2. 中国科学院测量与地球物理研究所大地测量与地球动力学国家重点实验室, 武汉 430077;
3. 加州理工学院地震实验室, CA 91125, USA
2. CAS key laboratory of Geodynamical Geodesy, Institute of Geodesy and Geophysics, Wuhan 430077, China;
3. Seismological Laboratory, California Institute of Technology, Pasadena, CA 91125, USA
准确确定地震的水平位置与深度、震级、机制解等描述震源物理性质的基本参数一直是地震学的核心研究内容.其中,震源机制解能反映岩石圈的应力状态,可以为研究区域构造应力提供有力的约束.震源深度能反映震源区岩石的强度特性,有助于探索断层破裂时的力学机制,同时也是研究强地面运动的关键参数之一.对于中等强度(M5.5~6.5)地震,由于其释放能量较大,往往能在震源及其周边地区造成一定规模的破坏,如何快速准确地确定此类型地震的机制解与深度,不仅是地震学的重要研究内容,也是抗震救灾的基础.
由于对各个规模地震的研究需要各有所侧重,随着地震学的发展提出了不同复杂程度的震源运动学模型,包括最简单的各向同性点源(Isotropic Point Source,IPS)模型,矩心矩张量(Centroid Moment Tensor,CMT)模型,有限矩张量(Finite Moment Tensor,FMT)模型,及参数最为复杂的有限破裂模型(finite fault)[1].对中等强度地震而言,CMT 和FMT 比较适合用于描述震源.虽然CMT 模型不能确切提供如断层破裂传播方向等重要信息,但它参数较少(10个:6个矩张量分量,3个空间位置参数,1个时间参数),对于大多数天然地震,更可简化为双力偶模型,参数数降低到8个,因此该近似下的震源参数反演,简洁、快速,结果直观反映地震破裂的几何特征和运动学特征,被广泛应用于多种地震学课题的研究[2-4].
双力偶模型下,震源机制解的几何特征被简化为三个参数:走向、倾角、滑移角,反映了断层的几何特征及运动方向,揭示了断层附近的区域应力状态. 早期研究震源机制大多采用P 波初动极性划分断层面[5-7],但是其受限于台站分布密度及方位角覆盖等要求,国内外学者提出了大量利用地震波形上的其他丰富信息来反演震源机制的方法,并积累了许多经验,如体波振幅及振幅比[8-9],包含高频体波波形反演在内的近震全波场反演[10-12],全球长周期面波,体波反演[13-14],以及Wphase[15]等.目前,波形反演已成为中等及以上规模地震机制解反演中的主要手段.Zhao与Helmberger[16]提出的CAP(Cut and Paste)是其中具有一定代表性的方法.
另一个重要的震源参数---地震空间位置的确定,通常基于体波到时反演[17],以及由此发展出的各种联合定位法[18],相对定位法等[19],Zhan 等[20-21] 发展了基于背景噪声和地震面波地震定位方法,在一定条件下可使地震的质心水平位置精度达到2km.对于震源深度而言,采用到时计算得到的精度往往不如水平位置理想,因此利用对深度更为敏感的深度震相确定深度成为地震学所关注的领域. 对于小规模地震,可以采用近震深度震相,如sPL,sPg,sPm P,sPn 等确定震源深度[22-27].而对于中等以上强度规模地震,由于其可在全球地震台台网上观测到,可以利用远震深度震相,如Engdahl等利用多种深度震相:pP,pwP,sP对大量远震进行了重新定位,大大提高了深度定位的精度[28].另外,确定远震深度的方法还有基于地球简振模式理论的面波谱法,利用Rayleigh波振幅谱,从而确定深度[14, 29-30].
然而,以上各种研究震源参数的方法往往只采用震源周边的近台,或全球台网上的远台数据,对于本文研究的中等强度地震(M5.5~6.5),其波形不仅能被近处台站所记录,在全球范围内的台站上也能观测到信噪比较高的波形,在这种条件下,充分利用这些数据联合求解震源参数是自然的想法.而且,中等强度地震发生频率远高于较大地震(>M7),分布区域更为广泛,常有发生在台站稀疏地区的情况,此时,远震数据所提供的信息可以有效补充有限的近台记录.
北京时间2010年3月4日08时18分,位于台湾省高雄县(现高雄市)甲仙地震站东东南向17.0 km 处发生了一起里氏震级M6.4地震,为高雄地区百年以来最强的一次,造成少量人员受伤以及部分建筑物损毁[31].这次地震发生于宽频带地震台分布相对稠密地区,可以得到较可靠的震源机制解,这为研究近距离台站数对震源参数反演的影响提供了良好条件.本文通过处理当地台网和远震台站记录波形,各自反演得到震源参数,并利用Bootstrap统计方法,验证近远震联合反演对台站稀疏地区地震的必要性.
2 研究方法本文关心的震源参数包含两个部分:震源机制解与震源深度.发震时刻与地震水平位置分别采用IRIS 与台湾宽频地震台网(Broadband Arrayin Taiwan for Seismology,BATS)所给出的结果.使用CAP方法以网格搜索的方式对波形进行反演,来获取震源机制解、深度及矩震级[16].该方法将宽频带近震波形记录分为体波(包含P 波及其部分后续波形,称为Pnl波)和面波部分,分别计算合成波形与记录波形的的误差函数,在相关参数空间进行搜索,得到最小误差的最优解.
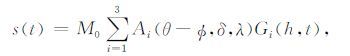
将地震震源简化为双力偶点源,自由表面的理论地震图可以用三种基本断层对应的格林函数加权线性组合来表示,根据弹性波理论得其产生的理论地震位移为
|
(1) |
其中,i=1,2,3 分别对应三种地震断层模型:垂直走滑断层(vertical strike-slip),垂直倾滑断层(vertical dip-slip),以及45°倾滑断层(45°dip-slip),Gi为格林函数,Ai为辐射系数,θ为台站方位角,Φ,δ,λ 分别为震源机制解的三个参量:走向,倾角,滑移角,M0 为地震矩[32].
对于近震波形反演,我们采用频率-波数方法(FK)计算格林函数[33],然后在参数空间中,定义合成波形与实际波形间的误差函数,并进行网格搜索得到最佳机制解、深度以及矩震级.
经实际计算表明,CAP方法在采用近震波形反演震源参数上具有如下优点:
(1) 同时使用了波形中的体波与面波信息,约束更为全面;
(2) 将体波和面波分别采取不同权重,解决了面波在反演中所占权重过大的问题;
(3) 在反演过程中,允许体波和面波有不同的时间平移,一定程度上降低了速度模型不准确引起的误差;
(4) Pnl中的sPm P(或者sPg),sPn等深度震相本身就可以很好地约束地震深度,另一方面,由于体波和面波振幅对震源深度敏感性的差异,Pnl波与面波之间的相对强度也可以对深度提供有力的约束;
(5) 引入震中距影响因子,考虑地震波随距离衰减对波形的改造作用,避免反演结果主要受近台波形影响.
为了利用远震数据同时参与反演,改进了CAP 程序.为计算在远震距离(大圆弧路径30°至90°)上的格林函数,对水平层状的地壳速度模型使用传播矩阵方法计算理论地震图,用几何扩散和与距离相关的衰减来模拟地震波在地幔中的传播效应,计算程序tel3修改自Kikuchi and Kanamori[34].本文只采用远震体波中P波的垂向分量(Z分量)以及SH 波的切向分量(T分量)进行反演,这是因为:(1) 远震P波的水平分量容易受到台站下方地壳结构的影响[35];(2) 远震SV 波由于sPL 震相的干扰,波形非常复杂,易受震源区和台站下方结构影响[36].首先通过IASP91 模型预测的理论到时标定P 和SH 波,进行人工修订后再截取两个体波时间窗记录,利用远震格林函数对P 波Z分量以及SH 波T分量同时进行反演,把只利用远震体波数据反演的算法称为CAPtele算法,而把近震和远震数据结合起来的算法称为CAPjoint方法.CAPjoint方法的具体方案为将近震与远震波形同时进行反演,通过给予震中距相关的近远震权重比计算合适的误差函数,来避免反演结果受近震波形振幅过大引起的偏差. 在本文中,近震Pnl波与面波部分的权重比以及远震中P波与SH 波的最佳权重比wP/wS 均由满足等式(2) 时给出:
|
(2) |
P代表Pnl或P波,S 代表面波部分或SH 波,n为采用的波形数量,rms为该类台站理论与实际波形窗口在互相关平移后的L2范数之和.等式(2) 是基于使两种波形的误差进行“均分",尽量使两者在反演中所占的权重相同的思想.同样的,在近震与远震联合反演中,可将P与S分别替换为近震波形与远震波形,来达到类似的目的.
3 数据与结果讨论 3.1 近震与远震波形数据处理本文近震波形取自台湾宽频地震台网(BATS),远震波形则取自IRIS 网站(www.iris.edu).台站分布见图 1.
|
图 1 震中与台站分布示意图 五角星代表震中,三角形分别指示近震(小图)与远震台站. Fig. 1 Epicenter location and station distribution.Star represents the epicenter, while triangles indicate the local and teleseismic stations. |
首先将原始波形数据去除仪器响应,再旋转至大圆弧路径三分量.对于近震数据,利用FK 程序计算格林函数,分别反演垂直向和径向的Pnl波与三分量的面波,通过波形互相关获取时移来对齐波形. 在反演过程中,将Pnl波与面波各自带通滤波,Pnl 波带通范围为0.02~0.16 Hz,面波则为0.02~ 0.1Hz,这样可以尽量减少背景噪声对波形的干扰,亦能压制地下小尺度结构散射所造成的影响.远震距离台站的格林函数采用tel3 计算,P 波滤波频带为0.02~0.16Hz,SH 波则为0.02~0.1Hz.
在采用Intel Xeon2.40GHz CPU 的LINUX i686工作站下,计算10个深度下20个台站格林函数所需的时间分别为:近台90~120s,远台50~56s.
3.2 波形反演结果计算格林函数的速度结构均取自Crust2.0 模型[37],对于远震格林函数,震源处的速度结构从Crust2.0模型读取,地幔模型采用PREM[38],由于CAP方法对台站处地壳速度结构的精确性要求不高,故在台站处也选用震源处地壳结构.基于类似的理由,对于近震格林函数,在震源和台站处也均采用震源处的速度结构.对于远震波形的非弹性衰减,我们对P波和SH 波分别选取1s及5s的t*.对于近震波形,由于发震区域没有明显低速的沉积层,分别赋予Qp 与Qs值1000 和500.震源处的模型见表 1,共分为5层.
|
|
表 1 震源地区地壳结构分层模型 Table 1 Layered crustal velocity model for epicenter region |
经过全局搜索,近震数据反演获得的最佳双力偶机制解为:节面1:321°/34°/58°,节面2:178°/ 61°/110°,深度为20km.远震数据反演获得的最佳双力偶机制解为:节面1:313°/33°/47°,节面2: 181°/66°/114°,深度为24km.联合反演获得的最佳双力偶机制解为:节面1:317°/36°/52°,节面2: 181°/62°/114°,深度为21km,矩震级为Mw 6.17.具体参数见表 2.
|
|
表 2 本文所得的震源参数结果及与其他机构结果对比 Table 2 Source parameters derived from this research and other agencies |
近震与远震反演的结果存在一定的差异,可能是由以下几点原因造成的:远震波形记录对震源深度的分辨主要依赖sP,p P 等自由表面反射震相,这与近震波形对深度分辨的原理不同.而本事件强度规模的地震的持续时间根据地震标度率估算通常为4~10s不等[39],本文采取的6s仅为根据波形模拟得到的估算值,而GCMT 给出的持续时间为6.6s,使用偏离真实值的持续时间有可能对近震和远震波形有不同的影响.而且对于逆冲型地震,破裂方向有可能沿着倾角方向[40],因此远震和近震波形观测到的震源破裂过程有可能不同.前文提到远震波形反演时可对中等强度地震震源进行点源近似,应仍与实际的有限破裂过程有所偏差,但本文通过采用相对低频(>6s)的带通滤波,应能有效压制其造成的影响.浅层未知低速结构对波形的放大作用,也可能是导致深度及地震矩反演结果偏差的原因之一.另外,不同震中距射线在震源球上采样范围的不同,会导致近震与远震数据对震源机制解参数有不同的敏感度,这一点将在下文中进一步讨论.
3.3 Bootstrap方法对近震台站进行重抽样计算由于经济、科技、人口等多方面的原因,能够稳定持久地提供高质量数据的宽频带台站在全球大陆上分布并不均衡.在美国加利福尼亚、日本、中国台湾等地区,台站分布密集,数字化程度高,地震发生后可在第一时间得到大量高质量数据,可为快速反演震源参数乃至进一步研究提供便利.然而在世界上很多地区发生的地震,往往在300km 范围内仅有2到3个可观测台站,因此,如果可以进一步结合震中距在30°~90°范围内大量的远震台站数据,可以很好地提高反演震源参数精度.
对于近震范围内仅有1个台站的情况,前人也做出了研究,比如由Fanand Wallace[41]提出的单台波形反演法.然而该方法在研究1994年的一次南非地震中出现了争议[42-43],说明仅仅依靠单个台站的震源参数反演仍然存在缺陷.以高雄地震为例,我们用CAP方法对单个近台反演进行了测试,亦发现所得的震源参数很不稳定.这表明,在近台数量有限的情况下,难以仅采用这些数据来获取准确的震源参数.除此之外,如何评估震源参数结果的质量也是一个重要的课题.由于震源参数所得的结果在参数空间中分布并无统一的判别标准,在前人所做的研究中,往往是通过敏感性测试,波形比对等定性方法,来说明反演所得参数的可靠性[44],然而对于同一个地震,往往有不同研究学者获得的结果有较大差别,并都能自证可靠的情况出现,这说明了不同方法对震源参数的约束程度不尽然相同,导致结果质量评估的困难.
|
图 2 高雄地震CAP联合反演结果(A)以及实际波形(B)与合成波形之对比(C) 近台Pnl波与远台P波采用0.02 Hz至0.16 Hz带通滤波,而近台面波与远台SH波滤波范围则为0.02至0.1Hz.粗灰线代表合成地震图,细黑波形代表观测波形.波形下的两列数字分别代表获得理论和观测波形间最大相关系数所需要的时移(上)以及最大相关系数百分比(下),平移时间为正代表合成图的到时早于实际数据,台站名下方数字分别表示震中距和方位角. Fig. 2 CAPjoint modeling for Kaohsiung Earthquake Local Pnl and teleseismic P waveforms are filtered between 0.02〜0.16 Hz,while local surface waves and teleseismic SH waveforms are filtered between 0.02 to 0.1 Hz,with black thin lines as data and gray thick lines as synthetic.Numbers under the seismograms are time shifts (upper) and cross-correlation coefficient in percent (lower).Positive time shifts indicate that synthetic waveforms have been delayed. |
这里就出现了统计学上曾经遇到的一个难题: 对于一个统计量,我们常常不仅关心它的估计值,同时也关心这个估计量的质量,这样的性质通常可以用与标准值的偏差或者方差来反映.然而,如果只有一批样本,只能计算出一个值,那么怎样计算这个估计量的方差呢?
Bootstrap方法从某种程度上解决了这个难题,它是由Efron 基于重抽样思想提出的一种统计方法[45],基本思想可以简单表述为:设有一组随机变量,为了估计该样本组的总体参数,从样本组中随机抽样,得到一个新子样本,对这个子样本计算所求参数,该过程可重复多次,得到多个参数,从而使得对该参数的统计评估成为可能.该方法被多次应用在Q值,速度结构反演结果的评估上[46-47],主要用于评估反演结果的稳定性.
|
图 3 反演误差随深度变化图 震源球上的数字为反演所得的矩震级. Fig. 3 Inversion misfit versus focal depth Number above the beach ball is corresponding Mw |
本文通过引入Bootstrap 方法,试图验证联合反演相对于近震波形反演的进一步改进作用,尤其是近台记录有限的情况下,联合反演对反演结果的稳定性有显著提高.
首先对近台数据进行测试,重抽样的样本数设为2台和3台,采样次数各为150次,对每次采样到的台站进行波形反演,得到震源参数分布,在此基础上,分别加上远台波形记录,进行联合反演,得到震源参数分布(图 4).可看出在增加远震波形进行联合反演之后,震源参数的分布出现了不同程度的改善.尤以三近台加上远台之后的改进效果更为明显. 在走向、倾角、滑移角、深度四个震源参数中,以倾角的聚集效果最为明显,而深度的改善作用相对不明显.
|
图 4 Bootstrap法对台站进行重抽样后得到的震源参数分布直方图 (A)上方为双近台测试结果,下方为双近台与远台联合反演结果;(B)上方为三近台测试结果,下方为三近台与远台联合反演结果. Fig. 4 Source parameters distribution histograms with Bootstrap method (A) Figures of top row show the results derived from two local stations test,while bottom row shows the results of joint inversion with two local stations and teleseismic data; (B) Results derived from three local stations. |
近远震联合反演必要性的一个有力依据就是: 近震和远震射线在震源球上的采样分布并不相同. 远震射线往往收拢于震源球的中心地带,而近震台站,尤其是Pg首到波射线在震源球上的投影,往往分布在震源球的边缘地带.因此,联合反演可以有效地增加在震源球上的采样区域.事实上,在震源球采样区域的差别导致了近震和远震数据对震源参数反演的敏感度差异,在一些极端机制解下尤为明显.选用三种典型震源机制(纯走滑,倾角45°逆冲以及倾角5°逆冲型震源,走向分别为45°,45°,135°)替代高雄地震的实际机制,用以生成在近震和远震台站上的理论地震图,然后以这些理论地震数据作为输入,分别反演震源机制解,来测试这三种情况下近震和远震数据对反演震源参数的约束效果.
结果如图 5显示,我们选取相同色标分别显示在近台与远台波形反演过程后的误差分布,灰度越高代表误差值越小,白色表示超出预先设定的最大误差值,在同一坐标轴方向上灰度区域越窄,代表该方向上的敏感度越高.在纯走滑机制解下,远震数据对走向与倾角均较近震数据有更佳的约束作用,这是由于近震数据离源角较大,更靠近震源球边缘,在台站数相同的情况下,较靠近中心的远震台站,其分布就显得较为离散,影响了其对机制解参数的约束作用.然而,在45°纯倾滑机制解下,虽然远震数据在倾角上的约束作用仍然有优势,但由于其分布过于集中在震源球中心附近,采样的是同样极性的区域,导致在走向上几乎完全失去了分辨率.这表明,远震体波数据本身在震源球上采样的先天劣势,使其不能在参数反演中完全取代近震数据的地位.而对于倾角5°的逆冲型地震,震源球的象限更接近于对半分开,此时,由于远震采样更靠近中心,其对走向及倾角的约束则更胜于近震数据,而近震数据处在震源球边缘,当其分布距离象限分界线较远时,往往反演结果的稳定性会较远震来的较差.
|
图 5 三种特殊机制解下对不同震中距反演台站数据的震源参数(走向、倾角),滑移角则均固定为输入值约束效果测试. Fig. 5 Binding effect of strike and slip for stations with different epicentral distance under three special mechanisms: pure strike-slip,45 degrees dip-slip,5 degrees dip-slip,rake angles were all fixed at the input value. |
本文利用近震与远震宽频带地震仪记录数据,采用CAP,CAPtele,CAPjoint方法分别反演得到2010年高雄地震的震源机制解与震源深度,其中联合反演方法所得到的最佳双力偶机制解为:节面1: 走向317°,倾角36°,滑移角52°,节面2:走向181°,倾角62°,滑移角114°,深度为21km.为当地常见的逆冲型地震,并带有部分左旋分量.两个节面中,南北走向节面的倾角较大(本文结果均高于60°),故说明对不同震中距反演以另一西北-东南走向节面为实际破裂面的可能性更大.为确定这个结果,需要对余震序列做进一步分析.
为了验证近远震联合反演对反演结果质量的提高作用,本文采用Bootstrap统计方法,分别在2个近台与3个近台条件下对近震单独反演与联合反演结果进行统计,表明近远震联合反演方法对稀疏近台条件下的中等强度地震震源参数反演有较大的改进作用,尤以倾角的改善最为明显.再通过对典型机制解条件下的震源参数敏感性测试,发现近远震数据在不同机制解下各自对不同震源参数有相对更好的约束作用,证明了近远震联合反演在未来中等强度地震的震源参数快速确定上有其必要性.
用于描述不同规模地震的震源参数各有差异,通常人们将其分为两类模型:点源模型与非点源模型.点源模型适用于中小地震,根据震源类型的不同可再细分为单力偶震源以及双力偶震源,亦可采用中心矩张量(CMT)来描述.针对这种规模地震的特点,Chen等[1]提出了有限破裂矩张量(FMT)的概念,即在CMT 的基础上增加断层破裂区长度,宽度,破裂速度及其方向矢量等参数.而对于震级大于7级的地震而言,其破裂长度往往可达到几十千米乃至上千千米,在这种规模的破裂尺寸下,采用点源模型或FMT 已经不适合用于描述震源的真实情况,故对强地震震源通常采用非点源模型,主要为有限破裂模型(finite fault model).对于中等强度地震,将震源简化为一个双力偶模型下的中心矩张量,能大幅减少震源参数空间的复杂度,有助于快速反演得出结果.然而,CMT 在描述中等以上强度地震震源时,有其本身固有的缺点:它无法确定实际破裂发生在哪个共轭面上,也无法给出断层的破裂传播方向和速度.而有限破裂模型参数较为复杂,对于中等强度地震往往显得较为冗余,在CMT 模型基础上发展出的FMT 模型能提供震源运动学的进一步细节,是未来中等强度震源参数研究的重要方向.
致谢IRISDMC 提供了地震波形数据.图件用GMT 软件包绘制.
| [1] | Chen P, Jordan T H, Zhao L. Finite-Moment Tensor of the 3 September 2002 Yorba Linda Earthquake. Bull. Seism. Soc. Amer. , 2005, 95(3): 1170-1180. DOI:10.1785/0120040094 |
| [2] | Wallace T, Helmberger D. Determining source parameters of moderate-size earthquakes from regional waveforms. Phys. Earth Planet. Inter. , 1982, 30(2-3): 185-196. DOI:10.1016/0031-9201(82)90106-6 |
| [3] | 许忠淮, 汪素云, 黄雨蕊, 等. 由大量的地震资料推断的我国大陆构造应力场. 地球物理学报 , 1989, 32(6): 636–647. Xu Z H, Wang S Y, Huang Y R, et al. The tectonic stress field of Chinese continent deduced from a great number of earthquakes. Chinese J. Geophys. (in Chinese) (in Chinese) , 1989, 32(6): 636-647. |
| [4] | 郑勇, 马宏生, 吕坚, 等. 汶川地震强余震 (Ms≥5. 6) 的震源机制解及其与发震构造的关系. 中国科学 (D 辑) , 2009, 53(1): 54–63. Zheng Y, Ma H S, Lü J, et al. Relations between source mechanisms and seismogenic structures of Wenchuan earthquake's strong aftershocks. Sci. China Ser. D-Earth Sci., (in Chinese) (in Chinese) , 2009, 53(1): 54-63. |
| [5] | Nakano H. Notes on the nature of the forces which give rise to the earthquake motions. Seismol. Bull. Centr. Meteorol. Obs. Japan , 1923, 1: 92. |
| [6] | Hardebeck J L, Shearer P M. A new method for determining firstmotion focal mechanisms. Bull. Seism. Soc. Amer. , 2002, 92(6): 2264-2276. DOI:10.1785/0120010200 |
| [7] | 胡幸平, 俞春泉, 陶开, 等. 利用P波初动资料求解汶川地震及其强余震震源机制解. 地球物理学报 , 2008, 51(6): 1711–1718. Hu X P, Yu C Q, Tao K, et al. Focal mechanism solutions of Wenchuan earthquake and its strong aftershocks obtained from initial P wave polarity analysis. Chinese J. Geophys. (in Chinese) (in Chinese) , 2008, 51(6): 1711-1718. |
| [8] | Hardebeck J L, Shearer P M. Using S/P amplitude ratios to constrain the focal mechanisms of small earthquakes. Bull. Seism. Soc. Amer. , 2003, 93(6): 2434-2444. DOI:10.1785/0120020236 |
| [9] | Julian B R, Foulger G R. Earthquake mechanisms from linear-programming inversion of seismic-wave amplitude. Bull. Seism. Soc. Amer. , 1996, 86(4): 972-980. |
| [10] | Dreger D, Helmberger D. Determination of source parameters at regional distances with three-component sparse network data. J. Geophys. Res , 1993, 98(B5): 8107-8125. DOI:10.1029/93JB00023 |
| [11] | 吴建平, 明跃红, 张恒荣, 等. 2002年夏季长白山天池火山区的地震活动研究. 地球物理学报 , 2005, 48(3): 621–628. Wu J P, Ming Y H, Zhang H R, et al. Seismic activity at the Changbaishan Tianchi volcano in the summer of 2002. Chinese J. Geophys. (in Chinese) (in Chinese) , 2005, 48(3): 621-628. |
| [12] | Nábělek J, Xia G. Moment-tensor analysis using regional data: Application to the 25 March, Scotts Mills, Oregon, Earthquake. Geophys. Res. Lett. , 1993, 22(1): 13-16. |
| [13] | Dziewonski A M, Chou T A, Woodhouse J H. Determination of earthquake source parameters from waveform data for studies of global and regional seismicity. J. Geophys. Res. , 1981, 86(B4): 2825-2852. DOI:10.1029/JB086iB04p02825 |
| [14] | Kanamori H, Given J W. Use of long-period surface waves for rapid determination of earthquake-source parameters. Phys. Earth Planet. Inter. , 1981, 27(1): 8-31. DOI:10.1016/0031-9201(81)90083-2 |
| [15] | Kanamori H, Rivera L. Source inversion of W phase: speeding up seismic tsunami warning. Geophys. J. Int. , 2008, 175(1): 222-238. DOI:10.1111/gji.2008.175.issue-1 |
| [16] | Zhao L S, Helmberger D. Source estimation from broadband regional seismograms. Bull. Seism. Soc. Amer. , 1994, 84: 91-104. |
| [17] | Geiger L. Probability method for the determination of earthquake epicenters from the arrival time only. Bull. St. Louis Univ. , 1912, 8: 60-71. |
| [18] | Douglas A. Joint epicenter determination. Nature , 1967, 215(5096): 47-48. DOI:10.1038/215047a0 |
| [19] | Spence W. Relative epicenter determination using P-wave arrival-time differences. Bull. Seism. Soc. Am. , 1980, 70(1): 171-183. |
| [20] | Zhan Z, Wei S, Ni S, et al. Earthquake centroid locations using calibration from ambient seismic noise. Bull. Seisml. Soc. Am. , 2011, 101(3): 1438-1445. DOI:10.1785/0120100118 |
| [21] | Xie J, Zeng X F, Chen W W, et al. Comparison of ground truth location of earthquake from InSAR and from ambient seismic noise: A case study of the 1998 Zhangbei earthquake. Earthq. Sci. , 2011, 24(2): 239-247. DOI:10.1007/s11589-010-0788-5 |
| [22] | Uski M, Hyvonena T, Korjaa A, et al. Focal mechanisms of three earthquakes in Finland and their relation to surface faults. Tectonophysics , 2003, 363(1-2): 141-157. DOI:10.1016/S0040-1951(02)00669-8 |
| [23] | Saikia C K. A method for path calibration using regional and teleseismic broadband seismograms: application to the 21 May 1997 Jabalpur, India earthquake(Mw5 8). Curr. Sci. , 2000, 79(9-10): 1301-1315. |
| [24] | Bent A L, Perry H K C. Depths of eastern Canadian earthquakes from regional data. Seism. Res. Lett. , 2002, 73(2): 273-284. DOI:10.1785/gssrl.73.2.273 |
| [25] | Bock G, Grfinthal G, Wylegalla K. The 1985/86 Western Bohemia earthquakes: Modelling source parameters with synthetic seismograms. Tectonophysics , 1996, 261(1-3): 139-146. DOI:10.1016/0040-1951(96)00062-5 |
| [26] | 高立新, 刘芳, 赵蒙生, 等. 用sPn震相计算震源深度的初步分析与应用. 西北地震学报 , 2007, 29(3): 213–244. Gao L X, Liu F, Zhao M S, et al. Primary analysis on the seismic source depth determination using sPn phase and its application. Northwestern Seismological Journal (in Chinese) (in Chinese) , 2007, 29(3): 213-244. |
| [27] | 房明山, 杜安陆, 董孝平, 等. 用sPn震相测定近震震源深度. 地震地磁观测与研究 , 1995, 16(5): 13–18. Fang M S, Du A L, Dong X P, et al. Determination of focal depth with the sPn phase (in Chinese). Seismol Geomag Obser Res. ( in Chinese) (in Chinese) , 1995, 16(5): 13-18. |
| [28] | Engdahl E R, van der Hilst R, Buland R. Global teleseismic earthquake relocation with improved travel times and procedures for depth determination. Bull. Seism. Soc. Am. , 1998, 88(3): 722-743. |
| [29] | Keilis-Borok V I, Yanovskaya T B. Dependence of the spectrum of surface waves on the depth of the focus within the Earth'S crust. Bull. Acad. Sci. USSR. Geophys. Set., (English Transl.) , 1962, 11: 1532-1539. |
| [30] | Tsai Y B, Aki K. Simultaneous determination of the seismic moment and attenuation of seismic surface waves. Bull. Seism. Soc. Am. , 1969, 59(1): 275-287. |
| [31] | 陈纬苍. 2010-03-04高雄甲仙地震灾情评估报告.https://conf.ncree.org.tw/download%5CA0990322-高雄甲仙地震_災情評估-Mr.Chen.pdf. Chen W C. Condition of disaster reporting of 2010-03-04 Kaohsiung Earthquake (in Chinese). https://conf.ncree.org.tw/download%5CA0990322-高雄甲仙地震_災情評估-Mr.Chen.pdf. |
| [32] | Zhu L, Helmberger D V. Advancement in source estimation techniques using broadband regional seismograms. Bull. Seism. Soc. Am. , 1996, 86(5): 1634-1641. |
| [33] | Zhu L, Rivera L A. A note on the dynamic and static displacements from a point source in multilayered media. Geophysical Journal International , 2002, 148(3): 619-627. DOI:10.1046/j.1365-246X.2002.01610.x |
| [34] | Kikuchi M, Kanamori H. Inversion of complex body waves. Bulletin of the Seismological Society of America , 1982, 72(2): 491-506. |
| [35] | Langston C A. Structure under Mount rainier, Washington, Inferred From Teleseismic Body Waves. J. Geophys. Res. , 1979, 84(B9): 4749-4762. DOI:10.1029/JB084iB09p04749 |
| [36] | Baag C E, Langston C A. A WKBJ spectral method for computation of SV synthetic seismograms in a cylindrically symmetric medium. Geophysical Journal of the Royal Astronomical Society , 1985, 80(2): 387-417. DOI:10.1111/j.1365-246X.1985.tb05101.x |
| [37] | http://igppweb.ucsd.edu/-gabi/rem.html |
| [38] | http://geophysics.ou.edu/solid_earth/prem.html |
| [39] | Wells D L, Coppersmith K J. New empirical relationships among magnitude, rupture length, rupture width, rupture area, and surface displacement. Bulletin of the Seismological Society of America , 1994, 84(4): 974-1002. |
| [40] | Langston C A. Depth of faulting during the 1968 Meckering, Australia, earthquake sequence determined from waveform analysis of local seismograms. Journal of Geophysical Research , 1987, 92(B11): 11561-11. DOI:10.1029/JB092iB11p11561 |
| [41] | Fan G, Wallace T. The determination of source parameters for small earthquakes from a single, very broadband seismic station. Geophys. Res. Lett. , 1991, 18(8): 1385-1388. DOI:10.1029/91GL01804 |
| [42] | Fan G, Wallace T. Focal mechanism of a recent event in South Africa: a study using a sparse very broadband network. International Journal of Rock Mechanics and Mining Sciences and Geomechanics Abstracts , 1996, 33(7): 295A-295A. |
| [43] | Bowers D. The October 30, 1994, Seismic disturbance in South Africa: Earthquake or large rock burst?. J. Geophys. Res. , 1997, 102(B5): 9843-9857. DOI:10.1029/97JB00509 |
| [44] | 韦生吉, 倪四道, 崇加军, 等. 2003年8月16日赤峰地震: 一个可能发生在下地壳的地震?. 地球物理学报 , 2009, 51(1): 111–119. Wei S J, Ni S D, Chong J J, et al. The 16 August 2003 Chifeng earthquake: Is it a lower crust earthquake?. Chinese J. Geophys. (in Chinese) (in Chinese) , 2009, 51(1): 111-119. |
| [45] | Efron B. Bootstrap methods: Another look at the jackknife. The Annals of Statistics , 1979, 7(1): 1-26. DOI:10.1214/aos/1176344552 |
| [46] | Wang S Y, Xu Z H, Pei S P. Velocity structure of uppermost mantle beneath North China from Pn tomography and its implications. Science in China Series D: Earth Sciences. , 2003, 46(2): 130-140. |
| [47] | 裴顺平, 刘杰, 马宏生, 等. 川滇地区横波Q值动态变化. 地球物理学报 , 2010, 53(7): 1639–1652. Pei S P, Liu J, Ma H S, et al. Dynamic variation of S-wave Q value beneath Sichuan-Yunnan, China. Chinese J. Geophys. (in Chinese) (in Chinese) , 2010, 53(7): 1639-1652. |
2012, Vol. 55



