地球物理学报  2011, Vol. 54 Issue (9): 2407-2411   PDF    
基于改进的广义S变换的低频吸收衰减梯度检测
张固澜     
中国石油集团东方地球物理公司新兴物探开发处,河北 涿州 072751
摘要: 本文利用一种改进的广义S变换对地震波进行时频分解,求取地震波低频段时频谱的吸收衰减梯度,并与利用传统的广义S变换得到的高频段及低频段的吸收衰减梯度进行对比,以期更好地指示油气.理论推导、数值模拟及实际应用结果表明:基于改进的广义S变换的低频吸收衰减梯度可与传统的广义S变换得到的高频吸收衰减梯度相互佐证,更好指示油气.
关键词: 改进的广义S变换      高频      低频      吸收衰减梯度     
Low-frequency absorption attenuation gradient detection based on improved generalized S transform
ZHANG Gu-Lan     
BGP Inc., China National Petroleum Corporation, Hebei Zhuozhou 072751, China
Abstract: In this paper, we take the advantage of high time-frequency resolution of the improved generalized S transform and use the time-frequency spectrum at low frequency to determine seismic attenuation gradient, then compare the result with the attenuation gradient based on conventional generalized S transform in order to get better oil and gas indication. The theoretical analysis, numerical simulation, and application of results show that the low-frequency absorption attenuation gradient based on improved generalized S transform and the high-frequency absorption attenuation gradient based on conventional generalized S transform can mutually support each other and better indicate the existence of oil and gas.
Key words: Improved generalized S transform      High frequency      Low frequency      Absorption attenuation gradient     
1 引言

衰减是地震波在地下介质传播中总能量的损失,是介质内在的属性,因此可以利用地震波的振幅和频率的衰减信息进行含油气性预测.近年来,人们利用时频分析获得地震波的时频谱[1, 2],进而进行低频阴影[3~6]分析和吸收衰减梯度[7~11]检测,以分析含油气情况,取得不错的效果.但当高频中含有比较强的干扰信号时,吸收衰减梯度并不能很好的指示油气.

地震记录成分主要为中低频,为突显低频衰减梯度,需要一种对低频检测灵敏的时频分析方法.短时傅里叶变换时窗固定、时频网格等宽、不能随频率改变,对高低频信号检测不利.S变换[12, 13]和广义S变换[14, 15],时窗宽度随频率f呈反比变化,低频段时窗较宽,获得较高的频率分辨率;高频段时窗较窄,获得很高的时间分辨率,仍然不利于低频检测.

本文利用一种改进的广义S变换[16, 17](其采用频率窗宽度随频率f呈反比变化高斯窗函数,在低频段频率窗较宽,获得较高的时间分辨率),求取地震波低频段吸收衰减梯度,并与利用广义S变换求取的高频段和低频段吸收衰减梯度进行对比,以期更好地指示油气.

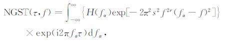
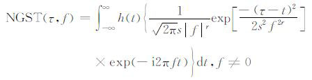
2 改进的广义S变换(NGST)

改进的广义S变换,其在低频段具有更高的时间分辨率,能更好地刻画吸收衰减情况.NGST 正变换可以表示为

(1)

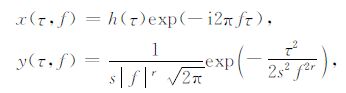
频域表示:

(2)

(3)

(4)

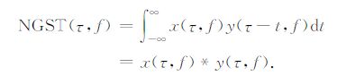
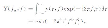
定义τfα 的傅里叶变换,令

则有:

(5)

(6)

(7)

3 地震波频率吸收衰减梯度 3.1 方法原理

地震波吸收衰减梯度核心是求取信号谱指数衰减系数.该技术的重要指导思想是假定在分析区域中地层的岩性相对稳定,衰减(地层Q)在层与层之间缓慢变化,消除缓慢变化的背景值,剩下的异常就是有意义的.

利用时频分析方法对地震信号进行时频分解,得到每个采样点的时频谱.在低频段选择合适的频段,然后对该频段内的时频谱进行指数拟合,得到吸收衰减梯度.

3.2 理论数据试算

为验证方法的正确性,利用图 1a的速度模型,结合弥散黏滞型波动方程进行了地震波场模拟,并对模拟的地震剖面进行吸收衰减梯度计算.模型说明:除含气层5的内摩擦系数f=50 Hz, 黏滞系数η=30m2·s-1,其他地层内摩擦系数和黏滞系数均为零.

图 1 (a)速度模型及(b)正演地震记录 Fig. 1 Velocity model (a) and forward seismic record (b)

由于传统的广义S变换采用时窗宽度随频率f呈反比变化的高斯窗函数,在低频段时窗较宽,获得较高的频率分辨率;高频段时窗较窄,获得很高的时间分辨率.因此低频段吸收衰减梯度指示的油气范围比高频段吸收衰减梯度的大.

改进的广义S变换在低频段获得较高的时间分辨率,因此图 2b图 2c在目的层面貌几乎相同,但图 2c中明显消除了目的层上方的干扰.在图 2 中,含气层吸收衰减梯度明显增大,很好地指示了油气.

图 2 正演地震数据的吸收衰减梯度 (a)利用广义S变换得到的低频吸收衰减梯度;(b)利用广义S变换得到的高频吸收衰减梯度;(c)利用改进的广义S变换得到的低频吸收衰减梯度. Fig. 2 Absorption attenuation gradient of forward seismic record (a) Absorption attenuation gradient of low frequencies with generalized S transform; (b) Absorption attenuation gradient of high frequencies with generalized S transform; (c) Absorption attenuation gradient of low frequencies with improved generalized S ransform.
3.3 实际数据试算

利用上述的吸收衰减梯度计算方法,针对含油气情况已知井的垂直地震剖面(VSP)资料进行了高频和低频吸收衰减梯度计算及分析.

该井为一口含气井,实钻结果显示:含气主要出现在1.78~1.79S处.

图 3a为该井VSP[18]波场上行波拉平后的剖面,图 3b为传统的广义S变换得到的瞬时主频(时频谱中振幅最大时对应的频率),可明显看出含气层对应的频率明显降低.

图 3 动校正后的上行波及其频率属性 (a)动校正后的上行波;(b)瞬时频率. Fig. 3 Up going wave after NMO and frequency attribute (a) Up going wave after NMO;(b) Instant frequency.

图 4a图 4b分别为利用传统的广义S变换分别对低频段和高频段的时频谱计算得到的吸收衰减梯度.在目的层吸收衰减明显增大,与瞬时主频减小的现象吻合.传统的广义S变换在低频段时窗较宽,获得较高的频率分辨率,时间分辨率较低;高频段时窗较窄,获得很高的时间分辨率,因此图 4a图 4b而言,红色区域(吸收衰减梯度大)范围较大.

图 4图 2,但为利用图 3a地震数据 Fig. 4 Same as Fig.2,but for seismic data of Fig.3a

图 4c为利用本文提出的改进的广义S 变换对低频段时频谱计算得到的吸收衰减梯度.对比图 4a~图 4c,在目的层的吻合情况很好.图 4c中强吸收衰减刚好对应含气层,时间分辨率较图 4a图 4b明显提高(红色区域范围更小,厚度更薄,具有条带状,横向延续性更好).同时,图 4c在浅层没有强吸收衰减异常明显的情况,降低了多解性.

图 5为利用零偏VSP 资料初至时间求取的层速度.当地层中含有油气时,地层的速度要降低.在目的层1.78~1.79S处的层速度相比围岩而言,明显减小.

图 5 层速度 Fig. 5 Layer velocity

联合图 4图 5进行综合解释,会降低多解性,对油气层的刻画会更加精准.

4 结论

本文利用改进的广义S变换对低频良好的时间分辨率求取低频吸收衰减梯度,同时与利用广义S变换求得的低频和高频衰减梯度进行对比.实际应用效果表明:基于改进的广义S变换的低频吸收衰减梯度具有更高的灵活性和适应能力,可以为油气检测提供一种可行的手段,直接指示油气的存在.

需要指出:实际应用中首先要对原始资料进行分析,掌握干扰信号的频率特征,然后确定参与时频分析的地震波频带范围,尽量避开强干扰信号的影响.若要更好地利用吸收衰减梯度进行油气指示,可将传统的广义S变换计算得到的高频及低频段吸收衰减梯度和改进的广义S变换计算得到的低频段吸收衰减梯度综合应用,以达到最佳的组合效果.

致谢

衷心感谢熊晓军博士对作者的帮助与支持.

参考文献
[1] Taner M T, Koehler F, Sheriff R E. Complex seismic trace analysis. Geophysics , 1979, 44(6): 1041-1063. DOI:10.1190/1.1440994
[2] Stockwell R G, Mansinha L, Lowe R P. Localization of the complex spectrum: the S transform. IEEE Transactions on Signal Processing , 1996, 44(4): 998-1001. DOI:10.1109/78.492555
[3] Castagna J P, Sun S, Siegfried R W. Instantaneous spectral analysis: Detection of low-frequency shadows associated with hydrocarbons. The Leading Edge , 2003, 22(2): 120-127. DOI:10.1190/1.1559038
[4] Korneev V A, Goloshubin G M, Daley T M, et al. Seismic low-frequency effects in monitoring fluid-saturated reservoirs. Geophysics , 2004, 69(2): 522-532. DOI:10.1190/1.1707072
[5] He Z H, Xiong X J, Bian L E. Numerical simulation of seismic low-frequency shadows and its application. Applied Geophysics , 2008, 5(4): 301-306. DOI:10.1007/s11770-008-0040-4
[6] 陈学华, 贺振华, 黄德济, 等. 时频域油气储层低频阴影检测. 地球物理学报 , 2009, 52(1): 215–221. Chen X H, He Z H, Huang D J, et al. Low frequency shadow detection of gas reservoirs in time-frequency domain. Chinese J. Geophys. (in Chinese) , 2009, 52(1): 215-221.
[7] 王卫华. 瞬时等效吸收系数反演方法与应用. 石油地球物理勘探 , 1992, 27(4): 431–443. Wang W H. Inversion of instantaneous equivalent absorption coefficient and its application. Oil Geophysical Prospecting (in Chinese) , 1992, 27(4): 431-443.
[8] 黄中玉, 王于静, 苏永昌. 一种新的地震波衰减分析方法——预测油气异常的有效工具. 石油地球物理勘探 , 2000, 35(6): 768–773. Huang Z Y, Wang Y J, Su Y C. A new analysis method for seismic wave attenuation: effective tool for predicting hydrocarbon anomaly. Oil Geophysical Prospecting (in Chinese) , 2000, 35(6): 768-773.
[9] 刘喜武, 年静波, 刘洪. 基于广义S变换的地震波能量衰减分析. 勘探地球物理进展 , 2006, 29(1): 20–24. Liu X W, Nian J B, Liu H. Generalized S-transform based seismic attenuation analysis. Progress in Exploration Geophysics (in Chinese) , 2006, 29(1): 20-24.
[10] 徐峰, 冯诗齐. 基于时频分析的地层吸收系数计算方法. 海洋石油 , 2007, 27(4): 1–8. Xu F, Feng S Q. A method for calculating layer absorption coefficient based on time-frequency analysis. Offshore Oil (in Chinese) , 2007, 27(4): 1-8.
[11] 董宁, 杨立强. 基于小波变换的吸收衰减技术在塔河油田储层预测中的应用研究. 地球物理学进展 , 2008, 23(2): 533–538. Dong N, Yang L Q. Application of absorption and attenuation based on wavelet transform for prediction of reservoir in Tahe oilfield. Progress in Geophysics (in Chinese) , 2008, 23(2): 533-538.
[12] 陈雨红, 杨长春, 曹齐放, 等. 几种时频分析方法比较. 地球物理学进展 , 2006, 21(4): 1180–1185. Chen Y H, Yang C C, Cao Q F, et al. The comparison of some time-frequency analysis methods. Progress in Geophysics (in Chinese) , 2006, 21(4): 1180-1185.
[13] 王云专, 兰金涛, 龙玉沙. 基于S变换的随机噪声压制方法. 地球物理学进展 , 2010, 25(2): 562–567. Wang Y Z, Lan J T, Long Y S. The method for attenuating random noise based on Stransform. Progress in Geophysics (in Chinese) , 2010, 25(2): 562-567.
[14] 高静怀, 汪文秉, 朱光明, 等. 地震资料处理中小波函数的选取研究. 地球物理学报 , 1996, 39(3): 392–400. Gao J H, Wang W B, Zhu G M, et al. On the choice of wavelet functions for seismic data processing. Chinese J. Geophys. (in Chinese) , 1996, 39(3): 392-400.
[15] 高静怀, 陈文超, 李幼铭, 等. 广义S变换与薄互层地震响应分析. 地球物理学报 , 2003, 46(4): 526–532. Gao J H, Chen W C, Li Y M, et al. Generalized S transform and seismic response analysis of thin interbeds. Chinese J. Geophys. (in Chinese) , 2003, 46(4): 526-532.
[16] 张固澜, 熊晓军, 容娇君, 等. 基于改进的广义S变换的地层吸收衰减补偿. 石油地球物理勘探 , 2010, 45(4): 512–515. Zhang G L, Xiong X J, Rong J J, et al. Stratum absorption and attenuation compensation based on improved generalized S-transform. Oil Geophysical Prospecting (in Chinese) , 2010, 45(4): 512-515.
[17] 张固澜, 贺振华, 张彦斌, 等. 基于改进的广义S变换的低频阴影检测. 地球物理学进展 , 2010, 25(6): 2040–2044. Zhang G L, He Z H, Zhang Y B, et al. Detection of low-frequency shadow based on improved generalized S-transform. Progress in Geophysics (in Chinese) , 2010, 25(6): 2040-2044.
[18] 朱光明. 垂直地震剖面法. 北京: 石油工业出版社, 1988 . Zhu G M. Vertical Seismic Profiling (in Chinese). Beijing: Petroleum Industry Press, 1988 .