地球物理学报  2011, Vol. 54 Issue (1): 208-217   PDF    
TTI介质qP波入射精确和近似反射透射系数
梁锴1,2, 印兴耀1, 吴国忱1     
1. 中国石油大学(华东)地球资源与信息学院,青岛 266555;
2. 中国科学院地质与地球物理研究所,北京 100029
摘要: 介质各向异性是影响振幅随炮检距变化(AVO)的重要因素之一.本文将Aki和Richards以及Rüger的方法进行推广,推导出两个弹性倾斜横向各向同性(TTI)介质密接条件下平面波反射和透射系数及其近似式.从位移波函数出发,利用位移连续和应力连续边界条件,建立了TTI介质qP波入射的拟Zoeppritz方程,求解得到精确反射透射系数.在此基础上,利用弱各向异性近似和介质分解理论,推导了TTI介质qP波入射近似的反射透射系数.近似式的物理意义明确,而且精度较高.PP反射系数近似式表明,垂直横向各向同性(VTI)不影响P-P波反射系数的截距(入射角为0时的反射系数),只对梯度有直接影响;而TTI既影响截距,又影响梯度.对于VTI介质,各向异性参数δ控制小角度反射系数,而ε影响大角度入射.但是对于TTI介质,参数εδ对小角度反射系数和大角度反射系数都有影响.
关键词: TTI介质      反射系数      透射系数      弱各向异性近似      AVO     
Exact and approximate reflection and transmission coefficient for incident qP wave in TTI media
LIANG Kai1,2, YIN Xing-Yao1, WU Guo-Chen1     
1. College of Geo-Resources and Information, China University of Petroleum (East China), Dongying 266555,China;
2. Institute of Geology and Geophysics, Chinese Academy of Sciencess,Beijing 100029
Abstract: Anisotropy of media is one of the key factor of influence on amplitude vs offset (AVO). This paper derived the exact and approximate reflection and transmission coefficient expressions of plane waves in two elastic transversely-isotropic (TTI) media with tilted symmetry axis under welded contact condition by extending the expressions of Aki and Richards, and Rüger. Based on displacement wave fuction, we establish the quasi Zoeppritz equation for incident qP wave in TTI media using boundary condition of displacement continuation and stress continuation, and obtain the exact solutions. According to weak anisotropy approximation and the theory of media decomposition, we derive the approximate reflection and transmission coefficient for incident qP wave in TTI media. The expressions have definite geophysical meanings and bring higher accuracy than others. The P-P approximate expression indicates that the vertical transversely-isotropic (VTI) has no influence for the intercept of PP reflection coefficient (reflection coeffient when incident angle equals zero), but has influence for the gradient of PP reflection coefficient. TTI has influence for the intercept and gradient of PP reflection coefficient. For VTI meida the parameter δ controls the small-angle reflection coefficient, while ε becomes influential at larger incidence angle. But for TTI media, the parameter ε and δ are all influential at both small and larger incidence angle reflection coefficient.
Key words: TTI media      Reflection coefficient      Transmission coefficient      Weak anisotropy approximation      AVO     
1 引言

对地球介质而言,最常见各向异性有横向各向同性(TI)介质、正交各向异性介质和单斜介质[1].如果TI介质的对称轴是垂直的,称为垂直横向各向同性(VTI)介质;如果对称轴是水平的,称为水平横向各向同性(HTI)介质[2];如果对称轴是倾斜的,称为倾斜横向各向同性(TTI)介质[3].由于TTI介质比较真实地体现了实际地层地质的特征,所以许多地球物理学家对这种介质的研究逐渐重视和深入,发表了许多研究成果[4~11].

在两个各向同性介质边界处平面波的反射和透射是波传播的最基本问题之一.Zoeppritz首次发表通过调用水平界面应力和位移连续来求解这个问题[12].反射系数的一个重要的实际应用就是振幅随偏移距变化(AVO)分析.P 波的入射角振幅变化提供了一些直接的烃类指示并且受到地球物理界的广泛关注[13].利用叠前资料对地震反射振幅随炮检距的变化特征进行分析,即AVO 分析技术,便可以对岩石中孔隙流体性质和岩性作出判断.影响振幅随炮检距变化的因素有许多种,其中各向异性是重要因素之一.各向异性介质反射和透射最初由 Henneke, Keith和Crampin讨论[14, 15].Daley和Hron对渐近射线级数作零阶近似,给出了TI介质中qP- qSV 系统的位移反射和透射系数,其表达式是相角的显函数[16].Graebner也给出了这些系数,但表达式是水平慢度的显函数[17].据此,人们进行了TI介质中AVO 模拟研究[18, 19],并给出了弱弹性TI介质中P-P 波反射系数的线性化近似式[20].Aki 和 Richards推导了各向同性介质中的散射矩阵,并且给出了16个反射和透射系数的解析式[21].Rüger研究了VTI介质和HTI介质的反射/透射问题,推导了近似的反射和透射系数[22~25].Zhang等[26]研究了各向异性介质分界面地震波的传播问题.

本文将Aki和Richards以及Rüger的方法进行推广,建立了TTI介质qP 波入射的拟Zoepritz方程,推导了反射透射系数的线性化近似式,并着重研究了TTI对PP反射系数的影响.

2 TTI介质qP波入射精确反射透射系数

地震波在遇到弹性分界面时产生反射和透射.在TTI介质中,qP 和qSV 波相互耦合,SH 波与二者解耦.这意味着入射qP 和qSV 波仅产生反射和透射的qP和qSV 波,而不产生SH 波,因此反射和透射问题可在二维中考虑.下面从平面波理论出发,讨论TTI介质平面弹性波的反射和透射.当qP 波UiP1 入射至弹性界面时,在上半空间中产生反射qP波U2 和反射qSV 波U3,下半空间透射qP波U4 和透射qSV 波U5,如图 1所示.

图 1 入射qP波、反射波和透射波示意图 实线箭头表示传播方向,虚线箭头表示偏振方向. Fig. 1 Sketch of incident qP wave, reflected wave and transmitted wave The solid arrows represent propagation direction, and l^he dashed arrows represent polarization direction.

选择位移函数为基本求解函数,采用与Aki和 Richards 以及Rüger 一致的质点位移符号约定[21~25],根据TTI介质弹性波传播的相速度和偏振方向,分别写出入射qP 波、反射qP 波、透射qP波、反射qSV 波和透射qSV 波的位移波函数.

(1)

其中ω 是角频率,t是时间,xz是位置坐标.VθΦ 分别表示波的相速度、传播角和偏振角[27],下标i表示入射波,P和SV 分别表示qP 波和qSV 波,1和2分别表示TTI介质1和2.RPPRPSTPPTPS分别表示PP反射系数,PS反射系数,PP 透射系数和PS透射系数.

根据惠更斯原理可以证明,反射qP 波的传播角θP1、反射qSV 波的传播角θS1、透射qP 波的传播角θP2、透射qSV 波的传播角θS2、入射qP 波的传播角θiP1满足斯奈尔(Snell)定律:

(2)

根据弹性理论,这五个波在弹性界面上应满足边界条件:即位移连续和应力连续,因此可写出本问题的边界条件:

位移连续:

应力连续:

z=0时,根据位移连续条件有:

将位移函数分别代入上式,整理可得

(3)

z=0时,根据应力连续条件有:

根据TTI介质Hooke定律:

可求得二维情况下,应力σzzτxz与应变εxxεzzεxz的关系:

(4)

其中,

将入射波、反射波和透射波的波函数带入应力连续和位移连续边界条件,整理可得TTI介质qP波入射的拟Zoeppritz方程:

(5)

其中,

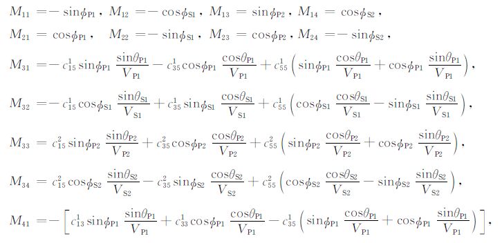
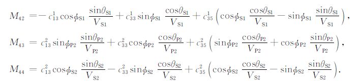
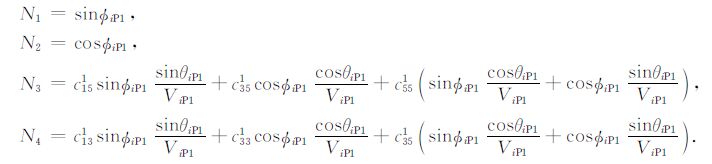
MN元素的表达式见附录.

利用Cramer准则,反射、透射系数解析形式为

(6)

该解就是精确的反射系数和透射系数的表达式,但是它不能表示成简单形式,可以利用数值方法得到理论解,后文中精确的反射系数就是利用公式(6)计算的.

3 TTI介质qP 波入射近似反射透射系数 3.1 弱各向异性近似

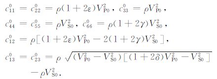
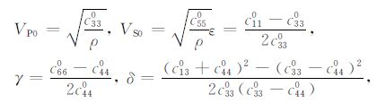
各向异性介质是由弹性矩阵C确定的,弹性矩阵C确定了应力与应变之间的关系,但由其确定弹性波动方程系数的物理意义很不直观.为方便理论研究和实际应用,Thomsen 提出了一套表征VTI介质弹性性质的Thomsen参数[28]:

(7)

其中,VP0VS0 分别为qP波和qS波垂直TI介质各向同性面的相速度;εδγ 是表示TI介质各向异性强度的三个无量纲因子:ε是度量qP波各向异性强度参数,δ 是影响垂直TI介质对称轴方向附近的 qP波速度变化的参数;γ 是度量qS波各向异性强度或横波分裂强度的参数.Thomsen 表征的TI介质参数使得各向异性介质的弹性参数物理意义更加明显.上述的Thomsen参数是用弹性参数表示的,而弹性参数也可以用Thomsen 参数表征.VTI介质弹性参数的Thomsen参数表征如下:

(8)

用Thomsen参数表示TTI介质qP 波和qSV波的相速度和偏振方向的公式,再根据Thomsen弱各向异性假设,即εδ 较小时,εδ 的高阶项可以忽略,从而得到TTI介质qP 波和qSV 波的近似相速度和偏振方向[27].

3.2 反射透射系数近似解

矩阵M的求逆是求解反射透射系数的主要数值步骤.假设两个弱各向异性TTI介质之间的界面,相邻两层介质的弹性参数变化较小,因此ΔVP0/VP0ΔVS0/VS0Δρ/ρ 和其他值相比为小值,并且在弱各向异性假设下,ε1δ1ε2δ2 都是小量.假定所有角度θP1θP2θS1θS2 均为实数,而且入射角不超过临界角,则有:

根据介质分解理论,我们将介质分解为背景介质和扰动,背景介质是均匀各向同性介质,将ΔVP0/VP0ΔVS0/VS0Δρ/ρ 和各向异性参数εδ 都看成是各向同性背景介质上的扰动.因此,可将矩阵分解为背景矩阵和扰动矩阵:

(9)

这种情况下,背景介质满足如下方程:

(10)

其中,上标b 表示“背景".经计算,可得到Rb 表达式:

(11)

Rb 中只有一个非零元素TPP,因为两个相同层的“透明"边界不产生反射qP 波、反射qSV 波和透射 qSV 波,只产生透射qP 波.TTI介质qP 波入射的拟Zoeppritz方程(5)重新写成如下线性形式:

(12)

经整理可得扰动反射透射系数向量ΔR可写为

(13)

其中(Mb)-1Mb 的逆.最终近似反射透射系数为

(14)

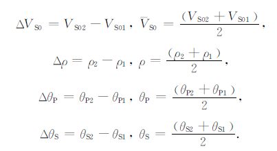
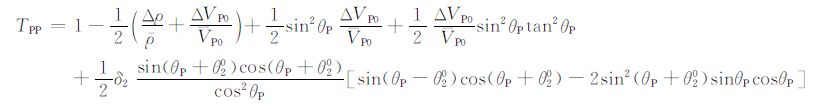
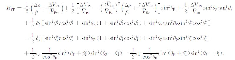
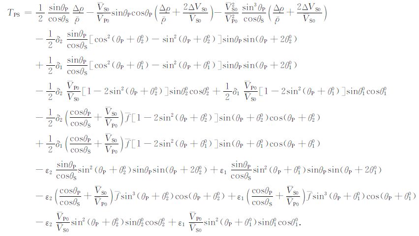
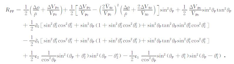
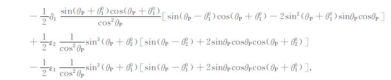
反射系数和透射系数RPPRPS,TPPTPS 的近似表达式请见附录.反射系数和透射系数的近似表达式十分简洁,他们都是参数ΔVP0/VP0ΔVS0/VS0Δρ/ρ 以及各向异性参数ε1ε2δ1δ2 的线性函数,也是关于入射相角θP 和对称轴倾角θ10θ20 的复杂函数.

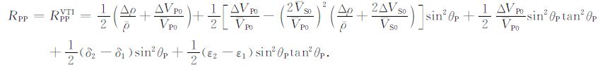
PP反射系数其表达式如下:

(15)

其中θP 是入射相角,θ10θ20 分别表示上下层TTI介质对称轴倾角.

TTI介质近似PP反射系数能分解成两项:

(16)

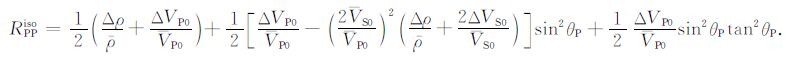
其中,RPPiso (θ)是各向同性(ε=0,δ=0)的反射系数:

(17)

RPPani(θ)是各向异性项:

(18)

即TTI介质近似PP反射由两部分构成,一部分是各向同性项,另一部分是各向异性项,这一部分不但考虑了各向异性参数的影响,也考虑了TTI介质对称轴倾角的影响.

θ10 =θ20 =0时,TTI介质PP反射系数RPP 就退化为VTI介质PP反射系数RPPVTI .

ε1 =ε2 =δ1 =δ2 =0时,TTI介质PP反射系数RPP 就退化为各向同性介质PP反射系数RPPiso :

这两种情况下,退化公式与经典公式完全吻合,说明了推导的TTI近似公式的正确性.

经过计算和推导,方程(18)能得出如下结论[20, 22]:

(1) 在各向同性介质和VTI介质中,各向异性对垂直入射波的反射系数没有任何影响(即,法向入射的反射系数与波入射到具有相应垂向速度VP0VS0的各向同性层间的系数相同),但在TTI介质中,各向异性影响垂直入射波的反射系数.

(2) 对于VTI介质,参数δ 控制小角度反射系数,而ε影响大角度入射.但是对于TTI介质,参数εδ 对小角度反射系数和大角度反射系数都影响.

(3) 不论是VTI介质还是TTI介质,VS0 只对RPPiso 有贡献,而不影响RPPani.

4 数值示例

为了验证TTI介质精确和近似PP 反射系数RPP的正确性和有效性,设计一个两层介质模型,如图 2所示.对于模型1~4,上层介质为相同的各向同性介质,其参数为VP01 =3050 m/s, VS01 =1245 m/s, ρ1=2400kg/m3ε1=0,δ1=0,θ10=0;下层介质分别为各向同性介质、VTI介质和TTI介质,它们相同的参数为VP02 =2440 m/s, VS02 =1625 m/s, ρ2 =2140kg/m3,各向异性参数ε2δ2 和对称轴倾角θ20不同,如表 1 所示.模型1 是各向同性介质和TTI介质,模型2 是椭圆各向异性介质和TTI介质,模型3是ε2-δ2>0的VTI介质和TTI介质,模型4是ε2-δ2<0的VTI介质和TTI介质.

图 2 层状模型示意图 Fig. 2 Sketch of layered model
表 1 模型下层介质参数表 Table 1 Parameters of lower layer media

采用公式对不同模型分别计算qP 波入射时精确和近似反射系数,如图 3~6 所示,图中实线是精确值,虚线是近似值.所有图表明:介质各向异性会引起反射和透射系数的显著变化,包括振幅大小、变化趋势等变化.因此在计算合成地震记录和解释实际数据时,各向异性的影响是不容忽视的.与各向同性介质相比,VTI介质RPP的截距(入射角为0时的反射系数)不变,梯度发生变化;TTI介质RPP的截距和梯度均发生变化.TTI介质近似RPP的趋势与精确值相同,但存在一定差异.随着各向异性参数的增大,这种差异逐渐增大.总体来说,近似解与精确解吻合得比较好,这说明本文的近似公式具有较高的精度,并且近似式有助于理解各向异性对AVO响应的影响.

图 3 各向同性介质(a)(ε=0.0,δ=0.0,θ0=0°)和TTI介质(b)(ε=0.0,δ=0.0,θ0=15°)的精确(实线)和近似(虚线)PP反射系数RPP Fig. 3 Exact (solid line) and approximated (dashed line) of PP reflection coefficient Rpp in isotropic media (a) (ε=0.0,δ=0.0,θ0=0°) and TTI media (b) (ε=0.0,δ=0.0,θ0=15°)
图 4 椭圆各向异性介质(a)(ε=0.2,δ=0.2,θ0=0°)和TTI介质(b)(ε=0.2,δ=0.2,θ0=30°)的精确(实线)和近似(虚线)PP反射系数RPP Fig. 4 Exact (solid line) and approximated (dashed line) of PP reflection coefficient Rpp in elliptical media(a) (ε=0.2,δ=0.2,θ0=0°) andTTImedia (b) (ε=0.2,δ=0.2,θ0=30°)
图 5 VTI介质(a)(ε=0.2,δ=0.1,θ0=0°)和TTI介质(b)(ε=0.2,δ=0.1,θ0=45°)的精确(实线)和近似(虚线)PP反射系数RPP Fig. 5 Exact (solid line) and approximated (dashed line) of PP reflection coeflicient Rpp in VTI media (a) (ε=0.2,δ=0.1,θ0=0°) and TTI media (b) (ε=0.2,δ=0.1,θ0=45°)
图 6 VTI介质(a)(ε=0.2,δ=0.3,θ0=0°)和TTI介质(b)(ε=0.2,δ=0.3,θ0=90°)的 精确(实线)和近似(虚线)PP反射系数RPP Fig. 6 Exact (solidline) and approximated (dashedline) of PP reflection coefficient RPP in VTI media (a)(ε=0.2,δ=0.3,θ0=0°) and TTI media(b)(ε=0.2,δ=0.3,θ0=90°
5 认识与结论

(1) 本文推导的弱各向异性TTI介质中反射和透射系数的线性化近似式具有明确的物理意义,它能直观地反映各向异性参数对反射和透射系数的影响.

(2) PP反射系数近似式还表明,界面两侧各向同性特性(纵、横波速度和密度)的差异越小,并且各向异性特性的差异越大,则各向异性对AVO 特征的影响就越大.

(3) VTI不影响P-P 波反射系数的截距,只对梯度有直接影响;而TTI既影响截距,又影响梯度.

(4) 对于VTI介质,参数δ 控制小角度反射系数,而ε影响大角度入射.但是对于TTI介质,参数εδ 对小角度反射系数和大角度反射系数都影响.

(5) 不同TTI介质的PP反射系数曲线不但截距不同,曲线变化趋势(斜率)也存在一定差异,近似公式在一定精度范围内与精确解吻合较好.

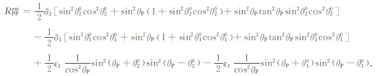
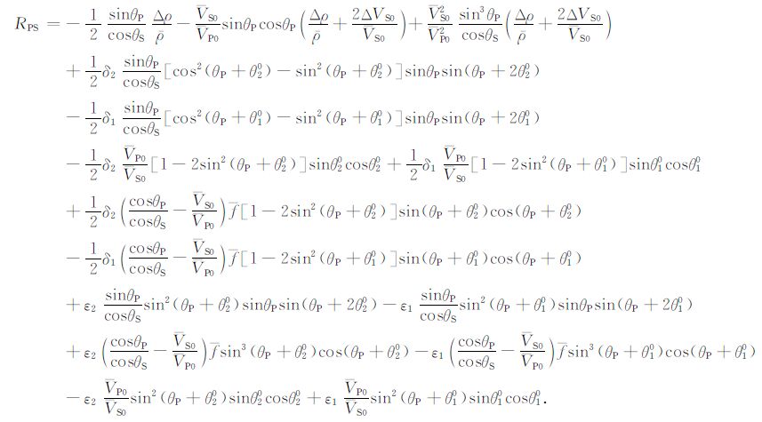
附录

将入射波、反射波和透射波的波函数带入应力连续和位移连续边界条件,整理可得TTI介质qP波入射的拟Zoeppritz方程:

其中

M的元素为

N的元素为

利用弱各向异性近似和散射理论,得到TTI介质qP波入射时近似反射透射系数:

其具体表达式为

近似PP反射系数:

近似PS反射系数:

近似PP透射系数:

近似PS透射系数

参考文献
[1] 孙成禹. 地震波理论与方法. 山东东营: 中国石油大学出版社, 2007 . Sun C Y. Theory of Methods of Seismic Wave (in Chinese). Shandong Dongying: Press of China University of Petroleum, 2007 .
[2] 何樵登, 张中杰. 横向各向各向同性介质中地震波传播及其数值模拟. 长春: 吉林大学出版社, 1996 . He Q D, Zhang Z J. Seismic Wave Propagation and Its Numerical Simulation in Transversely Isotropic media (in Chinese). Changchun: Jilin University Press, 1996 .
[3] 吴国忱. 各向异性介质地震波传播与成像. 山东东营: 中国石油大学出版社, 2006 . Wu G C. Propagation and Imaging for Seismic Wave in Anisotropic Media (in Chinese). Shandong Dongying: Press of China University of Petroleum, 2006 .
[4] Tsvankin I. Moveout analysis for transversely isotropic media with a tilted symmetry axis. Geophysical Prospecting , 1997, 45(3): 479-512. DOI:10.1046/j.1365-2478.1997.380278.x
[5] Zhang L B, Rector J W Ⅲ, Hoversten G M. An acoustic wave equation for modeling in tilted TI media. 73rd Ann. Internat. Mtg., Soc. Expl. Geophys.. Expanded Abstracts, 2003. 153~156
[6] Zhou H B, Zhang G Q, Bloor R. An anisotropic acoustic wave equation for modeling and migration in 2D TTI media. 76th Ann. Internat. Mtg., Soc. Expl. Geophys.. Expanded Abstracts, 2006. 194~197
[7] Shan G J. Optimized implicit finite-difference migration for TTI media. 77th Ann. Internat. Mtg., Soc. Expl. Geophys.. Expanded Abstracts, 2007. 2290~2294
[8] Dewangan P, Tsvankin I. Modeling and inversion of PS-wave moveout asymmetry for tilted TI media: Part I-Horizontal TTI layer. Geophysics , 2006, 71(4): D107-D122. DOI:10.1190/1.2210970
[9] Dewangan P, Tsvankin I. Modeling and inversion of PS-wave moveout asymmetry for tilted TI media: Part 2-Dipping TTI layer. Geophysics , 2006, 71(4): D123-D134. DOI:10.1190/1.2210987
[10] Qin Y L, Zhang Z J, Li S L. CDP mapping in tilted transversely isotropic (TTI) media. Part I: Method and effectiveness. Geophysical Prospecting , 2003, 51(4): 315-324. DOI:10.1046/j.1365-2478.2003.00371.x
[11] Qin Y L, Zhang Z J, Xu S H. CDP mapping in tilted transversely isotropic (TTI) media. Part II: Velocity analysis by combining CDP mapping with a genetic algorithm. Geophysical Prospecting , 2003, 51(4): 325-332. DOI:10.1046/j.1365-2478.2003.00372.x
[12] Zoeppritz K. On the reflection and penetration of seismic waves through unstable layers: Gttinger. Nachrichten , 1919, 1: 66-84.
[13] Ostrander W J. Plane-wave reflection coefficients for gas sands at nonnormal angles of incidence. Geophysics , 1984, 49(10): 1637-1648. DOI:10.1190/1.1441571
[14] Henneke E G. Reflection-refraction of a stress wave at a plane boundary between anisotropic media. J. Acoust. Soc. of Am. , 1972, 51(1): 210-217.
[15] Keith C M, Crampin S. Seismic body waves in anisotropic media: Reflection and refraction at a plane interface. Geophys. J. Roy. Astr. Soc. , 1977, 49(1): 181-208. DOI:10.1111/gji.1977.49.issue-1
[16] Daley P F, Hron F. Reflection and transmission coefficients of transversely isotropic media. Bull Sezs Soc Am , 1977, 67(8): 661-675.
[17] Graebner M. Plane-wave reflection and transmission coefficients for a transversely isotropic solid (short note). Geophysics , 1992, 57(11): 1512-1519. DOI:10.1190/1.1443219
[18] Blangy J P. AVO in transversely isotropic media-an overview. Geophysics , 1994, 59(5): 775-781. DOI:10.1190/1.1443635
[19] Tsvankin I. Body-wave radiation patterns and AVO in transversely isotropic media. Geophysics , 1995, 60(5): 1409-1425. DOI:10.1190/1.1443876
[20] Thomsen L. Weak anisotropic reflections, in Offset dependent reflectivity, (Castagna and Backus, Eds) Soc. Expl. Geophys., 1993. 103~114
[21] Aki K, Richards P G. Quantitative seismology: Theory and methods, 1: W. H. Freeman & Co. 1980
[22] Rüger A. Reflection coefficients and azimuthal AVO analysis in anisotropic media . Colorado School of Mines. 1996
[23] Rüger A, Tsvankin I. Using AVO for fracture detection: Analytic basis and practical solutions. The Leading Edge , 1997, 16(10): 1429-1438. DOI:10.1190/1.1437466
[24] Rüger A. P-wave reflection coefficients for transversely isotropic models with vertical and horizontal axis of symmetry. Geophysics , 1997, 62(3): 713-722. DOI:10.1190/1.1444181
[25] Rüger A. Variation of P-wave reflectivity with offset and azimuth in anisotropic media. Geophysics , 1998, 63(3): 935-947. DOI:10.1190/1.1444405
[26] Zhang Z J, Teng J W. Propagation of seismic-wave on the inner interface in anisotropic media. Chinese Science Bulletin , 1995, 40(14): 1192-1195.
[27] 吴国忱, 梁锴, 印兴耀. TTI介质弹性波相速度与偏振特征分析. 地球物理学报 , 2010, 53(8): 1914–1923. Wu G C, Liang K, Yin X Y. The analysis of phase velocity and polarization feature for elastic wave in TTI media. Chinese J. Geophys. (in Chinese) , 2010, 53(8): 1914-1923.
[28] Thomsen L. Weak elastic anisotropy. Geophysics , 1986, 51(10): 1954-1966. DOI:10.1190/1.1442051