2. 长安大学,西安 710054
2. Chang'an University. Xi'an 710054, China
随着油气勘探的不断深入、硬件运算能力的不断提升,勘探要求的精度越来越高,勘探目标也越来越复杂,以岩性、物性为依据的勘探迅速发展.地震波衰减研究由于能更有效地利用丰富的地震波场信息,因此成为油气勘探中重要的研究方向[1].地层的吸收衰减特性是影响地震勘探分辨率的一个重要因素.不同岩性的地层有不同的衰减特性[2, 3],并且不同岩层之间衰减特性的差异比它们之间速度的差异更明显,通常达1~2个数量级[1].
Spencer等[4]的研究表明,地震波在地层中的衰减为扩散衰减和吸收衰减之和,在大于10Hz时,随着频率的升高吸收衰减将占主要部分.利用地震资料求取地震波的衰减可以反映地层的吸收性质,预测地层的岩性、含流体类型、流体饱和度、压力以及渗透率等[5, 6],通过其空间分布可以进行油藏描述和油气预测,对于非构造油气圈闭的勘探具有重要作用,可以直接用来寻找油气[7, 8].而VSP(Vertical Seismic Profiling)记录是联系、对比测井资料和地震资料,以确定地质层位的有效工具[9~11],是进行地质解释、确定反射波组地质属性不可缺少的资料.所以在制作合成地震记录时引入衰减因素,可以使生成的记录更好地与实际记录进行对比,其衰减参数可以提供有价值的地层和岩性信息.
Wyatt[12]提出了利用一维波动方程分解和层状构造理论用于制作零偏VSP合成地震记录,即合成垂直地震剖面(SVSP).但该理论是基于均匀、各向同性、完全弹性的介质.Ganley[13]于同年提出了含有衰减特性的合成VSP理论.其算法假设各层是均匀、各向同性、非完全弹性的介质.后者显然后者更能反映实际的地层.Temme和Mulley于1982发表的反射率法[14]实际上与Ganley 的作法类似.高静怀等[15]曾在1991年利用文献[13]的方法进行合成地震记录的制作.但Ganley 及高静怀的模型试验[13, 15]只给出了震源位于第一层介质以上(震源处向上传播的能量直接到达自由界面,而不遇到地下反射界面)的计算结果.应用上述的计算方法,我们发现Ganley的算法对于震源位于第一层介质以下的深度,当震源上方的直达波遇到反射界面进行下行反射时,出现了下行波的错断、上移现象,这说明波场出现了提前到达的误差.为此,通过分析及试验,对原公式震源上方传输方程系数矩阵中涉及走时的项将进行修正.
本文基于Ganley理论对含有衰减的零偏VSP资料进行正演研究.一方面,与不含有衰减的合成记录对比,即通过对上行波、下行波的能量强度对比、时频分析对比等,揭示衰减特性在能量消耗、频率吸收等方面的表征;另一方面,通过不断试验,对 Ganley理论进行修正,生成符合传播规律的零偏 VSP合成记录,揭示修正的准确性和合理性.
2 震源位于地表时的Ganley正演理论VSP记录能够在井下不同深度直接观测震源子波的变化,帮助了解反射和透射过程,揭示地下有用的地层和岩性信息[16, 17],因而能够提供良好的地震波衰减资料[18].Ganley的正演衰减理论[13],考虑反射、透射,分析建立同一地层顶面、底面及同一分界面上、下的上行波、下行波的传播规律,从而得到逐层递推关系.
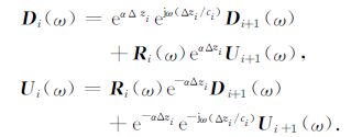
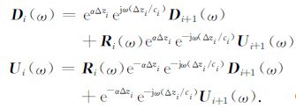
2.1 正演理论设Di(ω)和Ui(ω)分别为第i层顶面的下行波和上行波,D′i(ω)和U′i(ω)分别为第i层底面的下行波和上行波,Ri(ω)和Ti(ω)分别为第i层顶面的反射和透射系数,R′i(ω)和T′i(ω)分别为第i层底面的反射和透射系数,Δzi和ci分别为第i层的层厚和相速度.考虑上行波和下行波传到地层分界面i、i+1及在同一层内考虑地层介质固有的衰减作用,可求得第i层与第i+1层上行波、下行波的递推关系式为
|
(1) |
其中,
|
(2) |
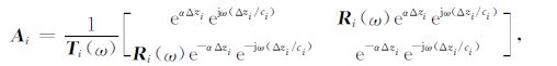
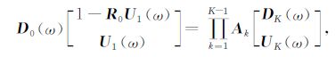
那么,对于N层介质,利用递推关系就可以求得各层的正演记录:
|
(3) |
公式(3)称为传输矩阵方程,
对于N层介质,因为N层之下没有上行波,即UN+1=0;另外,当输入震源信号是单位脉冲时,自由界面反射系数为R0(ω),则第一层的上行波、下行波之间存在如下关系式:
|
(4) |
由此,式(3)可变换为
|
(5) |
通过求解(4)和(5)式,可得到D1(ω)和U1(ω),进而可通过(3)式求得任意层独立的上行波场和下行波场.
2.2 模型应用为了验证上述原理的正确性及显示地震波衰减特性,设计一个8层的地质模型,每层具有不同的品质因子,而且将第5层设计为高速致密的厚层,第6层为低速疏松的薄层,其参数如表 1所示.震源位于地表 0 m, 检波点间距25 m, 第一个检波点位于井中25m, 共60 道接收.同时利用Wyatt理论进行 SVSP记录的正演,以期通过对比揭示吸收衰减的特征.
|
|
表 1 一个8层的地质模型参数 Table 1 The parameters of geologic model with eight layers |
图 1是对模型生成的零偏VSP 下行波场正演的结果.其中,图 1a是不含有吸收衰减特性的正演记录,图 1b是各层均具有不同品质因子的正演记录.通过对比可以看出:两者特征一致,各同相轴到达时间准确、相位一致.因为第5个反射界面的反射系数为负值,两者均发生相位反转.不同之处在于:后者的地震波能量损失严重,波形随着地震波不断向下传播而逐渐展宽,频率降低.
|
图 1 模型零偏VSP合成的下行波记录对比 (a)模型的下行波正演记录(无吸收衰减);(b)模型的下行波正演记录(含吸收衰减). Fig. 1 The contrastion of down-going wavefield of the model with attenuation or not (a) Down-going wavefield of the model without attenuation; (b) Down-going wavefield of the model with attenuation |
图 2是对模型生成的上行波正演记录.从第2、6、10、14、18、22 和32 道开始出现的上行波的同相轴分别对应于50、150、250、350、450、550m 和800m的地质分界面,到时准确并各自向上传播,符合地震波传播规律;在第5个分界面出现相位反转;随着传播距离的增大,能量逐渐减弱;含有衰减的地层能量吸收严重,深部能量变得很小,几乎不可见;而且,在含有衰减的地层中传播时,上行波的波形变宽.
|
图 2 模型零偏VSP合成上行波记录对比 (a)模型的上行波正演记录(无吸收衰减);(b)模型的上行波正演记录(含吸收衰减). Fig. 2 The contrastion of up-going wavefield of the model with attenuation or not (a) Up-going wavefield of the model without attenuation; (b) Up-going wavefield of the model with attenuation. |
为了更清晰地显示衰减对地震波频率的影响,对其中的第10、20 和30 接收道(对应深度从浅到深)的数据利用S 变换进行时频分析,其结果见图 3.从图中可以看出,主频从第10道的80Hz减小到第30道的60Hz, 其高频成分衰减很快,第30道大于250Hz的频率成分几乎为0(输入频率范围为0~500Hz).
|
图 3 第10、20和30接收道时频分析对比 (a)第10道数据时频分析(检波点埋深250m);(b)第20道数据时频分析(检波点埋深500m);(c)第30道数据时频分析(检波点埋深750m). Fig. 3 Frequency analysis of three channels with different depths (a) Frequency analysis of the tenth channel underground 250 m;(b) Frequency analysis of the twentieth channel underground 500 m;(c) Frequency analysis of the thirtieth channel underground 750 m. |
在第2节中,给出了震源位于地表时的上行波、下行波计算公式,并且通过模型验证了其方法理论的正确性.那么,当震源不在地表而在地下某一层时,震源激发的地震波将分别向上、向下传播,则需要进行震源信息的转换.
3.1 震源位于地下某一深度时的理论在震源位于地表的公式基础上考虑震源位于地下某一深度处震源能量向上、向下传播的变化,设Rs(ω)、Ts(ω)分别是从地表到震源深度之间地层反射系数、透射系数的傅氏变换;R′s(ω)、T′s(ω)表示从震源到地表深度之间地层反射系数、透射系数的傅氏变换.从以下4个方面进行考虑(参考文献[13]):
(1) 从U1(ω)减去震源上方地层反射系数的傅氏变换Rs(ω)(地表和震源之间的地层反射系数的贡献);(2)将激发能量转换为在震源深度处的一个单位脉冲;(3)消除震源深度处的地表虚反射;(4)考虑从震源到地表的直达波.
当震源位于第L层,则第1 层的下行波、上行波为
|
(6) |
|
(7) |
对于震源以上的地层(K<L)
|
(8) |
对于震源以下的地层(K>L)
|
(9) |
其中D0(ω)为震源上方各层的传输效应在地表的响应.
3.2 模型应用将模型中的震源位置调整到地下50 m 深度处,即位于第一层和第二层的分界面上,值得注意的是,该震源位置的上方除了自由表面外没有其他的反射界面.第一个检波点深度0 m, 检波点间距25m.计算出的结果见图 4.正演结果中,从震源位置开始,激发的直达波向上、向下传播,各同相轴出现的深度与地质模型的分界面深度吻合,各层上行波、下行波的走时均符合传播规律.
|
图 4 利用公式(8)正演震源深度为地下50m 时的记录 Fig. 4 The whole wavefield by formula (8) with source of 50 m underground |
再次将震源深度调整到地下350 m, 即位于第4、5层的分界面上,需要注意的是,该震源位置的上方含有三个反射界面,正演结果见图 5.为了便于观察,将地质模型分层标注到了地震记录上方.从震源点的位置开始,地震波分别向上、向下传播,震源点位置处能量最强,随着远离震源点,地震波传播时间增加,能量逐渐减弱;当直达波向上(或向下)传播遇到分界面时,产生反射和透射,生成向下(或向上)的反射波.但是,从图 5中可以发现:震源处下行波(实线椭圆)及震源上方地层的三个下行波(虚线椭圆)在直达波到达之前就开始出现在分界面处,出现了向上时移的现象,这表明了通过公式(8)计算得到的震源上方的下行波存在提前到达的误差,不符合地震波传播规律.计算分析得知,震源上方的地层产生的下行波上移时间量恰好是地震波在对应反射面之上的那个地质分层中的走时(地震波在第2 层中的走时25ms, 在第3层中的走时50 ms, 在第4层中的走时45ms).
|
图 5 利用公式(8)正演震源深度为350m 时的记录 Fig. 5 The whole wavefield by formula (8) with source of 350m underground |
通过上面的正演记录发现,公式(8)中的震源在第一个地层分界面及以上的深度时(震源所在地层号L≤1),正演结果是符合传播规律的;但是,当震源位置以上存在反射界面(不包含自由表面),即震源位于的地层号L>1 时,震源及震源上方的反射界面的下行波出现上移现象.为此,分析如下:
将公式(2)代入公式(1),则上一层地震波的传播Di(ω)、Ui(ω)可以由下一层地震波的传播Di+1(ω)、Ui+1(ω)表示为
|
(10) |
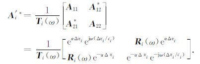
对于震源以上的地层(i≤L,L为震源所在层号)的传播,既然问题出在经过界面反射后的下行波上,那么地将注意力转移到含有反射系数的项
将这个时差从公式中去掉,则(10)式变为
|
(11) |
即需要将震源上方传输方程的系数矩阵修正为
|
(12) |
之所以这样修改,是因为震源上方的地层相对于震源下方的地层,其波的传播是先到达第i+1层,之后才传播到第i层.而这个传播时间已经包含在公式(6)中第一层的上行波中.
修正后的结果见图 6所示.可以看出,震源上方反射界面处下行波是在直达波出现后才向下传播的,符合传播规律,验证了对原公式中震源上方传输方程系数矩阵修正的合理性.
|
图 6 修正后的正演震源深度为350m 时的记录 Fig. 6 The whole wavefield by modified formula with source of 350 m underground |
本文基于Ganley理论,进行了含有衰减的零偏 VSP合成记录的正演.通过计算出的记录和不含衰减特性记录的对比,揭示了衰减在频率、能量上的表征,并在计算过程中,发现利用Ganley原理在震源位于地下某反射界面以下进行计算时,存在下行波提前到达的错误,通过分析找到其原因并加以修正,对比结果显示了修正的合理性.
需要注意的是,该方法只适用于法线入射的情况.对于非法线入射情况下的VSP 合成记录,将在界面上出现P波和S波,并出现波型的转换.Haskell提出了在频率域进行矩阵迭代运算的方法[19],但该方法要求频率极高的采样率以避免假频;Aminzade提出利用逆τ-p变换进行不同入射角的VSP 地震记录合成[20].这将是下一步的研究方向.
| [1] | Best A I, McCann C, Sothcott J. The relationships between the velocities, attenuations and petrophysical properties of reservoir sedimentary rocks. Geophysical Prospecting , 1994, 42(2): 151-178. DOI:10.1111/gpr.1994.42.issue-2 |
| [2] | Ribodetti A, Virieux J. Asymptotic theory for imaging the attenuation factor Q. Geophysics , 1998, 63(5): 1767-1778. DOI:10.1190/1.1444471 |
| [3] | Rickett J. Integrated estimation of interval-attenuation profiles. Geophysics , 2006, 71(4): A19-A23. DOI:10.1190/1.2209722 |
| [4] | Spencer T W, Edwards C M, Sonnad J R. Seismic wave attenuation in nonresolvable cyclic stratification. Geophysics , 1977, 42(5): 939-949. DOI:10.1190/1.1440773 |
| [5] | Li H B, Zhao W Z, Cao H, et al. Measures of scale based on the wavelet scalogram with applications to seismic attenuation. Geophysics , 2006, 71(5): V111-V118. DOI:10.1190/1.2211529 |
| [6] | Bale R A, Stewart R R. The impact of attenuation on the resolution of multicomponent seismic data. SEG International Exposition and 72nd Annual Meeting.2002 |
| [7] | 严又生, 宜明理, 魏新, 等. 井间地震速度和Q值联合层析成像及应用. 石油地球物理勘探 , 2001, 36(1): 9–17. Yan Y S, Yi M L, W X, et al. Joint tomographic imaging for cross-hole seismic velocity and Q value. Oil Geophysical Prospecting (in Chinese) , 2001, 36(1): 9-17. |
| [8] | 辛可锋, 李振春, 王永刚, 等. 地层等效吸收系数反演. 石油物探 , 2001, 40(4): 14–20. Xin K F, Li Z C, Wang Y G, et al. Formation equivalent absorption coefficient inversion. Geophysical Prospecting for Petroleum (in Chinese) , 2001, 40(4): 14-20. |
| [9] | Sams M, Goldberg D. The validity of Q estimates from borehole data using spectral ratios. Geophysics , 1990, 55(1): 97-101. DOI:10.1190/1.1442776 |
| [10] | Patton S W. Robust and least-squares estimation of acoustic attenuation from well-log data. Geophysics , 1988, 53(9): 1225-1232. DOI:10.1190/1.1442563 |
| [11] | Pujol J, Smithson S. Seismic wave attenuation in volcanic rocks from VSP experiments. Geophysics , 1991, 56(9): 1441-1455. DOI:10.1190/1.1443164 |
| [12] | Wyatt K D. Synthetic vertical seismic profile. Geophysics , 1981, 46(6): 880-891. DOI:10.1190/1.1441227 |
| [13] | Ganley D C. A menthod for calculating synthetic seismograms which include the effects of absorption and dispersion. Geophysics , 1981, 46(8): 1100-1107. DOI:10.1190/1.1441250 |
| [14] | Temme P, Muller G. Numerical simulation of vertical seismic profiling. J. Geophysics , 1982, 50(6): 177-188. |
| [15] | 高静怀, 王玉贵. 制作包括吸收和波散效应的VSP合成记录. 西安地质学院学报 , 1991, 13(2): 78–87. Gao J H, Wang Y G. Synthetic seismogram with attenuation and wave-scattering effect. Journal of Xi'an College of Geology (in Chinese) , 1991, 13(2): 78-87. |
| [16] | 孙学继, 杨晓. 合成地震记录制作方法研究. 石油地球物理勘探 , 1997, 32(Suppl. 2): 34–39. Sun X J, Yang X. Research on synthetic seismogram. Oil Geophysical Prospecting (in Chinese) , 1997, 32(Suppl. 2): 34-39. |
| [17] | 朱光明. 垂直地震剖面方法. 北京: 石油工业出版社, 1988 . Zhu G M. The Vertical Seismic Profiling Method (in Chinese). Beijing: Petroleum Industry Press, 1988 . |
| [18] | 王辉, 常旭, 高峰. 井间地震波衰减成像的几种方法. 地球物理学进展 , 2001, 16(1): 104–109. Wang H, Chang X, Gao F. Several methods of crosswell seismic attenuation tomography. Progress in Geophysics (in Chinese) , 2001, 16(1): 104-109. |
| [19] | Haskell N A. The dispersion of surface waves on multilayered media. Bulletin of the Seismological Association of America , 1953, 43(1): 17-34. |
| [20] | Aminzadeh F, Mendel J M. Non-normal incidence state-space model and line source reflection synthetic seismogram. Geophysical Prospecting , 1982, 30(5): 541-568. DOI:10.1111/gpr.1982.30.issue-5 |
2011, Vol. 54

