华北克拉通的陆核部分孕育于太古-早太古时期,上覆盖层为巨厚的元古代和古生代的沉积层,暗示华北克拉通岩石圈至少在古生代之前一直保持相对稳定[1~3].华北克拉通中、新生代火成岩的广泛侵入与喷出、大量中强地震的密集发生等观测事实暗示,自中、新生代以来华北克拉通正遭受广泛的破坏[4, 5],这一点也逐渐为地球物理研究所证实[6, 7].进一步的地质与地球物理调查研究[8, 9]还显示,华北克拉通不同块体的破坏程度并不一致,鄂尔多斯块体可能是未经破坏或破坏程度甚微的稳定克拉通,东部块体破坏最为显著,而中部块体则可能代表一种过渡型的克拉通.然而,关于华北克拉通破坏的机制仍存在较大争议,典型的有“热侵蚀说"[5]和“拆沉说"等[4].不同的破坏模式必然会导致不同的浅表响应,为此,对华北地壳结构进行研究将为华北克拉通的演化模式提供重要约束.
为研究华北克拉通的地壳结构,前人开展了大量的人工地震与天然地震观测研究[10~17],为认识华北克拉通不同块体的地壳结构提供了重要的资料,但是已有观测重点集中在华北克拉通的中、东部块体,且利用不同方法得到的结果仍存在不尽相同的认识,如人工地震探测[12]和地震体波成像[10]结果显示,华北克拉通中、东部块体下地壳存在显著的低速区,并认为是含水流体存在的证据,但接收函数[14]研究确显示,华北克拉通东部块体,尤其是唐山周边的地壳平均泊松比与全球大陆平均值相近,介于0.23~0.25之间.
与其他地球物理学方法相比,接收函数方法具有较高的横向分辨率,因此成为地壳上地幔结构研究领域一个非常重要的手段,不仅可以用于壳幔分层速度反演[18~22]、地壳厚度和泊松比估算[23~26],还可用于壳幔结构成像研究[27~30, 17].本文利用接收函数方法,对研究区域内的华北科学台阵(2006~2009年)和中国国家(和区域)地震台网(2008~2010 年)的宽频带地震台站(图 1)记录的远震资料,采用 Zhu[23]的接收函数H-k方法计算地壳厚度、地壳平均泊松比,得到该地区的地壳厚度和地壳平均Vp/Vs 分布图,并结合前人的研究成果对其地质含义进行探讨.
|
图 1 研究区域及地震台站分布 Fig. 1 Map illustrating the present study area and the distribution of seismic stations used in this study |
本文使用华北科学台阵(2006~2009 年)和国家(和区域)数字地震台网(2008~2010 年)在华北地区布设的地震台站记录的远震资料,从中挑选了震中在30°~90°,震级M>5.5的具有清晰P 波初至和高信噪比的远震事件用于接收函数提取.
图 1为本文所使用的地震观测台站分布图,其中包括华北科学台阵的77个地震台和中国国家(和区域)地震台网的87个地震台,共计164个台站.华北地震科学台阵为宽频带地震计(CMG-3ESP),数字采集器为Ref Tek130,采样率为50Hz.中国地震局固定台站的地震计类型有BBVS-60,CMG-3ESPC,STS-1,CTS-1 等[31].由图 1 可以看出,本文所使用的固定地震台站和流动地震台站覆盖了华北克拉通中西部不同块体,地震台站的间距达到5~30km, 与以往的研究[11, 14]相比,本文的工作具有地震台站资料多、地震分布范围广且相对均匀密集的特点.
图 2为本文使用的远震事件的分布图,由图 2可以看出,远震事件具有相当好的方位和震中距分布,大量的不同方位和震中距地震的使用为获得稳定、可靠的分析结果提供了保证.
|
图 2 所选用的远震震中分布 Fig. 2 Epicentral distribution of teleseismic events (red dots) used in this study |
在采用上述资料提取接收函数时,我们首先对地震台站记录到的三分量的原始记录做了去均值、去斜坡和去除仪器响应等处理,然后,采用时间域迭代反褶积[32~34]得到了径向接收函数.计算中使用了系数2.5的高斯滤波器对接收函数作低通滤波.最后,采用人工挑选的方法从中筛选出了相关性好、转换波和多次波清晰的接收函数用于下一步的接收函数H-k分析.在剔除受盆地结构和噪声等影响未能获取高质量接收函数的台站和接收函数后,共获得164个台186325个接收函数.
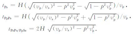
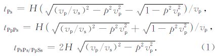
3 接收函数H-k方法与应用远震P波接收函数是用远震P波波形的垂直分量对径向分量和切向分量作反褶积后得到的时间序列,由于它在很大程度上消除了震源时间函数和传播路径的影响,可以近似地认为代表了台站下方壳幔结构的响应[18].远震接收函数主要由直达波、台站下方速度界面产生的P-S转换波及速度界面与地表之间的多次反射波等震相组成.接收函数H-k方法[23] 正是利用径向接收函数的Ps、PpPs 及 PpSs/PsPs震相与直达P 波的到时关系共同约束 Moho间断面的深度与地壳平均波速比.上述两个续至波与初至P波之间的到时差可以表述为:
|
(1) |
其中H是地表到Moho面之间的厚度,Vp 和Vs 分别为台站下方地壳的平均P 波和S 波速度,p为射线参数.
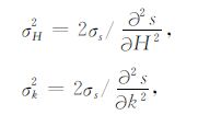
由上述公式不难看出,只要给定一个平均地壳 P波速度,就可以利用Ps、PpPs和PpSs+PsPs震相相对于初至P 波的到时估算出台站下方的地壳厚度和地壳平均波速比[23].另外,H-k搜索法的误差可以用下式估计[23]:
|
(2) |
这里,σH和σk分别为地壳厚度H和波速比k的估计均方差,σs为叠加函数s的均方差.
本文采用接收函数H-k法[23],对与Moho面相关的转换波震相Ps、多次波PpPs和PpSs+PsPs的振幅分别采用了0.7、0.2 和0.1 的加权值,来估算台站下方的地壳厚度与波速比.一般来说,首先应根据研究区已有的人工地震测深结果给出台站下方的地壳平均P波速度,但由于前述提及的前人在该区的人工地震测深主要集中在克拉通的中、东部块体[12],本文计算中并没有得到所有台站下方的平均 P波速度,因此按照已有的人工地震测深结果将所有台站的Vp 取为6.2km/s, 并分别设定H和Vp/Vs 的变化范围为20~60km 和1.6~2.0,以搜索最优的地壳厚度(H)和地壳平均波速比(Vp/Vs)值.此外,还利用H-k搜索法获得的地壳厚度和地壳波速比,计算了所有台站接收函数转换波、多次波震相的理论走时,来判断我们计算结果的可靠性.图 3显示了4个地震台站用H-k搜索法获得的结果,图中H与k的估计值由叠加函数灰度图中误差椭圆的中心点给出,误差椭圆的大小表示估计值的离散程度.灰度图下方给出了按射线参数排列的所有用于H-k叠加计算的接收函数,并标出了用最佳估计值按式(1)计算出的Ps、PpPs和PpSs+PsPs震相相对走时曲线.在这些台站的接收函数中,Ps和它的多次波震相相当清晰,保证了估计值的可靠性.其中,PpSs+ PsPs震相较弱,识别追踪困难,b-YAAN 和c-A408台尤为明显,由于加权系数只有0.1,所以由此造成的误差估计较小,也就是说通常的HK 扫描主要利用的是转换波Pms 和第一个多次波PpPms.YAAN 台位于鄂尔多斯中东部延安市附近,在 YAAN 台的PpSS+PsPs震相之后,26~27s有一列可追踪的正振幅,通过其时间与射线参数的关系可以推断它极有可能代表某一上地幔的转换波,其界面深度在230~250km 之间.此界面在该地区的接收函数上地幔成像中已有清楚的显示[17].但其极性与岩石圈底界面转换波相反,因此排除是岩石圈底界面.推断它是岩石圈内部或是软流圈的界面则需要更多的地学证据和深入的研究.A408台位于河北秦皇岛市青龙县,在A408台的PpSs+PsPs震相之后,20s附近有一列可追踪的正振幅,通过其时间与射线参数的关系可以推断它极有可能代表某一上地幔的多次波PpPxs, 其界面深度为50~60km, 小于岩石圈厚度[35],因此推断其为岩石圈内的界面.讨论其界面成因则需要更多的地学证据和深入的研究.
|
图 3 叠加分析方法获得的地壳厚度和平均地壳波速比估计 (a) MCII 台;(b) YAAN 台;(c) A408 台;(d) LYN 台.(H,k)域灰度图中给出最佳估计值和不确定性分析的误差椭圆,Vp=6.2km/s;波形图中给出用于叠加的接收函数和由最佳估计值计算Ps、PpPs、PpSS+PsPs震相的走时曲线. Fig. 3 Estimation of the crustal thickness and P-S wave velocity ratio |
采用上述方法和步骤,我们对研究区所有台站的接收函数做了H-k分析和处理,获得了187个台站地壳平均厚度(H)与波速比(Vp/Vs或k)值.并根据计算结果中台站不同震中距接收函数转换波、多次波震相的一致性、H-k叠加结果及理论到时与实际震相到时的吻合程度等对上述结果的可靠性进行了分类.我们的检测结果表明,多数情况下,使用接收函数H-k法所获取的最优解,其所对应的Ps、 PpPs和PpSs+PsPs到时,都是相应震相振幅的最大值,对于这类可靠的台站结果,我们定义为A 类.但是也有部分台站出现了多解的情况,我们仔细核对了这些台站的接收函数,并不断调换转换波和多次波震相的权重,如果调换后能得到惟一的地壳厚度与波速比,我们将其定义为B类,否则将其视为C类.由于数据众多,本文只对164个可靠度很高的A、B类结果做了进一步的分析与讨论(图 5, 表 1).此外,为了评估用H-k叠加方法得到的地壳厚度的准确性,我们与研究区人工地震剖面的结果[12, 36]进行了比较(如图 4).由图 4可以看出,多数台站地壳厚度与人工地震剖面分析获得的结果差别不大(小于2km),表明按照我们所取地壳P 波速度估计得到的地壳厚度是可靠的.
|
图 4 地壳厚度一致性分析 横坐标Hhk为采用H-k叠加方法获得的地壳厚度,纵坐标Hdss为人工地震测深[12, 36]的结果.本文采用H-k叠加方法得到的地壳厚度与人工地震测深的结果有很好的一致性. Fig. 4 Comparison between the crustal thicknesses obtained from the H-k stack of receiver function and r〇m Deep Seismic Sounding (DSS) [12, 36] Hhk and Hdss represent the estimated crustal thickness hrom H-k stack and from DSS analysis respectively.It shows that stack and Deep Seismic Sounding studies agree well with each other. |
|
|
表 1 研究区域地震台站下方的地壳厚度和泊松比 Table 1 Crustal thickness and Poisson's ratios under the stations in the study region |
图 5a给出了研究区的地壳厚度分布,图 5a显示研究区地壳厚度介于30~50km之间,整体来讲,华北克拉通中西部地区的地壳厚度具有由东向西逐渐加深的趋势,其中东部的华北平原地区地壳厚度介于30~33km ,中部的燕山-太行地区地壳厚度介于33~40km 之间,西部的鄂尔多斯块体地壳厚达40~42km.这与前人在该区开展的人工地震测深[12, 16, 37]和接收函数研究结果[11, 14, 15, 17]相一致.但是我们也注意到,鄂尔多斯南缘和汾渭地堑附近的HUAX、HUYT 以及DA 等台站下方的地壳厚度较周边地区显著要浅5~10km, 事实上,裂谷带内侧地壳厚度较两侧要浅的现象在世界其他典型大陆裂谷带[38]也早有发现,研究人员通常将这种地壳减薄解释为地幔物质上涌所至[17].地质调查[39]和包裹体等方面的研究[40, 41]表明,汾渭地堑为一张性断陷带,火山活动发育,火山岩中含有幔源包裹体,据此,我们推断汾渭地堑内部地壳变浅可能与其下方地幔的物质上涌有关.
4.2 Vp/Vs 波速比地震波属性对壳幔结构的结构和组成具有重要的约束作用.如,地壳泊松比σ 或者地壳波速比通常用于对地壳物质组成和岩石孔隙度等的判定与约束.地壳泊松比σ 可以根据P 波和S 波的波速比k求取:σ=0.5[1-1/(k2-1)].实验研究表明,地壳平均泊松比σ 的变化可能为许多地球物理和地球化学因素所致.如,岩石的矿物组成对σ 的变化有着重要影响.当岩石的SiO2 含量≥55% 时,岩石的泊松比值与SiO2 含量成反相关关系[42].此外,部分熔融程度对P、S波速度比也有很大的影响,地震波Vp/Vs比随着熔融体熔融程度的增加而增大.尽管我们不能确切地区分某种因素对波速比的具体影响,但我们能根据台站下方的地壳平均波速比对台站下方的物质组成和结构进行定性的分析.
图 5b给出了研究区的地壳平均波速比分布,显示研究区地壳平均波速比介于1.68~1.86之间,其中东部的华北平原西缘区域地壳波速比介于1.68~1.80之间,而中部的燕山-太行地区多数台站(K022、K023、A904 台站除外)的地壳波速比介于1.70~1.83之间,西部的鄂尔多斯块体区域台站(HEYT、BIXT 除外)下方地壳波速比介于1.73~1.76之间.由图 5b可以看出,鄂尔多斯块体东部区域的地壳平均波速比低于全球大陆地壳平均波速比(1.78)[43],暗示鄂尔多斯块体作为稳定的克拉通地壳[6, 7, 9]保持了太古代地壳组成的特性以及缺乏玄武岩下地壳[44].燕山-太行造山带台站的波速比变化较西部的鄂尔多斯块体更大,暗示其地壳结构和组成更为复杂,但总体是偏低的.盆地地区(图 5b中高程低于500m 的台站)台站下方Vp/Vs 整体平均值高于山脉地区,和许卫卫等[11]以及王峻等[14]的一致,暗示盆地地区较山脉地区地壳组成富含铁镁质成分.
|
图 5 接收函数H-k叠加获得的研究区域地壳厚度(a)和波速比Vp/Vs(b)分布(圆圈表示地震台站位置) Fig. 5 The distributions of crustal thickness (a) and of velocity ratio Vp/Vs(b) in the study region obtained from the H-k stack of receiver function |
地壳厚度与泊松比或波速比之间的关系能为大陆地壳的构造演化过程提供重要的约束[45].若地壳增厚主要为长英质的上地壳而非铁镁质的下地壳所至,该构造过程将导致波速比随着地壳厚度增厚而变小,如青藏高原造山带[45, 46];反之,若地壳增厚的过程主要通过上地幔物质底侵致使下地壳增厚所至,则将导致波速比随着地壳厚度增厚而变大,如扬子克拉通[45].
采用前人利用接收函数H-k方法得到的华北克拉通中、东部块体的地壳厚度和波速比,Ji等[45]研究了二者之间的关系,并推断该区具有两种不同的地壳演化模式;但是本文研究结果(图 6)显示,华北地区台站下方的地壳厚度与波速比之间并没有明显的相关性,这或与该区地壳厚度、地壳组成横向变化异常强烈有关.
|
图 6 地壳厚度与海拔高度及波速比Vp/Vs 的相关性 (a)地壳厚度与海拔高度E的相关性;(b)地壳厚度与波速比Vp/Vs 的相关性,颜色深度代表地表高程,黑色是大于1000m 的台站,代表山区,灰色是表示高程介于500~1000m 之间的台站,代表盆山过渡地带,白色代表高程小于500m 的台站,表示盆地地区. Fig. 6 Correlation of Crustal thickness with elevation and velocity ratio(Vp/Vs) (a) Correlation of crustal thickness with elevation;b) Correlation of crustal thickness with velocity ratio (Vp/Vs).Color depth represents the surface elevation, black solid circles are stations whose altitude is higher than 1000 meter, stand for mountain area, gray solid circles are stations whose altitude is between 500 to 1000 meter, stand for transitional bet between the Iluabet Basin and ts adjacent mountains, open solid circles are stations whose altitude s less than 500 meter, stand for Huabei Basin. |
从地表看,华北克拉通不同块体最显著的差别就是地形高度,前述提及,华北克拉通不同块体的地壳厚度具有从东向西整体逐渐加深的趋势.为了更好地了解研究区地壳厚度与地表形态的关系,我们给出了华北克拉通地壳厚度与海拔高度的关系图(图 6),该图显示研究区地壳厚度与地形高度具有很好的相关性(相关系数为0.88),这表明该区地壳整体上处于相对均衡的状态.我们的研究还显示地壳厚度与海拔高度的斜率为6.6,这较青藏高原东缘地区[26]的斜率更高,表明该区较青藏高原的地壳组成具有更高的密度,可能更富含铁镁质成分,假设上地幔密度为3.3g/cm3,则得到地壳平均密度为2.8g/cm3.如果该地区富含铁镁质成分,那么应该对应较高的地壳平均速度比,但从我们的结果看(图 5和6),我们得到的速度比相对于全球大陆平均值(1.78)[43]是偏低的.因此,我们推断地壳平均密度没有那么高,而上地幔密度可能较低,例如假设上地幔密度为3.2g/cm3,则得到地壳平均密度为2.715g/cm3.因此我们的观测更支持华北克拉通中西部地区上地幔顶部岩石密度较低的结论.这一观点是比较合理的,因为华北地区岩石圈年龄较老,成份分异更充分,由于铁易熔且密度大,因此华北克拉通中西部的上地幔顶部岩石密度较低,而青藏高原岩石圈比较年轻,铁含量较高[47],密度大,对地壳的浮力增大,才导致地壳厚度与海拔高度的斜率较低,低密度的上地幔顶部说明华北克拉通至少在中西部岩石圈尚未破坏或至少上部保留了古老的地幔岩石圈,这得到了SKS结果的支持[48].
5 结论本文利用华北科学台阵77个台站和中国地震台网87个台站记录的远震资料,用最大反褶积方法提取了接收函数,采用接收函数H-k叠加方法得到164个台站下方的地壳厚度和泊松比.主要结论如下:
(1) 与前人在该区的接收函数H-k研究[11, 14]相比,本文所使用的地震台站更多、地震分布范围更广、且更加均匀密集,使得我们得以对华北克拉通中西部地壳结构差异进行全面的分析与探讨;
(2) 华北克拉通中西部地区的地壳厚度具有由东向西逐渐加深的趋势,其中东部的华北平原西缘区域地壳厚度介于30~33km, 中部的燕山-太行地区地壳厚度介于33~40km 之间,西部的鄂尔多斯块体东侧区域地壳厚达40~42km.这与已有的人工地震测深[12, 16, 37]、接收函数研究结果[11, 14, 17]相一致;
(3) 研究显示该区的地壳平均波速比与地壳厚度没有明显相关性,这可能与该区地壳厚度、地壳组成横向变化异常强烈有关.研究区的地壳平均波速比介于1.68~1.86之间,东部盆地地区台站下方的波速比变化较大,多数分布于1.70~1.80 之间;山区平均速度比主要集中分布于1.70~1.77之间,暗示山区块体较东部盆地地区地壳组成更富长英质,而缺少铁镁质成分.我们也注意到,太行山内的台站(如K022、K023、A904 台站)和鄂尔多斯块体南缘(HEYT、BIXT 台站)的Vp/Vs 高达1.84,这可能与该区新生代火成岩发育或者汾渭地堑有关.盆地内部部分高速度比可能与底侵有关;
(4) 该区地壳厚度与地形高度具有很好的相关性,其斜率为6.6,较青藏高原东缘地区的斜率更高,通过分析表明,华北克拉通中西部地区上地幔顶部岩石密度相对较低,为古老的、低密度难熔的、富镁贫铁的克拉通,可为岩石圈提供更大的浮力.
致谢本文得到国家自然科学基金的资助.感谢中国地震局地球物理研究所“国家数字测震台网数据备份中心"和中国数字地震台网为本研究提供地震波形数据.在资料的收集过程中,郑秀芬博士提供了帮助;本文成文过程中与李永华副研究员的探讨使作者获益匪浅;两位审稿人提出的修改意见和建议对本文的完善和提高有很大帮助,在此向他们表示感谢.
| [1] | 潘桂棠, 肖庆辉, 陆松年, 等. 中国大地构造单元划分. 中国地质 , 2009, 36(1): 1–28. Pan G T, Xiao Q H, Lu S N, et al. Subdivision of tectonic units in China. Geology in China (in Chinese) , 2009, 36(1): 1-28. |
| [2] | 赵国春, 孙敏, WildeS A. 华北克拉通基底构造单元特征及早元古代拼合. 中国科学 (D辑) , 2002, 32(7): 538–549. Zhao G C, Sun M, Wilde S A. Major tectonic units of the North China Craton and their Paleoproterozoic assembly. Science in China (Series D) (in Chinese) , 2002, 32(7): 538-549. |
| [3] | An M J, Feng M, Zhao Y. Destruction of lithosphere within the north China craton inferred from surface wave tomography. Geochem. Geophys. Geosyst. , 2009, 10: Q08016. DOI:10.1029/2009GC002562 |
| [4] | 邓晋福, 赵海玲, 莫宣学, 等. 大陆根-柱构造-大陆动力学的钥匙. 北京: 地震出版社, 1996 . Deng J F, Zhao H L, Mo X X, et al. Continental Roots-Plume Tectonics of China-Key to the Continental Dynamics (in Chinese). Beijing: Geological Publishing House, 1996 . |
| [5] | Xu Y G. Thermo-tectonic destruction of the Archaean lithospheric keel beneath the Sino-Korean craton in China: evidence, timing and mechanism. Phys. Chem. Earth (A) , 2001, 26(9-10): 747-757. DOI:10.1016/S1464-1895(01)00124-7 |
| [6] | Huang Z X, Su W, Peng Y J, et al. Rayleigh wave tomography of China and adjacent regions. J. Geophys. Res. , 2003, 108(B2). DOI:10.1029/2001JB001696 |
| [7] | Huang J L, Zhao D P. High-resolution mantle tomography of China and surrounding regions. J. Geophys. Res. , 2006, 111: B09305. DOI:10.1029/2005JB004066 |
| [8] | Li Y H, Wu Q J, Zhang R Q, et al. The lithospheric thinning of the North China Craton inferred from Rayleigh waves inversion. Geophys. J. Int. , 2009, 177(3): 1334-1342. DOI:10.1111/gji.2009.177.issue-3 |
| [9] | Tian Y, Zhao D P, Sun R M, et al. Seismic imaging of the crust and upper mantle beneath the North China Craton. Physics of the Earth and Planetary Interiors , 2009, 172(3-4): 169-182. DOI:10.1016/j.pepi.2008.09.002 |
| [10] | Huang J L, Zhao D P. Crustal heterogeneity and seismotectonics of the region around Beijing, China. Tectonophysics , 2004, 385(1-4): 159-180. DOI:10.1016/j.tecto.2004.04.024 |
| [11] | 许卫卫, 郑天愉. 渤海湾盆地北西盆山边界地区泊松比分布. 地球物理学报 , 2005, 48(5): 1077–1084. Xu W W, Zheng T Y. Distribution of Poisson’s ratios in the northwestern basin-mountain boundary of the Bohai Bay Basin. Chinese J. Geophys. (in Chinese) , 2005, 48(5): 1077-1084. |
| [12] | 嘉世旭, 齐诚, 王夫运, 等. 首都圈地壳网格化三维结构. 地球物理学报 , 2005, 48(6): 1316–1324. Jia S X, Qi C, Wang F Y, et al. Three-dimensional crustal gridded structure of the Capital area. Chinese J. Geophys. (in Chinese) , 2005, 48(6): 1316-1324. DOI:10.1002/cjg2.779 |
| [13] | Zheng T Y, Chen L, Zhao L, et al. Crust-mantle structure difference across the gravity gradient zone in North China Craton: Seismic image of the thinned continental crust. Physics of the Earth and Planetary Interiors , 2006, 159(1-2): 43-58. DOI:10.1016/j.pepi.2006.05.004 |
| [14] | 王峻, 刘启元, 陈九辉, 等. 首都圈地区的地壳厚度及泊松比. 地球物理学报 , 2009, 52(1): 57–66. Wang J, Liu Q Y, Chen J H, et al. The crustal thickness and Poisson's ratio beneath the Capital Circle Region. Chinese J. Geophys. (in Chinese) , 2009, 52(1): 57-66. |
| [15] | 王未来, 吴建平, 房立华. 唐海—商都地震台阵剖面下方的地壳上地幔S波速度结构研究. 地球物理学报 , 2009, 52(1): 81–89. Wang W L, Wu J P, Fang L H. Crust and upper mantle S-wave velocity structure beneath Tanghai-Shangdu seismic array profile. Chinese J. Geophys. (in Chinese) , 2009, 52(1): 81-89. |
| [16] | 熊小松, 高锐, 张兴洲, 等. 深地震探测揭示的华北及东北地区莫霍面深度. 地球学报 , 2011, 32(1): 46–56. Xiong X S, Gao R, Zhang X Z, et al. The Moho depth of North China and Northeast China revealed by seismic detection. Acta Geoscientica Sinica (in Chinese) , 2011, 32(1): 46-56. |
| [17] | Tian X B, Teng J W, Zhang H S, et al. Structure of crust and upper mantle beneath the Ordos Block and the Yinshan Mountains revealed by receiver function analysis. Physics of the Earth and Planetary Interiors , 2011, 184(3-4): 186-193. DOI:10.1016/j.pepi.2010.11.007 |
| [18] | Langston C A. Structure under Mount Rainier, Washington, inferred from teleseismic body waves. J. Geophys. Res. , 1979, 84(B9): 4749-4762. DOI:10.1029/JB084iB09p04749 |
| [19] | 吴庆举, 曾融生. 用宽频带远震接收函数研究青藏高原的地壳结构. 地球物理学报 , 1998, 41(5): 669–679. Wu Q J, Zeng R S. The crustal structure of Qinghai-Xizang Plateau inferred from broadband teleseismic waveform. Chinese J. Geophys. (in Chinese) , 1998, 41(5): 669-679. |
| [20] | Julià J, Ammon C J, Nyblade A A. Evidence for mafic lower crust in Tanzania, East Africa, from joint inversion of receiver functions and Rayleigh wave dispersion velocities. Geophys. J. Int. , 2005, 162(2): 555-569. DOI:10.1111/gji.2005.162.issue-2 |
| [21] | Ai Y S, Zhao D P, Gao X, et a1. The crust and upper mantle discontinuity structure beneath Alaska inferred from receiver functions. Phys. Earth Planet. Inter. , 2005, 150(4): 339-350. DOI:10.1016/j.pepi.2004.12.002 |
| [22] | 李永华, 吴庆举, 田小波, 等. 用接收函数方法研究云南及其邻区地壳上地幔结构. 地球物理学报 , 2009, 52(1): 67–80. Li Y H, Wu Q J, Tian X B, et al. Crustal structure in the Yunnan region determined by modeling receiver functions. Chinese J. Geophys. (in Chinese) , 2009, 52(1): 67-80. |
| [23] | Zhu L P, Kanamori H. Moho depth variation in southern California from teleseismic receiver functions. J. Geophys. Res. , 2000, 105(B2): 2969-2980. DOI:10.1029/1999JB900322 |
| [24] | 张洪双, 田小波, 滕吉文. 接收函数方法估计Moho倾斜地区的地壳速度比. 地球物理学报 , 2009, 52(5): 1243–1252. Zhang H S, Tian X B, Teng J W. Estimation of crustal Vp/Vs with dipping Moho from receiver functions. Chinese J. Geophys. (in Chinese) , 2009, 52(5): 1243-1252. |
| [25] | 楼海, 王椿镛, 姚志祥, 等. 龙门山断裂带深部构造和物性分布的分段特征. 地学前缘 , 2010, 17(5): 128–141. Lou H, Wang C Y, Yao Z X, et al. Subsection feature of the deep structure and material properties of Longmenshan fault zone. Earth Science Frontiers (in Chinese) , 2010, 17(5): 128-141. |
| [26] | Wang C Y, Zhu L P, Lou H, et al. Crustal thicknesses and Poisson's ratios in the eastern Tibetan Plateau and their tectonic implications. J. Geophys. Res. , 2010, 115: B011301. DOI:10.1029/2010JB007527 |
| [27] | Wu Q J, Zeng R S, Zhao W J. The upper mantle structure of the Tibetan Plateau and its implication for the continent-continent collision. Science in China (Series D) , 2005, 48(8): 1158-1164. DOI:10.1360/03yd0556 |
| [28] | Tian X B, Wu Q J, Zhang Z J, et al. Identification of multiple reflected phases from migration receiver function profile: An example for the INDEPTH-III passive teleseismic P waveform data. Geophysical Research Letters , 2005, 32: L08301,. DOI:10.1029/2004GL021885 |
| [29] | Tian X B, Wu Q J, Zhang Z J, et al. Joint imaging by teleseismic converted and multiple waves and its application in the INDEPTH-III passive seismic array. Geophysical Research Letters , 2005, 32: L21315. DOI:10.1029/2005GL023686 |
| [30] | Tian X B, Zhao D P, Zhang H S, et al. Mantle transition zone topography and structure beneath the central Tien Shan orogenic belt. J. Geophys. Res. , 2010, 115: B10308. DOI:10.1029/2008JB006229 |
| [31] | 郑秀芬, 欧阳飚, 张东宁, 等. "国家数字测震台网数据备份中心"技术系统建设及其对汶川大地震研究的数据支撑. 地球物理学报 , 2009, 52(5): 1412–1417. Zheng X F, Ouyang B, Zhang D N, et al. Technical system construction of Data Backup Centre for China Seismograph Network and the data support to researches on the Wenchuan earthquake. Chinese J. Geophys. (in Chinese) , 2009, 52(5): 1412-1417. DOI:10.3969/j.issn.0001-5733.2009.05.031 |
| [32] | Ligorria J P, Ammon C J. Iterative deconvolution and receiver-function estimation. Bull. Seism. Soc. Am. , 1999, 89(5): 1395-1400. |
| [33] | 吴庆举, 田小波, 张乃铃, 等. 计算台站接收函数的最大熵谱反褶积方法. 地震学报 , 2003, 25(4): 382–389. Wu Q J, Tian X B, Zhang N L, et al. Receiver function estimated by maximum entropy deconvolution. Acta Seismologica Sinica (in Chinese) , 2003, 25(4): 382-389. |
| [34] | 吴庆举, 田小波, 张乃铃, 等. 用小波变换方法反演接收函数. 地震学报 , 2003, 25(6): 601–607. Wu Q J, Tian X B, Zhang N L, et al. Inversion of receiver function by wavelet transformation. Acta Seismologica Sinica (in Chinese) , 2003, 25(6): 601-607. |
| [35] | Chen L, Cheng C, Wei Z G. Seismic evidence for significant lateral variations in lithospheric thickness beneath the central and western North China Craton. Earth Planet. Sci. Lett. , 2009, 286(1-2): 171-183. DOI:10.1016/j.epsl.2009.06.022 |
| [36] | 国家地震局《深部物探成果》编写组. 中国地壳上地幔地球物理探测成果. 北京: 地震出版社, 1986 . The Group of "Results of Deep Exploration", State Seismological Bureau. Results of Geophysical Investigation in China Crust and Upper Mantle (in Chinese). Beijing: Seismological Press, 1986 . |
| [37] | 滕吉文, 王夫运, 赵文智, 等. 阴山造山带—鄂尔多斯盆地岩石圈层、块速度结构与深层动力过程. 地球物理学报 , 2010, 53(1): 67–85. Teng J W, Wang F Y, Zhao W Z, et al. Velocity structure of layered block and deep dynamic process in the lithosphere beneath the Yinshan orogenic belt and Ordos Basin. Chinese J. Geophys. (in Chinese) , 2010, 53(1): 67-85. |
| [38] | Mackenzie G D, Thybo H, Maguire P K H. Crustal velocity structure across the Main Ethiopian Rift: results from two-dimensional wide-angle seismic modeling. Geophys. J. Int. , 2005, 162(3): 994-1006. DOI:10.1111/gji.2005.162.issue-3 |
| [39] | 陈国达. 论汾渭地堑的大地构造性质——一个裂谷型地洼系. 大地构造与成矿学 , 1984, 8(4): 319–326. Chen G D. Tectonic nature of Fen-Wei graben-a rift type geodepression system. Geotectonica et Metallogenia (in Chinese) , 1984, 8(4): 319-326. |
| [40] | 陈孝德, 林传勇, 张小鸥, 等. 山西大同第四纪火山岩中幔源包体的变形特征及其上地幔流变学意义. 地震地质 , 1997, 19(4): 313–320. Chen X D, Lin C Y, Zhang X O, et al. Deformation features of mantle xenoliths from Quaternary basalts in Datong, Shanxi province and their rheological implications. Seismology and Geology (in Chinese) , 1997, 19(4): 313-320. |
| [41] | 陈孝德, 史兰斌. 华北第四纪火山作用研究. 地震地质, 2001, 23(4): 564~573. Chen X D, Shi L B, Lin C Y. A research on Quaternary volcanism in north China. Seismology and Geology (in Chinese), 2001, 23(4): 564~573 http://www.dz-dz.com.cn/CN/abstract/abstract8966.shtml |
| [42] | Christensen N I. Poisson's ratio and crustal seismology. J. Geophys. Res. , 1996, 101(B2): 3139-3156. DOI:10.1029/95JB03446 |
| [43] | Zandt G, Ammon C J. Continental crust composition constrained by measurements of crustal Poisson's ratio. Nature , 1995, 374(6518): 152-154. DOI:10.1038/374152a0 |
| [44] | Christensen N I, Mooney W D. Seismic velocity structure and composition of the continental crust: a global view. J. Geophys. Res. , 1995, 100(6): 9761-9788. |
| [45] | Ji S C, Wang Q, Salisbury M H. Composition and tectonic evolution of the Chinese continental crust constrained by Poisson's ratio. Tectonophysics , 2009, 463(1-4): 15-30. DOI:10.1016/j.tecto.2008.09.007 |
| [46] | 李永华, 吴庆举, 安张辉, 等. 青藏高原东北缘地壳S波速度结构与泊松比及其意义. 地球物理学报 , 2006, 49(5): 1359–1368. Li Y H, Wu Q J, An Z H, et al. The Poisson ratio and crustal structure across the NE Tibetan Plateau determined from receiver functions. Chinese J. Geophys. (in Chinese) , 2006, 49(5): 1359-1368. |
| [47] | Kaban M K, Schwintzer P, Artemieva I M, et al. Density of continental roots: compositional and thermal contributions. Earth and Planetary Science Letters , 2003, 209(1-2): 53-69. DOI:10.1016/S0012-821X(03)00072-4 |
| [48] | 常利军, 王椿镛, 丁志峰. 鄂尔多斯块体及周缘上地幔各向异性研究. 中国科学 (地球科学) , 2011, 41(5): 686–699. Chang L J, Wang C Y, Ding Z F. Upper mantle anisotropy in the Ordos Block and its margins. Scientia Sinica (Terrae) (in Chinese) , 2011, 41(5): 686-699. |
2011, Vol. 54


