2. 中国电波传播研究所, 青岛 266107;
3. 中国极地研究中心, 上海 200136
2. China Research Institute of Radiowave Propagation, Qingdao 266107, China;
3. Polar Research Institute of China, Shanghai 200136, China
电离层总电子含量(TEC)是重要的电离层特征参数之一.电离层TEC 的时空变化对卫星导航定位、地空无线电通信等系统电波信号传播有着重要影响[1-3],特别是对于穿越电离层的电波信号,电离层引起的传播效应直接正比于TEC 的数值.因此,电离层TEC 监测研究已成为空间天气服务研究的重要内容[4].随着GPS等全球定位系统的发展和广泛应用,利用导航卫星双频相干信号能够得到重要的电离层TEC 参数,这给电离层天气监测研究带来了革命性的变化[5-6].
电离层暴是电离层中发生的剧烈扰动现象,是最重要的空间天气事件.长期以来基于地面测高仪探测所获取的电离层foF2 等数据,在电离层暴的形态特性、产生机理、预报、建模等方面研究发挥了重要作用[7-11],1999 年Buonsanto[12]对此进行了回顾和总结.随着无线电卫星信标应用技术发展,TEC 现已成为分析研究电离层暴扰动的有力工具[13-15]. 2006年Mendillo[16-17]对TEC 在电离层暴研究方面进行了回顾和展望,并建议加强电离层TEC 暴的扰动形态、产生机理及预报方法的研究.2006 年Jakowski等人[18]提出基于TEC 参数发展一种新型电离层活动指数来服务于空间天气系统.
在电离层暴扰动的特性分析和预报研究中,离不开对电离层暴扰动事件的判别、提取,这需要有明确的判定标准.黄庆铭[19-20]通过对中国地区多个台站电离层foF2 长期观测数据的分析,提出以连续6h的foF2 相对偏差超过15% 作为电离层暴事件判定标准.Kouris等人[21-22]基于对西欧地区电离层TEC 变化特征分析,提出以连续3h 电离层TEC 相对偏差超过0.2作为电离层扰动状态依据.
本文利用中国地区多个GPS双频观测台站获取的电离层TEC数据,通过对电离层TEC扰动变化分析,提出电离层TEC暴扰动事件的判定标准,讨论了中国地区电离层TEC暴扰动的分布特性和产生的缘由.
2 数据和分析方法地面GPS双频接收机在每一时间历元能接收到多颗卫星发射的双频相干信号,可以提取电离层TEC 信息,为了减少低仰角带来的电离层TEC 测量误差,本文设定的卫星观测截至仰角为45°.首先采用载波平滑码伪距方法计算出每一时间历元每一卫星信号传播路径上的电离层斜向TEC(sTEC); 然后,依据电离层薄壳模型,取电离层电子密度质心高度为400km,将sTEC 转换为穿刺点的电离层垂直TEC(vTEC);最后,对15 min 时间间隔内的所有穿刺点vTEC,采用Kriging方法拟合出观测站上空每15min的vTEC 数据.电离层TEC 的单位为TECu(1TECu=1016m-2).
按照上述方法,对中国地区的青岛、海拉尔、北京、武汉、广州和永兴六个GPS 观测站数据进行分析处理,得到了各观测站的电离层vTEC 数据.各观测站地理位置及数据情况如表 1所示.
|
|
表 1 GPS观测站位置及数据分布 Table 1 Geographic coordinate of GPS sites and observations |
为了方便描述电离层TEC 扰动行为,引入电离层TEC 扰动指数DI(t).它为观测值TEC(t)偏离背景值TECm(t)的相对值,如式(1)所示.
|
(1) |
其中TEC(t)为某观测时刻t的电离层vTEC 值,TECm(t)是观测日前后各13 天的对应时刻的27 天滑动中值,它代表该时刻电离层vTEC 的背景值. 本文采用27天滑动中值来表征背景电离层(即宁静电离层)状态信息主要基于下述考虑:一是它与通常的太阳自转周期(平均约为27 天)相一致,且这种27天周期重复性在以往的地磁活动和电离层foF2 谱分析中也都得到了体现;二是采用滑动中值可消除不同月份之间电离层背景值可能出现的跳变以及便于计算机数据处理.
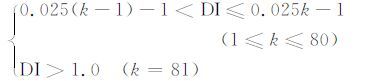
3 结果与讨论 3.1 电离层TEC暴扰动事件判定对青岛站1999年5月至2006年4月期间获得的DI数据,按式(2)将所有DI划分为81个分布间隔,并对每个分布间隔DI所占比例进行统计,结果如图 1所示.
|
图 1 青岛站1999-05-2006-04期间电离层DI指数的概率分布 Fig. 1 Percentage of DI at Qingdao site during May 1999 to April 2006 |
|
(2) |
图 1a为各DI间隔的概率密度分布曲线,图 1b 为累计概率密度分布曲线.从图 1a中可以看出,DI 总体上呈现出大致对称分布,并主要集中分布在-0.3~0.3的区间内.需要指出的是,由于在负向的第一个区间中包含了DI=0的数据,使得分布曲线有一个突变峰.从图 1b 中可以看出,DI≤ -0.3 和DI>0.3的累计分布均各占5%左右.
假定电离层活动大约在10% 的时间内处于扰动状态,为此对青岛站电离层DI的上下5%值的分布情况进行考察.图 2 给出了上下5% 值分别在太阳活动高年的2000年和2001年、太阳活动低年的2004年和2005年以及1999年5月至2006年4月期间日变化曲线.可以看出:(1) 在太阳活动高年,上5%值的日变化幅度位于0.27 至0.49 之间,平均值约为0.36.下5% 值的日变化幅度位于-0.26 至-0.44之间,平均值约为-0.31.两者扰动幅度的平均比率约为1.16.(2) 在太阳活动低年,上5%值的日变化幅度位于0.29 至0.42 之间,平均值约为0.35.下5%值的日变化幅度位于-0.22至-0.38 之间,平均值约为-0.28.两者扰动幅度的平均比率约为1.25.(3) 在1999年5月至2006年4月,上下5%值的日变化幅度的平均值分别约为0.37 和-0.30,平均比率约为1.23.(4) 在太阳活动高年,上下5%值日变化在地方时20LT(LT≈UT+8h) 前后存在扰动幅度峰值.而在太阳活动低年,上下5%值日变化在地方时05LT 前后存在扰动幅度极大.
|
图 2 青岛站电离层扰动指数DI上下5%的日变化曲线(a)上5%值变化曲线;(b)下5%值变化曲线. Fig. 2 Daily variations of the upper and lower 5 % values of DI at Qingdao site (a) The upper 5% values and (b) the lower 5% values. |
表 2给出了青岛站电离层DI的上下5% 值在冬季(1,2,11和12月)、夏季(5,6,7和8月)和分季(3,4,9和10月)三个不同季节的日变化分布.可以看出:(1) 在冬季,上5%值在0.33至0.47之间变化,平均值约为0.39.下5% 值在-0.23 至-0.40 之间变化,平均值约为-0.29.(2) 在夏季,上5%值在0.28至0.42之间变化,平均值约为0.34.下5% 值在-0.26至-0.34之间变化,平均值约为-0.30. (3) 在分季,上5% 值在0.26 至0.45 之间变化,平均值约为0.36.下5%值在-0.22至-0.35之间变化,平均值约为-0.29.(4) 上5%值扰动幅度以冬季最大,夏季最小,而下5%值在三个不同季节并没有太大差异.两者在冬季、夏季和分季平均扰动幅度的比率分别约为1.34、1.13和1.24.
|
|
表 2 不同季节青岛站电离层DI指数上下5%值的日变化分布 Table 2 Daily variations of the upper and lower 5 % values of DI at Qingdao site in different seasons |
同时,对中国大陆境内沿着116°E 附近经度带内不同纬度的海拉尔、北京、武汉、广州和永兴五站2004年电离层扰动指数DI的上下5% 值变化作与青岛站相同的日变化和季节变化分析.
日变化分析表明:(1) 从上下5%值日变化平均结果来看,前者在0.30 至0.39 之间变化,后者在-0.23至-0.32之间变化,两者的五站平均值分别约为0.34 和-0.27.(2) 从上下5% 值扰动幅度随纬度位置变化来看,前者以位于赤道异常北驼峰顶位置的广州站扰动幅度最大,后者以海拉尔站扰动幅度最大,两者扰动幅度均以北京站为最小.(3) 从上下5%值平均扰动幅度的比率来看,五站分别约为1.06、1.30、1.31、1.39 和1.28,以海拉尔站最小,广州站最大,五站平均比率约为1.26.
季节变化分析表明:(1) 在冬季,前者在0.29至0.38之间变化,平均约为0.34,后者在-0.22 至-0.28之间变化,平均约为-0.26.(2) 在夏季,前者在0.32至0.41 之间变化,平均约为0.36,后者在-0.23至-0.43之间变化,平均约为-0.34.(3) 在分季,前者在0.26 至0.37 之间变化,平均约为0.32,后者在-0.22至-0.29之间变化,平均约为-0.25.(4) 五站上下5% 值平均扰动幅度的比率,以冬季为最大,约为1.31,以夏季为最小,约为1.06,分季约为1.28,三个季节平均约为1.22.
上述分析表明电离层DI的上下5% 值随太阳活动性、季节、地方时和测站位置有所差异,电离层DI分布具有不对称性,两者平均扰动强度的比率在1.06至1.39之间变化,平均值约为1.2.为体现DI 指数的这种不对称性,我们大致按照上述比率对青岛站和沿116°E附近经度带内不同纬度五站的电离层DI指数在(-0.25,0.30]、(-0.30,0.35]、(-0.35,0.40]等几个主要分布区间的所占百分比进行统计,分析结果见表 3 和表 4.可以看出:(1) 青岛站电离层DI指数在(-0.30,0.35]的区间内,全部7年、太阳活动高年(2000-2001 年)和低年(2004-2005 年)所占比例分别约为89.6%、89.2%和90.7%,高年比例要略低于低年,表明太阳活动高年电离层扰动要高于低年.(2) 不同纬度五站2004年电离层DI 指数在(-0.30,0.35]区间所占比例分别约为89.4%、94.8%、92.0%、89.5% 和93.1%,五站平均为91.8%.其中以海拉尔和广州两站的所占比例为低,以北京站为高,这表明海拉尔和广州两站的电离层更易扰动,而北京站则更为稳定.(3) 青岛站在DI≤ -0.30和DI>0.35的两个区间分布表明总体上是正相扰动比例要略高于负相,但高年却相反. (4) 2004年不同纬度五站在DI≤ -0.30 和DI> 0.35的两个区间分布表明除海拉尔站外,其余四站均以正相扰动比例高于负相扰动.
|
|
表 3 青岛站电离层DI指数主要区间百分比分布(%) Table 3 Percentage of DI at Qingdao site in main distributed intervals |
|
|
表 4 不同纬度五站电离层DI指数主要区间百分比分布(%) Table 4 Percentage of DI at five sites of different latitude in main distributed intervals |
综上所述,由于DI的取值范围为(-1,∞),其分布中值为0,DI在远端的分布是不对称的,即上5%的间隔值比下5%的间隔值要大.基于对电离层DI的上下5%值在不同太阳活动性、不同季节、不同纬度等条件下的分析结果,我们选取DI>0.35(DI ≤-0.30)来作为正(负)相电离层TEC 扰动的强度门限.尽管强度门限的选取有一定任意性,但本文这种扰动强度门限标准选取有较好的合理性:一是充分体现了电离层TEC 正(负)相扰动指数DI分布的不对称性,即正(负)相扰动强度平均比率约为1.2; 二是使得DI>0.35和DI≤-0.30的累计分布都差不多在5%左右,亦即满足大约10%时间的电离层TEC 处于所谓的扰动状态;三是与传统的基于测高仪foF2 观测规定的电离层骚扰标准相一致(或相近),在那里选取了foF2 相对偏差(绝对值)超过15%,这时如果折合至TEC 的相对偏差(假设等效板厚不变)亦会是不对称的.
通常认为电离层暴是一种有一定持续时间的电离层剧烈扰动现象.为区别于电离层中一些短时扰动现象,黄庆铭[19-20]基于电离层foF2 长期观测资料分析,提出采用“连续6 小时的foF2 相对偏差超过15%"作为电离层foF2 暴事件的判定标准.根据上述对电离层TEC 扰动强度门限标准的讨论,并参考传统的电离层foF2 暴事件持续时间的建议,本文对电离层TEC 正(负)相暴扰动事件的界定是连续6h 及以上的DI>0.35(DI≤-0.30),且期间DI不满足该值的连续时间不得超过2h的事件.事实上,我们采用该判定标准来提取电离层TEC 暴扰动事件,并通过下面对电离层TEC 暴事件的有关特性分析表明,其在电离层TEC 正(负)相暴扰动事件的提取能力、TEC 暴事件与磁暴相关性、以及TEC 暴事件随地方时、季节、纬度的变化特性等都与传统的基于foF2 所形成的电离层暴扰动特性的认识是相一致的.
3.2 电离层TEC暴事件扰动特性对青岛站1999年5月至2006年4月间电离层TEC 暴扰动情况进行分析,共提取了333次电离层TEC 暴扰动事件,正负相暴扰动事件分别为178次和155次.将所有电离层TEC 暴扰动事件按其所发生时间、持续时间和季节分别进行统计,结果见图 3和表 5.可以看出,在地方时日落后-子夜前时段为暴变事件发生概率高峰,在正午和黎明前时段为低谷.电离层TEC 正负暴扰动事件持续时间均以6- 11h为主,分别占到事件总数的70.2%和74.2%,而正负暴扰动事件的平均持续时间分别为10.9h 和10.5h.从电离层TEC 暴扰动事件发生的季节来看,正暴扰动事件以冬季发生概率最高,夏季最低,而负暴以夏季略高.
|
图 3 青岛地区电离层TEC 暴扰动事件发生时间分布 Fig. 3 Occurrence time of ionospheric TEC storm events at Qingda site |
|
|
表 5 青岛站电离层TEC暴扰动事件的持续时间和发生季节分布 Table 5 Duration and occurrence season of ionospheric TEC stormeventsat Qingdao site |
统计分析2004年海拉尔、北京、武汉、广州和永兴五个不同纬度观测站电离层TEC 暴扰动事件,结果如图 4所示,图中数值表示该站正/负相暴扰动的事件数.可以看出,以海拉尔和广州两站的暴变扰动事件数为多,分别为65次和52次,以北京站扰动事件数最少,仅为23次.比较五站的地理纬度,海拉尔站处于较高的中纬度,广州站位于赤道异常北驼峰区,北京位于典型的中纬度区.而从正负相暴事件数来看,除海拉尔站外,其余四站均以正相暴事件多于负相暴,五站的正负相暴事件数比率分别约为0.81、1.30、1.67、2.25、1.77.上述结果表明:(1) 赤道异常区电离层易于扰动,中高纬地区受极区的影响扰动亦多发,而中纬地区则较为稳定.(2) 低纬地区电离层暴扰动以正相暴为主.这与电离层foF2 暴扰动特性分析结果相吻合.
|
图 4 2004年不同纬度台站电离层TEC 暴扰动事件 Fig. 4 Ionospheric TEC storm events at five sites of different latitude in 2004 |
表 6给出了青岛站333次电离层TEC 暴扰动事件发生前1-72h的磁暴活动情况.可以看出,其中有254次电离层TEC 暴扰动事件发生前1-72h 内出现了地磁扰动(即Kp≥4),约占到了总扰动事件数的70.3%.这一方面揭示了大部分电离层TEC 暴扰动事件伴随着磁扰活动,另一方面也说明电离层TEC 暴扰动事件还可能有其他的触发因素.
|
|
表 6 青岛站电离层TEC暴扰动与磁扰的相关性 Table 6 Relativity between ionospheric TEC storm and geomagnetic storm at Qingdao site |
文献[23-27]曾就暴雨、台风等强烈气象活动对电离层影响进行过分析讨论,认为强烈气象活动对电离层扰动有着重要影响.在电离层TEC 暴扰动中亦有这样的情况,作为例子,图 5 给出了2004 年6 月30日至7月5日期间地磁活动Kp、Dst指数及中国地区海拉尔、北京、武汉、广州、永兴、青岛六个观测站的电离层扰动指数DI的变化,图中均为UT 时间.可以看出在此期间地磁活动较为平静,Kp指数的最大值为3-,Dst指数也仅在-15~15nT 之间起伏.上述六站电离层TEC 在7月3-4日都有不同程度的负相扰动,且武汉、广州、永兴、青岛四站在7月3日和4日发生了电离层TEC 负相暴事件(如图中箭头所指时段).这些电离层暴变事件可以排除源自太阳和地磁扰动的触发因素,它可能来自底层的强烈气象活动.考察6月30日至7月5日的气象活动情况,期间发生了一次强台风Mindulle事件.该台风在7月1日登陆台湾地区东部,横越台湾岛后北上穿越台湾海峡,于3 日在浙江登陆并沿东部海岸继续北上,4日穿越黄海登陆朝鲜半岛,图 5i给出了该次台风中心路径及各观测站的位置.强台风登陆后将降低电离层TEC 值,武汉、广州、永兴、 青岛四站可能受到此次台风事件带来的强对流气象活动影响,导致了电离层TEC 值的降低,进而使得这些台站出现电离层TEC 负暴扰动事件.
|
图 5 地磁活动平静期间不同纬度电离层TEC 扰动事件 Fig. 5 Ionospheric TEC disturbed events of different latitudes in quiet geomagnetic condition |
本文从中国地区多个观测站获取的电离层TEC 实测数据出发,采用统计和实例分析方法研究了电离层TEC 暴扰动特性,获得的主要结果总结如下:
(1) 引入了电离层TEC 扰动指数DI,并假定10%左右时间内电离层TEC 处于扰动状态,通过对DI上下5%值随太阳活动、季节、地方时、地理纬度的详细分析,提出了电离层TEC 扰动强度和电离层TEC 暴扰动事件的量化判定标准:电离层TEC 正(负)相暴扰动事件是连续6h 及以上的DI>0.35 (DI≤-0.30),且期间DI不满足该值的连续时间不得超过2h的事件.
(2) 基于上述判定标准,提取并分析了中国地区电离层TEC 暴扰动事件,获得了其发生时间、持续时间以及季节变化、周日变化等特性,发现电离层TEC 暴扰动事件在地方时日落后至子夜前为发生高峰时段,正(负)相暴扰动事件平均持续时间约为10.9h(10.5h),正相暴发生率以冬季为多,夏季为少,分别占到扰动事件总数的39.9%和27.5%,而负相暴则以夏季略高,约占总事件数的36.8%.发现位于赤道异常驼峰区的广州站和位于!中纬度的海拉尔站比典型中纬地区的北京站电离层TEC 暴扰动更易发生,且低纬地区以正相暴扰动为主.
(3) 讨论了电离层TEC 暴扰动与磁扰的相关性,表明磁暴活动对电离层TEC 暴扰动事件的产生起着主要作用.同时有事例表明,电离层TEC 暴扰动并不完全由地磁扰动所引起,强烈气象活动等局地环境因素也可能对电离层TEC 暴扰动有着重要影响.
| [1] | Komjathy A, Sparks L, Mannucci A J, et al. The ionospheric impact of the October 2003 storm event on Wide Area Augmentation System. GPS Solut. , 2005, 9(1): 41-50. DOI:10.1007/s10291-004-0126-2 |
| [2] | Radicella S M, Nava B, Coisson P, et al. Effects of gradients of the electron density on earth-space communications. Ann. Geophys. , 2004, 47(2-3): 1227-1246. |
| [3] | Kersley L, Malan D, Pryse S E, et al. Total electron content-A key parameter in propagation: measurement and use in ionospheric imaging. Ann. Geophys. , 2004, 47(2-3): 1067-1091. |
| [4] | Cander L R. Ionospheric research and space weather services. J. Atmos. Sol.-Terr. Phys. , 2008, 70(15): 1870-1878. DOI:10.1016/j.jastp.2008.05.010 |
| [5] | Jakowski N, Wilken V, Schlueter S, et al. Ionospheric space weather effects monitored by simultaneous ground and space based GNSS signals. J. Atmos. Sol. -Terr. Phys. , 2005, 67(12): 1074-1084. DOI:10.1016/j.jastp.2005.02.023 |
| [6] | Coster A, Komjathy A. Space weather and the global positioning system. Space Weather , 2008, 6(2): 15-19. |
| [7] | Cander L R, Belehaki A, Tsagouri I. Real-time dynamic ionospheric storm modeling. Workshop on COST 271 products for ITU-R and other radio communication applications, 1st-5th October 2002, Universidade do Algarve, Faro, Portugal and RAL CD, 2002. |
| [8] | Cander L R, Wintoft P. Ionospheric foF2 storm forecasting using neural networks. Phys. Chem. Earth. Part C: Sol. Terr. Plant. Sci. , 2000, 25(4): 267-273. |
| [9] | Perrone L, Pietrella M, Zolesi B. A prediction model of foF2 over periods of severe geomagnetic activity. Adv. Space Res. , 2007, 39(5): 674-680. DOI:10.1016/j.asr.2006.08.008 |
| [10] | Fuller-Rowel T J, Codrescu M V, Araujo-Pradere E, et al. Progress in developing a storm-time ionospheric correction model. Adv. Space Res. , 1998, 22(6): 821-827. DOI:10.1016/S0273-1177(98)00105-7 |
| [11] | Araujo-Pradere E, Fuller-Rowell T J, Codrescu M V. STORM: An empirical storm-time ionospheric correction model-1. Model description. Radio Sci. , 2002, 37: 1070. DOI:10.1029/2001RS002467 |
| [12] | Buonsanto M J. Ionospheric storms: a review. Space Sci. Rev , 1999, 88(3-4): 563-601. |
| [13] | Andrzej K, Shagimuratov I I, Baran L W, et al. The structure of the mid-and high-latitude ionosphere during the November 2004 storm event obtained from GPS observations. Acta Geophys. , 2007, 55(4): 490-508. |
| [14] | Ho C M, Manucci A J, Lindqwister U J, et al. Global ionospheric TEC variations during January 10, 1997 storm. Geophys. Res. Lett. , 1998, 25(14): 2589-2592. DOI:10.1029/98GL00539 |
| [15] | Araujo-Pradere E A, Fuller-Rowell T J, Spencer P S J. Consistent features of TEC changes during ionospheric storms. J. Atmos. Sol.-Terr. Phys. , 2006, 68(16): 1834-1842. DOI:10.1016/j.jastp.2006.06.004 |
| [16] | Mendillo M. Storms in the ionosphere: Patterns and processes for total electron content. Rev. Geophys. , 2006, 44: RG4001. DOI:10.1029/2005RG000193 |
| [17] | Mendillo M, Klobuchar J A. Total electron content: Synthesis of past storm studies and needed future work. Radio Sci. , 2006, 41: RS5S02. DOI:10.1029/2005RS003394 |
| [18] | Jakowski N, Stankov S M, Schlueter S, et al. On developing a new ionospheric perturbation index for space weather operations. Adv. Space Res. , 2006, 38(11): 2596-2600. DOI:10.1016/j.asr.2005.07.043 |
| [19] | 黄庆铭. 负相电离层骚扰及其日地相关关系. 空间科学学报 , 1985, 5(4): 303–307. Huang Q M. The negative phase ionospheric disturbance and its solar-terrestrial correlation. Chin. J. Space Sci.(in Chinese) (in Chinese) , 1985, 5(4): 303-307. |
| [20] | 黄庆铭. 正相电离层骚扰研究. 空间科学学报 , 1990, 10(2): 130–134. Huang Q M. Some investigations on positive phase ionospheric disturbance. Chin. J. Space Sci. (in Chinese) (in Chinese) , 1990, 10(2): 130-134. |
| [21] | Kouris S S, Polimeris K V, Cander L R. Specifications of TEC variability. Adv. Space Res. , 2006, 37(5): 983-1004. DOI:10.1016/j.asr.2005.01.102 |
| [22] | Kouris S S. Thresholds of TEC variability describing the plasmaspheric disturbed state. Acta Geophys. , 2007, 56(2): 408-416. |
| [23] | Liu Y M, Wang J S, Suo Y C. Effects of typhoon on the ionosphere. Adv. Geosci. , 2006, 2: 351-360. |
| [24] | 余涛, 王云冈, 毛田, 等. 台风期间厦门电离层变化的一次特例分析. 气象学报 , 2010, 68(4): 569–576. Yu T, Wang Y G, Mao T, et al. A case study of the variation of ionospheric parameter during typhoons at Xiamen. Acta Meteor. Sin. (in Chinese) (in Chinese) , 2010, 68(4): 569-576. |
| [25] | Xiao Z, Xiao S G, Hao Y Q, et al. Morphological features of ionospheric response to typhoon. J. Geophys. Res. , 2007, 112: A04304. DOI:10.1029/2006JA011671 |
| [26] | 徐桂荣, 万卫星, 宁百齐. 对流层特大暴雨天气对电离层变化的影响. 空间科学学报 , 2005, 25(2): 104–110. Xu G R, Wan W X, Ning B Q. Effects of extreme heavy rainfall in the troposphere on the ionosphere. Chin. J. Space Sci.(in Chinese) (in Chinese) , 2005, 25(2): 104-110. |
| [27] | Mao T, Wang J S, Yang G L, et al. Effects of typhoon Matsa on ionospheric TEC. Chin. Sci. Bull.. 2010 : 712 -717. |
2012, Vol. 55






