地球物理学报  2010, Vol. 53 Issue (8): 1914-1923   PDF    
TTI介质弹性波相速度与偏振特征分析
吴国忱 , 梁锴 , 印兴耀     
中国石油大学(华东)地球资源与信息学院, 山东东营 257061
摘要: 相速度和偏振方向是研究地震波传播规律和描述介质特性的重要参数, 在理论研究和实际应用中有重要作用.本文假定倾斜横向各向同性(TTI)介质对称轴位于观测坐标系XOZ面内, 在此观测坐标系下直接推导了TTI介质弹性波相速度和偏振方向的解析表达式, 再进一步利用Thomsen弱各向异性理论, 推导了弱各向异性近似条件下弹性波相速度以及qP波和qSV波偏振方向表达式.理论分析和数值试例表明, 在相速度方面, 随着各向异性介质参数改变, qP波和qSH波速度变化较为平缓, qSV波速度变化较为剧烈.弹性波相速度近似式误差均较小, 能较好地近似精确相速度.在偏振方向方面, SH波偏振方向只是传播方向和对称轴倾角的函数, 而与各向异性参数无关, SH波偏振方向既垂直于传播方向, 又垂直于TTI介质对称轴方向.除特定方向外, qP波和qSV波的偏振方向与传播方向均成一定角度, 并且随TTI介质对称轴倾角的改变而改变; 在精确和近似情况下, qP波和qSV波的偏振方向始终垂直; 在精度允许范围内, 偏振方向的弱各向异性近似式与理论解析式吻合较好.
关键词: TTI介质      相速度      偏振方向      弱各向异性近似      弹性波     
The analysis of phase velocity and polarization feature for elastic wave in TTI media
WU Guo-Chen, LIANG Kai, YIN Xing-Yao     
College of Geo-resources and Information, China University of Petroleum (East China), Shandong Dongying 257061, China
Abstract: Phase velocity and polarization direction are the important parameters for studying seismic wave propagation and describing the media property, and they play essential roles in theory and application. This paper assumes that the symmetry axis of tilted transverse isotropy (TTI) media lies in the XOZ plane in observed coordinate system and we directly derive an analytic expression for phase velocity and polarization direction in TTI media in this system. Based on the Thomsen dimensionless anisotropic parameters and weak anisotropy approximation theory, we also derive the approximate expressions of phase velocity for elastic wave, polarization direction for qP wave and qSV wave. The result of analysis and numerical examples indicate that the change of velocity for qP wave and qSH wave is gentle, and the change of velocity for qSV wave is dramatic. The errors between exact and approximate value are small, so the approximation expression is a good approximation for exact phase velocity. The polarization direction of SH wave is the function of propagation angle and tilted angle of symmetry axis instead of anisotropic parameters. The polarization direction of SH wave is not only perpendicular to propagation direction, but also perpendicular to the direction of symmetry axis. The polarization directions of qP wave and qSV wave are neither parallel nor perpendicular to propagation direction except some special directions, and changes as the angle of symmetry axis in TTI media. For both exact and approximate expressions the polarization directions of qP wave and qSV wave are always perpendicular. In a given range of error the weak anisotropic approximate and analytic expressions match well..
Key words: TTI media      Phase velocity      Polarization direction      Weak anisotropy approximation      Elastic wave     
1 引言

理论和实验都表明,地震各向异性是普遍存在的,它主要表现在地震波传播速度是传播方向的函数、体波间的相互耦合、横波发生分裂等[1].一般认为页岩、周期性薄互层和定向排列垂直裂隙的地层是横向各向同性(TI)介质[2].当地层由于构造运动发生褶皱和上冲作用时,TI介质的对称轴将不再是垂直或水平的,而是与观测坐标系存在夹角,这就形成了倾斜横向各向同性(TTI)介质.近年来,许多地球物理学家对TTI介质进行了深入的研究和讨论.Tsvankin(1997)在声学假设近似[3, 4]的基础上分析了TTI介质的动校正[5].Dewangan和Tsvankin(2006)对TTI介质PS波非对称时差进行了模拟和反演[6, 7].

相速度是描述介质物性参数之一,是由介质物性矩阵反映出来的,同时介质的弹性矩阵又隐含在波动方程中,即由波动方程定义的速度为相速度[8, 9].牛滨华等人(1994)提出了用方位矢量波动方程求取六方各向异性介质相速度的方法[10].郝重涛等人(2006,2007)基于坐标变换的方法,研究了任意强弱任意空间取向TI介质中体波速度的角散和方位变化特征[11, 12].Xuan等人(2007)推导了二维TTI介质的相速度表达式,模拟并分析了速度的传播快照[13].吴国忱等人(2009)在观测坐标系下研究了三维TTI介质相速度和群速度[14].另外,任意TI介质的相速度解析式与其频散关系方程本质上是相同的,而频散关系则可直接应用于偏移方程.Zhang等人(2003)和Zhou等人(2006)都利用声学假设近似,从TTI介质频散关系中各自推导出一个新的TTI介质声波方程,并在此基础上进行了正演模拟和深度偏移[15~17].Shan等人(2007)用一个合理的函数级数来近似TTI介质频散关系,实现了TTI介质优化隐式有限差分偏移[18].梁锴等人(2009)利用TTI介质频散关系,研究了三维TTI介质波动方程分解[19].

偏振方向是研究地震波传播规律的重要特征[20~22],在各向异性AVO分析和反演中有重要作用.在各向同性介质中,P波的偏振方向与传播方向完全平行,S波的偏振方向与传播方向完全垂直,分别称为“纯P波”和“纯S波”.而在各向异性介质中,P波和S波的偏振方向都是传播方向的复杂函数,除特定方向外,P波的偏振方向与传播方向不完全平行,而是存在一定的夹角;S波的偏振方向与传播方向也不完全垂直,也存在一定的夹角.因此,被称为“qP波”和“qS波”(包括SV波和SH波).

在前人研究成果的基础上,本文在观测坐标系下通过TTI介质Christoffel方程推导了TTI介质弹性波相速度和偏振方向的解析式,并给出了弹性波相速度以及qP波和qSV波偏振方向的弱各向异性近似解析式,最后给出了数值试例.

2 TTI介质弹性矩阵

观测坐标系中的TTI介质实质上可以看做本构坐标系中的TI介质旋转而形成的(图 1).因此,可以利用Bond变换[23]对本构坐标系下的刚度矩阵进行坐标变换,从而得到观测坐标系下TTI介质的刚度矩阵.

图 1 TTI介质和观测坐标系示意图 Fig. 1 Sketch of TTI media and observed coordinate system

假设TTI介质对称轴位于观测坐标系XOZ面内,并且与观测坐标系Z轴的夹角为θ0.再假设本构坐标系下垂直横向各向同性(VTI)介质独立的弹性参数为c110c330c440c660c130.根据Bond变换和VTI介质的刚度矩阵,可得TTI介质刚度矩阵为CT,即

(1)

其中矩阵元素具体表达式参见文献[14].

3 TTI介质弹性波精确相速度

本文没有采用坐标旋转的方法[11, 12],而是在观测坐标系直接求取TTI介质弹性波相速度和偏振方向.根据一般各向异性介质Christoffel方程,结合TTI介质的弹性矩阵CT,令P=(pXpYpZT为偏振方向,n=(sinθcosφ,sinθsinφ,cosθT为传播方向,θ为传播方向与Z轴的夹角,φ为传播方向的方位角,可得到TTI介质Christoffel方程:

(2)

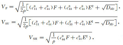
为使TTI介质Christoffel方程有非零解,必须使其系数矩阵行列式为零.求解该方程,得到了TTI介质中qP波、qSV波和qSH波相速度的解析表达式[14]

(3)

其中VPVSVVSH分别为qP波,qSV波,qSH波相速度,并且

经计算表明,该结果是郝重涛等人根据坐标旋转方法计算结果[11, 12]的特例,二者吻合.

4 TTI介质弹性波精确偏振方向

将SH波相速度VSH代入TTI介质Christoffel方程,求得其通解为

(4)

因此,TTI介质SH波偏振方向可表示为

其中

因为SH波偏振方向公式只是传播方向和对称轴倾角的函数,所以SH波偏振方向与各向异性参数无关.又因为Pn·n=0,说明TTI介质中SH波偏振方向Pn与传播方向n垂直,为纯SH波.同理可以证明Pn·t=0(其中t=(-sinθ0,0,cosθ0)是TTI介质对称轴方向),说明TTI介质中SH波偏振方向Pn与TTI介质对称轴方向t垂直.

再考虑XOZ面内二维情况qP波和qSV波的偏振方向.令qP波的偏振方向与Z轴夹角为φP,qSV波偏振方向与Z轴夹角为φS,qP波的偏振方向为(sinφP,cosφP),qSV波偏振方向为(sinφS,cosφS),如图 2所示.

图 2 传播方向和偏振方向示意图 Fig. 2 Sketch of propagation direction and polarization direction

XOZ面内相速度VPVSV代入TTI介质Christoffel方程,可得qP波和qSV波偏振方向:

(5)

其中D=(Γ11-Γ332+4Γ132因为对于qP波和qSV波的偏振方向有:

所以qP波和qSV波的精确偏振方向始终垂直.

5 TTI介质近似相速度和偏振方向

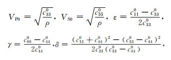
各向异性介质是由弹性矩阵C确定的,弹性矩阵C确定了应力与应变之间的关系,但由其确定弹性波动方程系数的物理意义很不直观.为方便理论研究和实际应用,Thomsen(1986)提出了一套表征TI介质弹性性质的Thomsen参数[2]

(6)

其中VP0VS0分别为qP波和qS波垂直TI介质各向同性面的相速度;εδγ是表示TI介质各向异性强度的三个无量纲因子:ε是度量qP波各向异性强度参数,δ是影响垂直TI介质对称轴方向附近的qP波速度大小的参数;γ是度量qS波各向异性强度或横波分裂强度的参数.

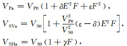
将Thomsen推导VTI介质近似相速度的思路推广到TTI介质,先利用Thomsen参数表示TTI介质qP波和qSV波的相速度和偏振方向的公式,再根据Thomsen弱各向异性假设[2],即εδ较小时,εδ的高阶项可以忽略,则三维TTI介质弹性波近似相速度可表示为

(7)

考虑φ=0°的特例,即XOZ面内,弹性波弱各向异性相速度分别为

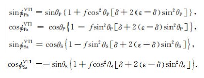
同理根据Thomsen弱各向异性假设,经过运算和整理,最终得到qP波弱各向异性近似偏振方向(sinφPa,cosφPa):

(8)

和qSV波弱各向异性近似偏振方向(sinφSa,cosφSa):

(9)

其中

因为对于qP波和qSV波的近似偏振方向有:

所以qP波和qSV波的近似偏振方向也始终垂直.

当TTI介质对称轴倾角θ0=0°时,TTI介质就退化为VTI介质,此时退化的TTI介质qP波和qSV波弱各向异性近似偏振方向

(10)

该公式和Rommel(1994)、Tsvankin(1996)提出的公式[21, 22]一致,证明TTI近似偏振方向公式的正确性.

当TTI介质各向异性参数ε=δ=0时,TTI介质就退化为各向同性介质,此时退化的TTI介质qP波和qSV波弱各向异性近似偏振方向

(11)

该公式表明各向同性介质中P波的偏振方向与传播方向完全平行,SV波的偏振方向与传播方向完全垂直,与理论一致.

6 数值试例

为了验证精确和近似公式的正确性和有效性,设计了一组均匀各向同性介质、椭圆各向异性介质、VTI介质和TTI介质模型.所有模型相同的参数为VP0=3000m/s、VS0=1500m/s和ρ=2000kg/m3,不同的是各向异性参数εδγ和对称轴极化角θ0,如表 1所示.对于所有模型,VTI介质的θ0=0°.模型1是各向同性介质,模型2是椭圆各向异性介质,模型3是ε-δ>0的TI介质.

表 1 模型介质参数 Table 1 Parameters of models

对于上述3个模型,我们计算了它们的精确和弱各向异性近似相速度.图 3图 8为不同模型介质弹性波精确和近似相速度以及相对误差,其中(a)为qP波精确相速度,(b)为qP波近似相速度,(c)为qP波近似相速度相对误差,(d)为qSV波精确相速度,(e)为qSV波近似相速度,(f)为qSV波近似相速度相对误差,(g)为qSH波精确相速度,(h)为qSH波近似相速度,(i)为qSH波近似相速度相对误差.

图 3 各向同性介质精确和近似相速度(103m/s)及相对误差(10-16)(ε=0.0, δ=0.0, γ=0.0, θ0=0°) (a)为qP波精确相速度,(b)为qP波近似相速度,(c)为qP波近似相速度相对误差,(d)为qSV波精确相速度,(e)为qSV波近似相速度,(f)为qSV波近似相速度相对误差,(g)为qSH波精确相速度,(h)为qSH波近似相速度,(i)为qSH波近似相速度相对误差.图 4~图 8与此相同. Fig. 3 Exact and approximate phase velocity (103m/s) and relative error (10-16) of them in isotropic media (ε=0.0, δ=0.0, γ=0.0, θ0=0°) (a) Exact phase velocity of qP wave, (b) Approximate phase velocity of qP wave, (c) Relative error of qP wave, (d) Exact phase velocity of qSV wave, (e) Approximate phase velocity of qSV wave, (f) Relative error of qSV wave, (g) Exact phase velocity of qSH wave, (h) Approximate phase velocity of qSH wave, (i) Relative error of qSH wave.Same asFig. 4~Fig. 8.
图 4 TTI介质精确和近似相速度(103m/s)及相对误差(10-16)(ε=0.0, δ=0.0, γ=0.0, θ0=15°) Fig. 4 Exact and approximate phase velocity (103m/s) and relative error (10-16) of them in TTI media (ε=0.0, δ=0.0, γ=0.0, θ0=15°)
图 5 椭圆各向异性介质精确和近似相速度(103m/s)及相对误差(%) (ε=0.2, δ=0.2, γ=0.1, θ0=0°) Fig. 5 Exact and approximate phase velocity (103m/s) and relative error (%) of them in elliptical media (ε=0.2, δ=0.2, γ=0.1, θ0=0°)
图 6 TTI介质精确和近似相速度(103m/s)及相对误差(%) (ε=0.2, δ=0.2, γ=0.1, θ0=30°) Fig. 6 Exact and approximate phase velocity (103m/s) and relative error (%) of them in TTI media (ε=0.2, δ=0.2, γ=0.1, θ0=30°)
图 7 VTI介质精确和近似相速度(103m/s)及相对误差(%) (ε=0.2, δ=0.1, γ=0.2, θ0=0°) Fig. 7 Exact and approximate phase velocity (103m/s) and relative error (%) of them in VTI media (ε=0.2, δ=0.1, γ=0.2, θ0=0°)
图 8 TTI介质精确和近似相速度(103 m/s)及相对误差(%) (ε=0.2, δ=0.1, γ=0.2, θ0=45°) Fig. 8 Exact and approximate phase velocity (103m/s) and relative error (%) of them in TTI media (ε=0.2, δ=0.1, γ=0.2, θ0=45°)

对于各向同性介质,qP波、qSV波、SH波的相速度曲面均为球状,qSV波和SH波的相速度曲面形状完全相同(图 3图 4).对于椭圆各向异性介质,qP波和SH波的相速度曲面均为椭球状,而qSV波的相速度曲面为球状(图 5图 6).对于VTI和TTI介质,qP波、qSV波的相速度曲面既不是球状,也不是椭球状,呈现各向异性特征,SH波的相速度曲面是椭球状(图 7图 8).随着各向异性参数改变,qP波和qSH波相速度变化较为平缓,qSV波相速度变化较为剧烈.

对于各向同性介质以及椭圆各向异性介质的qSV波,近似相速度值与精确值完全吻合(图 3图 4图 5e图 6e).对于其他模型介质,近似相速度的形状与精确相速度的基本一致,但存在一定误差.总的来说,随着各向异性的增大,近似相速度的误差也增大.在相同条件下,qP波近似相速度的相对误差要小于qSV波.对于椭圆各向异性介质和VTI介质而言,近似相速度的相对误差只是传播方向极化角θ的函数,而与传播方向方位角φ无关,即相同θ的情况下,不同φ近似相速度的相对误差是相等的.而对于TTI介质而言,弹性波相速度不但是传播方向极化角θ的函数,也是传播方向方位角φ的函数.

对于TTI介质SH波偏振方向,用一组不同对称轴倾角的TTI介质来研究,图 9图 11为不同对称轴倾角的TTI介质,它们的各向异性参数γ均为0.2,对称轴倾角分别为0°、30°、60°.图(a)表示相速度和偏振向量,其中曲面为等相速度面,短线表示偏振方向;图(b)表示偏振方向,其中实线是偏振方向,虚线是TTI介质对称轴方向.图中表明,不论TTI对称轴倾角取何值,TTI介质SH波偏振方向始终垂直于等相速度面,并且它本身所有的偏振方向均在垂直于对称轴的同一个平面内.

图 9 TTI介质SH波偏振方向(θ0=0°) (a)表示相速度和偏振向量, 其中曲面为等相速度面, 短线表示偏振方向;b)表示偏振方向, 其中实线是偏振方向, 虚线是TTI介质对称轴方向.图 10图 11与此相同. Fig. 9 Polarization direction of SH wave in TTI media (θ0=0°) (a) Phase velocity and polarization vector, where the surface is equal phase velocity surface, the short line is polarization vector. (b) Polarization direction, where the solid line is polarization direction, the dashed line is direction of symmetry axis of TTI media. Same as Fig. 10~Fig. 11.
图 10 TTI介质SH波偏振方向(θ0=30°) Fig. 10 Polarization direction of SH wave in TTI medial (θ0=30°)
图 11 TTI介质SH波偏振方向(θ0=60°) Fig. 11 Polarization direction of SH wave in TTI media (θ0=60°)

同时我们还计算了3个模型精确偏振方向和弱各向异性近似偏振方向.图 12图 17为不同模型介质qP波和qSV波精确和近似偏振方向,其中(a)和(c)分别表示qP波和qSV波传播方向和偏振方向,黑线分别为qP波和qSV波相速度,蓝线为传播方向,红线为偏振方向;(b)和(d)分别为qP波和qSV波偏振方向与传播方向的差与传播方向的关系,即DP=φP-θDS=φS-θ-π/2,单位均为rad,实线为精确偏振方向与传播方向的差,虚线为弱各向异性近似偏振方向与传播方向的差.

图 12 各向同性介质偏振(ε=0.0, δ=0.0, θ0=0°) (a)和(c)分别表示qP波和qSV波传播方向和偏振方向, 黑线分别为qP波和qSV波相速度, 蓝线为传播方向, 红线为偏振方向;(b)和(d)分别为qP波和qSV波偏振方向与传播方向的差与传播方向的关系, 即DP=φP-θ, DS=φS-θ-π/2, 单位均为rad, 实线为精确偏振方向与传播方向的差, 虚线为弱各向异性近似偏振方向与传播方向的差.图 13~图 17与此相同. Fig. 12 Polarization in isotropic media (ε=0.0, δ=0.0, θ0=0°) (a) is propagation direction and polarization direction of qP wave, (c) is propagation direction and polarization direction of qSV wave, the black line is phase velocity, the blue line is propagation direction, the red line is polarization direction; (b) represents the relationship between DP and propagation angle θ for qP wave, the DP=φP-θ is the difference between polarization angle φP and propagation angle θ (units are all radian); (d) represents the relationship between DS and propagation angle θ for qSV wave, the DS=φS-θ-π/2 is the diference between polarization angle φS and propagation angle θ then subtract π/2, the solid line s about exact polarization, the dashed line is about approximate polarization.Same asFig. 13~Fig. 17.
图 13 TTI介质偏振(ε=0.0, δ=0.0, θ0=15°) Fig. 13 Polarization in TTI media (ε=0.0, δ=0.0, θ0=15°)
图 14 椭圆各向异性介质偏振(ε=0.2, δ=0.2, θ0=0°) Fig. 14 Polarization in elliptical anisotropic media (ε=0.2, δ=0.2, θ0=0°)
图 15 TTI介质偏振(ε=0.2, δ=0.2, θ0=30°) Fig. 15 Polarization inTTI media (ε=0.2, δ=0.2, θ0=30°)
图 16 VTI介质偏振(ε=0.2, δ=0.1, θ0=0°) Fig. 16 Polarization in VTI media (ε=0.2, δ=0.1, θ0=0°)
图 17 TTI介质偏振(ε=0.2, δ=0.1, θ0=45°) Fig. 17 Polarization in TTI media (ε=0.2, δ=0.1, θ0=45°)

对于各向同性介质,qP波和qSV波的DPDS数量级为10-16,这可看作机器计算的字长带来的误差,说明qP波的φP=θ,即偏振方向等于传播方向,qSV波的φS=θ-π/2,即偏振方向垂直于传播方向(图 12图 13).对于椭圆各向异性介质,DPDS存在一个极大值,位于π/4附近(图 14).对于弱各向异性TI介质,DPDS也只存在一个极大值,当ε-δ>0时,极大值向π/2方向移动,当ε-δ<0时,极大值向0方向移动(图 16).所有图中,近似的DPDS与精确的曲线形状相似,但是存在差异,说明在精度允许范围内,偏振方向的弱各向异性近似式与理论解析式吻合较好.图中也可以看出,在各向异性参数相同情况下,TTI介质的DPDS曲线与VTI介质的曲线形状完全相同,只是整体向X轴负方向做周期性移动,说明qP波和qSV波的偏振方向随TTI介质对称轴倾角的改变而改变.同时也说明TTI介质中除特定方向外,qP波偏振方向与传播方向不平行,qSV波偏振方向与传播方向不垂直,而与传播方向均成一定角度.对于图中精确值和近似值,DPDS均完全相等,说明DP=DS,即φS-φP=π/2,证明精确和近似情况下,qP波与qSV波始终垂直.

7 认识与结论

本文在观测坐标系下直接求取了TTI介质弹性波精确相速度和偏振方向,并利用Thomsen弱各向异性近似推导了TTI介质弹性波近似相速度和偏振方向,并给出了数值试例.通过理论分析和数值试例检验,得到如下认识和结论:

(1)TTI介质弹性波相速度是传播方向、各向异性参数和对称轴倾角的函数.对于VTI和TTI介质,qP波、qSV波的相速度曲面既不是球状,也不是椭球状,呈现各向异性特征,而SH波的相速度曲面是椭球状.

(2)近似相速度的形状与精确相速度基本一致,但存在一定误差.随着各向异性的增大,近似相速度的误差也增大.在相同条件下,qP波近似相速度的相对误差要小于qSV波.

(3)SH波偏振方向只是传播方向和对称轴倾角的函数,而与各向异性参数无关,并且SH波偏振方向既垂直于传播方向,又垂直于TTI介质对称轴方向.

(4)TTI介质中除特定方向外,qP波偏振方向与传播方向不平行,qSV波偏振方向与传播方向不垂直,而与传播方向均成一定角度,并且随TTI介质对称轴倾角的改变而改变.

(5)在精度允许范围内,偏振方向的弱各向异性近似式与理论解析式吻合较好.并且精确和近似偏振方向公式均表明qP波和qSV波始终垂直.

参考文献
[1] 吴国忱. 各向异性介质地震波传播与成像. 山东东营: 中国石油大学出版社, 2006 . Wu G C. Propagation and Imaging of Seismic Wave in Anisotropic Media (in Chinese). Shandong Dongying: China University of Petroleum Press, 2006 .
[2] Thomsen L. Weak elastic anisotropy. Geophysics , 1986, 51(10): 1954-1966. DOI:10.1190/1.1442051
[3] Alkhalifah T. An acoustic wave equation for anisotropic media. Geophysics , 2000, 65(4): 1239-1250. DOI:10.1190/1.1444815
[4] Alkhalifah T. Acoustic approximation for processing in transversely isotropic media. Geophysics , 1998, 63(2): 623-631. DOI:10.1190/1.1444361
[5] Tsvankin I. Moveout analysis for transversely isotropic media with a tilted symmetry axis. Geophysical Prospecting , 1997, 45(3): 479-512. DOI:10.1046/j.1365-2478.1997.380278.x
[6] Dewangan P, Tsvankin I. Modeling and inversion of PS-wave moveout asymmetry for tilted TI media:Part Ⅰ-Horizontal TTI layer. Geophysics , 2006, 71(4): D107-D122. DOI:10.1190/1.2210970
[7] Dewangan P, Tsvankin I. Modeling and inversion of PS-wave moveout asymmetry for tilted TI media:Part 2-Dipping TTI layer. Geophysics , 2006, 71(4): D123-D134. DOI:10.1190/1.2210987
[8] 牛滨华, 孙春岩. 半空间均匀各向同性单相固体弹性介质与地震波传播. 北京: 地质出版社, 2006 . Niu B H, Sun C Y. Half-Space Homogeneous Isotropic Single-Phase Solid Elastic Medium and Seismic Wave Propagation (in Chinese). Beijing: Geological Publishing House, 2006 .
[9] 郑海山, 张中杰. 横向各向同性(VTI)介质中非线性地震波场模拟. 地球物理学报 , 2005, 48(3): 660–667. Zheng H S, Zhang Z J. Synthetic seismograms of nonlinear seismic waves in anisotropic (VTI) media. Chinese Journal of Geophysics (in Chinese) , 2005, 48(3): 660-667.
[10] 牛滨华, 何樵登, 孙春岩. 六方各向异性介质方位矢量波动方程及其相速度. 石油物探 , 1994, 33(1): 19–29. Niu B H, He Q D, Sun C Y. Azimuth vector wave equation and its phase velocity in hexagonal anisotropy medium. Geophysical Prospecting for Petroleum (in Chinese) , 1994, 33(1): 19-29.
[11] 郝重涛, 姚陈, 王迅. 任意空间取向TI介质中速度随方位变化特征. 地球物理学进展 , 2006, 21(2): 524–530. Hao C T, Yao C, Wang X. The characteristics of velocities with azimuth variation for arbitrary spatial orientation TI media. Progress in Geophysics (in Chinese) , 2006, 21(2): 524-530.
[12] 郝重涛, 姚陈. 任意空间取向TI介质中体波速度特征. 地球物理学报 , 2007, 50(2): 546–555. Hao C T, Yao C. Analysis of body-wave velocity characteristic for TI medium with arbitrary spatial orientation. Chinese Journal of Geophysics (in Chinese) , 2007, 50(2): 546-555.
[13] Xuan Y H, He Q D, Lin Y. Phase velocity in 2D TTI media. Applied Geophysics , 2007, 4(1): 25-28. DOI:10.1007/s11770-007-0004-0
[14] 吴国忱, 梁锴, 戚艳平. 三维TTI介质相速度和群速度. 地球物理学进展 , 2009, 24(6): 2097–2105. Wu G C, Liang K, Qi Y P. Phase velocity and group velocity in 3D TTI media. Progress in Geophysics (in Chinese) , 2009, 24(6): 2097-2105.
[15] Zhang L B, Rector J W Ⅲ, Hoversten G M. An acoustic wave equation for modeling in tilted TI media. 73rd Ann. Internat. Mtg., Soc. Expl. Geophys. Expanded Abstracts, 2003. 153~156
[16] Zhou H B, Zhang G Q, Bloor R. An anisotropic acoustic wave equation for modeling and migration in 2D TTI media. 76th Ann. Internat. Mtg., Soc. Expl. Geophys. Expanded Abstracts, 2006. 194~197
[17] Operto S. Mixed-grid finite-difference frequency-domain viscoacoustic modeling in 2D TTI anisotropic media. 77rd Ann. Internat. Mtg., Soc. Expl. Geophys. Expanded Abstracts, 2007. 2099~2103
[18] Shan G J. Optimized implicit finite-difference migration for TTI media. 77rd Ann. Internat. Mtg., Soc. Expl. Geophys. Expanded Abstracts, 2007. 2290~2294
[19] 梁锴, 吴国忱, 印兴耀, 等. 三维TTI介质波动方程分解. 石油地球物理勘探 , 2009, 44(1): 19–27. Liang K, Wu G C, Ying X Y, et al. Wave equation decomposition in 3-D TTI medium. Oil Geophysical Prospecting (in Chinese) , 2009, 44(1): 19-27.
[20] Peník I, Gajewski D. Polarization, phase velocity, and NMO velocity of qP-waves in arbitrary weakly anisotropic media. Geophysics , 1998, 63(5): 1754-1766. DOI:10.1190/1.1444470
[21] Rommel B E. Approximate polarization of plane waves in a medium having weak transverse isotropy. Geophysics , 1994, 59(10): 1605-1612. DOI:10.1190/1.1443549
[22] Tsvankin I. P-wave signatures and notation for transversely isotropic media:an overview. Geophysics , 1996, 61(2): 467-483. DOI:10.1190/1.1443974
[23] Winterstein D F. Velocity anisotropy terminology for geophysicists. Geophysics , 1990, 55(8): 1070-1088. DOI:10.1190/1.1442919