTM2d 分别是TM 模式的电磁场在介质air、介质0、介质1和介质2之间界面的上行和下行传播系数;RTEairu、RTE0u 、RTE0d 、RTE1u 、RTE1d 、RTE2d 分别是TE 模式的电磁场在介质air、介质0、介质1和介质2之间界面的上行和下行传播系数.
7.2 TM和TE模式电磁位传播系数的确定由电场和磁场在空气air-海水0、海水0和地层1、地层1和地层2三个交界面上电磁场的连续性知道,由交界面条件(A10),得到海水层中TM 模式的反射和透射系数为
|
(B9) |
其中,
将海水层中的传播系数代入其位函数(B2)并整理有:
|
(B10) |
注意到,在TM 模式位函数中,右边第一项为源项,分母是三个界面传播系数的耦合,分子第一项表示经典的空气波,第二项表示两个地层的传播作用,分子第三项表示空气与两个地层的耦合作用,分子的第四项表示三个界面的耦合作用.因此,只是利用上行波和下行波的分离只可能将分子第一项的空气作用压制,且由于空气与有效波的耦合作用,也将损失部分有效信号.
由(A12)的交界面条件,结合四层模型的三个界面,得到海水层中TE 模式的反射和透射系数为
|
(B11) |
其中 .
将海水层中的传播系数代入其位函数并整理有:
|
(B12) |
空间域电磁位函数可以得到柱坐标下的形式为
|
(B13) |
|
(B14) |
| [1] | Young P, Cox C. Electromagnetic active source sounding near the East Pacific Rise. Geophysical Research Letters , 1981, 8(10): 1043-1046. DOI:10.1029/GL008i010p01043 |
| [2] | Ellingsrud S T, Eidesmo S, Johansen M, et al. Remote sensing of hydrocarbon layers by seabed logging (SBL): Results from a cruise offshore Angola. The Leading Edge , 2002, 21(10): 972-982. DOI:10.1190/1.1518433 |
| [3] | Johansen S H, Amundsen T, R? sten S, et al. Subsurface hydrocarbons detected by electromagnetic sounding. FirstBreak , 2005, 23(1): 31-36. |
| [4] | AmundsenLL, LosethR, Mittet S, et al. Decomposition of electromagnetic fields into upgoing and downgoing components. Geophysics , 2006, 71(5): G211-G212. DOI:10.1190/1.2245468 |
| [5] | Constable S C, Weiss C. Mapping thin resistors and hydrocarbons with marine EM methods: Insights from ID modeling. Geophysics , 2006, 71(2): G43-G51. DOI:10.1190/1.2187748 |
| [6] | Constable S, SrnkaLJ. An induction to marine controlled-source electromagentic methods for hydrocarbon exploration. Geophysics , 2007, 72(2): WA3-WA12. DOI:10.1190/1.2432483 |
| [7] | Ziolkowski A G, Hall D, Wright R, et al. Shallow marine test of MTEM Method. 76th Annual International Meeting, SEG,Expanded Abstracts , 2006: 729-734. |
| [8] | Chave A, Cox C S. Controlled electromagnetic sources for measuring electrical conductivity beneath the oceans. Journal of Geophysical Research , 1982, 87(B7): 5327-5338. DOI:10.1029/JB087iB07p05327 |
| [9] | Um E, Alumbaugh D. On the physics of the marine controlled source electromagnetic method. Geophysics , 2007, 72(2): WA13-WA26. DOI:10.1190/1.2432482 |
| [10] | Andreis D, MacGregor L. Controlled-source electromagnetic sounding in shallow water : Principles and applications. Geophysics , 2008, 73(1): F21-F32. DOI:10.1190/1.2815721 |
| [11] | 刘长胜, EveetM E, 林君, 等. 海底电性源频率域CSEM勘 探建模及水深影响分析. 地球物理学报 , 2010, 53(8): 1940–1952. |
| [12] | Ward S II, Ilohmann GW. Electromagnetic theory for geophysical applications: Electromagnetic Methods in Applied Geophysics. Soc. ExpLor. Geophys , 1998: 131-311. |
| [13] | Edwards R N. Marine controlled source electromagnetic: Principles, methodologies, future commercial applications. Surveys inGeophysics , 2005, 36(2): 675-700. |
| [14] | Stoyer C II, Greenfield R J. Numerical solutions of the response of a two-dimensional earth to an oscillating magnetic dipole source. Geophysics , 1976, 41(2): 519-530. |
| [15] | Lee K II, Morrison II F. A numerical solution for the electromagnetic scattering,by a two-dimensional inhomogeneity. Geophysics , 1985, 50(2): 466-472. |
| [16] | Lu X,Srnka L,Carazzone J. Method for removing air wave effect from offshore frequency domain controlled-source electromagnetic data: Technical Report PCT Publication: WO2005/010560,Patent Ofice,2005. http://www.freepatentsonline.com/EP1636613.pdf |
| [17] | Srnka L, Carazzone J, Ephron M. Remote reservoir resistivity mapping. The LeadingEdge , 2006. |
| [18] | Greer A, MacGregor L M, Weave R. Remoting mapping of hydrocarbon extent using marine active source EM sounding. 65th EAGE Annual Conference and Exhibition , 2003. |
| [19] | 陈桂波, 汪宏年, 姚敬金, 等. 各向异性海底地层海洋可控源 电磁响应三维积分方程法数值模拟. 物理学报 , 2009, 58(6). Chen G P, Wang II N, Yao J J, et al. Three dimensional numerical modeling of marine controlled source electromagnetic responses in a layered anisotropic sea bed using integral equation method. Ada Physica Sinica (in Chinese) (in Chinese) , 2009, 58(6). |
2012, Vol. 55
