2. 中国科学院研究生院,北京 100049;
3. Department of Geoscience, University of Calgary, Calgary T2N 1N4, Canada;
4. 中国南极测绘研究中心,武汉 430079
2. Graduate University of Chinese Academy of Sciences, Beijing 100049, China;
3. Department of Geoscience, University of Calgary, Calgary T2N 1N4, Canada;
4. Chinese Antarctic Center of Surveying and Mapping, Wuhan 430079, China
南极大陆覆盖着巨大的冰盖,随着全球变暖冰盖总体呈长期消融的趋势,这不仅引起全球海平面显著的变化,还会引起全球温盐场、水循环等的变化[1, 2],因此监测南极冰盖质量平衡具有重要的意义.传统上,测量降雪净积累和冰雪融化、冰流失造成的损失通量总和,可获得冰质量的平衡结果,但这主要适合于小区域.GRACE 卫星重力、卫星测高为大区域高精度监测冰盖物质平衡提供了全新的手段,它们通过测量重力和冰面高程随时间的变化,估计冰盖质量的平衡,然而,要得到可靠的监测结果必须有效排除冰川均衡调整(GIA)的影响.本文拟利用我们新的全球GIA 模型,针对这两种空间大地测量监测手段,研究GIA 对南极质量平衡监测的影响,评估GIA 模型影响的不确定性,为南极冰质量平衡的监测提供合理的GIA 改正模型.
冰川均衡调整是黏弹地球对末次冰进期和冰退期地表冰和海水负荷改变的响应,是一种重要的地球动力学现象[3].GIA 过程主要体现为地幔物质的流动、地壳的运动和地球重力场的变化.在末次盛冰期,全球较大规模的冰盖有:北欧芬诺斯坎底亚冰盖,北美劳伦冰盖、格陵兰冰盖和南极冰盖.在冰退期,这些巨大的冰盖逐渐消融,海水体积逐渐增加,地表负荷的强烈变化打破了地球的平衡构形,不仅引起地球表面的变形,而且导致地球内部密度的调整,进而引起全球重力场的变化.
先前的GIA 模型基本上只受单一的相对海平面数据约束,为减少多解性,提高模型分辨率,汪汉胜等[4, 5]利用多种大地测量(GPS、卫星重力、卫星测高、验潮站等)和历史相对海平面变化数据,结合地震剪切波层析模型,联合确定了新的GIA 模型ICE-4G+RF3L20(β=0.4),它考虑了地幔黏滞度的横向变化.该模型的冰负荷模型使用了ICE-4G冰川消融模型[6],地球模型以横向均匀的模型RF3[5]为参考模型,加入了由S20A 地震层析模型转换得到的地幔黏滞度的横向扰动,转换系数β=0.4<1说明地幔黏滞度横向非均匀不完全是由热效应引起的,还可能与化学组分等其他因素有关.由于新的GIA 模型采用多种观测约束,适合用于评估GIA 对监测南极冰质量平衡影响的研究.
2002年GRACE 重力卫星和2003年激光测高卫星ICESat成功发射和运行以来,人类进入了从空间高精度、高分辨率监测南极冰盖质量平衡的新纪元.GRACE 可提供高精度的全球重力场月解,即给出每个月的重力场球谐系数,为研究南极冰质量变化提供了有利条件[7, 8],然而,不同研究者采用不同GIA 模型,得到不同的监测结果[1, 2, 9~12].例如,Velicogna(2006)[9]利用CSR RL01 数据扣除ICE-5G 和IJ05 两种GIA 模型预测的平均结果,得到2002.04~2005.08期间南极冰体积量变化为-152±80km3/a, 其观测时间比较短,长期变化趋势不确定性较大;Chen(2009)[10]利用2002.04~2009.01RL04数据的结果为-190±77km3/a;而鄂栋臣(2009)[11]利用GRGS2002.07~2007.09的数据扣除IJ05模型得到的结果为-78±37km3/a, Gunter(2009)[12]利用CSR2003.02~2007.02 时间段的RL04数据和同时期的ICESatRL428 数据扣除改进的IJ05 模型和ICE-5G 模型的结果为-75~-102km3/a.由此可见,上述研究结果相差很大,虽然有数据质量和处理方法不同所造成的差异,但其主要原因是使用不同的GIA 模型(IJ05、ICE-5G 等模型).以上研究主要致力于改善GRACE 数据质量和数据处理方法,并没有对GIA 模型的影响和差异进行深入的讨论.现有研究使用的地幔黏滞度是横向均匀的,若考虑地幔黏滞度的横向变化,同时采用多种观测约束[4, 5],能使GIA 模型更加接近于真实.
本文利用新的GIA 模型ICE-4G+ RF3L20(β=0.4),计算GIA 对南极冰质量平衡监测的影响,根据不同的地幔黏滞度模型和冰模型完整估算了新模型结果的不确定性.此外,结合GRACE 重力卫星和ICESat 测高卫星的监测结果、基于新的GIA 模型分析了GIA 对监测结果的影响.
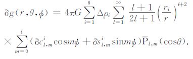
2 相关计算公式 2.1 GIA重力场GIA 有限元模拟的输出结果是节点的位移,不能直接给出GIA 的重力场结果,因此,这里推导根据位移计算重力场的公式.GIA 的重力场主要是由地球内部不同深度密度界面的径向位移导致的密度异常引起的,如表 1所示,考虑核幔(Core-LM2)、下地幔下部与上部(LM2-LM1)、下地幔上部与过渡带(LM1-TZ)、过渡带与上地幔(TZ-UM)、上地幔与岩石圈(UM-Lith)以及岩石圈与空气(Lith-Air)共6个密度不连续界面,分别用序号1~6 表示,首先研究第i个密度界面变形对重力场的贡献.
|
|
表 1 地球模型犚犉3和RF2的密度、弹性参数和黏滞度 Table 1 Densities,elastic parameters and viscosities for Earth models RF3 and RF2 |
在球坐标(r,θ,Φ)中,第i个界面在ri(ri,θ′,Φ′)的面密度可由界面下上密度差Δρi=ρi-1 -ρi(层密度见表 1,空气密度ρ6=0)与径向位移ui的积计算,即
|
(1) |
由牛顿位公式,在密度界面外部r(r,θ,Φ)点的引力位扰动
|
(2) |
其中,dΩ′ = sinθ′dθ′dΦ′,Pl(cosγ)为勒让德多项式.由加法公式
|
(3) |
其中Rl,m(θ,Φ)=Pl,m(cosθ)cosmΦ 和Sl,m(θ,Φ)=Pl,m(cosθ)sinmΦ为规格化面球谐函数,Pl,m(cosθ)=
|
(4) |
其中
|
(5) |
显然,(5)式为ui的球谐展开系数.由(4)式的引力位扰动可计算重力扰动
|
(6) |
由(4)、(6)式6个界面总的GIA 重力场贡献为位扰动
|
(7) |
重力扰动
|
(8) |
为利用卫星重力场研究GIA 模型,或者研究GIA 模型对卫星重力的影响,需要将GIA 重力场展开成卫星重力场一样的形式,由(7)式并应用布隆斯公式,得到相应的GIA 大地水准面异常
|
(9) |
其中
|
(10) |
a=r6 为地球半径,g0 是地表重力加速度.(9)式是最终根据密度不连续面变形计算卫星重力场的公式,用(10)式给出的球谐展开系数δcl,m、δsl,m,就可进一步用下节的反演公式估计GIA 对等效水柱估计的影响.
2.2 等效水柱根据John Wahr(1998)[7],由GRACE 观测的时变重力场或上述GIA 重力场的球谐展开系数,可以得到等效场源的地球表面质量薄层任意点(a,θ,Φ)的面密度变化:
|
(11) |
式中,考虑到GRACE 数据的分辨率,取球谐展开最高阶lmax =60,地球的平均密度ρave=5.17g/cm3,Wl是高斯滤波函数的勒让德展开系数,kl为l阶负荷勒夫数,本文使用的是汪汉胜等(1996)[13]计算数值结果.习惯上,使用“等效水柱"变化表达地表水(含冰、雪)储量变化,取水密度为1.0g/cm3,所以地表点的等效水柱变化可由(11)式计算.
要了解整个南极冰质量的平衡,需要计算南极区域的平均等效水柱变化,其结果乘以区域面积就是冰总质量变化.引入区域平均函数(区域内外分别取值为1和0),在南极区域内将(11)式点的等效水柱变化求平均,则得南极区域平均的等效水柱变化[14]:
|
(12) |
式中,υl,mc和υl,ms表示区域平均函数的规格化球谐展开系数,Ωregion为计算区域的面积.值得说明,区域平均函数的使用,进一步降低了GRACE 球谐系数高阶的误差.图 1给出了用于南极的区域平均函数取l=1~60球谐展开项的结果.
|
图 1 用于估计南极冰总体质量变化的区域 平均函数球谐展开60阶截断的结果 AP—南极半岛;ASE—阿蒙森海湾;EL—恩德比地;KAM—卡姆布冰流;RON—罗尼冰架;ROS—罗斯冰架 Fig. 1 Average function for the estimate of total ice mass change over Antarcticawith degrees 1 〜60 spherical harmonics AP—Antarctic Peninsula; ASE—Amundsen Sea Embayment; EL—Enderby Land; KAM—Kamb Ice Stream; RON—Ronne Ice Shelf; ROS-Ross Ice Shelf |
本节介绍相关的冰负荷模型、地球模型、GRACE观测数据与后处理和卫星测高的数据,为GIA 有限元计算提供基本的负荷输入和介质参数,为利用GRACE观测重力场反演等效水柱提供合格的数据.
3.1 冰负荷模型ICE-4G[6]、ICE-5G[15]是最著名和使用最广泛的冰川消融模型,据我们最近的研究[4],ICE-5G 预测的现今重力速率和垂直速率明显大于GRACE 卫星重力和GPS等的观测结果,特别在哈德逊湾西部出现的最大预测没有或者缺乏观测的充分支持,因此本文选择ICE-4G 模型作为最优模型,以ICE-5G作为对比模型,研究冰负荷模型差异,评估GIA 对监测南极质量平衡影响的不确定性.IJ05模型[16]是只针对南极地区的区域性冰川消融模型,也将被利用作为对比分析.
冰川消融模型给出了末次盛冰期以来不同时期的冰川厚度,冰负荷模型则是历史冰川厚度相对现在冰川厚度的变化,图 2给出了ICE-4G 和ICE-5G 模型的负荷厚度的结果,由于从18kaBP到14kaBP,两模型的冰负荷厚度的减少量不太显著,所以图中没有显示这段时间的结果.由图可知,从冰负荷厚度的极值分布看,两模型极值都出现在卡姆布冰流(KAM)、罗尼冰架(RON)和南极半岛.不同的是,在卡姆布冰流ICE-4G 比ICE-5G 的冰负荷厚度极值要小,而在南极海岸线周边特别是南极半岛(AP)、恩德比地(EL)等地区,ICE-4G 比ICE-5G 冰盖负荷厚度要大.但从消融过程看,ICE-4G 在14kaBP~10kaBP消融很慢,在10kaBP~6kaBP 消融明显加快;而ICE-5G在14kaBP~10kaBP消融较快,在10kaBP~6kaBP 消融相对较慢.因此,自14kaBP以来,两模型的冰负荷厚度时空变化有一定差异,可能对GIA 重力场变化和相应等效水柱高变化有重要影响.
|
图 2 ICE-4G(上)和ICE-5G(下)冰负荷模型给出的相对现今冰面的冰厚度 (a),(b)14kaBP;(c),(d) 10kaBP;(e),(f)6 kaBP. Fig. 2 Ice load thickness with respect to present ice surface for ice load models ICE-4G (top) and ICE-5G (bottom) |
与本文最优冰负荷模型ICE4G 结合的最优地球模型是RF3L20(β=0.4),该模型是一个径向分层、横向非均匀、非自转的黏弹地球,其岩石圈是完全弹性的.如表 1 所示,其径向的分层包括:岩石圈(Lith)、上地幔(UM)、转换带(TZ)、下地幔浅部(LM1)、下地幔深部(LM2)和液核(Core).层密度和弹性参数仅径向变化,由PREM[17]相应层的平均值给定;岩石圈底部深度由地震剪切波速度模型转换的结果确定[5, 18].径向变化的层黏滞度即参考黏滞度由Peltier 的VM2 模型[15]简化结果RF3 模型[5]给定,地幔黏滞度的横向扰动由地震剪切波异常经转换系数β=0.4估计的,其分布异常在上地幔尤为明显[5, 18].
此外,考虑到当前有两类不同的参考黏滞度模型,其一是上述Peltier的VM2模型,即本文简化的RF3模型,其下地幔浅部黏滞度比上地幔大4 倍,下地幔深部的黏滞度比下地幔浅部的黏滞度大1倍;其二是Mitrovica和Forte (1997)[19]根据地幔对流和GIA 联合反演给出的模型,这里用RF2 模型表示,其下地幔黏滞度要比上地幔大一个数量级.为研究这两种具有显著差异的参考黏滞度模型的影响,我们设计和利用RF2和RF3地球模型,其黏滞度、密度和弹性参数见表 1.
3.3 卫星观测数据对于GRACE 观测,本文采用CSR 提供的2002.08~2009.12时间段的RL04 产品,该产品提供88个月的重力场截止到60阶的正规化球谐展开系数.数据已扣除非潮汐大气、高频海洋信号、海洋大气潮汐、固体潮、固体极潮等的影响,主要反映陆地水、冰雪变化以及其他地球物理过程,在南极则主要反映各种时间尺度的冰雪变化以及GIA 长期变化过程.对卫星测高观测,本文利用美国冰雪数据中心发布ICESat的GLA12R28极地冰盖数据,数据产品为level2级,观测时间段为2003年2月20日至2008年3月21日,基于块域分析法得到了南极冰面高程的变化.下面介绍GRACE 重力场数据的后处理.
GRACE 测得的球谐系数C20精度不高,但C20对南极冰质量变化有着重要的影响[20, 21],所以本文用SLR 测得的C20代替之[22];另外,GRACE 自身测不出一阶项(地心改正项),本文利用Swenson 等(2008)的结果[23]考虑该项的影响.随着阶数的增高,GRACE 的球谐系数误差越来越大,例如其中轨道误差的后果是,重力场或根据其反演的地球表面密度变化出现南北方向的条带,这甚至掩盖了观测对象的信号,因此需要对时变重力场球谐系数进行后处理,以减小高阶误差[7, 24].后处理分两步进行:第一步叫作“去相关",研究发现[24]GRACE 的同次(m)不同阶(l)球谐系数之间具有相关性,根据Swenson (2006)[24]和Duan (2009)[25],对于次数小于5(即m<5)的球谐系数保持其不变,对次数大于等于5(m≥5)的系数随阶数的变化采用滑动窗口二次多项式拟合,以该拟合值作为系数的误差被扣除,滑动窗口大小与球谐系数的次数m有关,本文采用Duan等(2009)文中的取值;第二步叫做“平滑",以压制较高阶观测随机误差的影响.目前,广泛应用的低通滤波是高斯滤波[7],它是各向同性的滤波,其滤波函数的勒让德展开系数只和阶数有关.此外,几种非各向同性的滤波已被提出和使用[26, 27](其中Guo等的方法[27]不能用于极区),但使目的信号(例如南极冰质量变化)的分布形态产生较大变形[24],大量研究证明,高斯滤波简单易行,对有用信号扭曲较少[28],因此本文选择使用高斯滤波方法,即在公式(11)和(12)中插入了该滤波函数的勒让德展开系数Wl,选择平滑半径为300km.
根据(11)式,得到了2°×2°南极冰质量变化的等效水柱变化的时间序列.对每个网格节点时间序列的线性项和谐波分量进行最小二乘回归分析,其中线性项正是所求等效水柱长期变化速率,其他项是季节项(周年项和半年项)以及潮汐混频项(周期为161天).
4 结果与分析本节介绍基于GIA 模型预测的等效水柱高变化、GRACE 时变重力反演的等效水柱高变化,研究和讨论GIA 对监测南极冰质量平衡的影响,并给出不确定性评估结果.值得说明,十年至数十年间,GIA 过程可以认为是线性的,因此我们根据GIA 现今重力场变化估计其等效水柱变化,其结果将可与GRACE 重力反演的等效水柱长期变化进行比较.此外,还研究了GIA 对ICESat观测冰面高程变化的影响.
4.1 GIA模型的等效水柱高变化我们先对四个冰负荷模型和地球模型组合的GIA 模型进行了ABAQUS 有限元模拟,具体算法和设计见相关文献[5, 18],这四个GIA 模型是:ICE-4G + RF3L20(β=0.4)、ICE-5G + RF3L20(β =0.4)、ICE-4G+RF3和ICE-4G+RF2,有限元给出6个密度不连续面的现今径向位移速率,限于篇幅本文不逐一显示,分别对其作球谐展开,通过(10)式计算GIA 重力场速率的球谐系数,进一步通过(11)式计算了现今GIA 重力场变化所反映的等效水柱变化速率,如图 3所示.
|
图 3 根据不同GIA模型反演的现今南极等效水柱高变化 ICE-4G+RF3L20(β=0. 4); (b)ICE-5G+RF3L20(β=0.4); (c)ICE-4G+RF3;(d)ICE-4G+RF2. Fig. 3 Present-day equivalent water height (EWH) changes over Antarctica from different GIA models |
图 3a给出了最优GIA 模型ICE-4G+RF3L20(β=0.4)相应的等效水柱变化.由图可知,较大幅值出现在罗斯冰架、卡姆布冰流、罗尼冰架、南极半岛,在卡姆布冰流达到最大值,达到29.8 mm/a, 幅值分布形态与图 2冰负荷厚度的分布符合,ICE-5G 负荷模型(图 3b)和具有不同地幔黏滞度地球模型RF3和RF2模型(图 3c,3d)的幅值分布形态也较类似,这说明GIA 重力场的等效水柱变化的形态基本由冰负荷模型确定.图 4a给出了冰负荷模型ICE-4G 与ICE-5G 结果的差异,较大的差异发生在南极半岛地区,达11.1 mm/a, 由于都使用同样的地球模型RF3L20(β=0.4),所以该差异完全由冰负荷模型的差异(图 2)引起.图 3c,3d 给出了当地球模型分别是RF3 和RF2 时,冰负荷模型均采用ICE-4G 的结果,表面看二者形态相似,但幅值由于地幔黏滞度的不同有一定的差异,差异结果见图 4b,差异的幅度相对冰负荷模型差异的结果(图 4a)较小,主要沿南极边缘地区和卡姆布冰流、罗斯冰架地区分布,幅值达2.8mm/a.
|
图 4 不同GIA模型反演的等效水柱高变化差异 (a)ICE-4G 与 ICE-5G 的差异;(b)RF3 与 RF2 的差异. Fig. 4 he differences of EWH changes from different GIA models a)Differences between ICE-4G and ICE-5G; (b)Differences between RF3 and RF2 |
取不同冰模型结果差异(图 4a)和不同黏滞度模型结果差异(图 4b)的平方根作为最优GIA 模型(图 3a)的不确定性估计,结果如图 5a所示,较大的不确定性主要出现在南极沿岸地区,如卡姆布冰流、恩德比地,特别是南极半岛,不确定性相对较大,达11.3mm/a.图 5b是不同冰模型结果差异的平方占不确定性方差的百分比,结果显示,该百分比在西南极一般超过70%,在东南极一般小于40%,说明由于西南极在冰负荷近场,冰模型差异的影响占主导地位,相反在冰负荷较远场的东南极,地幔黏滞度的差异为主导因素.
|
图 5 根据ICE-4G+ RFSl^O^zOJ)反演的南极等效水柱变化的不确定性及其分析 (a)不确定性;(b)冰模型差异占不确定性方差的百分比. Fig. 5 5 Uncertainties of EWH changes over Antarctica from ICE-4G+ RF3L2O(/5=O. 4) GIA model and the analysis (a) Uncertainties; (b) Percent contribution of ice model differences to total variances of uncertainties. |
上面就南极大陆任意观测点,给出了最优GIA模型ICE-4G+RF3L20(β=0.4)相应的等效水柱变化,这里利用(12)式,重复上述过程,就可得到整个南极区域冰质量等效体积变化及其不确定性为134±28km3/a, 冰总质量变化为134±28Gt/a.冰模型的差异和地幔黏滞度差异贡献,各占方差总量的88.4%和11.6%.
在估计GIA 对南极质量平衡监测的影响时,国际上还使用Ivins的IJ05冰负荷模型[16],该模型基本上由冰川地质观测结果确定,与当地幔浅层有低黏滞度存在时的解释结果相吻合,图 6 显示了IJ05冰负荷模型和相应地球模型的等效水柱高变化,其较大的信号也是位于沿卡姆布冰流-罗尼冰架方向上,不同的是IJ05的最大幅值更接近于罗尼冰架和南极半岛,在极点附近IJ05 幅值较小.对南极总体冰质量,IJ05模型的结果与ICE-5G 结果分别为113~271Gt/a[9]和107~149Gt/a[12],后者与上述本文的结果较接近.
|
图 6 根据IJO5 GIA模型反演的 南极等效水柱高变化 Fig. 6 EWH changes inversed from IJO5 GIA model over Antarctica |
本节利用88个月的GRACE 重力场球谐系数数据,分别给出南极冰质量变化面分布的等效水柱变化、总的等效体积变化或总质量变化.由于观测时间跨度较大,冰质量长期变化的积累信号增强,更好地降低了海潮模型的混频误差,有利于克服各种误差的影响,使冰质量平衡监测的不确定性减小.
图 7a是GRACE 监测的南极冰质量等效水柱长期变化速率,图 7b是扣除最优GIA 模型ICE-4G+RF3L20(β=0.4)影响(图 3a)的结果.从图 7a,发现四个区域有明显质量变化:阿蒙森海湾地区和南极半岛北部存在着明显的负增长,其中幅值分别为~95.3mm/a、~30.5mm/a;沿卡姆布冰流到罗尼冰架有明显的增加,幅值为~32.8mm/a;恩德比地质量也要较明显增加,幅值为~13.6mm/a;极点附近质量接近平衡.从图 7b,阿蒙森海湾区域和南极半岛质量减少趋势有所增加,幅值分别增加为~102.5mm/a和~36.5mm/a, 卡姆布冰流区域质量增加幅度减小为~6.3mm/a, 恩德比地质量增加趋势减小为~8.1mm/a, 极点附近冰质量由基本平衡变为负增长,幅度变为~21.6mm/a.
|
图 7 根据GRACE时变重力场反演的等效水柱变化 (a)GIA改正前;(b)GIA改正后. Fig. 7 EWH changes from GRACE time-variable gravity field over Antarctica (a)Before GIA correction; (b) After GIA correction. |
用(12)式计算整个南极冰盖质量等效体积变化时间序列,用上述同样的回归处理,得到南极冰盖总质量变化为52±5Gt/a, 当扣除ICE-4G+RF3L20(β=0.4)GIA 模型后,南极等效的质量变化为-82±29Gt/a, 该结果与国外较新ICESat的测量结果(-84±37Gt/a)[12]较一致,与最新的ICESat测量分析结果(-81±7Gt/a, 参阅图 9b)[29]也较符合,说明新GIA 模型的结果是较合理的.
|
图 9 ICESat监测的5年南极冰面咼程变化 (据文献[29]扣除图 8aGIA贡献的结果) Fig. 9 The change of elevation on ice sheet over Antarctica from 5-year ICESat data (the results from Ref. [29] with GIA contribution removed as in Fig. 8a) |
如图 8a,8b所示,给出GIA 模型ICE-4G+RF3L20(β=0.4)预测的南极地壳隆升速率和按4.1节类似方法评估的不确定性.由图 8a,GIA预测的隆升速率形态与图 3a的等效水柱高变化相似,但显然前者无60阶以上的高频截断,使得结果的分辨率更高,在卡姆布冰流、南极半岛和恩德比地分别出现了明显独立的地壳隆升异常,幅值分别为15.6mm/a、9.5mm/a、8.8mm/a, 在东南极大部分地区地壳隆升速率不超过4mm/a.由图 8b,GIA 模型预测地壳隆升的不确定性与预测地壳隆升本身(图 8a)正相关,主要反映冰负荷模型差异的影响.在上述4个地区,不确定结果分别为7.1mm/a、6.1mm/a、3.2 mm/a、1.8mm/a.
|
图 8 根据ICE-4G+RF3L20(β=0. 4)模型预测的地壳隆升速率(a)和其不确定性(b) Fig. 8 GIA predictions from ICE-4G+RF3L20(β= 0. 4) for (a) present-day uplitt rates and (b) the uncertainties |
史红岭等根据ICESat测高数据,基于块域分析法计算了5年南极冰面高程变化的线性趋势[29],图 9给出了进一步排除了图 8aGIA 模型影响的结果.比较图 9与图 8a,发现GIA的影响对ICESat监测南极冰面高程变化的影响一般不超过8%.
GRACE 和ICESat的结果既有相似性,也存在一定差异.比较图 7b和图 9,两种监测技术所揭示的冰雪消融和积累在分布上大体一致,而且所得出的南极冰雪整体质量变化比较接近;但是,它们在冰雪消融和积累结果的分布形态和幅度上有显著差异,主要原因有两个,首先,两种观测技术的分辨率不同,GRACE重力场系数截断到60阶且经过300km高斯平滑,反映的是中长波信息,而ICESat空间分辨率较高,图 9结果的分辨率为100km;其次,积雪压实作用对卫星测高结果具有一定影响.
5 结论利用新的冰川均衡调整模型,研究了对南极冰质量平衡监测的影响,揭示了GIA 的影响和不确定性分布的规律,为空间大地测量监测南极冰质量平衡提供了新的GIA 改正模型,主要结论是:
(1) 对基于卫星重力监测的等效水柱变化,GIA有很大的影响.较大的GIA 影响出现在西南极地区,GIA 使等效水柱增加,在卡姆布冰流达到最大,幅度达到~29.8 mm/a;较大的不确定性出现在南极半岛,幅度为~11.3mm/a, 不确定性在西南极主要源于冰负荷模型差异,而在东南极则主要源自地幔黏滞度的差异,从整个南极看,冰模型差异的影响占主导地位.GRACE 监测的等效水柱在扣除GIA影响前后有显著变化,例如在卡姆布冰流分别是~32.8mm/a和~6.3mm/a, 极点地区分别是0.7mm/a和-21.6mm/a, 而整个南极冰总质量变化分别为52±5Gt/a和-82±29Gt/a.
(2) 对基于卫星测高的冰面高程变化,较大的GIA 影响同样出现在西南极,GIA 使冰面高度升高,例如,在卡姆布冰流和罗尼冰架、南极半岛出现了明显独立的地壳隆升异常,幅值分别为15.6mm/a、9.5mm/a、8.8mm/a, 但远小于卫星测高监测的结果,一般不超过8%.
(3) 利用了最新的卫星重力和卫星测高数据,进行了精细的处理和反演,特别是经过新的GIA 模型的改正,其冰质量平衡监测结果可为研究南极冰雪消融和对全球海平面变化影响提供参考.
致谢该项研究通过与加拿大卡尔加里大学WUPatrick教授的合作,使用了达索SIMULIA 公司的ABAQUS软件,特致谢意.
| [1] | Chen J L, Wilson C R, Blankenship D D, et al. Antarctic mass rates from GRACE. Geophys. Res. Lett. , 2006, 33(11): L11502. DOI:10.1029/2006GL026369 |
| [2] | Chen J L, Wilson C R, Tapley B D. Antarctic regional ice loss rates from GRACE. Earth and Planetary Sci. Lett. , 2008, 266(1-2): 140-148. DOI:10.1016/j.epsl.2007.10.057 |
| [3] | 汪汉胜, WuPatrick, 许厚泽. 冰川均衡调整(GIA)的研究. 地球物理学进展 , 2009, 24(6): 1958–1967. Wang H S, Wu Patrick, Xu H Z. A review of research in glacial isostatic adjustment. Progress in Geophys.(in Chinese) (in Chinese) , 2009, 24(6): 1958-1967. |
| [4] | 汪汉胜, WuPatrick, vander Wal Wouter, 等. 大地测量观测和相对海平面联合约束的冰川均衡调整模型. 地球物理学报 , 2009, 52(10): 2450–2460. Wang H S, Wu Patrick, van der Wal Wouter, et al. Glacial isostatic adjustment model constrained by geodetic measurements and relative sea level. Chinese J. Geophys. (in Chinese) (in Chinese) , 2009, 52(10): 2450-2460. |
| [5] | Wang H S, Wu Patrick, van der Wal Wouter. Using postglacial sea level, crustal velocities and gravity-rate-of-change to constrain the influence of thermal effects on mantle lateral heterogeneities. J. Geodynam. , 2008, 46(3-5): 104-117. DOI:10.1016/j.jog.2008.03.003 |
| [6] | Peltier W R. Postglacial variations in the level of the sea:implications for Climate Dynamics and Solid-earth Geophysics. Reviews of Geophysics , 1998, 36(4): 603-689. DOI:10.1029/98RG02638 |
| [7] | Wahr J, Molenaar M. Time variability of the Earth's gravity field:Hydrological and oceanic effects and their possible detection using GRACE. J. Geophys. Res. , 1998, 103(B12): 230205-230229. |
| [8] | Tapley B D, Bettadpur S, Watkins M, et al. The gravity recovery and climate experiment: Mission overview and early results. Geophys. Res. Lett. , 2004, 31(9): L09607. |
| [9] | Velicogna I, Wahr J. Measurements of time-variable gravity show mass loss in Antarctica. Science , 2006, 311(5768): 1754-1756. DOI:10.1126/science.1123785 |
| [10] | Chen J L, Wilson C R, Blankenship D, et al. Accelerated Antarctic ice loss from satellite gravity measurements. Nature Geoscience , 2009, 2(12): 859-862. DOI:10.1038/ngeo694 |
| [11] | 鄂栋臣, 杨元德, 晁定波. 基于GRACE资料研究南极冰盖消减对海平面的影响. 地球物理学报 , 2009, 52(9): 2222–2228. E D C, Yang Y D, Chao D B. The sea level change from the Antarctic ice sheet based on GRACE. Chinese J. Geophys. (in Chinese) (in Chinese) , 2009, 52(9): 2222-2228. |
| [12] | Gunter B, Urban T, Riva R, et al. A comparison of coincident GRACE and ICESat data over Antarctica. J. Geod. , 2009, 83(11): 1051-1060. DOI:10.1007/s00190-009-0323-4 |
| [13] | 汪汉胜, 许厚泽, 李国营. SNREI地球模型负荷勒夫数数值计算的新进展. 地球物理学报 , 1996, 39(Suppl): 182–189. Wang H S, Xu H Z, Li G Y. Improvement of computation of load Love numbers of SNREI earth model. Chinese J. Geophys. (Acta Geophysica Sinica) (in Chinese) (in Chinese) , 1996, 39(Suppl): 182-189. |
| [14] | Swenson S, Wahr J. Methods for inferring regional surface-mass anomaly from gravity recovery and climate experiment (GRACE) measurements of time-variable gravity. J. Geophys. Res. , 2002, 107(B9): 2193. |
| [15] | Peltier W R. Global glacial isostasy and the surface of the ice-age Earth: The ICE-5G (VM2) model and GRACE. Annual Review of Earth and Planetary Science , 2004, 32: 111-149. DOI:10.1146/annurev.earth.32.082503.144359 |
| [16] | Ivins E R, James T S. Antarctic glacial isostatic adjustment: a new assessment. Antarctic Science , 2005, 17(4): 541-553. DOI:10.1017/S0954102005002968 |
| [17] | Dziewonski A M, Anderson D L. Preliminary reference earth model. Phys. Earth Planet. Int. , 1981, 25(4): 297-356. DOI:10.1016/0031-9201(81)90046-7 |
| [18] | Wang H S, Wu P. Effects of lateral variations in lithospheric thickness and mantle viscosity on glacially induced surface motion on a spherical, self-gravitating Maxwell Earth. Earth and Planetary Sci. Lett. , 2006, 244(3-4): 576-589. DOI:10.1016/j.epsl.2006.02.026 |
| [19] | Mitrovica J X, Forte A M. Radial profile of mantle viscosity: results from a joint inversion of convection and post-glacial rebound observables. J. Geophys. Res. , 1997, 102(B2): 2751-2769. DOI:10.1029/96JB03175 |
| [20] | Chen J L, Rodell M, Wilson C R, et al. Low degree spherical harmonic influences on Gravity Recovery and Climate Experiment (GRACE) water storage estimates. Geophys. Res. Lett. , 2005, 32(14): L14405. |
| [21] | Wu X, Heflin M B, Ivins E R, et al. Seasonal and interannual global surface mass variations from multisatellite geodetic data. J. Geophys. Res. , 2006, 111(B9): B09401. |
| [22] | Cheng M, Tapley B D. Variations in the Earth's oblateness during the past 28 years. J. Geophys. Res. , 2004, 109(B9): B09401. |
| [23] | Swenson S, Chambers D, Wahr J. Estimating geocenter variations from a combination of GRACE and ocean model output. J. Geophys. Res. , 2008, 113(B8): B08410. |
| [24] | Swenson S, Wahr J. Post-processing removal of correlated errors in GRACE data. Geophys. Res. Lett. , 2006, 33(8): L08402. |
| [25] | Duan X J, Guo J Y, Shum C K, et al. On the postprocessing removal of correlated errors in GRACE temporal gravity field solutions. J. Geod. , 2009, 83(11): 1095-1106. DOI:10.1007/s00190-009-0327-0 |
| [26] | Han S-C, Shum C K, Jekeli C. Non-isotropic filtering of GRACE temporal gravity for geophysical signal enhancement. Geophys. J. Int. , 2005, 163(1): 18-25. DOI:10.1111/gji.2005.163.issue-1 |
| [27] | Guo J Y, Duan X J, Shum C K. Non-isotropic Gaussian smoothing and leakage reduction for determining mass changes over land and ocean using GRACE data. Geophys. J. Int. , 2010, 181(1): 290-302. DOI:10.1111/gji.2010.181.issue-1 |
| [28] | Steffen H, Wu P, Wang H S. Determination of the Earth's structure in Fennoscandia from GRACE and implications on the optimal post-processing of GRACE data. Geophys. J. Int. , 2010, 182(3): 1295-1310. DOI:10.1111/j.1365-246X.2010.04718.x |
| [29] | 史红岭, 陆洋, 杜宗亮, 等. 基于ICESat块域分析法探测2003-2008年南极冰盖质量变化. 地球物理学报 , 2011, 54(4): 958–965. Shi H L, Lu Y, Du Z L, et al. Mass change detection in Antarctic ice sheet using ICESat block analysis techniques from 2003-2008. Chinese J. Geophys. (in Chinese) (in Chinese) , 2011, 54(4): 958-965. |
2011, Vol. 54

