2. 西安电子科技大学理学院,西安 710071
2. School of Science, Xidian University, Xi′an 710071, China
近几十年来,主动电离层研究正在蓬勃发展. 1978年,Gurevich基于流体力学提出了电离层加热的基本理论[1].Bernhardt等使用连续性方程、动量方程和能量方程考察了F区加热的自聚焦效应[2].文献[3~7]对高低电离层加热引起的电子密度、电子温度、碰撞频率、能量吸收和损失率、热传导和扩散系数、以及复合率等电离层参量的扰动特征进行了讨论,并分析了加热参数和背景参数对加热效应的影响.为了验证大功率无线电波产生的加热特征,我们必须采用有效的诊断手段进行观测,非相干散射雷达无疑是一种最为理想的地面探测工具[8]. Mantas等观测到了Arecibo夜间电离层加热实验40%(大约350K)的温度增强[9],这与理论仿真模型的预测取得了一致.高纬地区,由于白天的电离层状态比较稳定,更多的加热实验在白天进行[10~14],峰值电子温度的增长达到了55%.我国2008年1月进行的冬季电离层加热实验取得了更显著的效果,电子温度增强达到了121%[15].然而,这些显著的电离层加热特征都是从高电离层观测到的,在低电离层区域,观测电离层加热效应较为困难,这主要是由非相干散射理论模型本身的缺陷引起的.现有的非相干散射雷达数据分析都是基于平衡态无碰撞等离子体来进行的,低电离层加热,会给非相干散射理论模型引入两个新的特性:一是大功率高频电场作用下,导致的粒子系统对平衡态的偏离,一是中性粒子高密度引起的强烈的碰撞效应.Gurevich[1],Stubbe[16]和Gustavsson[17]等人使用不同的解析和数值方法讨论了低电离层交变电场作用下的电子的非麦克斯韦分布函数.Zheng[18]和Saito[19]等人计算了具有超高斯分布和Kappa分布的非相干散射的离子线和等离子线谱,并讨论了非麦克斯韦因子对谱特征及等离子体谐振频率和阻尼率的影响.然而,由于碰撞等离子体非相干散射谱的求解存在很大的难度,以上所有理论和实验上的研究,即便针对D层和低E层这些碰撞效应十分显著的区域,谱计算中也都采用了碰撞频率等于零的近似.
本文使用低电离层加热条件下,非麦克斯韦碰撞等离子体的非相干散射理论模型,对我国2008年1月进行的极区冬季电离层加热实验进行了分析,对比了该模型和平衡态模型的反演结果,给出了非麦克斯韦指数,并由非麦克斯韦指数对加热电场强度进行了推算.
2 理论模型在低电离层条件下,碰撞效应显著,功率谱的计算中必须考虑碰撞的影响.Sheffield给出了碰撞等离子体的非相干散射功率谱[20]:
|
(1) |
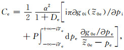
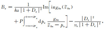
其中k=2kisin(θ/2)为波数,θ为散射角,对后向散射k=2ki,ω为多普勒频率,Z为离子电荷数.ε=1+Ci+Ce为径向上的介电函数,Ci和Ce分别为离子和电子的极化率.Bi和Be为考虑碰撞条件下,单个离子和电子引起的密度扰动的功率谱.后向散射条件下,Ci,Bi,Ce和Be分别定义为
|
(2) |
|
(3) |
|
(4) |
|
(5) |
其中mi和me分别为离子和电子质量,e为电子电量,n0i和n0e分别为离子和电子密度,f0i和f0e分别为视线方向上离子和电子的速度分布函数,v为视线方向粒子速度,υi和υe分别为离子和电子的有效碰撞频率.Di和De分别为
|
(6) |
|
(7) |
对(2)~(7)式做归一化处理,可得[21]
|
(8) |
|
(9) |
|
(10) |
|
(11) |
|
(12) |
|
(13) |
其中P∫为柯西积分主值,b和a分别为离子和电子的热速度,Ti和Te分别为离子和电子温度,g0i和g0e分别为视线方向上归一化的离子和电子的速度分布函数,α≡1/(kλD),λD为德拜长度.pe,pi,ṽe,ṽi,

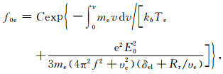
人工大功率无线电波的注入可以导致电离层等离子体电子分布函数偏离麦氏分布,Gurevich给出了在低电离层条件下电子的分布函数[1]:
|
(14) |
其中f为泵波频率,E0为加热电场强度,Rr为转动能级激发对应的碰撞频率,δel为电子同中性粒子一次碰撞中所损失能量的平均部分数.从方程(14)中可以看到:加热引起的非麦克斯韦特性由方程第2项的分母决定,E0=0条件下,分布函数退化为麦克斯韦分布.
图 1给出了电子分布函数随加热电场的变化.由于电子的质量很小,高频外场作用下,电子很容易被加速,加速电子的速度方向受弹性和非弹性碰撞的影响,偏离电场方向,结果是在这一系列的作用下,具有更高速度的电子数目增加.如图 1所示,随电场增大,分布函数的尾向扩展增强.图 2给出了非相干散射谱随加热电场的变化.在低电离层区域由于很低的粒子温度和电子密度、很小的电子和离子温度差、以及显著的碰撞效应,这些因素使得功率谱呈现单峰谱,而不是我们通常见到的双峰.从图中可以看到,随电场的增大,功率谱的幅度下降,宽度变窄.单峰谱分析中,不存在峰谷比,随温度比的增加功率谱同样表现为幅度减小、谱宽变窄.由于HF的加热效应与温度比对谱的影响相似,且由于离子质量很大,HF加热中离子温度几乎不发生任何改变,因此非麦克斯韦分布会对电子温度的反演产生很大影响.
|
图 1 加热电场对电子分布函数的影响 Fig. 1 Effects of the heating electric field on the distribution function |
|
图 2 加热电场对非相干散射谱的影响 Fig. 2 Effects of the heating electric field on the incoherent scatter spectra |
在实际的非相干散射数据分析中,由于方程(14)的求解需要计算积分,归一化系数同样需要数值方法得到.为提高计算效率,不损失精度的条件下,可以使用经验的分布函数对其进行拟合.此时,超高斯分布函数是一个很好的近似[18]:
|
(15) |
其中m为非麦克斯韦指数,m=2对应于麦克斯韦分布函数.C=m/[4πvTe3Γ(3/m)]为归一化系数.归一化速度这里不再是热速度,其具体形式为
|
(16) |
这里Γ(x)是伽马函数.在下面的实测数据分析中,我们联立(1),(8)~(13)和(16)式,组成超高斯非相干散射理论模型,反演电离层参量和非麦克斯韦指数m,再通过(14)~(15)式,进一步得到加热电场强度.
3 实验结果分析与讨论基于超高斯非相干散射功率谱的理论模型,我们使用LM算法对2008年1月11日10:08,10:16,10:24,10:32,10:40,10:48,10:567个加热时刻100km处的电离层加热数据进行了反演.文献[15]给出了此次电离层加热的实验描述,加热机4min开,4min关,其中10:08,10:24,10:40,10:56时刻4个加热事件为X波加热,10:16,10:32,10:48时刻3个加热事件为O波加热.基于平衡态等离子体的麦克斯韦速度分布模型,欧洲非相干散射雷达协会给出了官方的非相干散射数据分析程序GUISDAP(Grand Unified Incoherent Scatter Design and Analysis Package).107km以上,GUISDAP可以得到的4个独立电离层参量为电子密度、电子温度、离子温度和离子漂移速度. 107km以下,4个独立电离层参量为电子密度、碰撞频率、离子温度和离子漂移速度,这里电子温度和离子温度不再独立,电子和离子温度的比值约为1.1,因此使用GUISDAP分析程序我们无法得到低电离层加热的温度增强效应.我们使用上面给出的超高斯非相干散射理论模型,将电子温度作为独立反演变量,同时引入非麦克斯韦指数,对电离层加热数据进行了分析.因为离子质量较大,离子温度受加热扰动较小,因此反演中我们假设离子温度不受加热影响,直接由加热前后的离子温度均值给出.相似地,加热前后电子温度、电子密度和碰撞频率均值用作反演的初始值,因此反演中独立变量数目仍为4个,即电子温度、电子密度、碰撞频率和非麦克斯韦指数,不会额外增加反演的不稳定性.
图 3给出了10:04~11:00期间,实测非相干散射功率谱密度的峰值.从图中可以看到,7个加热时刻的功率谱密度峰值要低于两侧未加热时刻的结果.由于大功率无线电波的注入,电子温度增加,非麦克斯韦特征增强,因此功率谱幅度下降,实验观测结果与我们的理论预测保持一致.此外,10:08,10:24,10:40,10:56时刻4个X波加热事件,峰值功率要明显低于10:32,10:48时刻2个O波加热事件,这同样与文献[4, 5]给出的低电离层加热的数值仿真结果保持一致.
|
图 3 功率谱密度峰值 Fig. 3 The peak of power spectra density |
图 4给出了7个加热事件的实测功率谱密度,以及GUSIDAP和超高斯模型的拟合结果的对比.由于GUSIDAP分析程序存在平衡态和电子温度与离子温度比值为常数两个假设,理论模型的缺陷使得拟合结果存在误差.从图中可以看到,7个加热时刻GUSIDAP拟合结果均存在误差,特别是加热效应比较显著时(如X波加热),GUSIDAP拟合效果也更差,而相应的独立电子温度和非麦克斯韦指数的引入,使得超高斯模型取得了更好的拟合效果.
|
图 4 7个加热事件实测功率谱密度及其拟合结果 点:实测谱;点划线:GUSIDAP拟合结果;实线:超高斯模型拟合结果 Fig. 4 The measured and fit power spectra density of the seven heating cases Dot: measured data; dashed line: fit results of GUISDAP; solid line:fit results of the super-Gaussian model |
由于理论模型的缺陷,GUSIDAP的分析无法获得显著的低电离层的加热效应.电子温度和离子温度的比值为定值假设,使得反演过程中,把加热引起的电子温度增强特征平均到电子温度和离子温度上,导致我们仅能观察到小幅的电子温度的增强效应.图 5给出了GUSIDAP和超高斯模型分析得到的7个加热时刻的电子温度,以及反演所使用的初始值(加热前后时刻电子温度均值).从图中可以看到,GUSIDAP分析程序得到的电子温度可以观察到小幅的增强特征,增幅最大百分比仅为23.3%,平均电子温度增量为19.1K.而超高斯模型得到的电子温度,特别是X波加热事件,则可以观察到十分显著的电子温度增强,增幅最大百分比达到了168.9%,平均电子温度增量也达到了162.2K.
|
图 5 7个加热事件的电子温度 短虚线:初始值;长虚线:GUSIDAP反演值;点:超高斯模型反演值 Fig. 5 The electron temperature of the seven heating cases Dotted line: initial value; dashed line: inversion value of GUISDAP; dot: inversion value of the super-Gaussian model |
图 6给出了超高斯模型引入的另外一个独立的反演参量---非麦克斯韦指数.从图中可以看到,与电子温度所呈现的非相干散射谱峰值功率显著下降,电子温度即显著增长不同,非麦克斯韦指数与峰值功率没有明显的对应关系.非麦克斯韦指数随时间的变化较为平缓,均值为3.52,标准差为0.47,且非麦克斯韦指数不受加热电场极化方向的影响.联立(14)~(15)式,我们就可以由非麦克斯韦指数推算出加热电场强度.图 7给出了加热电场强度在不同加热时刻的结果.与非麦克斯韦指数类似,加热电场强度变化平缓,幅度在0.42~0.52V/m之间,均值为0.47.同样,电场与峰值功率和极化状态没有明显的对应关系.
|
图 6 7个加热事件的非麦克斯韦指数 Fig. 6 The non-Maxwellian index of the seven heating cases |
|
图 7 7个加热事件的电场强度 Fig. 7 The electric field of the seven heating cases |
低电离层加热条件下,波与带电粒子、带电粒子与中性大气的相互作用,一方面使得电子温度显著升高,另一方面,会使电子的速度分布函数偏离平衡状态,呈现为非麦克斯韦分布.而EISCAT的分析程序在低电离层非相干散射数据分析中,基于平衡态和温度比为常数假设,使得电离层参量的反演存在很大误差,导致我们无法观测到显著的电离层加热特征.我们使用基于超高斯分布的碰撞等离子体非相干散射模型,对2008年1月我国在TromsØ进行的第1次冬季电离层加热实验数据进行了分析,并与GUSIDAP的分析结果进行了对比.超高斯模型得到了显著的电子温度增强,最大增幅百分比达到了168.9%,平均电子温度增量也达到了162.2K,而相应的GUSIDAP结果仅为23.3%和19.1K.超高斯模型得到的电子温度与非相干散射功率谱幅度和加热电场极化状态有着显著的对应关系,X波加热的温度增强更为明显.非麦克斯韦特征的引入,使得非麦克斯韦指数可以作为一个独立的变量由非相干散射数据分析得到.通过Gurevich给出的分布函数和超高斯分布函数的比较,我们可以使用非麦克斯韦指数推算加热电场强度,使得加热电场强度成为直接反演变量,而不需要假设理论模型进行估算.从文中得出的结果来看,非麦克斯韦指数和加热电场强度一样变化平缓,且与峰值功率和极化状态没有明显的对应关系.我们使用非麦克斯韦的碰撞等离子模型对非相干散射数据进行了分析,将分析结果与欧姆加热理论的数值仿真结果进行对比研究是我们进一步所要完成的工作.
致谢感谢欧洲非相干散射雷达协会(EISCAT)的数据提供.感谢Cesar教授和Rietveld博士在实验中给予的帮助.
| [1] | Gurevich A V. Nonlinear Phenomena in the Ionosphere. Berlin: Springer, 1978 . |
| [2] | Bernhardt P A, Duncan L M. The feedback-diffraction theory of ionospheric heating. J. Atmos. Terr. Phys. , 1982, 44(12): 1061-1074. DOI:10.1016/0021-9169(82)90018-6 |
| [3] | 黄文耿, 古士芬, 龚建村. 大功率无线电波加热电离层. 电波科学学报. 2004 : 296 -301. Huang W G, Gu S F, Gong J C. Ionospheric heating by powerful high-frequency radio waves. Journal of Radio Science (in Chinese). 2004 : 296 -301. |
| [4] | 倪彬彬, 赵正予, 项薇, 等. 高频泵波加热电离层的数值模拟. 电波科学学报 , 2004, 19(3): 274–289. Ni B B, Zhao Z Y, Xiang W, et al. Numerical modeling of ionospheric modification with powerful HF pump waves. Journal of Radio Science (in Chinese) , 2004, 19(3): 274-289. |
| [5] | 黄文耿, 古士芬. 大功率无线电波与低电离层的相互作用. 空问科学学报 , 2003, 23(3): 181–187. Huang W G, Gu S F. Interaction between the powerful high- frequency radio wave and the lower terrestrial ionosphere. Chinese Journal of Space Science (in Chinese) , 2003, 23(3): 181-187. |
| [6] | 黄文耿, 古士芬. 大功率无线电波对高电离层的加热. 空间科学学报 , 2003, 23(5): 343–351. Huang W G, Gu S F. The heating of upper ionosphere by powerful high-frequency radio waves. Chinese Journal of Space Science (in Chinese) , 2003, 23(5): 343-351. |
| [7] | 邓峰, 赵正予, 石润, 等. 中低纬电离层加热大尺度场向不均匀体的二维数值模拟. 物理学报 , 2009, 58(10): 7382–7391. Deng F, Zhao Z Y, Shi R, et al. Two dimensional simulation of high frequency induced larger-scale irregularities in F region. Acta Physica Sinica (in Chinese) , 2009, 58(10): 7382-7391. |
| [8] | Evans J V. Theory and practice of ionosphere study by Thomson scatter radar. Proceedings of the IEEE , 1969, 57(4): 496-530. DOI:10.1109/PROC.1969.7005 |
| [9] | Mantas G P, Carlson H C, LaHoz C H. Thermal response of the F region ionosphere in artificial modification experiments by HF radio waves. J. Geophys. Res. , 1981, 86: 561-571. DOI:10.1029/JA086iA02p00561 |
| [10] | Jones T B, Robinson T, Kopka H, et al. Phase changes induced in a diagnostic radio wave passing through a heated region of the aurora ionosphere. J. Geophys. Res. , 1982, 87(A3): 1557-1564. DOI:10.1029/JA087iA03p01557 |
| [11] | Jones T B, Robinson T, Stubbe P, et al. EISCAT observation of heated ionosphere. J. Atmos. Terr. Phys. , 1986, 48(A1): 1027-1035. |
| [12] | Robinson T R. The heating of the high latitude ionosphere by high power radio wave. Phys. Rep. , 1989, 179(2/3): 79-209. |
| [13] | Stocker A J, Honary F, Robinson T R, et al. EISCAT observation of large scale electron temperature and density perturbations caused by high power HF radio waves. J. Atmos. Terr. Phys. , 1992, 54(11/12): 6285-6297. |
| [14] | Honary F, Stocker A J, Robinson T R, et al. EISCAT observations of electron temperature oscillations due to the action of high power HF radio waves. J. Atmos. Terr. Phys. , 1993, 55(10): 1433-1448. DOI:10.1016/0021-9169(93)90109-C |
| [15] | 徐彬, 吴军, 吴健, 等. 我国极区冬季电离层加热实验研究. 地球物理学报 , 2009, 52(4): 859–877. Xu B, Wu J, Wu J, et al. Observations of the heating experiments in the polar winter ionosphere. Chinese J. Geophys (in Chinese) , 2009, 52(4): 859-877. |
| [16] | Stubbe P. Modifying effects of a strong electromagnetic wave upon a weakly ionized plasma: a kinetic description. Radio Science , 1981, 16(3): 417-425. DOI:10.1029/RS016i003p00417 |
| [17] | Gustavsson B, Sergienko T, Haggstrom I, et al. Simulation of high energy tail of electron distribution function. Advances in Polar Upper Atmosphere Research , 2004, 18(1): 1-9. |
| [18] | Zheng J, Yu C X, Zheng Z J. Effects of non-Maxwellian (super-Gaussian) electron velocity distribution on spectrum of Thomson scattering. Physics of Plasmas , 1997, 4(7): 2736-2740. DOI:10.1063/1.872141 |
| [19] | Saito S, Forme F R E, Buchert S C, et al. Effect of a Kappa distribution function of electrons on incoherent scatter spectra. Annales Geophysicae , 2000, 18(9): 1216-1223. DOI:10.1007/s00585-000-1216-2 |
| [20] | Sheffield J. Plasma Scattering of Electromagnetic Radiation. New York: Academic Press, 1975 . |
| [21] | 徐彬, 吴振森, 吴健, 等. 碰撞等离子体的非相干散射谱. 物理学报 , 2009, 58(7): 736–742. Xu B, Wu Z S, Wu J, et al. Incoherent scatter spectra of a collisional plasma. Acta Physica Sinica (in Chinese) , 2009, 58(7): 736-742. |
2010, Vol. 53
