2. 吉林大学地球科学学院, 长春 130026;
3. 吉林大学物理学院, 长春 130023;
4. 江苏省工程物理勘察院, 南京 210008
2. College of Earth Sciences, Jilin University, Changchun 130026, China;
3. College of Physics, Jilin University, Changchun 130023, China;
4. Engineering Geophysical Exploration Institute of Jiangsu Province, Nanjing 210008, China
利用重力场等值线特征及其正反演模式进行大地构造单元的划分是重力资料处理与解释的重要任务之一.近年来,利用区域重力场资料研究大地构造单元的主要的成果有:马宗晋等[1]利用中国大陆布格重力异常水平梯度的彩色图像进行了大地构造特征的研究; 许德树等[2]提出根据区域重力异常计算地壳表层视密度分布的方法,指出视密度的分布特征与大地构造单元及分区有较好的对应关系; 张建中等[3]计算了中国大陆剩余重力异常,指出剩余异常能更好地反映我国的大地构造特征,与已知构造单元有良好的对应关系.
众所周知,进行大地构造单元划分,其分界线位置的确定十分重要.近4 0年来,使用重力资料估算断层线位置已经发展为许多方法:主要有重力异常及其相关导数的特征曲线和特征点分析法[4],此法人为的不确定因素大,不同工作者解释的结果也有一定的差异; 功率谱曲线的斜率估算法[5]对深度的估算误差较大; 因受谐波数、圆滑因子等影响,重力归一化总梯度及其相位特征法[6, 7]精度较低; 因受异常导数的计算精度的影响,欧拉反褶积法(Euler法)[8~10]在反演中会产生较强的干扰,影响了断层断点位置的反演精度; 小子域滤波法[11]对具有梯级带特征的断裂构造位置的确定具有较高的分辨率,对显示为非梯级带特征的断裂则无法识别; 三方向小子域滤波法[12]是在小子域滤波法基础上提出的,能够弥补小子域滤波的不足,但存在方向性的缺陷(另文论述).
本文在前人研究成果的基础上,对三方向小子域滤波进一步改进,重点关注中国东北地区主构造线位置的厘定,对东北地区大地构造单元进行合理的划分.
2 研究方法 2.1 三方向小子域滤波原理小子域滤波的主旨思想是突出异常变化的分界特征,主要是突出异常等值线梯级带的最大梯度的平面位置.对于等值线同形扭曲、圈闭等值线突然变宽或变窄、异常轴线明显错动等断裂构造的其他特征则无法识别.如果采用某种数学变换和计算方法在不同方向上将上述识别断裂构造的各种特征均转换为异常梯级带的特征,而后再利用小子域滤波突出异常梯级带的分界特征,则可以获得更多的识别断裂构造的信息,这就是三方向小子域滤波的基本原理[12].
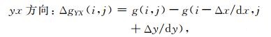
2.2 三方向小子域滤波算法的设计缺陷及其改进方案三方向小子域滤波[12]中的3个方向是基于二度直立岩脉重力异常的曲线特征提出的.理论与实践证实,某一方向小子域滤波结果主要追踪该方向的垂直方向以及与垂直方向呈±45°范围内的构造线走向的平面形迹特征,但如果接近±45°走向的构造线在布格重力异常中以非梯级带的形式显示,则在该方向上的小子域滤波结果不能被清晰地识别.由此可见,在三方向小子域滤波过程中,图 1a突出的3个方向直立岩脉重力异常的计算模式为x方向、y方向和xy方向,而垂直于xy方向的计算模式被忽略掉.如此,会使在布格重力异常中表现为非梯级带特征的走向为xy方向的构造不能被识别.因此,文献[12]中关于三方向小子域滤波过程中的突出3个方向直立岩脉重力异常的计算模式存在缺陷.图 1b在图 1a的基础上增加了yx方向的计算模式,弥补了三方向小子域滤波计算模式的设计缺陷.
|
图 1 三方向小子域滤波及其改进的滤波模式示意图 (a)三方向小子域滤波模式(据文献[12]); (b)改进的三方向小子域滤波模式. Fig. 1 Sketch maps of three-directional small subdomain filtering and its improved filtering mode (a) Mode of three-directional small subdomain filtering (according to Reference[12]); (b) Mode of improved three-directional small subdomain filtering. |
图 2反映的是改进后的三方向小子域滤波结果确定的构造线走向范围(虚线部分),图中2a为x方向小子域滤波结果确定的构造线走向范围,图 2b为y方向小子域滤波结果确定的构造线走向范围,如果将(a)和(b)叠置,则这两个方向的小子域滤波结果就可以检测到走向为任意方向的构造线的平面位置.然而在与x或y方向呈45°附近的方向上,如果断裂的重力异常特征表现为非梯级带,则在此极限方向上的构造线的平面位置不能被检测.因此,要在充分考虑重力异常等值线分布特征(重力异常反映的区域和局部构造走向)的基础上,进一步选择xy (图 2c))或yx(图 2d))方向小子域滤波进行处理,就可以检测到极限方向上的构造线位置,改进后的滤波模式可以根据实际构造的走向,采用(a)、(b)和(c)或(d)的组合进行,因此可称为改进的三方向小子域滤波(当然,也可以4个方向同时进行).显然,改进后的三方向小子域滤波更具合理性.
|
图 2 改进的三方向(指(a)、(b)和(c)或(d)的组合)小子域滤波结果反映的构造线走向范围 (a)x方向小子域滤波,(b)y方向小子域滤波,(c)xy方向小子域滤波,(d)yx小子域滤波. Fig. 2 Reflected directional range of structure trend by improved three-directional small subdomain filtering (a)x directional smallsubdomain filtering; (b)y directional small subdomain filtering; (c)xy directiona small subdomain filtering; (d)yx directional small subdomain filtering. |
①根据研究区地质构造的走向有选择地计算出突出3个方向直立岩脉特征的重力异常.在图 1b中,g(i,j)表示网格化节点处的布格重力异常,根据文献[12]可获得到突出每个方向直立岩脉特征的重力异常公式
|
(1) |
|
(2) |
|
(3) |
或者
|
(4) |
其中i=0,1…M-1;j=0,1…N-1;dx与dy分别为测线点距和线距,M和N分别为测线方向和基线方向的取样点数,Δx和Δy分别表示布格重力异常坐标位置沿x轴和y轴方向偏移前、后的距离.
②对突出每个方向直立岩脉特征的重力异常进行π/2的相位偏移处理,然后实施余弦反变换,则可以获得每个方向相位偏移处理结果[12] :ΔgXπ/2(i,j)、ΔgYπ/2(i,j)和ΔgXYπ/2(i,j)(或ΔgYXπ/2(i,j)).
③对每个方向偏移处理结果的平面坐标位置做相应的变换.根据文献[12]可得变换后的每个方向平面坐标位置公式为
|
(5) |
|
(6) |
|
(7) |
或者
|
(8) |
④利用小子域滤波方法[11]分别检测每个方向偏移处理结果中的梯级带,突出异常的分界特征.综合分析处理结果,勾划出平面断裂构造的精细结构.
3 中国东北地区1:100万布格重力异常特征根据中国东北地区1:100万布格重力异常平面等值线的展布情况(图 3)可将研究区重力异常分为三级描述.一级异常为全区的背景场,可以看作一个相对起伏平缓的二次曲面,反映莫霍面起伏的异常特征; 二级异常为研究区内部大型重力高和重力低以及延伸较大的重力梯级带,反映研究区内部地块间异常关系的二级构造,其形态比较规则,方向性明显,异常间多被梯级带分割; 三级异常表现为地块内部隆起与断陷引起的异常特征,其反映的异常等值线以局部圈闭为主,圈闭间多以大型梯级带或局部小型梯级带为分割线.
|
图 3 中国东北地区布格重力异常平面等值线图 Fig. 3 Plane contour diagram of Bouguer gravity in Northeastern China area |
从重力异常图上看出,研究区内存在两条明显的重力异常梯级带,即大兴安岭重力异常梯级带和依兰-伊通重力异常梯级带.大兴安岭梯级带位于大兴安岭东坡,其主要特征是延续长、范围宽且梯度变化大,最大梯度可达90 mGal/100 km.佳木斯-伊通重力异常梯级带梯度变化幅度小,基本由连续的、沿NE方向排列的长轴状的局部异常组成的串珠状狭长异常带组成.传统的观点认为这两条重力异常梯级带可把研究区分为三个重力异常区,即大兴安岭异常区、松嫩异常区和张广才岭异常区[13],这种分区方法主要根据布格重力异常的特征进行.为了进一步揭示研究区异常的分区模式,采用了小子域滤波和三方向小子域滤波技术,对研究区布格重力异常进行了重新的厘定,重点解决异常分区的主构造线位置及分区后异常的基本特征.
4 改进的三方向小子域滤波结果分析 4.1 小子域滤波结果分析利用传统的小子域滤波处理的结果(图 4)与布格重力异常相比,明显地紧缩了异常梯级带的宽度,提高了对构造线形迹检测的精度,主要反映了研究区内以异常梯级带特征为主的一、二级异常分区的边界特征.从图中可以看出,此法明显地突出了NE向和EW向构造线的走向和位置(这与布格异常图中表现的大型梯级带特征相同),SN向的构造线也有局部显示(如佳木斯附近),但除佳木斯-伊通断裂带较为完整外,其余的构造线均显示为局部段.这说明对于全区表现为梯级带不明显或非梯级带特征(如NW向构造线)的各个方向的构造线,传统的小子域滤波法基本上不能识别,为此,采用改进的三方向小子域滤波技术进一步确认全区主要构造线的平面位置.
|
图 4 布格重力异常小子域滤波结果 Fig. 4 Small subdomain filtering results of Bouguer gravity |
由于中国东北地区重力异常梯级带主体走向为NE向,x方向(东西方向)和y方向(南北方向)小子域滤波能够识别这些梯级带所反应的构造线的位置,因此在充分考虑改进后的三方向小子域滤波所确定的构造线走向范围(图 2)特征的基础上,选择x方向(东西方向)、y方向(南北方向)和xy方向(北东方向)小子域滤波的组合进行全区平面断裂位置的识别是合理的.
东西方向小子域滤波结果(图 5a)主要反映SN向构造形迹,对于近SN向(如:NW向到NE向之间的区域)的构造形迹也有明显的表现; 由于研究区NE向构造线多以梯级带形式为特征,因此,尽管NE向构造线方向处于东西向小子域滤波所确定的构造线方向范围的边界极限位置,但仍然可以清晰地刻划; 而NW向由于处于东西向小子域滤波所确定的构造线方向范围的边界极限位置,且大多以等值线的非梯级带为特征,所以在东西向小子域滤波结果中并无清楚的显示,这些特征与改进的三方向小子域滤波所确定的构造线方向范围并不矛盾.
|
图 5 改进的三方向小子域滤波结果 (a)东西方向小子域滤波结果; (b)南北方向小子域滤波结果; (c)北东方向小子域滤波结果. Fig. 5 Results of improved three-directional small subdomain filtering (a) Results of EW-directional small subdomain filtering; (b) Results of SN-directional small subdomain filtering; (c) Results of NE-directional small subdomain filtering. |
南北向小子域滤波结果(图 5b)主要反映EW向断裂形迹,对于近EW向(如NE向到NW向之间断裂)的构造形迹也有较清晰的显示,同样由于NW向构造线处于南北向小子域滤波所确定的构造线方向范围的边界极限位置,且主要以非梯级带形式出现,所以南北向小子域滤波也不能反映NW向断裂的构造形迹.进一步采用北东向小子域滤波研究NW向断裂的构造形迹,显然,北东向小子域滤波结果(图 5c)恰好揭示了NW向断裂构造形迹的特点.
4.3 改进的三方向小子域滤波结果与欧拉反褶积结果对比分析欧拉反褶积是Peters[5](1949)针对磁测数据反演场源深度和水平位置提出的,该法以欧拉齐次方程为基础理论,利用方程中的构造指数来反演场源的深度.由于欧拉方程使用的参数少,反演深度和位置等较为精确,因此在场源深度反演和断裂水平位置反演等方面得到了广泛的应用[9, 10].
为了验证三方向小子域滤波划分主构造线的有效性,采用欧拉反褶积法对研究区布格重力异常进行了反演,结果见图 6.从图中可以看出,欧拉反褶积反演结果与小子域滤波结果(图 4)反映的断裂构造行迹大体相似,主要揭示了佳木斯-伊通断裂(F2)、敦化-密山断裂带(F3)、西拉木伦河断裂(F6)、呼和浩特-张家口-四平断裂(F7)以及大兴安岭断裂带(F11)等以NE和EW向为主的断裂构造行迹(图 7),这些断裂在布格重力异常(图 1)中主要以梯级带的形式显示.而在布格重力异常中主要以非梯级带特征为主,显示的断裂在欧拉反褶积结果中表现较为模糊,如SN向的同江-跃进山断裂(F5)、伊春-依兰-珲春断裂(F4),NW向的塔河-孙吴-双鸭山断裂(F14)、北安-桦南断裂(F15)、甘南-绥化-牡丹江断裂(F16)、突泉-延吉断裂(F17)等; 但这些断裂在改进的三方向小子域滤波结果中有清晰的表现,而且他们在相关文献[13~17]的图件中也均有显示,如F5是完达山地体和佳木斯陆块的分界线[13],F4是松嫩陆块和佳木斯陆块的重要分界线[13],F14和F15是小兴安岭北部和南部的边界断裂[15~17]等.
|
图 6 欧拉反褶积反演结果 Fig. 6 Inversion results using Euler deconvolution method |
|
图 7 利用改进的三方向小子域滤波结果解释的主干断裂及大地构造单元 Ⅰ.额尔古纳-兴安地块:Ⅰ-1.额尔古纳地块,Ⅰ-2.兴安地块; Ⅱ.松嫩地块:Ⅱ-1.松嫩地块,Ⅱ-2.张广才岭地块,Ⅱ-3.老爷岭地块; Ⅲ.佳木斯地块:Ⅲ-1.佳木斯-牡丹江地块,Ⅲ-2.兴凯地块; Ⅳ.那丹哈达地体; Ⅴ.华北板块北缘增生带; Ⅵ.华北板块.F1.黑河-齐齐哈尔-白城断裂,F2.佳木斯-伊通断裂,F3敦化-密山断裂,F4.伊春-依兰-珲春断裂,F5.同江-跃进山断裂,F6.西拉木伦河断裂,F7.呼和浩特-张家口-四平断裂,F8.塔河-东乌珠穆沁旗断裂,F9.德尔布干断裂,F11、F12和F13为大兴安岭断裂带,F14.塔河-孙吴-双鸭山断裂,F15.北安-桦南断裂,F16.甘南-绥化-牡丹江断裂,F17.突泉-延吉断裂,F18.漠河盆地南界断裂. Fig. 7 Explanation of main faults and structural units using the results of improved three-directional small subdomain filtering ⅠErgun-Xing'an block:Ⅰ-1 Ergun block; Ⅰ-2 Xing'an block; ⅡSongnen block:Ⅱ-1 Songnen block, Ⅱ-2 Zhangguangcailing block, Ⅱ-3 Laoyeling block; Ⅲ Jiamusi block:Ⅲ-1 Jiamusi-Mudanjiang block, Ⅲ-2 Xingkai block; Ⅳ Nadanhada block; Ⅴ North-China hyperplastic zone; Ⅵ North-China plate. F1 Heihe-Qiqihar-Baicheng fault; F2 Jiamusi-Yitong fault; F3 Dunhua-Mishan fault; F4 Yichun-Yilan-Hunchun fault; F5 Tongjiang-Yuejinshan fault; F6Xilamulunhefault; F7 Hohhot-Zhangjiakou-Sipingfault; F8 Tahe-Dong Ujimqin fault, F9 Derbugan fault; F11, F12 and F13 are Da Hinggan faults, F14 Tahe-Sunwu-Shuangyashan fault; F15 Bei′an-Huanan fault; F16 Gannan-Suihua-Mudanjiang fault, F17 Tuquan-Yanji fault, F18 Mohe fault. |
对比分析欧拉反褶积反演结果(图 6)和改进的三方向小子域滤波结果(图 5)可以看出,在布格重力异常(图 3)中,无论以梯级带形式还是以非梯级带特征显示的断裂,改进的三方向小子域滤波结果均可以清晰地识别,这说明与欧拉反褶积反演方法及传统的小子域滤波方法相比,改进的三方向小子域滤波在识别平面断裂的应用中具有更好的效果.
从理论上说,欧拉齐次方程是一个灵敏度极高的方程式,式中异常导数的计算精度等稍有偏差便会在反演中产生较强的干扰,影响了断层断点位置的反演精度[12].而改进的三方向小子域滤波方法在计算过程中为了突出某方向断裂构造的重力异常特征,只是经过了简单的计算和相关的相移后实施小子域滤波处理,最大限度地保留了重力异常反映的断裂构造的有用信息,因此在应用中具有较高的分辨率和较好的应用效果是必然的.
本文在对比分析东北地区重力异常小子域滤波结果、改进的三方向小子域滤波结果和欧拉反褶积结果的基础上,结合相关的地质地球物理参考资料[1~3, 13~20],划分出延续性较好、规模较大的断裂18条(图 7).其中NE和NNE向断裂9条,主要由小子域滤波结果、东西向和南北向小子域滤波结果识别; SN向断裂2条,主要由东西向和北东向小子域滤波结果识别; EW向断裂3条,主要由小子域滤波和南北向小子域滤波结果识别; NW向断裂4条,主要由北东向小子域滤波识别.在这些断裂中,F1~F8为东北地区壳内大地构造单元分区边界的主构造线.
5 重力异常分区及大地构造单元综合分析小子域滤波和改进的三方向小子域滤波结果、布格重力异常特征以及研究区地质与其他地球物理资料,同时充分考虑研究区地壳与岩石圈厚度,以西拉木伦河断裂带(F6)为分界线,把研究区一级重力异常划分为东北异常区和华北异常区.由于华北异常区不属于本文讨论的内容,因此对二级异常进行分区时主要讨论东北异常区.异常的分区模式及重力场特征见图 7和表 1.
|
|
表 1 构造分区重力场特征 Table 1 The gravity field characteristic of tectonic units |
根据二级重力异常分区特征,可将东北地区大地构造单元划分为额尔古纳-兴安地块、松嫩地块、佳木斯地块和那丹哈达岭地体(图 7).前两个地块分别对应西部异常区和中部异常区,而佳木斯地块和那丹哈达岭地体中间以同江构造线为分界线,均属于东部异常区.同样,根据重力场二级分区亚区异常特征,可将额尔古纳-兴安地块进一步划分为额尔古纳地块和兴安地块2个次级构造单元; 松嫩地块划分为松嫩地块、张广才岭地块、老爷岭地块3个次级构造单元; 佳木斯地块可划分为佳木斯-牡丹江地块和兴凯地块2个次级构造单元.
6 结论本文采用改进的三方向小子域滤波技术对东北地区重力异常进行了处理,刻划了黑河-齐齐哈尔-白城等重要构造线的平面位置,对研究区重力异常进行分区并描述了一、二级异常的分区特点,在此基础上,给出了东北地区大地构造单元的基本格架.黑河-齐齐哈尔-白城等重要构造线平面位置的确定具有重要的意义,它突破了传统的重力异常分区模式,揭示了该区主要构造线的相互关系,指出东北地区NE向构造的走滑距离具有由西向东逐渐增大的特点(图 7),为中国东北地区NE向构造的左旋走滑特征提供了地球物理场证据.
| [1] | 马宗晋, 高祥林, 宋正范. 中国布格重力异常水平梯度图的判读和构造解释. 地球物理学报 , 2006, 49(1): 106–114. Ma Z J, Gao X L, Song Z F. Analysis and tectonic interpretation to the horizontal-gradient map calculated from Bouguer gravity data in the China mainland. Geophys (in Chinese) , 2006, 49(1): 106-114. |
| [2] | 许德树, 曾华霖, 万天丰. 中国视密度图与大地构造单元. 地学前缘 , 2001, 8(2): 407–413. Xu D S, Zeng H L, Wan T F. Apparent density mapping and tectonic of China. Earth Science Frontiers (in Chinese) , 2001, 8(2): 407-413. |
| [3] | 张建中, 戴云, 金宜声. 中国大陆1:500万剩余重力异常与大地构造的关系. 物探化探计算技术 , 1999, 21(4): 3–7. Zhang J Z, Dai Y, Jin Y S. The relationship between residual gravity anomaloy and tectonics in continental area of China. Computing Techniques for Geophysical and Geochemical Explorition (in Chinese) , 1999, 21(4): 3-7. |
| [4] | 罗孝宽, 郭绍雍. 应用地球物理教程. 北京: 地质出版社, 1991 : 139 -154. Luo X K, Guo S Y. Applied Geophysics Course (in Chinese). Beijing: Geological Publishing House, 1991 : 139 -154. |
| [5] | 穆石敏, 申宁华, 孙运生. 区域地球物理数据处理方法及其应用. 长春: 吉林科学技术出版社, 1990 : 1 -86. Mu S M, Shen N H, Sun Y S. Methodof Regional Geophysical Data Processing and Application (in Chinese). (版本). Changchun: Jilin Science & Technology Press, 1990 : 1 -86. |
| [6] | 张凤琴, 张凤旭, 刘财, 等. 利用重力归一化总梯度及相位法研究断裂构造. 吉林大学学报(地球科学版) , 2005, 35(1): 123–127. Zhang F Q, Zhang F X, Liu C, et al. Study of faulted struct ureusing the normalized full gradient of gravity anomaly and its phase. Journal of Jilin University (Earth Science Edition) (in Chinese) , 2005, 35(1): 123-127. |
| [7] | 张凤旭, 孟令顺, 张凤琴, 等. 利用Hilbert变换计算重力归一化总梯度. 地球物理学报 , 2005, 48(3): 704–709. Zhang F X, Meng L S, Zhang F Q, et al. Calculating normalized full gradient of gravity anomaly using Hilbert transform. Chinese J^ Geophys (in Chinese) , 2005, 48(3): 704-709. |
| [8] | Peters L J. The direct approach to magnetic interpretation and its application. Geophysics , 1949, 14: 290-320. DOI:10.1190/1.1437537 |
| [9] | Thompson D T. EULDPH:A new technique for making computer-assisted depth estimates from magnetic data. Geophysics , 1982, 47(1): 31-37. DOI:10.1190/1.1441278 |
| [10] | Reid A B, Allsop J M, Granser H, et al. Magnetic interpretation in three dimensions using Euler deconvolution. Geophysics , 1990, 55(1): 80-91. DOI:10.1190/1.1442774 |
| [11] | 杨高印. 位场数据处理的一项新技术--小子域滤波法. 石油地球物理勘探 , 1995, 30(2): 241–244. Yang G Y. A new technique for potential-field data processing:small subdomain filtering. OGP (in Chinese) , 1995, 30(2): 241-244. |
| [12] | 张凤旭, 张凤琴, 刘财, 等. 断裂构造精细解释技术--三方向小子域滤波. 地球物理学报 , 2007, 50(5): 259–266. Zhang F X, Zhang F Q, Liu C, et al. A technique for elaborate explanation of faulted structures:three-directional small subdomain filtering. Geophys (in Chinese) , 2007, 50(5): 259-266. |
| [13] | 黑龙江省地质矿产局. 黑龙江省区域地质志. 北京: 地质出版社, 1993 : 519 -556. Bureau of Geology and Mineral Resources of Heilongjiang Province. Regional Geologyof Helongjiang Province (in Chinese). Beijing: Geological Publishing House, 1993 : 519 -556. |
| [14] | 丁国瑜, 蔡文伯, 于品清, 等. 中国岩石圈动力学概论《中国岩石圈动力学地图集》说明书. 北京: 地震出版社, 1991 : 482 -491. Ding G Y, Cai W B, Yu P Q, et al. Introduction of Lithospheric Dynamics of China (Explanatory Notes for the Atlas of Lithospheric Dynamics of China) (in Chinese). Beijing: Seismological Press, 1991 : 482 -491. |
| [15] | 张兴洲, 周建波, 迟效国, 等. 东北地区晚古生代构造一沉积特征与油气资源. 吉林大学学报(地球科学版) , 2008, 38(5): 719–725. Zhang X Z, Zhou J B, Chi X G, et al. Late Paleozoic tectonic-sedimentation and petroleum resources in Northeastern China. Journal of Jilin University (Earth Science Edition) (in Chinese) , 2008, 38(5): 719-725. |
| [16] | 卢造勋, 姜德录, 白云, 等. 东北地区地壳上地幔结构的探测与研究. 东北地震研究 , 2005, 21(1): 1–8. Lu Z X, Jiang D L, Bai Y, et al. The crust and upper mantle structures in Northeast China. Seismic Researches of Northeast China (in Chinese) , 2005, 21(1): 1-8. |
| [17] | 白云, 姜德录, 卢造勋. 中朝地台东北缘及邻区岩石层壳幔结构比研究. 长春科技大学学报 , 2000, 30(2): 120–124. Bai Y, Jiang D L, Lu Z X. The crust-mantle structu reratio of lithosphere in the northeast margin and the neighbouring area of Sino-Korean platform. Journal of Changchun University of Science and Technology (in Chinese) , 2000, 30(2): 120-124. |
| [18] | 任纪舜, 陈廷愚, 牛宝贵, 等. 中国东部及邻区大陆岩石圈的构造演化与成矿. 北京: 科学出版社, 1992 . Ren J S, Chen T Y, Niu B G, et al. Tectonic Evolution of the Continental Lithosphere and Metallogeny in Eastern China and Adjacent Areas (in Chinese). Beijing: Science Press, 1992 . |
| [19] | 杨宝俊, 刘万崧, 王喜臣, 等. 中国东部大兴安岭重力梯级带域地球物理场特征及其成因. 地球物理学报 , 2005, 48(1): 86–97. Yang B J, Liu W S, Wang X C, et al. Geophysical characteristics of Daxinganling gravitational grad zone in the East China and its geodynamic mechanism. Geophys (in Chinese) , 2005, 48(1): 86-97. |
| [20] | 冯锐. 中国地壳厚度及上地幔密度分布(三维重力反演结果). 地震学报 , 1985, 7(2): 143–157. Feng R. Crust thickness and density distribution in upper mantle, China (from 3D gravitative inverse). Acta Seismologica Sinica (in Chinese) , 1985, 7(2): 143-157. |
2010, Vol. 53

