2. 西安石油大学 光电油气测井与检测教育部重点实验室,西安 710065;
3. 西安理工大学 计算机科学与工程学院,西安 710048
2. Key Laboratory of Photoelectric Logging and Detecting of Oil and Gas, Ministry of Education, Xi'an Shiyou University, Xi'an 710065,China;
3. College of Computer Science & Technology, Xi'an University of Technology, Xi'an 710048, China
长期以来,电磁测井多采用谐变电磁场,但这种方法存在一些固有缺陷.为解决电磁测井中垂直分辨率和探测深度之间的矛盾,国际上正在探索电磁脉冲测井问题.瞬变电磁法是一种时间域电磁方法,它与频率域电磁方法的不同之处在于,其利用阶跃波或脉冲电流场源作为激励,在一次场的间歇期间,测量由地层介质产生的感应电磁场随时间的变化特征,从而探测地层中不均匀体的位置,并对其规模和导电性能进行估计.由于阶跃信号包含的频率成分极其丰富,一次供电测量各电磁场分量随时间的变化规律,相当于在频率域多个频点的测量结果,因此极大地提高了工作效率[1-10].国外对瞬变电磁法的研究起源于矿物资源的探测,目前以加拿大和前苏联的工作最为引人注目[3],研制成功了多种探测仪,并取得了良好的应用效果.在石油天然气领域,近年来也公布了瞬变电磁法用于裸眼井测井及地质导向钻井最新专利[11].国内有关瞬变电磁法的学术论著出现于20世纪90 年代前后,之后陆续出版了多部专著,并研制成功了相关的仪器[12],在矿物勘探、水文地质研究、煤田勘探等领域得到了应用.但现有的研究工作大多局限于地面,与国外在生产井、裸眼井及随钻测井中的研究仍存在一定差距.实际上,国内外针对大地瞬变电磁响应与视电阻率计算的研究和应用较为广泛,有关瞬变电磁场理论及应用的研究成果多是针对水平层状媒质模型得到的[13-25].对井中瞬变电磁法测井方面的报道则相对较少,有关井中瞬变电磁响应数值模拟方面的研究报道更少.地面瞬变电磁法的发射框沿地面布设,有效探测范围为地下半空间.井中瞬变电磁响应分布规律受井眼周围地层有效探测范围内所有地层导电性的综合影响,因而是全空间地球物理场问题.原有的地面瞬变电磁法的理论不再完全适用于井中瞬变电磁法的理论研究,因此,需要对柱状分层媒质中瞬变电磁场的理论及应用进行研究.
井中瞬变电磁法将发射装置与接收装置均放入井中,因而可以使测量装置更接近异常体,增大观测到的异常信号强度,并且可以在异常体的不同高度和各个侧面进行勘探.另外,井中观测还可以降低覆盖层等不均匀体对观测结果的影响,减小干扰因素,用于精细电性结构地质体勘探.该技术与地面瞬变电磁法相比,具有分辨率高、体积效应小、旁侧影响小以及测量快速等诸多优点,同时可以弥补井下直流电法勘探无法探测的井下地质问题,具有十分广阔的应用前景[26].然而,对于油气生产井的实际测量条件,井眼泥浆、金属套管特性以及水泥环参数等对井中瞬变电磁响应的影响还没有完整的分析结果.因此,有必要系统研究生产井中的瞬变电磁响应特征,为井中瞬变电磁法的正演计算和反演解释提供理论依据.为此,本文开展了井中瞬变电磁场响应特征的模拟研究.导出了套管井中磁偶极子源通以阶跃电流时,井中同轴接收线圈上时域电磁场响应的一般表达式.通过对轴对称介质中接收线圈上观测的电场强度Et、磁场强度Ht和感应电动势Vt参数的数值计算,详细分析了不同井眼泥浆、套管内径、套管厚度和磁导率以及水泥环参数条件下,井中瞬变电磁响应的特征.
2 井中磁源瞬变响应建模油气生产井的典型结构是如图 1所示的柱状轴对称分层结构.分别定义井眼泥浆为介质1,套管为介质2,水泥环为介质3,地层为介质4.图 1 中r1、r2、r3 分别表示井眼、套管和水泥环的外径,发射线圈T 和接收线圈R 均位于井轴上,二者间距离为z.当井中发射线圈通以瞬变激励信号时,由接收线圈上获得的丰富电磁响应信息进行油气资源评价.
|
图 1 井中瞬变电磁测井原理图 Fig. 1 Schematic of transient electromagnetic logging in borehole |
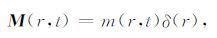
令井眼中的垂直磁偶极子点源位于纵轴坐标原点处,用磁化强度矢量表示为
|
(1) |
其中,δ(r)为狄拉克函数;m(r,t)= NT·I·S,为点源的磁偶极矩.式中,NT为发射线圈匝数;S=πr2 为偶极子环面积;I为磁偶极子上的电流强度.针对井眼结构可建立各向同性媒质中的麦克斯韦方程组:
|
(2) |
其中,参数μ,ε,σ 分别为介质的磁导率、介电常数和电导率.Jm(r,t)为等效磁流密度,在无源区中,有Jm =0.ρm(r,t)为等效磁荷密度,二者与磁化强度矢量的关系为
|
(3) |
|
(4) |
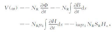
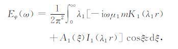
通过求解方程组(2),得井眼中接收线圈上的频域电磁响应为
|
(5) |
|
(6) |
|
(7) |
其中,${\lambda _1} = \sqrt {{\xi ^2} - k_1^2} $,ξ 为求解电磁响应引入的积分参量,k12 = ω2ε1μ1 -iωμ1σ1.I0(λ1r),K0(λ1r),I1(λ1r),K1(λ1r)为修正贝塞尔函数.系数A1(ξ)可由各柱状轴对称分层界面上电场分量和磁场分量的连续性条件求得.
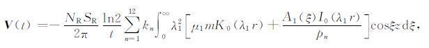
将频域响应记做H(ω),并做代换s=iω,可由逆拉氏变换计算发射信号为阶跃电流时,接收线圈上时域响应(阶跃响应),表示为
|
(8) |
将(5)、(6)、(7)式分别代入(8)式,即可求得接收线圈上的阶跃响应.当激励信号采用负阶跃电流时,接收线圈上的时域响应(负阶跃响应)为
|
(9) |
采用Gaver-Stehfest逆拉氏变换法,由频域电磁场响应计算得接收线圈上的负阶跃电磁响应为
|
(10) |
|
(11) |
|
(12) |
式中,
|
(13) |
|
(14) |
kn为G-S方法的滤波系数.根据Davies和Martin[27]、长谷川健、JH Knight以及APRaiche[28]等人的研究结果,使用G-S 方法计算逆拉氏变换时,滤波系数个数与计算精度、计算机字长之间存在密切关系.
3 套管井中磁偶源的电磁响应特征为了进一步了解各层介质参数变化的电磁场响应特征,对激励信号为负阶跃信号时,接收线圈上的瞬变电磁响应特征进行了数值模拟.计算时,取电流强度I=5A,收、发线圈纵向偏移距为z=0.5m, 发射与接收线圈半径为r=0.035m.各层介质中的介电常数为ε1=ε2=ε3=ε4=ε0=8.85×10-12F/m.
3.1 井眼泥浆对瞬变电磁响应的影响为考查井眼泥浆参数变化对接收线圈瞬变电磁响应的影响,对不同井眼泥浆电导率条件下,接收线圈上的电场强度、磁场强度和感应电动势随时间的变化规律进行了模拟.各层介质电导率分别取:σ2=200000S/m, σ3=0.02S/m, σ4=10S/m.磁导率取:套管磁导率μ2=μ2r×μ0,其中,μ2r=100为相对磁导率,μ0=4π×10-7 H/m 为真空中的磁导率;其他层介质的相对磁导率μ1r=μ3r=μ4r=1.井眼、套管和水泥环的半径分别为:r1=6cm, r2=6.7cm, r3=10.7cm.当井眼泥浆电导率分别取σ1=0.001,0.01,0.1,1.0,10S/m 时,计算得接收线圈的电场强度、磁场强度和感应电动势曲线如图 2所示.由图可见,电场响应、磁场响应和感应电动势均随接收时间的延长呈现衰减变化趋势.当井眼泥浆电导率变化4个数量级由σ1=0.001S/m 增加到σ1=10S/m时,接收线圈上的磁场响应强度Ht和感应电动势Vt在整个接收时间段完全重合.而电场响应强度Et仅在瞬变过程的早期阶段对高导电泥浆比较敏感,但在晚期阶段也与低导电泥浆情况下的响应曲线完全重合.由此可知,井眼泥浆电导率变化对井中瞬变响应影响极小.因此,在井中瞬变电磁测井响应信号处理时,没有必要进行井眼泥浆校正.
|
图 2 井眼泥浆参数对瞬变响应的影响 Fig. 2 The impact of borehole mud conductivity on received signal amplitude |
在油气生产井的电磁测井技术中,由于套管的存在会对电磁波信号产生强烈的衰减作用,因此有必要了解金属套管几何参数和物性参数的变换对电磁响应的影响.首先分析套管内径变化对电磁测井响应的影响.其他参数同前,当井眼泥浆电导率取σ1=1.0S/m;套管内径分别为:r1=5,8,10,12,15cm时,接收线圈上的电场强度、磁场强度和感应电动势瞬变响应曲线如图 3所示.可以看出,套管内径的变化对接收线圈上的磁场强度响应Ht和感应电动势Vt均有较大影响,响应曲线可明显识别出套管内径的不同.并且,套管内径越大,Ht和Vt响应信号的幅度越低,衰减时间越长.另外,不同套管内径条件下,接收线圈上的电场强度Et响应曲线几乎完全重合,表明电场强度响应对套管内径参数的分辨率较低.在识别套管内径参数变化时,不应使用电场强度响应曲线.
|
图 3 套管内径变化对瞬变响应的影响 Fig. 3 The impact of the inner radius of casing on received signal amplitude |
其次,分析套管厚度变化对瞬变电磁响应信号的影响.在生产井中,经常会出现由于损伤或腐蚀作用造成某一井段套管变薄的现象.图 4为深度22-23m 井段中套管厚度变薄时,接收线圈上的电场强度、磁场强度和感应电动势瞬变响应曲线.令套管内径r1=6cm, 正常套管厚度为Δr2=7 mm, 在井深22.5m 处,由于腐蚀或损伤的作用使套管厚度减至Δr2=4mm.由图 4可知,接收线圈上的电场强度响应、磁场强度响应和感应电动势曲线均随井深的增加呈现衰减规律变化,在套管厚度突然变薄处,响应曲线存在明显异常.其中电场强度Et和感应电动势Vt在套管变薄处出现明显抬升,说明套管厚度越薄,电磁波信号越容易穿过套管,接收线圈上的感应电动势幅度越强,衰减越慢.而磁场强度Ht则在套管变薄处出现加速下降,这主要是由于厚度变薄造成套管中的磁力线数量减少的缘故.
|
图 4 套管变薄的瞬变响应 Fig. 4 The response of transient electromagnetic logging of thinner casing |
对于由套管接箍或氧化作用造成的套管变厚情况,图 5给出了接收响应信号曲线.同前,套管正常厚度为Δr2=7mm, 在井深22.5m 处,由于氧化作用或接箍使套管厚度增至Δr2=10 mm.由图 5 可知,接收线圈上的电场强度响应、磁场强度响应和感应电动势曲线在套管变厚处均出现明显异常,并且在厚度变化端点处,响应曲线的变化方向正好与图4中的情况相反.电场强度Et和感应电动势Vt在套管变厚处出现加速下降,而磁场强度Ht则出现明显抬升.
|
图 5 套管变厚的瞬变响应 Fig. 5 The response of transient electromagnetic logging of thicker casing |
再次,考查套管磁导率对接收信号的影响.其他参数同前,套管厚度Δr2=7 mm, 当套管的相对磁导率分别为:μ2r=100,200,300,400,500时,接收线圈上的响应曲线如图 6所示.可以看出,接收线圈上的电场强度响应、磁场强度响应和感应电动势曲线均随接收时间呈现衰减变化,随套管磁导率的增加,响应信号幅度降低.结果说明,金属套管的磁导率参数对接收信号有重要影响.套管磁导率越高,电磁波信号越难穿过套管,接收线圈上的响应信号幅度越低,衰减越快.另外,当套管磁导率较高时,响应信号间的差别减小,说明当套管磁导率处于较高情况下,响应信号对套管磁导率的分辨能力降低.因此,在生产井测井中,应尽量降低金属套管的磁导率参数,比如可以选用弱磁性或非磁性的金属材料.
|
图 6 套管磁导率对瞬变响应的影响 Fig. 6 The impact of casing relative magnetic permeability on received signal amplitude |
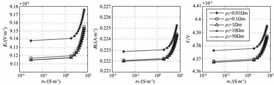
在分析水泥环对响应信号的影响时,认为水泥与套管和地层均是胶结良好的.首先分析水泥环电导率对响应信号的影响.套管相对磁导率μ2r=100,水泥环的电阻率分别取ρ3=0.01,0.1,1.0,10,50Ωm, 地层电导率变化范围为σ4=0.0001-100S/m.图 7为不同电阻率水泥环的瞬变响应曲线.可以看出,电场强度、磁场强度和感应电动势响应信号幅度均随地层电导率的增大而升高.当水泥环电阻率ρ3 ≥1.0Ωm时,电场强度Et、磁场强度Ht和感应电动势Vt响应曲线均出现重合现象,说明高阻水泥环对瞬变电磁测井响应信号的影响较小,而低阻水泥环则会对测量信号产生较大影响.当地层电导率σ4≥10S/m 时,低阻水泥环响应曲线间的差别减小,说明低阻水泥环对高导地层的响应影响较小,当地层电导率进一步增高时,水泥环电阻率对响应信号带来的影响可忽略不计.而当地层电导率σ4≤10S/m时,低阻水泥环响应曲线间偏差较大,说明低阻水泥环对低导地层的响应影响较大,会产生较大的测量误差.
|
图 7 水泥环电导率对瞬变响应的影响 Fig. 7 The impact of the cement sheath conductivity on received signal amplitude |
在测井实际环境中,井眼半径是变化的,水泥环厚度和水泥胶结状况也可能随测井深度而变化,下面分析水泥环厚度对响应信号的影响.其他参数同前,水泥环厚度取Δr3=3,6,9,12,15cm.图 8 为不同厚度水泥环条件下的电场强度、磁场强度和感应电动势响应曲线.显然,水泥环厚度越薄,电磁波信号越容易穿过水泥环,响应信号幅度越高.另外,当地层电导率σ4≥10S/m 时,响应信号曲线间偏差减小,说明对高导地层,水泥环厚度参数对响应信号影响较小,当地层电导率进一步增高时,水泥环厚度对响应信号的影响可忽略不计.
|
图 8 水泥环厚度对瞬变响应的影响 Fig. 8 The impact of the thickness of cement sheath on received signal amplitude |
根据电磁场理论,推导了井中瞬变电磁法电场强度Et、磁场强度Ht和感应电动势Vt的时域响应表达式.分析了套管井中磁偶极子源的瞬变电磁响应特征,详细讨论了井眼泥浆参数、套管几何参数与物性参数和水泥环参数等对井中观测的瞬变电磁响应的影响.数值计算结果表明:
(1) 井眼泥浆电导率的变化对井中瞬变电磁响应的影响极小.因此,在井中瞬变电磁测井数据处理时没有必要进行泥浆影响校正.
(2) 不同内径金属套管的瞬变电磁响应特征表明,套管内径越小,电磁波信号越容易穿过套管,瞬变电磁响应幅度越高,衰减时间越长.
(3) 当某一井段内套管厚度发生变化时,在厚度变化的端点处,瞬变电磁响应存在明显异常,由此可以识别套管接箍和套管厚度的变化.
(4) 不同磁导率套管的瞬变电磁响应特征表明,套管磁导率参数对瞬变电磁响应有重要影响.套管磁导率越高,电磁波信号越难以穿过套管,瞬变电磁响应幅度越低,衰减时间越短.因此,对于井中瞬变电磁法,采用非铁磁性或弱铁磁性套管要优于一般的铁磁性套管,比如可以选用类似不锈钢的弱铁磁性套管.
(5) 不同电导率水泥环的瞬变电磁响应特征表明,高阻水泥环对瞬变电磁测井响应信号的影响较小,而低阻水泥环对低阻地层的响应信号将产生较大影响.水泥环厚度变化对瞬变电磁响应有明显影响,水泥环越薄,电磁波信号越容易穿过套管,响应信号幅度越高,衰减时间越长.尤其对低导地层,水泥环厚度对响应信号会产生较大测量误差.
井中磁源瞬变电磁响应特征的数值计算,可用于研究井眼泥浆、金属套管和水泥环的各项参数对瞬变电磁响应的影响.为套管接箍识别、套管厚度变化区分以及套管响应特性校正与水泥环响应特性校正提供重要理论依据,为井中瞬变电磁法油气藏勘探打下良好基础.
| [1] | Pavlov D A, Zhdanov M S. Analysis and interpretation of anomalous conductivity and magnetic permeability effects in time domain electromagnetic data. Journal of Applied Geophysics , 2001, 46(4): 217-233. DOI:10.1016/S0926-9851(01)00040-4 |
| [2] | 熊彬, 罗延钟. 电导率分块均匀的瞬变电磁2.5维有限元数值模拟. 地球物理学报 , 2006, 49(2): 590–597. Xiong B, Luo Y Z. Finite element modeling of 2.5-D TEM with block homogeneous conductivity. Chinese J. Geophys. (in Chinese) , 2006, 49(2): 590-597. |
| [3] | 蒋邦远. 实用近区磁源瞬变电磁法勘探. 北京: 地质出版社, 1998 . Jiang B Y. Applied Near Zone Magnetic Source Transient Electromagnetic Exploration (in Chinese). Beijing: Geological Publishing House, 1998 . |
| [4] | 刘长胜, 林君. 海底表面磁源瞬变响应建模及海水影响分析. 地球物理学报 , 2006, 49(6): 1891–1898. Liu C S, Lin J. Transient electromagnetic response modeling of magnetic source on seafloor and the analysis of seawater effect. Chinese J. Geophys. (in Chinese) , 2006, 49(6): 1891-1898. |
| [5] | 闫述, 陈明生, 傅君眉. 瞬变电磁场的直接时域数值分析. 地球物理学报 , 2002, 45(2): 275–284. Yan S, Chen M S, Fu J M. Direct time-domain numerical analysis of transient electromagnetic fields. Chinese J. Geophys. (in Chinese) , 2002, 45(2): 275-284. |
| [6] | 朴化荣. 电磁测深法原理. 北京: 地质出版社, 1990 . Piao H R. Principle of Electromagnetic Sounding Method (in Chinese). Beijing: Geological Publishing House, 1990 . |
| [7] | 薛国强, 李貅, 郭文波, 等. 从瞬变电磁测深数据到平面电磁波场数据的等效转换. 地球物理学报 , 2006, 49(5): 1539–1545. Xue G Q, Li X, Guo W B, et al. Equivalent transformation from TEM field sounding data to plane-wave electromagnetic sounding data. Chinese J. Geophys. (in Chinese) , 2006, 49(5): 1539-1545. |
| [8] | 李貅, 薛国强, 宋建平, 等. 从瞬变电磁场到波场的优化算法. 地球物理学报 , 2005, 48(5): 1185–1190. Li X, Xue G Q, Song J P, et al. An optimize method for transient electromagnetic field-wave field conversion. Chinese J. Geophys. (in Chinese) , 2005, 48(5): 1185-1190. |
| [9] | 孟永良, 罗延钟, 昌彦君. 时间谱电阻率法的二维正演算法. 地球科学 , 2000, 25(6): 656–662. Meng Y L, Luo Y Z, Chang Y J. 2-dimensional forward algorithm for time spectral resistivity. Earth Science (in Chinese) , 2000, 25(6): 656-662. |
| [10] | 嵇艳鞠, 林君, 于生宝, 等. ATTEM系统中电流关断期间瞬变电磁场响应求解的研究. 地球物理学报 , 2006, 49(6): 1884–1890. Ji Y J, Lin J, Yu S B, et al. A study on solution of transient electromagnetic response during transmitting current turn-off in the ATTEM system. Chinese J. Geophys. (in Chinese) , 2006, 49(6): 1884-1890. |
| [11] | George Itskovich, Baker Hughes. Method for measuring transient electromagnetic components to perform deep geosteering while drilling. US7167006B2,Jan. 23,2007 |
| [12] | 方文藻, 李予国, 李貅. 瞬变电磁测深法原理. 西安: 西北工业大学出版社, 1993 . Fang W Z, Li Y G, Li X. Theory of Transient Electromagnetic Sounding (in Chinese). Xi'an: North-West Industry University Press, 1993 . |
| [13] | 张庚骥, 汪涵明, 汪功礼. 成层介质中交流电测井响应. 地球物理学报 , 1995, 38(6): 840–849. Zhang G J, Wang H M, Wang G L. A. C. logging response in stratified media. Chinese J. Geophys. (in Chinese) , 1995, 38(6): 840-849. |
| [14] | 牛之琏. 时间域电磁法原理. 长沙: 中南工业大学出版社, 1992 . Niu Z L. The Theory of Time-Domain Electromagnetic Methods (in Chinese). Changsha: Central South University of Technology Press, 1992 . |
| [15] | Markku P, Saurabh K V, Sven-Erik Hjelt. Inversion of transient electromagnetic profile data using conductive finite plate model. Journal of Applied Geophysics , 1998, 38: 181-194. DOI:10.1016/S0926-9851(97)00029-3 |
| [16] | Wang T S, Hohmann G W. A finite-difference, time-domain solution for three-dimensional electromagnetic modeling. Geophysics , 1993, 58(6): 797-817. DOI:10.1190/1.1443465 |
| [17] | Zhdanov M S, Pavlov D A. Analysis and interpretation of anomalous conductivity and magnetic permeability effects in time domain electromagnetic data Part II: S-inversion. Journal of Applied Geophysics , 2001, 46: 235-248. DOI:10.1016/S0926-9851(01)00041-6 |
| [18] | Efthimios T, Michael S Z, Kazushige W, et al. Fast imaging of TDEM data based on S-inversion. Journal of Applied Geophysics , 2000, 43: 15-32. DOI:10.1016/S0926-9851(99)00030-0 |
| [19] | Tae J L, Jung H S, Hee J K, et al. Electromagnetic traveltime tomograph using probability wavefield transform. Geophysics , 2002, 67(3): 67-69. |
| [20] | 熊彬, 阮百尧. 电位双二次变化二维地电断面电阻率测深有限元数值模拟. 地球物理学报 , 2002, 45(3): 285–294. Xiong B, Ruan B Y. A numerical simulation of 2-D geoelectric section with biquadratic change of potential for resistivity sounding by the finite element method. Chinese J. Geophys. (in Chinese) , 2002, 45(3): 285-294. |
| [21] | Haber E, Oldenburg D. Inversion of 3D time domain electromagnetic data using an all-at-once approach. Expanded Abstracts, Soc. Expl. Geophys. 72nd Annual Meeting, Salt Lake City, Utah. 2002 |
| [22] | 郭文波, 李貅, 薛国强, 等. 瞬变电磁快速成像解释系统研究. 地球物理学报 , 2005, 48(6): 1400–1405. Guo W B, Li X, Xue G Q, et al. A study of the interpretation system for TEM tomography. Chinese J. Geophys. (in Chinese) , 2005, 48(6): 1400-1405. |
| [23] | Zhdanov M S, Pavlov D A, Ellis R G. Localized S-inversion of time-domain electromagnetic data. Geophysics , 2002, 67: 1115-1125. DOI:10.1190/1.1500372 |
| [24] | 薛国强, 李貅, 宋建平, 等. 回线源瞬变电磁成像的理论分析及数值计算. 地球物理学报 , 2004, 47(2): 338–343. Xue G Q, Li X, Song J P, et al. Theoretical analysis and numerical calculation of loop-source transient electromagnetic imaging. Chinese J. Geophys. (in Chinese) , 2004, 47(2): 338-343. |
| [25] | Meju M A. Joint inversion of TEM and distorted MT soundings: Some effective practical considerations. Geophysics , 1996, 61(1): 56-65. DOI:10.1190/1.1443956 |
| [26] | 于景邨.矿井瞬变电磁法理论与应用技术研究.徐州:中国矿业大学,2000:11-15. Yu J C. Mine transient electromagnetic theory and applied technology research (in Chinese). Xuzhou: China University of Mining, 2000:11-15 |
| [27] | Davies B, Martin B L. Numerical inversion of Laplace transform: a survey and comparison of method. Journal of Applied Geophysics , 1979, 33(1): 1-32. |
| [28] | Knight J H, Raiche A P. Transient electromagnetic calculation using the Gaver-stehfest inverse Laplace transform method. Geophysics. , 1982, 47(1): 47-50. DOI:10.1190/1.1441280 |
2011, Vol. 54
