2. 中国科学技术大学 中国科学院材料力学行为和设计重点实验窒,合肥 230027;
3. 北京石油化工学院 机械工程学院,北京 102671;
4. 中国石油集团 东方地球物理公司研究院,河北涿州 072750
2. CAS Key Laboratory for Mechanical Behavior and Design of Materials,University of Science and Technology of China, Hefei 230027,China;
3. School of Mechanical Engineering,Beijing Institute of Petrochemical Technology,Beijing 102671,China;
4. Geophysical Research Institute of Geophysical Prospecting,China National Petroleum Corporation,Zhuozhou Hebei 072750,China
野外岩石实验的衰减和频率相关的证据比较缺乏,远不如实验室的证据那么充分.Kan等[1]从垂直地震剖面(VSP)数据的频谱比曲线中得到Q与频率相关.同时,Raikes和White[2]在10~375 Hz频率范围内发现Pierre页岩的VSP 数据中Q也与频率相关.Sams等[3]在帝国学院井间试验场对饱和的沉积岩首次进行了垂直地震剖面(30~280 Hz)、井间勘探(0.2~2.3kHz)、声波测井(8~24kHz)和实验室测试(300~900kHz)四类一系列的实验.并从地震到超声的整个频率范围内对速度和衰减进行了估算,得到试验场的沉积岩中的速度和衰减随频率有较大变化.在声波频段,纵波的固有衰减存在一个与频率相关的衰减峰.模拟结果认为绝大部分衰减由纵横比约为10-3~10-4的裂隙引起,衰减主要受孔隙中的局部流体流动影响.De等[4]发现声波测井比VSP 的速度高1% ~7%.Schmitt[5]发现声波测井比VSP 的速度高了20%,在油砂岩中也观察到很大的速度频散.
岩石是极典型的多孔材料,是极具复杂性和分散性的地球介质.这种多孔材料中赋存有各种流体(包括液体和气体),所以岩石材料实际上是一种具有黏弹性特性的黏弹性材料[6].Batzle等[7]在实验室得到速度频散是岩石的非均匀性、孔隙流体性质及液体流动性的复杂函数.所以,地震性质不仅仅受孔隙流体种类的影响,也受液体在岩石内部运动的能力影响.White[8],Gist[9],Pride等[10]都从不同角度提出了速度的频散与岩石内部结构的非均匀性相关.不过,目前被广泛采用的模型机制对影响孔隙流体流动性的骨架特性的考虑尚不够充分,尤其是对低频段范围,仍值得进一步研究.多年来,发表的试验结果以共振杆试验(频率1kHz~10kHz)、超声波试验(500kHz~5 MHz)、声波测井等高频数据为主.关于低频(几Hz到几百Hz)衰减和速度频散的试验数据与超声实验数据相比就少很多,低频试验结果总是能引起人们的极大兴趣和关注.Spencer[11]对岩石和铝柱进行了应力-应变试验,得到了岩石的杨氏模量和泊松比.Batzle等[12, 13]研究了岩石在地震频段的衰减和速度频散受温度的强烈影响,通过实验求得了流度改变而引起的速度变化,由此也发现了这种特殊的机理.Batzle等[14]采用 Spencer相同的装置和方法测量和计算低频速度与频率关系,展示了北海砂岩P波和S波在低频段(5~50Hz, 2.5~3km/s)与高频(500kHz, 3.5km/s)速度上的差别.Batzle等[7]在实验室通过地震到超声频段的地震速度频散和流度的影响,利用共振系统在地震应变振幅为10-7时测量了5~800kHz的弹性性质.Xi等[6, 15, 16]进行了饱和砂岩、大理岩的低频共振实验(0.01~10 Hz)和应力-应变实验(5~50Hz).低频共振实验获得了衰减、模量、波速随频率和温度的变化规律,还获得衰减峰随温度或频率的升高移向高频或高温方向的热激活弛豫规律,获得了模量和波速随温度升高而下降,随频率升高而上升的频散效应.
可见,上述低频实验的结果主要都是通过共振杆实验获得的.基于低频实验数据的奇缺,且大部分由驻波的共振法实验获得,我们拟采用DMA450Metravib热机械分析仪,用5~1000 Hz的正弦波加载方式来研究饱和岩石中的黏弹行为.可以取得人们最关注的低频(几Hz到几百Hz)衰减和速度频散的试验数据.
2 实验方法技术采用四川彭山砂岩和自贡长石砂岩,分别加工成直径为8.9~12mm、长度为46.6~48.5 mm 和直径为9.4mm、长度为50mm 的圆柱形样品;样品两端面平行度<0.02 mm.两种岩样各为10 块,先将加工好的样品放入真空干燥箱进行干燥处理,在45℃烘箱中烘120h 后,并用泵油放入真空缸中淹到样品1/3高度,然后抽真空直至样品表面气泡消失,再注入液体淹到样品2/3高度后再抽真空,到样品表面气泡消失,注入液体将样品全淹没,继续抽真空2h, 直至真空缸压力为0.026个大气压.对它们进行饱和处理,以样品全淹没为准,计算样品饱和时间长达15天,作为饱和样品.实验前对样品的孔隙度、密度、渗透率进行了测试.
本次实验采用从法国引进的DMA450 Metravib热机械分析仪.其测量原理与MTS 伺服控制压机类似,这里就不重复.该仪器是用于控制材料的力学性能和温度行为的主要表征技术,最大力值可达450N 的动态力学分析,频率为10-5~103 Hz, 温度范围为-150~600℃.将处理好的样品置于Metravib试验机的测试平台中心,用502 胶将样品两端面固定在上下压板上.将下压板固定不动,其上压板以对岩石样品上端面施加一已知振幅和频率(避开系统的共振频率)的正弦波应力(σ(t))振动,对样品进行单轴循环加载.用Metravib热机械分析仪可直接测量施加的温度、力(或位移)、应力、砂岩的损耗模量Ei、储能模量Er 和耗散角δ,其衰减Q-1(=tanδ)根据tanδ=Ei/Er 计算;波速也是由测量的模量计算.本实验主要选择力和位移作为控制参数,选择正弦波的频率为5~1000Hz, 分别进行温度谱和频率谱试验.实验时固定静载为100N,正弦波动载荷恒为60N,将总载荷控制在屈服点以下.升温速率为1℃/min, 以此研究饱和岩石的衰减和耗散角、模量和弹性波速度对温度和频率的响应.温度控制的稳定度为±0.1℃;耗散因子的分辨率为10-5;频率的分辨率为0.01%;力的分辨率为0.000024N.
3 实验结果研究材料在稳定振动中的力学行为、应力和应变幅值固然是重要的一个方面.另一方面,应力和应变之间的相位差以及振动过程中的能量损耗也是很重要的,它们是动力学研究的主要参数.随着温度和实验选择的时间尺度的不同,同一材料可具有弹性固体和黏性液体两者之间的黏弹性所有性质,而且在发生应变时有很大的能量耗散,饱和岩石就具有这种黏弹性性质.
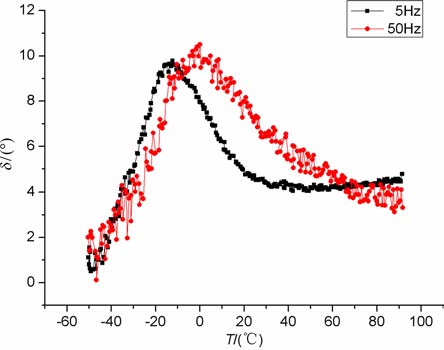
对黏弹性材料施加一个正弦应力作用时,它所产生的应变滞后于应力一个相位角δ(0°<δ<90°).常用tanδ=Ei/Er 来表征岩石的动态力学行为.其中Er 为与应变同相位的实数部分模量,它反映岩石受力变形时变形能在样品中储存的量,称为储能模量.Ei 是与应变相位相差π/2 的虚数部分模量,表示岩石受力变形时能量损耗的多少,常称为损耗模量.当损耗模量很小时,可以近似地认为δ=tanδ.损耗模量Ei 和内耗tanδ 出现一个极大值.合理定义一个反映岩石滞后程度的物理量,并与衰减值Q-1(tanδ)进行比较,是在讨论弛豫、滞后和衰减中面临的一个新问题[17].图 1 为用Metravib 热机械分析仪采用正弦波加载获得的泵油饱和彭山砂岩2耗散角δ 随温度的变化.由图可见,当频率为5Hz时,δ 峰的峰位在-12.4℃左右,δ 峰值强度为9.79°;当频率提高到50 Hz时,δ 峰的峰位升到约0.1℃ 左右,δ 峰值强度增加到10.5°.可见随频率的不断提高,δ 峰峰位向高温方向移动;δ 峰值强度增大.
|
图 1 泵油饱和彭山砂岩2(孔隙度为17.20%)的耗散角3随温度的变化曲线 Fig. 1 Phase angle δ vs.temperature for pump-oil saturated Pengshan sandstone 2 (17.20 % porosity) |
不难看出,通过热机械分析仪,在饱和长石砂岩中同样取得了共振方法所取得的相同的实验结果.即随频率的升高,耗散角δ 峰或衰减峰的峰位向高温方向移动的热激活弛豫规律,也符合Arrhenius关系.这一规律与我们建立的热弛豫模型预测结果一致[18, 19].所以耗散角与衰减具有同等重要的作用.也可作为饱和岩石中地震波衰减的物理机制来进行研究,以便探索地震波衰减、杨氏模量、速度、泊松比等与油、气、水赋存环境的相关性.近年来,随着能源工业的发展,急需探求新的勘探储层的方法技术,相信不久的将来衰减和耗散角的研究也会成为有力的解释工具.
图 2为泵油饱和自贡长石砂岩衰减随温度的变化.由图可见,当频率为5Hz时,衰减峰的峰位在-16.5℃左右,衰减值为0.22.当频率升到10 Hz时,峰位移到了-15.5℃,衰减值为0.23;当频率提高到40Hz时,峰位已向高温方向移到了-1.4℃,衰减值为0.24;当频率最后提高到80 Hz时,峰位也向高温方向移到了0.4℃,衰减强度升到0.25.可见,衰减峰峰位随频率提高向高温方向移动,峰值强度升高的规律与图 1一致,也符合热激活弛豫规律.
|
图 2 泵油饱和自贡长石砂岩(孔隙度为12.84%)衰减随温度的变化 Fig. 2 Attenuation vs.temperature for pump-oil saturated Zigong arkoses (12.84 % porosity) |
图 3 为泵油饱和彭山砂岩5 衰减随温度的变化.由图可见,当频率为50 Hz时,衰减峰的峰位在29℃左右,衰减峰的强度约为0.23.当频率升到100Hz时,衰减峰峰位已向高温方向移到37℃ 左右,峰的强度约为0.21.当频率提高到200 Hz时,峰位已向高温方向移到42℃左右,峰的强度约为0.195.当频率最后提高到400Hz时,峰位向高温方向移到52℃左右,峰值强度已降至0.15.可见,衰减峰峰位随频率提高向高温方向移动的规律与图 1、2 一致,也符合热激活弛豫规律.只是衰减强度随频率的升高而降低与图 1、2随频率的提高衰减强度增大的结果正好相反(0℃左右曲线波动是由静载波动引起).
|
图 3 泵油饱和彭山砂岩5(孔隙度为17.07%)衰减随温度的变化 Fig. 3 Attenuation vs.temperature for pump-oil saturated Pengshan sandstone 5(17.07% porosity) |
图 4 为泵油饱和彭山砂岩5 衰减随频率的变化.图中清晰地显示出10℃时,衰减峰峰位在14Hz左右,衰减峰对应的峰值强度为0.22;当温度升到30℃时,衰减峰峰位向高频方移到了18Hz左右,峰值强度为0.19;当温度继续升高到60℃时,衰减峰峰位向高频方向移到了26 Hz左右,峰值强度降为0.175.由此不难得出:随温度升高,衰减峰峰位向高频方向移动,峰值强度降低.衰减峰峰位的移动同样遵循Arrhenius关系.
|
图 4 泵油饱和彭山砂岩5(孔隙度为17.07%)衰减随频率的变化 Fig. 4 Attenuation vs.frequency for pump-oil saturated Pengshan sandstone 5(17.07% porosity) |
由图 1~4衰减峰峰位随温度或频率的移动规律不难得出,这一规律与我们在0.01~10 Hz的共振实验取得的结果一致[6, 14].也就是说在0.01~10Hz强迫共振范围和5~400Hz频率范围用应力-应变的方法均取得了热弛豫规律,说明在饱和多孔岩石的衰减中均具有热激活弛豫机制这一共性.
从图 1, 2中可以看出随温度的升高衰减峰的强度是增大的,与低频共振实验结果完全一致.由图 3, 4 看出,无论是随温度的升高还是随频率的提高衰减峰的强度都是降低的,低频共振实验结果[6, 15]与此正好相反,从宏观上来讲,共振实验结果无论从物理或地球物理的角度来解释都容易接受,图 3, 4这一实验结果似乎令人费解,下面想对此从两方面作如下解释.在低频共振型衰减中,因频率很低,标本质量可以忽略,因此,随频率的提高衰减峰峰位增高,这是低频共振弛豫机制;但随频率的增高标本的质量已不能忽略,导致衰减峰的强度随频率的增高而降低,该现象属于典型的阻尼型衰减;另外,在多孔饱和岩石中,衰减的机制不只一种,现有的就有 Biot、喷射和热弛豫机制等,主要看那种机制起主导作用,我们认为一般情况下是弛豫机制起主导作用,在某些特定情况下,喷射机制可能起主导作用,无论是三种甚至更多机制的哪一种起主导作用,都是这些机制的宏观表象,而宏观现象应受岩石的微细结构的影响,能够引起与上述实验结果一致规律的细观结构是岩石孔隙裂缝的纵横比[3].因为本文是在弹性范围内研究饱和岩石的滞弹性或黏弹性带来的非线性响应.而且,这一结果是在80℃的温度以下,所以基本上只存在随压力和温度升高饱和岩石旧裂纹的扩展,导致裂纹的纵横比变化,而很难生成新的裂纹.因为这种疲劳条件下,不足以引起新裂纹的产生,仅靠旧裂纹扩展增加的裂纹密度是有限的,可忽略裂纹密度对衰减的影响,仅考虑裂纹的纵横比增大对衰减规律的影响[20].随裂缝纵横比增加,P 波衰减峰向高频方向移动,衰减强度降低[20],这与上述实验和阻尼型衰减结果一致,可见在弹性非线性的研究中,泵油饱和彭山砂岩5 天然的微细观结构对饱和多孔岩石的弹性非线性衰减规律的影响在这里与热弛豫机制一起都起了很重要的作用.
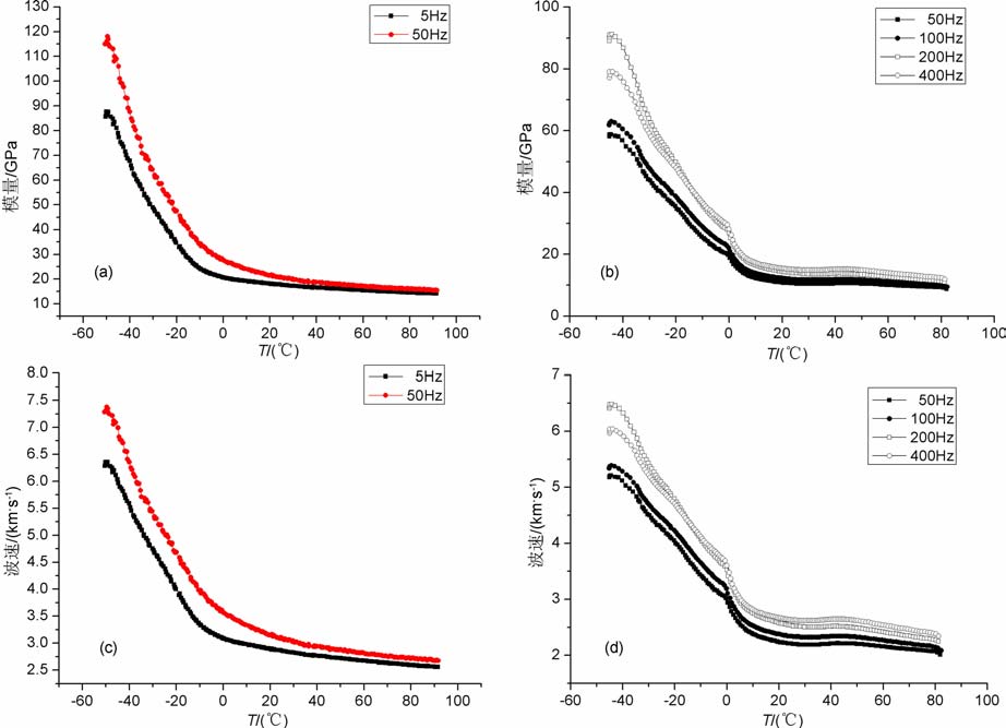
图 5为泵油饱和彭山砂岩模量和波速随温度的变化,其中彭山砂岩5 号在0℃ 左右模量和波速曲线的波动是由静载波动引起.可见,彭山砂岩随着温度的升高模量下降,弹性波速随温度升高也下降,在0℃以下模量和波速值较大,随温度升高,下降的梯度也大.在0℃ 以上彭山砂岩的模量和波速随温度升高缓慢下降,波速值基本在3km/s以下.随着频率的增高模量波速均增大,具有频散效应;随着温度的升高,频散效应有减弱的趋势.
|
图 5 泵油饱和彭山砂岩模量和波速随温度的变化 (a)彭山砂岩2 (孔隙度为17.20%)模量随温度变化;(b)彭山砂岩5 (孔隙度为17.07%)模量随温度变化;(c)彭山砂岩2 (孔隙度为17.20%)波速随温度变化;(d)彭山砂岩5(孔隙度为17.07%)波速随温度变. Fig. 5 Modulus and velocity vs.temperature for pump-oil saturated Pengshan Sandstones (a) Modulus vs.temperature for Sample 2 with porosity 17.20% ; (b) Modulus vs.temperature for Sample 5 with porosity 17.20% ;(c) Velocity vs.temperature for Sample 2 with porosity 17.20% ; (d) Velocity vs.temperature for Sample 5 with porosity 17.20%. |
由图 6可见,彭山砂岩在1~1000 Hz的频率范围内随着频率的增高模量波速增大,5 Hz左右,波速约2.3km/s, 当频率升高到1000 Hz时,波速增大到2.7km/s, 与Batzle等[13]所测得的北海砂岩不同频段的波速有类似之处,同样也具有较强的频散效应,与北海砂岩相比泵油饱和彭山砂岩的频散效应似乎更强一些.随着温度的升高,模量、弹性波速度也下降.由于系统的共振频率在150 Hz左右,模量、弹性波速度随频率变化曲线在150 Hz左右存在一较大波动,这显然是受共振频率的影响.其中在21℃有一条模量随频率变化曲线,频率只作到400Hz, 它在22℃ 曲线稍上面紧挨着22℃ 曲线,可见21℃曲线与22℃ 曲线的差别是温度升高1℃ 引起的;从另一角度来看,21℃ 曲线也是对22℃ 曲线的一个印证,说明该设备的测试精度较高,实验数据可靠.
|
图 6 泵油饱和彭山砂岩5(孔隙度为17.07%)的模量和波速随频率的变化 (a)模量随频率的变化;(b)波速随频率的变化. Fig. 6 Attenuation vs.frequency for pump-oil saturated Pengshan sandstone 5(7.07% porosity) (a) Modulus vs.frequency; (b) Velocity vs.frequency. |
这次实验在频率5~1000 Hz, 温度-50~125℃的范围,获得了泵油饱和长石砂岩和彭山砂岩的衰减峰和耗散角的峰位随频率增高向高温方向移动,随温度升高峰位向高频方向移动的弛豫规律,符合Arrhenius关系.上述结果与我们10 Hz以下的共振实验结果一致.这就已经证实了饱和多孔岩石是一种滞弹性或黏弹性体.这一研究结果还证实了我们的低频共振实验所取得的热激活弛豫规律,也能在比较高频率段的应力-应变实验中获得,证实了热激活弛豫机制具有一定的普遍性,这给理论模型的研究又提供了新的实验基础.
我们是在温度-50~80℃,总载荷控制在饱和砂岩屈服限以下的循环载荷作用的条件下,取得随频率增高衰减峰峰值强度降低的部分实验结果,在该疲劳条件下,将导致已有裂纹的扩展,裂纹的纵横比会增大,不太可能产生新裂纹,仅靠旧裂纹扩展增加的裂纹密度有限,所以裂纹密度可以忽略,而仅考虑裂纹的纵横比对衰减的影响[3].以裂纹的纵横比增加,衰减峰向高频方向移动,衰减强度降低的理论计算结果[20]合理地解释了我们的这一实验结果.虽然可用阻尼衰减很好地解释这一实验现象,不过可以看出,用微细观结构变化导致随频率增高峰值强度下降这一实验现象还有更深层的含意.那就是热激活弛豫规律虽是一唯象结果,但这一结果却与饱和岩石的微细观结构紧密地联系在一起,可见,样品的微细结构也会影响到部分实验规律的变化.在热弛豫理论模型研究中引进岩石细观结构的影响还是必要的,也是很重要的.
本次实验还同时获得杨氏模量和弹性波速度随温度的升高而下降的一般规律,以及随频率增高而增大的频散效应,并获得随温度增高频散效应有减弱的趋势的结果.这次实验的频段已覆盖了天然地震和垂直地震剖面的频率范围,而且这个频段的岩石物理数据十分缺乏,它是地震资料解释中不可缺少的基础数据,所以它对地震波的解释和反演来说是很珍贵的,弥补了这方面资料的不足.这一规律性的实验结果对地震资料的解释人员具有启示性的潜移默化的影响.
在地球物理勘探中岩石物理一直扮演着重要角色,岩石物理研究的作用,尤其在油田勘探和开发中的作用越来越重要.岩石物理技术已经深入到储层描述的具体细节.通过这次对饱和多孔岩石动态力学行为的测试和研究,这种新的岩石物理技术在不断发展中寻求多孔介质中黏滞流体对地震波传播速度的影响.地震波的衰减机制和测量方法技术研究一直处在岩石物理研究的前沿,得到岩石物理研究者的亲昵,因为纵横波衰减比已是重要的碳氢指示参数之一.我们这项新的岩石物理测试技术研究就是为了顺应这一发展形势,希望其实验结果能在这一发展过程中有所作为.从这里也可得出我们的这项研究具有重要的实用价值和理论意义.
| [1] | Kan T K, Batzle M L, Gaiser J E. Attenuation measured from VSP: Evidence of frequency-dependent. Q. Soc. Expl. Geophys. Expanded Abstracts , 1983, 2: 589-590. |
| [2] | Raikes S A, White R E. Measurements of earth attenuation from downhole and surface seismic recordings. Geophys. Prosp. , 1984, 32(5): 892-919. DOI:10.1111/gpr.1984.32.issue-5 |
| [3] | Sams M S, Neep J P, Worthington M H, et al. The measurement of velocity dispersion and frequency-dependent intrinsic attenuation in sedimentary rocks. Geophysics , 1997, 62(5): 1456-1464. DOI:10.1190/1.1444249 |
| [4] | De D S, Winterstein D F, Meadows M A. Comparison of P-and S-wave velocities and Q'S from VSP and sonic log dada. Geophysics , 1994, 59(10): 1512-1529. DOI:10.1190/1.1443541 |
| [5] | Schmitt D R. Seismic attributes for monitoring of a shallow heated heavy oil reservoir: A case study. Geophysics , 1999, 64(2): 368-377. DOI:10.1190/1.1444541 |
| [6] | Xi D Y, Liu X Y, Zhang C Y. The frequency (or time)-temperature equivalence of relaxation in saturated rocks. Pure. Appl. Geophys. , 2007, 164(11): 2157-2173. DOI:10.1007/s00024-007-0270-z |
| [7] | Batzle M L, Han D H, Hofmann R. Fluid mobility and frequency-dependent seismic velocity-direct measurements. Geophysics , 2006, 71(1): N1-N9. |
| [8] | White J E. Computed seismic speeds and attenuation in rocks with partial gas saturation. Geophysics , 1975, 40(2): 224-232. DOI:10.1190/1.1440520 |
| [9] | Gist G A. Interpreting laboratory velocity measurements in partially gas-saturated rocks. Geophysics , 1994, 59(7): 1100-1109. DOI:10.1190/1.1443666 |
| [10] | Pride S R, Harris J M, Johnson D L, et al. Permeability dependence of seismic amplitudes. The Leading Edge , 2003, 22(6): 518-525. DOI:10.1190/1.1587671 |
| [11] | Spencer J W. Stress relaxations at low frequencies in fluid-saturated rocks: Attenuation and modulus dispersion. J. Geophys. Res. , 1981, 86(B3): 1803-1812. DOI:10.1029/JB086iB03p01803 |
| [12] | Batzle M, Wang Z J. Seismic properties of pore fluids. Geophysics , 1992, 57(11): 1396-1408. DOI:10.1190/1.1443207 |
| [13] | Batzle M, Hofmann R, Han D, et al. Attenuation and velocity dispersion at seismic frequencies. Soc. Expl. Geophys., Expanded Abstracts , 1996, 1687-1690. |
| [14] | Batzle M, Hofmann R, Han D H, et al. Fluids and frequency dependent seismic velocity of rocks. The Leading Edge , 2001, 20(2): 168-171. DOI:10.1190/1.1438900 |
| [15] | Xi D Y, Liu B, Liu W, et al. The dependence of relaxation attenuation of saturation rock on time and temperature. Chinese J. Geophys. , 2000, 43(6): 827-834. |
| [16] | Xi D Y, Liu B, Tian X Y. Anisotropy and nonlinear viscoelastic behavior of saturated rocks. Chinese J. Geophys. , 2002, 45(1): 109-118. |
| [17] | 席道瑛, 陈运平, 陶月赞, 等. 岩石的非线性弹性滞后特征. 岩石力学与工程学报 , 2006, 25(6): 1086–1093. Xi D Y, Chen Y P, Tao Y Z, et al. Nonlinear elastic hysteric characteristics of rocks. Chinese J. Rock Mech. Engng. (in Chinese) , 2006, 25(6): 1086-1093. |
| [18] | 杜赟, 席道瑛, 徐松林, 等. 多孔岩石波传播的热弛豫模型修正. 地球物理学报 , 2009, 52(12): 3051–3060. Du Y, Xi D Y, Xu S L, et al. The modification of thermal relaxation mechanism for wave propagation in porous rocks. Chinese J. Geophys. (in Chinese) , 2009, 52(12): 3051-3060. |
| [19] | Xi D Y, Xu S L, Du Y, et al. Wave propagation analysis of porous rocks with the thermal activated relaxation mechanism. Journal of Applied Geophysics , 2011, 73(3): 289-303. DOI:10.1016/j.jappgeo.2011.01.013 |
| [20] | 刘小燕. 二氧化碳深含水层隔离的二相渗流模拟与岩石物理学研究. 合肥: 中国科学技术大学, 2005. Liu X Y. Study of two-phase flow simulation and rock physics model for carbon dioxide sequestration in deep aquifers (in Chinese). Hefei: University of Science and Technology of China, 2005 |
2011, Vol. 54
