2. 武汉纺织大学电子与电气工程学院, 武汉 430200
2. School of Electronic and Electrical Engineering, Wuhan Textile University, Wuhan 430200, China
ELF和VLF波是无线电波频率中极具特点的频段.通过高频电波人工调制电离层电流所激发的ELF/VLF波一部分会进入地球-电离层波导,用以实现对潜通信,地下目标探测等用途[1],而另一部分则会向上传播进入磁层,与磁层中的高能电子进行相互作用[2-5],使其沉降进入大气层.由于采用ELF 调幅高频无线电波能更有效地对电离层进行调制[6],并由相关研究人员以及DEMETER 卫星重点采集并进行过研究分析[7-16],所以本文将重点研究所激发出的ELF波的传播问题.
因为低频波的一个波长很长,对于介质特性随高度变化显著的低电离层来说,介质在一个波长范围内的变化太大,因此,对于人工调制电离层激发的低频信号,需要直接从Maxwell方程出发,来研究低频波在不均匀介质中的传播问题,这一方法从理论上能够给出任意介质中电磁波场的精细结构. Pitteway [17](1965)曾用全波解的方法计算了电波在低电离层中的波场、透射系数和反射系数,Wait[18] (1970)在《分层介质中的波》中系统地叙述了弹性波和电磁波在分层介质中的传播理论,Tsuruda[19] (1973)则利用全波解的方法重点研究了VLF 信号在地面上所产生的效应,Nagano[20](1975)利用改进的矩阵运算方法来对不均匀介质中的波场进行求解,Budden[21](1985)对很多关于计算分层介质中场的方法进行了总结,不过,其中有些方法都存在计算不稳定性,这主要是由于全波解中存在消散波所造成的,它们在垂直方向上的解都具有很大的虚部,Nygren[22](1982)和Lehtinen[23](2007)采用递归的方式计算反射系数从而克服了这个问题.徐继生[24] (1989)通过全波解的方法研究过自然低纬哨声通过低电离层传播的透射特性.
本文将在李凯[25]通过解析解计算星载天线在海面上产生的VLF 波场强的方法基础上,结合Nygren[22]和Lehtinen[23]所给出的递归的方法来克服消散波所引起的计算不稳定性,给出人工调制激发ELF/VLF 波在不均匀介质中的全波解数值模型.并通过与高纬地区电离层调制加热观测实验进行比较,验证该模型的正确性,模拟中还给出不同激发位置以及不用调制频率对所辐射出的低频波场的影响,从而分析低纬地区所辐射出的低频信号进入中性大气层形成地球-电离层波导的可能性.
2 全波解计算模型 2.1 背景模型
对于65~120km 的低电离层,电子密度与电子碰撞频率随高度变化十分显著,特别是对于低频波段,在一个波长范围内变化很大,本文将低电离层看成随高度变化的一维不均匀的各向异性的等离子体.在ELF频段,海面接近于良导体,故把海面理想化为导体,海面以及电离层中每层边界都理想化为平行平面,将低电离层划分为N层,每层的边界为zi,i=0,1,…,M,z0 为海面,z1 为电离层与中性大气层的边界,zM为低电离层的上边界,每一层的厚度hi= zi+1 -zi,i= 0,1,…,M-1,且每一层Fi(zi,zi+1)的电离层参数,如介电张量
模型中z轴为竖直向上,背景磁场B与z轴夹角为θ ,选取的x轴处于z轴与地磁场B所在的子午面内,即南北向,由电离层加热所产生得辐射源理想化为一水平电偶极矩,沿y轴方向,即东西向,该背景模型的示意图如图 1所示.
|
图 1 背景模型示意图 Fig. 1 The background model scheme |
低电离层每一层i中的介电系数张量形式上相同,不同的是随高度变化:
|
(1) |
其中
|
(2) |
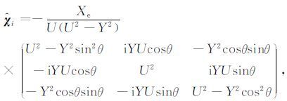
其中X=ωp2 /ω2,Y=ωH/ω,Z=υe/ω,U=1+iZ,ω 是电波的角频率,ωp 是等离子体频率,ωH 是电子的回旋频率,υe 是有效碰撞频率,i表示虚部.(2)式是第i层的电极化率矩阵.它是由第i层的电子密度、碰撞频率以及背景磁场的大小和方向所决定.
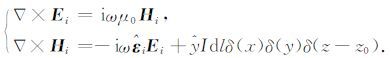
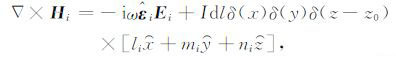
2.2 人工调制所激发出的低频波场调制加热电离层会引起电导率乃至电离层电流的周期性扰动,从而在低电离层形成一个低频辐射源来辐射调制频率及其频谱上的波.所以,需要考虑源项来研究低频信号在低电离层中的传播问题.对于任意指向的源来说,满足下式:
|
(3) |
li,mi,ni分别是x,y,z方向上的方向余弦,I为电流.
这里将辐射源理想化为一东西向的水平电偶极子,即沿y方向,取z轴为竖直向上方向,x轴方向使地磁场B在x-z平面,则li=0,mi=1,ni=0,所以Maxwell方程重新写成以下形式:
|
(4) |
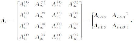
通过傅里叶变换然后展开消去z方向上的分量的方法得到一个考虑了源项的矩阵形式[25-27]:
|
(5) |
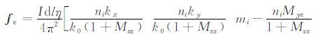
其中Vi= [eix,eiy,hix,hiy]T 表示k域中第i分层中的波场分量.k0 是自由空间的波数,Ti是一个4×4 的矩阵,故有4个特征值和4个特征向量,它们由低电离层第i分层的电参量决定[25-27].中性大气层将它视为单独一层,介电系数不再是张量形式,即等于ε0,令所有的电极化率分量为0,即可得到中性大气层中的矩阵T0.对于任意方向的源fe 有
|
|
根据li,mi,ni的取值,得到
如果辐射源处于zk高度处,即在第k层和k-1 层之间,那么源还是处于第k层中:
|
(6) |
Wks为在源高度zk处的场满足傅里叶变换矢量式,如下所示:
|
(7) |
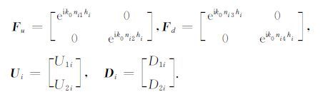
其中,u(x)是Heaviside阶梯函数,nkj和W(j)是矩阵Tk的特征值和特征向量,矩阵Tk不依赖于z,当存在损耗的时候,即碰撞频率不等于0,这4个特征值都是复数形式,根据复数的虚部对它们分类,虚部为正的代表波在往上行方向传播中的衰减,虚部为负的则表示波在下行方向传播中的衰减.根据这点,将每一层的波划分为两个上行波模和两个下行波模,这里nk1 和nk2 对应上行波模,而nk3 和nk4 对应下行波模,将(7)式带入(6)式有
|
(8) |
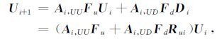
当矩阵Tk的特征值和特征向量确定后,即可由(14) 式求出这4个激励系数.U1ks,U2ks对应于调制加热所激发的上行波模的系数,记做Uks=
另外,根据传播介质中的每一层都为4个特征波的叠加,有
|
(9) |
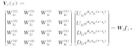
其中nji和Wji分别表示该层中矩阵Ti的特征值和特征向量(j=1,2,3,4).U1i,U2i和D1i,D2i分别表示第i层中的上行波模和下行波模的振幅.将(9)写成矩阵形式为
|
(10) |
其中,
由于电场强度E和电磁场强度H在每一层边界处的水平分量是连续的,所以在z=zi处,应有Vi(z)|z= zi+1 =Vi+1(z)|z=zi,故有
|
(11) |
如果(11)两端乘以Wi+1-1,则有
|
(12) |
式(12)表示由i层来计算第i+1层.如果(17)两端乘以Wi-1,则有
|
(13) |
式(13)表示由i+1层来计算第i层.
其中
|
从fi|z=zi+1 的表达式可以得到
|
(14a) |
|
(14b) |
其中
|
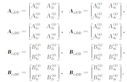
我们令Ai=Wi+1-1 Wi,Bi=Wi-1 Wi+1,并将它们分别表述为4个4×4的子矩阵构成的形式:
|
(15a) |
|
(15b) |
其中
|
通过(14)和(15),方程(12)和(13)可以重新写为下面的矩阵形式:
|
(16) |
|
(17) |
对于从辐射源激发出的上行的波模会受到每一分层的上边界的反射,而对于下行的波模则会受到每一层的下边界的反射,如图 2所示,源以上区域每层上边界会分别反射右旋波和左旋波,源以下区域每层则是每层下边界对两种波模进行反射,每层都由4个特征波构成,图中还给出了文中反射系数以及波模计算的递归方向,图中的zs 是源的高度.
|
图 2 反射系数和传播波模递归计算的示意图 R up,L up表示上行的左旋波和右旋波,R down和L down 表示下行的左旋波和右旋波. Fig. 2 The recursive relations of reflection coefficient and propagation mode |
接下来求取反射系数和传播波模,首先我们设源以上每层的反射系数和源以下每层的反射系数分别为Rui和Rdi,所以
|
(18a) |
|
(18b) |
i=0 是海平面,M是低电离层最上层.我们假设第M层没有上边界,则值存在上行波模,因此RuM= 0.通过(17)式得到
|
(19) |
|
(20) |
用(20)式除以(19)式就得到辐射源以上每层由反射系数Ru(i+1) 来递归计算Rui的递归关系:
|
(21) |
这样就可以通过RuM从上往下计算出源以上每层的反射系数.
而对于海面上,我们认为是良导体,在z=0处电场E=0.则通过(10)不难得到
|
(22) |
其中
|
(23) |
同样,通过(16)式我们有
|
(24) |
|
(25) |
我们用(24)式除以(25)式就得到辐射源以下每层由反射系数Rdi来递归计算Rd(i+1) 的计算式:
|
(26) |
这样通过Rd0就可以从下往上计算出源以下每一层的反射系数.通过获得的反射系数就可以计算每一层的波模振幅Ui和Di.对于源所在的第k层,通过(18)我们有
|
(27) |
其中Uuk,Duk和Udk,Ddk分别对应在k层由下往上和由上往下传播所对应的波模,它们分别会被每层的上边界和下边界反射,在无源的情况下,Uuk= Udk,Duk=Ddk,当有源的时候,还得考虑源的激励系数,于是我们有
|
(28) |
将(27)带入(28)我们可以得到
|
(29) |
其中Rdk和Ruk已经通过前面反射系数的递归关系求出,Uks和Dks根据人工调制模型[28]所形成的水平电偶极矩也可以解出,因此就得到了Uuk,再通过(27),(28)和(29)就可以求出Udk,Duk和Ddk.另外,通过(24)我们知道
|
(30) |
根据(29)中的Uuk就可以向上递归得到源以上每层中的Ui.再利用(18a)就可以算出源以上每层中的Di.同样,我们可以根据(20)得到
|
(31) |
根据所求出的Ddk就可以向下递归出源以下每层中的Di.再利用(18b)算出源以下每层中的Ui. 这样我们就得到了求解区域内每一层当中的Ui和Di,再通过(10)便可以求出每一层中的电场和磁场强度的傅里叶变化,再对其作反傅里叶变换则可以得到在r域中每一层当中的电场和磁场强度.
2.3 相关处理辐射源仅位于高度处所在的平面上,低电离层上边界为120km,低频辐射源所在的高度为人工调制电离层的中心高度75km[28-30].对于这种算法,源的位置可以位于电离层中的任意高度.模拟中我们选取的变量不是传播矢量k,而是k/k0,另外,由于需要用到反傅里叶变换,所以得到的函数会是个周期函数,为了能很好地反映场强的变化,k的步长不能取得太大,而且,由于在中性大气层中,如果k的水平分量与k0 相等时,会出现共振的情况,计算无法进行,因此取的步长还得跳过k0 这个点.本文的背景磁场由国际地磁场模型确定,我们认为磁场强度只和地理经纬度有关,不随高度变化,且认为磁场只在x-z平面内,电子密度模型由IRI2001给出,碰撞频率可以由调制加热模型[28]给出.
3 数值模拟结果 3.1 传播衰减图 3给出了kx=0时所计算出来的4个特征波的nz的情况,其中第一行分别是nz(1)和nz(2)的实部和虚部,它们代表上行波,而第二行分别是nz(3)和nz(4)的实部和虚部,代表下行波,Im(nz) 表示特征波的衰减情况.图中nz(1)和nz(3)的实部相对于虚部来说要大很多,这两种波模可以有效地向上以及向下传播,而对于nz(2)和nz(4)来说,虚部很大,在传播过程中这两个波模很容易被衰减. 因此,对于在不均匀电离层中传播的四种波模来说,只有nz(1)和nz(3)能有效地传播,它们传播方向不一样,但是波模一致,这里重点讨论nz(1).图 4 给出了nz(1)的虚部在不同加热地点随高度的变化,四种不同颜色所代表的线段是背景磁场与z轴的夹角θ,θ 越大也就意味着越接近赤道地区,故从图中不难看出,随着纬度的降低,nz(1)的虚部越来越大,即波的衰减越来越大.图 5给出了在碰撞频率υ=103s-1,D层平均电子浓度取Ne=2.5×109 m-3所计算出的nz(1)的虚部随θ 角从0 到180°的变化. 当θ 角接近90°时,即背景磁场与水平面接近平行的时候,电波将处于赤道地区附近,nz(1)的虚部急剧增大,呈现一个峰值,也就是说,波在低纬地区电离层中会受到急剧的衰减,很难向下传播到大气层.所以,虽然赤道地区存在赤道电急流,能够形成低频辐射源[28],但辐射出的低频信号很难被地面接收到. 这可能也是电离层人工调制实验主要集中在中高纬度地区的主要原因之一.
|
图 3 kx=0时4个特征波在z方向上复折射指数nz的实部和虚部随高度的变化 Fig. 3 The real part and the imaginary part of the complex refraction index change for altitudes at kx=0 |
|
图 4 nz(1)的虚部在不同加热地点随高度的变化 Fig. 4 The imaginary part of nz(1) changes for altitude at diffrerent heating area |
|
图 5 nz(1)虚部随θ的变化 Fig. 5 The imaginary part of nz (1) changes versus time |
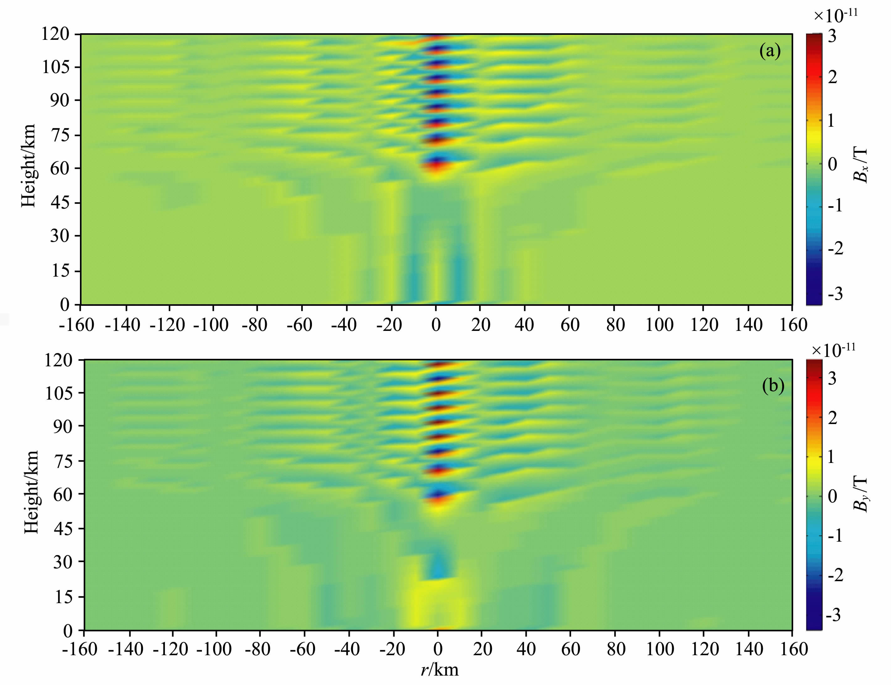
图 6给出了在x-z平面内,0~120km 的磁场分布情况.可以看出,所激发的低频信号的能量主要集中在r=0的附近,呈波束状,另外,整个波束的宽度约等于20km,这与模拟中所选取的人工调制电离层所形成的调制电流的典型尺度一致,并与实验观测吻合[9, 29],说明调制的电流尺度与所激发的低频信号波束宽度相关.从图中还可以看出,在60km 以下的中性大气层,磁场在源正下方一定范围内还呈现出了强弱变化,这是由于地球-电离层波导所导致的,随着传播距离的增加,波逐渐衰减,所以在较远处磁场强度的强弱变化就不再明显.
|
图 6 南北向磁场强度在0~120km 上的分布 (a)Bx;(b)By. Fig. 6 Distribution of themagnetic field intensity fromsouth to north at 0〜120 km |
图 7给出的是海面上在水平方向上所能接收到的磁场强度分布,第一副图是在x方向,即南北方向上磁场强度Bx的振幅,下面一副图则是y方向,即东西方向上磁场强度By的振幅,可以看出在加热源的正下方约40km 左右所能接收到的磁场强度较大,这是因为,当水平波数kx或ky增加时,波从电离层向下边界的入射角增加,由于电离层的折射指数远大于空气中的折射指数,当入射角增加,容易产生“全反射",透射至中性大气层中的能量也会大大减少[26],所以,只有从辐射源垂直向下传播的低频波比较容易透过低电离层到达中性大气层被地面或者海面上的接收设备所接收到,所透射出的波束能量通过反傅里叶变换转化到r域后,已在水平尺度上展开,且磁场强度约在pT量级,这与HAARP实验地面观测到的结果一致[29].不过这并不意味着只有在辐射源几乎正下方的位置才能接收到该低频波,因为透射到中性大气层的低频信号可以在“地球-电离层波导"中经多次反射传播到较远的区域.
|
图 7 海面上的磁场强度 (a)Bx;(b)By. Fig. 7 The magnetic field intensity on the sea |
根据HAARP实验描述的辐射源高度为75km[29],正处于电离层D 层,通过电离层人工调制的模拟得到的水平电偶极矩强度为Idl=3.27×105A·m,这里假设它不随纬度变化,因为从低纬到高纬,自然电场E0 变大,而电导率Δσ 变小,综合后认为电流密度随纬度的变化不大.
图 8是频率1875 Hz时,在不同加热位置下模拟计算得到海面上所能接收到的磁场幅度│Bx│和│By│,这里θ 选取了4个值,30°,45°,60°和75°.从图中可以看到,能量都是主要集中在辐射源正下方的附近.另外,随着磁场B与z轴的夹角越来越大,即随着加热位置越来越靠近低纬地区,海面上所产生的场越来越小,这和之前得到的衰减的变化刚好相吻合,因为越靠近低纬和赤道地区,波的衰减就越强烈,磁场的强度都在pT 量级,与实验观测到的数量级相一致.
|
图 8 不同加热位置下海面上的磁场强度 (a)Bx;(b)By. Fig. 8 The magnetcc intensity on the sea at different heating spots |
图 9是θ 选取30°时,不同频率下辐射源在海面上产生的磁场幅度│Bx│ 和│By│,距辐射源相同距离,频率较高的低频信号强度较大,这种变化趋势在更远的距离下更为显著,可以看出2000 Hz的时候,相对于500Hz时的磁场幅度几乎增大了一个量级,根据文献[9]和[29],HAARP 在2005 和2007 年两次实验中,位于辐射中心36km 的地基接收站,接收到的低频信号,频率从0.5到2kHz,磁感应强度为0.1pT 到pT 量级,信号强度增加了约一个量级,与本文的模拟结果一致.
|
图 9 不同频率下海面上的磁场强度 (a)Bx;(b)By. Fig. 9 The magnetic intensity on the sea at different frequencies |
本文根据全波解理论建立了全波解数值模型,并对由高频电波人工调制电离层所激发的ELF 信号在低电离层以及中性大气层中的波场进行了分析.结果表明,文中所建立的全波解模型能较好地和实验结果相吻合,在海面上所激发的低频信号的波场振幅约在pT 量级,对于激发出的向上传播的ELF波会形成波束,波束的宽度与调制电流的尺度相当,对于所激发出的向下传播的ELF波会在中性大气层中形成地球-电离层波导.随着纬度的降低,电波的衰减越来越大,所能接收到的场也就越来越小,另外,对于相同地理位置所激发出的ELF 频段的电磁波,频率越低,损耗越大,而且,在低纬地区,低频信号所能透射出低电离层的角度十分有限,所以,虽然低纬地区上空有天然形成的赤道电急流,通过调制加热可以形成有效的辐射源,但是由于衰减很大,所以能量损失很剧烈,因而也很难向下传播进入地球-电离层波导.
本文的全波解模型中认为辐射源只处于某一平面内,实际上辐射源在各个有效的加热区域层面上都应该存在,应该考虑它们的叠加效应.而且辐射源不仅仅是在东西方向上,在南北向同样应该存在,因为加热所引起的调制区域是在空间上都有分布.另外,虽然该模型能够给出南北向波场强的分布情况,但是并没有考虑地球曲率的影响,并且认为电离层参数只随高度变化,在今后的研究中,都需要重点考虑,另外在地球-电离层波导中如何克服k=k0 的共振情况还需要进一步改进.
| [1] | 夏明耀, 陈志雨. 电离层人工调制的极低频辐射和在潜艇通信中的应用探讨. 电子科学学刊 , 1995, 17(2): 125–133. Xia M Y, Chen Z Y. Investigation of ELF radiation generated by artificially modulated ionosphere and its applicability to communication to submarines. Journal of Electronics (in Chinese) (in Chinese) , 1995, 17(2): 125-133. |
| [2] | Inan U S, Bell T F, Helliwell R A. Nonlinear pitch angle scattering of energetic electrons by Coherent VLF waves in the magnetosphere. J. Geophys. Res. , 1978, 83(A7): 3235-3253. DOI:10.1029/JA083iA07p03235 |
| [3] | Inan U S, Golkowski M, Carpenter D L, et al. Multi-hop whistler-mode ELF/VLF signals and triggered emissions excited by the HAARP HF heater. Geophys. Res. Lett. , 2004, 31(24): L24805. DOI:10.1029/2004GL021647 |
| [4] | James H, Inan U S, Rietveld M T. Observations on the DE-1 spacecraft of ELF/VLF waves generated by an ionospheric heater. J. Geophys. Res. , 1990, 95(A8): 12187-12195. DOI:10.1029/JA095iA08p12187 |
| [5] | 李柳元, 曹晋滨, 周国成. 哨声模波对高能电子槽区和外辐射带的调节作用. 地球物理学报 , 2008, 51(2): 316–423. Li L Y, Cao J B, Zhou G C. Whistler-mode waves modify the high-energy electron slot region and the outer radiation belt. Chinese J. Geophys. (in Chinese) (in Chinese) , 2008, 51(2): 316-423. |
| [6] | Stubbe P, Kopka H, Dowden R L. Generation of ELF and VLF waves by polar electrojet modulation: Experimental results. J. Geophys. Res. , 1981, 86(A11): 9073-9078. DOI:10.1029/JA086iA11p09073 |
| [7] | James H G, Dowden R L, Rietveld M T, et al. Simultaneous observations of ELF waves from an artificially modulated auroral electrojet in space and on the ground. J. Geophys. Res. , 1984, 89(A3): 1655-1666. DOI:10.1029/JA089iA03p01655 |
| [8] | Rietveld M T, Stubbe P, Kopka H. On the frequency dependence of ELF/VLF waves produced by modulated ionospheric heating. Radio Sci. , 1989, 24(3): 270-278. DOI:10.1029/RS024i003p00270 |
| [9] | Platino M, Inan U S, Bell T F, et al. DEMETER observations of ELF waves injected with the HAARP HF transmitter. Geophys. Res. Lett. , 2006, 33(16): L16101. DOI:10.1029/2006GL026462 |
| [10] | Papadopoulos K, Chang C L, Vitello P, et al. On the efficiency of ionospheric ELF generation. Radio. Sci. , 1990, 25(6): 1311-1320. DOI:10.1029/RS025i006p01311 |
| [11] | Barr R, Stubbe P. ELF radiation from the Troms? "Super Heater" facility. Geophys. Res. Lett. , 1991, 18(6): 1035-1038. DOI:10.1029/91GL01156 |
| [12] | Barr R, Stubbe P. ELF harmonic radiation from the Troms? heating facility. Geophys. Res. Lett. , 1993, 20(20): 2243-2246. DOI:10.1029/93GL02495 |
| [13] | Barr R, Stubbe P. The 'Polar Electrojet Antenna’ as a source of ELF radiation in the Earth-ionosphere waveguide. J. Atmos. Terr. Phys. , 1984, 46(4): 315-320. DOI:10.1016/0021-9169(84)90115-6 |
| [14] | Barr R, Rietveld M D, Kopha H, et al. Extra-Low-Frequency radiation from the polar electrojet antenna. Nature , 1985, 317(6033): 155-157. DOI:10.1038/317155a0 |
| [15] | Ferraro A J, Lee H S, Allshouse R, et al. Characteristics of ionospheric ELF radiation generated by HF heating. J. Atmos. Terr. Phys. , 1984, 46(10): 855-865. DOI:10.1016/0021-9169(84)90025-4 |
| [16] | Milikh G, Papadopoulos K, McCarrick M, et al. ELF emission generated by the HAARP HF-heater using varying frequency and polarization. Radiophysics and Quantum Electronics , 1999, 42(8): 639-646. DOI:10.1007/BF02676849 |
| [17] | Pitteway M L V. The numerical calculation of wave-fields, reflexion coefficients and polarizations for long radio waves in the lower ionosphere I. Phil. Trans. R. Soc. London, Ser. A , 1965, 257(1079): 219-241. DOI:10.1098/rsta.1965.0004 |
| [18] | Wait J R. Electromagnetic Waves in Stratified Media. (2nd ed). New York: Pergamon, 1970 . |
| [19] | Tsuruda K. Penetration and reflection of VLF waves through the ionosphere: Full Wave calculations with ground effect. J. Atmos. Terr. Phys. , 1973, 35(7): 1377-1405. DOI:10.1016/0021-9169(73)90170-0 |
| [20] | Nagano I, Mambo M, Hutatsuishi G. Numerical calculation of electromagnetic waves in an anisotropic multilayered medium. Radio Sci. , 1975, 10(6): 611-617. DOI:10.1029/RS010i006p00611 |
| [21] | Budden K G. The Propagation of Radio Waves, Press Syndicate of the University of Cambridge. 32 East 57th Street, New York, NY 10022, USA. 1985 . |
| [22] | Nygre'n T. A method of full wave analysis with improved stability. Planet. Space Sci. , 1982, 30(4): 427-430. DOI:10.1016/0032-0633(82)90048-4 |
| [23] | Lehtinen N G, Inan U S. Emission of ELF/VLF waves by a modulated electrojet upwards into the ionosphere and into the earthionosphere waveguide. Eos. Trans. AGU , 2007, 88(52). |
| [24] | 徐继生, 莫启绪. 低纬哨声通过低电离层传播的透射特征--全波解. 地球物理学报 , 1989, 32(3): 257–261. Xu J S, Mo Q X. Transmission characteristic of low latitude whistlers through the lower ionosphere-Full wave method. Chinese J. Geophys. (in Chinese) (in Chinese) , 1989, 32(3): 257-261. |
| [25] | 李凯, 潘威炎. 非均匀电离层中VLF辐射源在海面上产生的场. 电波科学学报 , 1998, 13(3): 256–269. Li K, Pan W Y. The VLF field on the sea surface generated by the transmitter antenna in the inhomogeneous ionosphere. Chinese Journal of Radio Science (in Chinese) (in Chinese) , 1998, 13(3): 256-269. |
| [26] | 潘威炎. 卫星上的VLF发射装置在海面上产生的场. 空间科学学报 , 1996, 16(1): 62–70. Pan W Y. The VLF field on the surface of the sea generated by the spaceborne transmitter and antenna. Chinese Journal of Space Science (in Chinese) , 1996, 16(1): 62-70. |
| [27] | 潘威炎. 长波超长波极长波传播. 成都: 电子科技大学出版社, 2004 . Pan W Y. LF/VLF/ELF Wave Propagation (in Chinese) (in Chinese). Chengdu: Published by University of Electronic Science and Technology, 2004 . |
| [28] | 汪枫, 赵正予, 张援农. 低纬地区电离层电流的人工调制数值模拟. 地球物理学报 , 2009, 52(4): 887–894. Wang F, Zhao Z Y, Zhang Y N. Numerical modeling of ionospheric current artificial modulation at low latitude. Chinese J. Geophys. (in Chinese) (in Chinese) , 2009, 52(4): 887-894. |
| [29] | Piddyachiy D, Inan U S, Bell T F, et al. DEMETER observations of an intense upgoing column of ELF/VLF radiation excited by the HAARP HF heater. J. Geophys. Res. , 2008, 113: A10308. DOI:10.1029/2008JA013208 |
| [30] | Budilin L V, Getmantsev G G, Kapustin P A, et al. Localization of the altitude of nonlinear currents responsible for low- frequency emission in the ionosphere. Radiofizika , 1977, 20(1): 83-86. |
2012, Vol. 55
