地球物理学报  2010, Vol. 53 Issue (11): 2590-2602   PDF    
冰川均衡调整对东亚重力和海平面变化的影响
汪汉胜1 , 贾路路1 , WU Patrick3 , 胡波1,2     
1. 中国科学院测量与地球物理研究所动力大地测量学重点实验室, 武汉 430077;
2. 中国科学院研究生院, 北京 100049;
3. Department of Geoscience, University of Calgary, Alberta, Canada T2N 1N4
摘要: 新的全球冰川均衡调整(GIA)模型RF3L20(β=0.4)+ICE-4G考虑了地幔黏滞度沿横向的变化, 其黏滞度参数得到大地测量、历史相对海平面变化观测和地震剪切波层析模型的较好约束.本文利用该模型预测了东亚现今重力变化和海平面变化, 根据当前末次冰川时空变化和黏滞度参考模型中下地幔下部黏滞度认识的差异, 评估了预测的不确定性.结果表明, GIA对东亚地区重力场和海平面长期变化有显著的影响:例如, 在哈尔滨、长春、泰安、蓟县、郑州、武汉等测站, GIA重力影响达几十纳伽, 可用超导重力仪和未来原子重力仪观测出来; 在东亚大陆GIA对GRACE监测的等效水柱长期变化的影响为3%~10%, 其中青藏高原西部、华北和三峡地区的影响较大.在东海-太平洋区, GIA的相对影响高达20%~40%;GIA使东亚海域绝对海平面以0.27~0.37 mm/a的速率在长期下降, 在黄海、东海卫星测高监测的绝对海平面长期变化中, GIA的相对影响分别达6.9%和7.5%;在58个验潮站, 平均相对海平面长期上升速率为2.22 mm/a, GIA影响为-0.17 mm/a, 其中14个测站GIA的影响达-0.3~-0.4 mm/a.本文GIA预测的结果, 对在东亚地区发现弱的地球动力学过程信号、监测水质量长期变化、监测海平面长期变化和分析其机制, 提供精密的改正模型.
关键词: 冰川均衡调整      东亚      重力      等效水柱      海平面     
Effects of global glacial isostatic adjustment on the secular changes of gravity and sea level in East Asia
WANG Han-Sheng1, JIA Lu-Lu1, WU Patrick3, HU Bo1,2     
1. Key Laboratory of Dynamic Geodesy, Institute of Geodesy and Geophysics, Chinese Academy of Sciences, Wuhan 430077, China;
2. Graduate University of Chinese Academy of Sciences, Beijing 100049, China;
3. Department of Geoscience, University of Calgary, Calgary T2 N1 N4, Canada
Abstract: We have developed a new glacial isostatic adjustment (GIA) model, RF3L20(β=0.4)+ICE-4G, which is well constrained by geodetic measurements, relative sea levels and shear-wave seismic tomographic data. Based on this model we will show how GIA affects the secular rate of change of gravity and sea level in East Asia. An advantage of this model is that the viscosities in the mantle are allowed to vary both in the radial and lateral directions. The laterally homogeneous reference viscosities are given by model RF3 (modified from Peltier's VM2). Lateral viscosity perturbations are converted from seismic tomographic data using the well-known scaling relationship multiplied by the factor β. The latter is used to quantify the contribution of thermal effect to lateral variation in shear wave velocity, and is chosen to be 0.4 by fitting the GIA data. In addition, the deglacial phase of the ice loads is given by the ICE-4G model. We assess the uncertainties of the GIA predictions by considering the differences between two reference viscosity models and two ice models. The GIA predictions are computed using the coupled-Laplace Finite-Element Method. The results show that GIA has obvious effects on the secular rate of change of gravity and sea level in East Asia. For example, the GIA effect on gravity can be several tens of nGals per year which can be detected by superconducting gravimeter and future atomic gravimeters at the geodetic stations Harbin, Changchun, Taian, Jixian, Zhengzhou and Wuhan. Also GIA is estimated to contribute 3%~10% on the secular trends of equivalent water heights on land in East Asia. The larger GIA effect appears in the west Tibetan Plateau, North China and Three Gorges Area. From East China Sea to the Pacific Ocean, the relative effects of GIA can be 20%~40%. GIA has caused a long-term depression of the absolute sea level in the ocean area by 0.27~0.37 mm/a. For the secular change in absolute sea level measured by satellite altimetry, the GIA effects can be 6.9% and 7.5% in Yellow Sea and East China Sea respectively. For the 58 tide gauges, the average value of the observed long term RSL rate is 2.22 mm/a while the GIA effect is -0.17 mm/a and the relative effect is 8.3%. For the 14 gauges, the GIA effects are -0.3~-0.4 mm/a. Therefore the results of this paper provide useful GIA corrections, so that the weak signals from geodynamic processes in the East Asia can be revealed..
Key words: Glacial isostatic adjustment      East Asia      Gravity      Equivalent water height      Sea level     
1 引言

冰川均衡调整(GIA)是固体地球主要受末次冰期消融和海平面上升所激发的动力学过程.研究表明,GIA对处于近场的北美、北欧和极地的地壳运动、重力场和海平面有显著影响[1].随着大地测量观测技术的发展和观测的长期积累,东亚地区地壳运动、重力场和海平面等的观测精度大大提高,如何在这一地区进行GIA的精密改正,对分离所关注的地球动力学和全球变化的真实信号具有重要意义.然而,长期以来,人们主要关注近场的研究,东亚地区位于GIA过程的远场,在这一地区GIA究竟有着什么样的影响,一直未引起重视.本文将重点研究GIA对东亚地区重力场长期变化、由GRACE重力场反演的水质量长期变化和海平面长期变化监测的影响.

GIA的研究就是利用大地测量观测资料,基于负荷理论建立GIA模型,预测冰川消融模型、地幔流变模型和地壳运动、海平面变化、重力场、地球旋转运动和应力状态等.基于定量负荷理论研究GIA始于20世纪30年代[2, 3],到20世纪七、八十年代,以Peltier为代表的科学家就球对称、非自转、Maxwell线性黏弹性和各向同性地球,基于简正模分析技术和负荷格林函数法,完善了一维地球GIA的模拟理论[4~9].近些年来,对于黏弹参数不仅沿径向而且沿横向变化的三维地球模型,数值方法不断得到发展和应用,特别是有限元法适合于黏弹参数复杂变化的真实地球,因此受到重视和关注[10~14].汪汉胜与Wu合作,就横向非均匀地球负荷问题,发展和实现了耦合位扰动拉普拉斯方程的三维有限元算法(CLFE)[15~18],发现横向非均匀对近场地壳运动速率、相对海平面、地球重力场有显著影响,南极剪切运动模式受上地幔流变横向非均匀控制,在北美和北欧,剪切运动则由下地幔下部控制,北美重力场长期变化也是由下地幔下部控制的.

先前的GIA模型基本上只受单一的相对海面变化数据约束,为减少多解性,提高模型分辨率,我们最近利用GPS观测、验潮站结合卫星测高、GRACE重力、相对海面等多种观测约束[19~21],提出了新的GIA模型-RF3L20(β=0.4)+ICE-4G[22, 23].在该模型中,确定了地幔黏滞度扰动与地震剪切波速异常的线性比例系数β=0.4,给出了横向非均匀的地幔黏滞度模型,GIA预测与各种观测符合较好.由于β=0.4<1,揭示地震剪切波速异常和地幔黏滞度扰动不仅与热效应有关,而且很可能与化学组分和非各向同性预应力等因素有关.RF3作为地幔参考黏滞度模型,为了使GIA预测与地壳隆升速率等较好符合,在Peltier的横向均匀地幔黏滞度模型VM2[24]基础上,对下地幔黏滞度做了增加的调整,RF3模型的黏滞度为0.6×1021Pa·s (上地幔和过渡带),3.0×1021Pa·s (下地幔上部)和6. 0×1021Pa·s (下地幔下部).地表冰负荷是根据ICE-4G给出的冰川消融模型计算的,海水负荷是通过冰川融化和海水增加总质量为零和解海平面方程确定的,地球内部和地表的位移是通过CLFE有限元算法计算的,地球的引力位变化和大地水准面变化由地球内部密度界面的变形确定.

近些年来,随着东亚高质量的大地测量观测等数据的积累,为科学家准确监测和揭示该地区的地球动力学过程、陆地水和海平面变化提供了新的机遇,通过研究大地测量观测的长期变形和重力变化,有可能揭示青藏高原隆升的机制和中国的大陆动力学过程,通过卫星测高、验潮站和卫星重力观测的长期变化,有可能揭示东亚大陆水质量的变化、东亚沿岸海区和近海海平面变化的趋势,但是这些长期变化的信号可能受到GIA过程等的“污染”.本文将利用新的RF3L20(β=0.4)+ICE-4G模型,研究GIA对东亚地区重力场变化、水质量变化估计和海平面长期变化等的影响,评估了不确定性,并将结合实例数据及其研究,说明GIA改正的重要性.

2 基本公式和GIA模型

根据GIA预测的大地水准面变化和GRACE观测的时间系列重力场球谐展开模型,可计算重力场变化、反演水质量变化和海平面变化,本节给出了相关基本公式,最后给出了用于GIA预测的模型.

2.1 重力场变化 2.1.1 大地水准面变化

在球坐标系中,在点(rθΦ)现今引力位变化写成:

(1)

其中是规格化的连带勒让德函数,(ΔClm,ΔSlm)是球谐展开系数的变化,a是地球平均半径,GM为引力常数与地球总质量的乘积,lmax为球谐展开所取最大阶数.考虑到卫星重力测量不能测量零阶和一阶项,所以对于GIA问题,式(1)随阶求和也从二阶项开始.

由式(1)可推导大地水准面变化:

(2)

其中g0(a)=GM/a2是表面重力加速度,(ΔClm,ΔSlm)可用已知的GIA大地水准面变化,根据式(2)作球谐展开分析计算[25],或者直接由GRACE的重力球谐模型给定,lmax取值必须与重力场变化的纬向分辨率相匹配,例如,对于GIA重力场变化,模拟的地表有限元网格为2°×2°,纬向划分为90个单元,因此lmax最大取90.

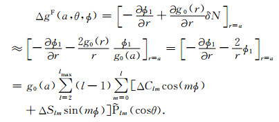
2.1.2 重力变化

从式(1),可推导重力扰动变化公式:

(3)

同样从式(1),还可给出自由空气重力异常变化的公式:

(4)

2.2 水质量变化

地表水(含冰雪)质量变化可用地表等效的质量面密度变化表示,如果已知其引起的重力变化,则任意处(余纬θ,经度Φ)的等效质量面密度变化可用规格化球谐展开表达[26, 27]:

(5)

其中,kll阶负荷勒夫数,由球对称地球的弹性和密度结构决定[8]; ρE是地球平均密度; 当利用GRACE的重力球谐展开模型时,需使用高斯滤波器,Wl是滤波函数的勒让德展开系数,它是滤波平均半径的函数,滤波半径越大,对高阶观测误差的压制就越强,但同时也平滑了有用信号.人们习惯使用“等效水柱”变化表达水(含冰雪)质量变化,由于取水密度为1.0g/cm3,等效水柱变化可由(5)式计算.值得注意的是,由于GRACE轨道误差,导致重力场出现与轨道相关的条带,因此GRACE重力球谐系数模型在使用前必须做去条带处理[28].

汪汉胜等(1996)[8]基于PREM参考地球模型,对包括kl在内的3种负荷勒夫数,提供了连续直至13000阶高精度的模拟结果,可用于式(5)等效水柱变化的反演计算.式(2)~(4)的重力场变化和式(5)反演的等效水柱变化,都用球谐展开表达,Wang等(2006)提出了球谐分析算法并提供FORTRAN程序[25],可供使用.

2.3 海平面变化 2.3.1 绝对海平面变化

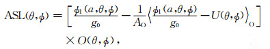
绝对海平面变化(ASL)是海面的绝对变化,由(6)式表示:

(6)

其中Φ1/g0是大地水准面变化速率; O(θΦ)是海洋函数(海洋取1,陆地取0);c′是常数,对于GIA过程,它保证冰融海水负荷和冰川负荷总质量之和为零,由(7)式确定:

(7)

式(7)中,U是固体地表径向位移,MI为末次冰川消融总质量速率,ρW为海水密度,下标I和O分别是冰川和海洋区域,AO为海洋总面积,〈〉O指对于海洋积分.对于现今绝对海平面变化,考虑MI=0,则式(6)为

(8)

取式(8)在全球海洋中的平均,得式(9),说明GIA现今绝对海平面变化在全球海洋中的平均就是全球海底径向位移的平均结果:

(9)

2.3.2 相对海平面变化

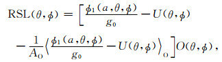
相对海平面变化(RSL)是海面相对固体地表的变化,由海平面方程表示

(10)

对于现今相对海平面变化,MI=0,将式(7)代入式(10)得

(11)

容易看出,GIA现今相对海平面变化在全球海洋中的平均值为零.

2.4 GIA预测的模型

GIA的预测是以RF3L20(β=0.4)+ICE-4G GIA模型为基础的,为了评估该GIA模型预测的不确定性,我们考虑两个主要因素的影响.首先是地幔黏滞度参考模型的差异,目前对参考模型的推估有两个代表性结果,其一是以Peltier的VM2模型[24]为代表,这里已经由RF3模型表达,代表一类下地幔黏滞度比上地幔稍大的结果; 另一类以MitroⅥca和Forte (1997)的结果[29]为代表,下地幔黏滞度比上地幔大得多,这里以RF2模型表示,其黏滞度在上地幔和过渡带为0.7×1021Pa·s,下地幔为1.0× 1022Pa·s.另一个因素是对末次冰川厚度时空变化认识的分歧,目前有代表性的冰川模型主要有ICE-4G模型[24]和ICE-5G模型[30],后者在南极、北美冰盖相对较厚.因此,设计4个地幔黏滞度和冰川模型组合的GIA模型:(1) RF3+ICE-4G;(2) RF2+ICE-4G;(3) RF3L20(β=0.4)+ICE-4G;(4) RF3L20(β=0.4)+ICE-5G.它们具有一致的分层和相同的层密度、弹性拉梅参数[23].由于(1)与(2)的预测差异代表了地幔黏滞度参考模型不确定性的影响,(3)与(4)的预测差异代表了冰川模型不确定性的影响,因此,可取二者均方根的一半作为RF3L20(β=0.4)+ ICE-4G预测结果的不确定性.

3 GIA对东亚现今重力变化的影响

根据2.4节4组GIA模型,我们利用CLFE有限元算法计算核幔边界至地表单元节点的位移,计算地球内部密度界面的变形导致的等效面密度分布,由牛顿引力位公式可计算地球的重力位变化,进一步计算大地水准面变化.利用式(2)将大地水准面变化结果展开成球谐系数,利用式(3)、(4)计算扰动重力变化和自由空气异常变化.由这些模型计算的结果,我们给出RF3L20(β=0.4)+ICE-4G在东亚地区的预测结果和不确定性,探讨了对东亚大地测量观测站重力测量和基于GRACE重力数据的水质量变化估计的影响.

3.1 东亚GIA重力变化结果

图 1a图 1b分别是东亚现今大地水准面变化速率及其不确定性,球谐阶取2~90.从图 1a,大地水准面速率在大陆腹地为正值,向北部正值增加,在贝加尔湖以西地区达0.062 mm/a,向海洋变为负值,到太平洋深处达-0.12 mm/a,正负值的分界线大约位于距海岸线1000km大陆地区.从形态看,大地水准面速率比较平缓,具有长波长特征,在大陆出现正值,说明地幔物质上升,是GIA地壳运动的远场效应; 而海洋出现负值,是由冰融海水负荷引起的黏性地幔下沉,是一种近场效应.从图 1b,不确定性基本上与大地水准面速率的幅度成正相关,在大陆腹地和海洋的大部分地区,预测值大于不确定性,海洋中预测精度更高.例如,在大陆中心地区,预测值为0.04±0.01mm/a,在东海预测值为0.06±0.006mm/a.

图 1 RF3L20(β=0.4)+ICE-4G GIA模型预测的东亚长期重力变化(a,c,e)及其不确定性(b,d,f) (a)和(b)是大地水准面变化速率的结果; (c)和(d)是扰动重力变化速率的结果; (e)和(f)是自由空气重力异常变化速率的结果.结果的数值范围在子标题后.单位对(a)和(b)是mm/a,其他为μGal/a. Fig. 1 Secular gravity rates (a, c, e) and the uncertainties (b, d, f) in East Asia predicted from RF3L20(β=0.4)+ICE-4G GIA model (a) and (b) are the results for geoid rates, (c) and (d) are for perturbed gravity rates, (e) and (f) are for free-air gravity rates. The range of the results can be found following the captions of the panels. The units are mm/a for (a) and (b), μGal/a for others.

图 1c图 1e分别是东亚地区现今扰动重力变化速率和自由空气重力异常变化速率,而图 1d图 1f则是相应的不确定性.可以看出,两种情形结果的分布形态和幅度基本相近,但完全不同于大地水准面变化速率(图 1a图 1b),它们的空间变化具有高频特点,突出了区域较浅部的地幔物质流动.正负值分界线迁移至海岸线地带,在巴尔喀什湖-贝加尔湖一线出现新的正负值分界线,其以西地区出现幅度较小的负值.幅度较大的正值以华南为中心,沿东亚海岸线呈北东南西展布,向西北幅度缓慢减小,向海岸线则迅速减小.有趣的是,它们的不确定性与它们本身的幅度不相关,而与图 1b大地水准面速率不确定性的分布相似,反映了芬若斯坎底亚冰盖和北美劳伦冰盖不确定性的远场影响.不难发现除了东亚大陆北部和海岸线地区,预测具有较高的估计精度,海区的精度相对更高.例如,扰动重力变化速率在华南为0.048±0.01μGal/a,在东海为0.07±0.006μGal/a.

3.2 对大地测量测站观测的影响

为研究GIA对测站重力观测的影响,我们在表 1给出了重要观测站的3种GIA重力长期变化估计和不确定性结果.从大部分测站看,大地水准面速率预测大于不确定性,扰动重力速率和自由空气异常预测值较不确定性相对大得多,因此后两者具有更好的精度.此外,后两者的预测结果与前者并不相关,例如在哈尔滨、长春、泰安、蓟县、郑州、武汉等站,后两者结果幅度较大,而前者接近零.从GIA对大部分观测站影响数值看,大地水准面速率预测为0.01~0.03mm/a,不确定性为0.01mm/a; 扰动重力速率和自由空气异常速率预测为0.025~0.035μGal/a,不确定性为0.008~0.011μGal/a.对一般的重力测量,测量精度较低,即使FG-5绝对重力仪,其观测精度仅为微伽级,因此GIA的影响可以忽略.但对高精度的超导重力仪特别是今后发展的原子重力仪的观测,每年几十纳伽的GIA长期重力变化影响是必须考虑的.测站观测的重力变化经过垂直位移的重力梯度改正后,就是扰动重力的变化,测站GIA影响的改正需用扰动重力速率的结果.

表 1 东亚大地测量观测站GIA重力场长期变化预测结果 Table 1 Predicted secular changes of geoid (δN), gravity (δg & ΔgF) and their uncertainties (σδN, σδg, σΔgF) due to GIA at geodetic stations in East Asia
3.3 对水质量变化监测的影响

本节用东亚GIA长期重力变化球谐展开结果和GRACE重力场变化球谐系数,由式(5)分别反演不同滤波半径的“等效水柱”变化,通过比较分析,研究GIA对东亚地表水质量长期变化监测的影响.考虑到目前GRACE的观测精度,式(5)中球谐阶范围统一取2~60阶.

取美国德克萨斯大学空间研究中心(CSR)释放的2002年4月~2009年4月共82个月的GRACE重力场模型(二级数据产品)[31, 32],作为GRACE时变重力场的基本数据,每月重力模型由地球引力位规格化的球谐系数组成,已扣除非潮汐大气、高频海洋信号、各种潮汐、固体潮、固体极潮的影响[33].首先对每一阶次球谐系数的月系列数据去掉其82个月的平均值,这样新的球谐系数不包含静态重力场,主要反映地表水质量的变化; 再对高于10次以上的系数,分奇数和偶数阶用5次多项式平滑去掉条带的影响[34]; 然后利用(5)式计算东亚网格点上所有月份的等效水柱变化,在网格点上就得到等效水柱变化的时间系列,采用最小二乘回归分析法,就可获得等效水柱年变化、半年变化、161天正弦周期项以及所关注的长期变化.

图 2给出了东亚GIA重力场反演的等效水柱变化结果.总体上看,对不同的平均半径,等效水柱变化及其不确定性都与GIA重力场变化本身(图 1c1d)的形态相似.从图 2a图 2c图 2e,在几乎整个东亚大陆,GIA对水质量的影响是正的,幅度一般大于0.2mm/a,从中国东北到东部、特别是华南是影响幅度较大的地区,对400km、300km、200km平均半径,最大影响幅度分别为0.9mm/a、0.9mm/a、1.0mm/a; 在海洋区GIA等效水柱变化的结果是负的,幅度一般大于0.5mm/a,中国台湾岛和日本约为1.0mm/a,幅度向太平洋深处增大,最大幅度分别为1.7mm/a、1.8 mm/a、2.0 mm/a.从图 2b图 2d图 2f,等效水柱变化的不确定性随平均半径的变化也不大,在东亚大陆北部不确定较大,幅度在贝加尔湖同纬度地区达0.9mm/a,但在45°N以南的大陆地区,不确定性向南从0.4 mm/a递减到0.1mm/a,等效水柱变化预测大于不确定性,例如华南等效水柱变化预测为1.0±0.2mm/a.在海洋区等效水柱变化远大于其不确定性.

图 2 根据东亚GIA重力场反演的等效水柱变化(a,c,e)及其不确定性(b,d,f) (a)、(b)是400km平均半径的结果; (c)、(d)是300km平均半径的结果; (e)、(f)是200km平均半径的结果.结果的数值范围在子标题后,单位均为mm/a. Fig. 2 GIA gravity changes derived equivalent water heights (a, c, e) in East Asia and the uncertainties (b, d, f) for different Gaussian filter radius (a) and (b) are for average radius 400 km, (c) and (d) are for average radius 300 km, (e) and (f) are for average radius 200 km. The range of the results can be found following the captions of the panels. The units are mm/a.

图 3给出了GRACE重力数据反演的等效水柱长期变化和进行GIA改正的结果.图 3(a,b)、图 3(c,d)分别是400km、300km平均半径的结果,可以看出,较大的平均半径具有相对较小幅度的结果,但它们数值异常的分布特征是类似的,因此,我们以300km平均半径的结果为例说明.由图 3c可知,GRACE反演的等效水柱长期变化主要有4个负异常、4个正异常,一般分别说明水量(也包含冰雪冻土)减少和增加.下面阐述异常分布与幅度,结合图 2c,给出GIA的影响.

图 3 根据GRACE时变重力数据反演的东亚地表等效水柱长期趋势(a,c)与GIA改正后的结果(b,d) (a)、(b)是400km平均半径的结果; (c)、(d)是300km平均半径的结果.单位均为mm/a. Fig. 3 Secular trends of the equivalent water heights (a, c) in East Asia inverted from GRACE time-varying gravity data and the results (b, d) after GIA corrections (a) and (b) are for average Gaussian radius 400 km, (c) and (d) are for average Gaussian radius 300 km.The units are mm/a.

Ⅰ号负异常,位于恒河流域上游,异常中心在印度哈里亚纳邦的巴尼伯德,水量减少幅度达32mm/a,GIA影响+0.6mm/a; Ⅱ号负异常,以不丹为中心,南北延伸到印度和青藏高原部分地区,水量减少幅度达26 mm/a,GIA影响+0.8 mm/a; Ⅲ号负异常,位于新疆克拉玛依南部,水量减少幅度达10mm/a,GIA影响+0.3 mm/a; IV号负异常,位于华北地区,水量减少幅度达10 mm/a,GIA影响+1.0mm/a; V号正异常位于青藏高原西部,水量增加幅度达14 mm/a,GIA影响+0.7 mm/a; Ⅵ号为组合正异常,主体异常位于缅甸东部,水量增加幅度达18mm/a,GIA影响+0.8 mm/a,朝东北向云贵高原延伸,进而分叉:一支朝北部从阿坝羌族藏族自治州到果洛藏族自治州(黄河源头地区)分布,水量增加达12mm/a,GIA影响+0.9mm/a,另一支朝东北直到形成以奉节-巫山为中心的分布,水量增加达10mm/a,GIA影响+1.0mm/a,该分支异常可能与三峡蓄水有关; ⅥI号正异常位于印度高止山脉的东部地区,水量增加最多,达24 mm/a,GIA影响接近0.0mm/a; ⅥII号正异常位于黄海-东海-太平洋,水量增加达4~5 mm/a,GIA影响-0.9~-1.9mm/a.由上可知,在东亚大陆GIA对GRACE监测等效水柱的相对影响一般为3%~10%,其中青藏高原西部、华北和三峡地区的相对影响较大; 在东部海洋区,GIA的相对影响达到20%~40%.由图 3d,经过GIA改正后等效水柱变化异常形态和幅度发生变化.

值得说明的是,青藏高原西部V号正异常和黄河源头Ⅵ正异常有可能与末次冰期的冰川均衡调整有关.盛冰期以来,随着当地冰盖质量负荷的移去,曾被压迫的地幔物质逐渐回流,导致现在重力仍在增加.然而,由于缺乏冰雪和冻土变化以及构造运动的独立观测和研究结果,要分离出当地末次冰盖的GIA信号证据比较困难.

4 GIA对东亚现今海平面变化的影响

利用4组GIA模型预测的固体地表径向位移速率和大地水准面变化速率,利用公式(8)、(11)分别计算ASL和RSL变化速率,据此本节给出RF3L20(β=0.4)+ICE-4GGIA模型的预测及其不确定性结果,并结合卫星测高和验潮站观测讨论GIA对东亚海平面长期变化的影响.

4.1 对绝对海平面(ASL)的影响

图 4a图 4b分别是东亚现今GIA ASL变化速率预测和不确定性结果.可以看出,整个东亚海域GIA ASL在下降,下降幅度向太平洋深处增加,下降幅度为0.27~0.37mm/a,不确定性幅度朝太平洋和鄂霍次克海增大,幅度0.014~0.042 mm/a.东亚海域ASL速率预测精度很高,例如,北部湾、黄海和渤海湾的预测结果为0.27±0.014mm/a、华南沿海为0.29±0.017mm/a、台湾海峡和东部沿海为0.30±0.020mm/a、东海为0.32±0.022mm/a、太平洋为0.37±0.032 mm/a.在这些区域ASL预测值是不确定性的10倍以上.

图 4 RF3L20(β=0.4)+ICE-4G GIA模型预测的东亚现今绝对海平面变化 (a) ASL速率; (b) ASL速率的不确定性.单位均为mm/a. Fig. 4 Present-day Absolute Sea Level (ASL) changes in East Asia predicted from RF3L20(β=0.4)+ICE-4G GIA model (a) ASL rates; (b) The uncertainties. The units are mm/a.

詹金刚等(2009)[35]利用Topex/Poseidon、Jason1、ERS、EnⅥsat卫星测高数据计算了1993~2007期间的长期ASL上升,发现黄海、东海上升速率分别为3.91 mm/a、4.28 mm/a,GIA影响为-0.26mm/a、-0.32mm/a,使ASL分别下降6.9%和7.5%,经GIA改正后上升速率为4.17 mm/a、4.60mm/a.ASL长期变化主要有两个机制:一是通过冰/雪的融化和累积、降水和蒸发、表层径流与大气和陆地之间的水质量交换,导致海水质量的变化; 二是热膨胀和海水盐度变化导致的比容效应.取比容影响60%[36],则去掉GIA影响和比容影响后,就可得到黄海、东海上升速率的质量变化影响分别为1.67mm/a、1.84 mm/a.可见GIA的精确改正对揭示质量变化对ASL的影响,研究气候变化是非常重要的.

4.2 对相对海平面(RSL)的影响

图 5a图 5b分别是东亚现今GIA RSL变化速率预测和不确定性结果.不难看出,以东海和南海北部为中心向太平洋和日本海延伸,RSL出现上升,中心预测结果约为0.20±0.03 mm/a; 北部湾、渤海湾、菲律宾岛北部沿海RSL出现上升,预测结果约为0.35±0.05 mm/a; 鄂霍次克海、日本海岸RSL在下降,下降幅度一般在0.25 mm/a,不确定性幅度范围0.02~0.04mm/a.可见预测具有较好的精度.

图 5 RF3L20(β=0.4)+ICE-4G GIA模型预测的东亚现今相对海平面变化 (a) RSL速率; (b) RSL速率的不确定性.单位均为mm/a. Fig. 5 Present-day Relative Sea Level (RSL) rates in East Asia predicted from RF3L20(β=0.4)+ICE-4G GIA model (a) RSL rates; (b) The uncertainties. The units are mm/a.

为研究GIA对海岸RSL长期变化的影响,如表 2所示,我们比较东亚57个验潮站GIA RSL速率和几十年的RSL长期变化的观测结果[37].从所有站的平均结果看,东亚地区验潮站总体RSL上升速率为2.05mm/a,其中GIA使RSL下降0.17mm/a,经过GIA改正后的验潮站总体RSL上升速率为2.22mm/a,GIA相对影响8.3%.从个体测站看,GIA使RSL下降0.3~0.4mm/a的有14个测站,下面列出其GIA改正后的RSL长期速率(GIA相对观测的影响),葫芦岛1.07mm/a (57.3%)、营口2.17mm/a (20.6%)、秦皇岛-1.73mm/a (18.4%)、塘沽2.7mm/a (17.4%)、大连1.83mm/a (21.2%)、旅顺5.7mm/a (5.9%)、龙口0.4mm/a (400%)、羊角沟3.71 mm/a (10.7%)、Toyama2.63mm/a (14.3%)、石臼所0.66 mm/a (83.3%)、连云港-1.61mm/a (15.7%)、Maisaka -1.92mm/a (13.9%)、汕头-0.89mm/a (25.2%)、北海2.06mm/a (18.4%).

表 2 东亚验潮站几十年RSL长期变化速率[37]及其GIA改正后的结果 Table 2 Secular RSL rates at the tide gauge stations of East Asia[37] and the results after the GIA corrections from RF3L20(β=0.4)+ICE-4G GIA model
5 结论

本文根据新发展的RF3L20(β=0.4)+ICE-4G GIA模型,系统研究了全球末次冰川均衡调整对东亚重力场和海平面变化的影响,主要结论如下:

(1)利用新的GIA模型,预测了东亚地区大地水准面速率、扰动重力速率和自由空气异常速率以及绝对和相对海平面变化速率,考虑当前末次冰川分布和下地幔下部黏滞度认识的差异,评估了它们的不确定性.结果表明GIA预测在东亚大部分地区有比较好的精度.

(2)在哈尔滨、长春、泰安、蓟县、郑州、武汉等测站上,GIA扰动重力变化达到几十纳伽,可被超导重力仪和未来原子重力仪观测出来,对其长期重力变化有影响.

(3)在东亚大陆GIA对GRACE监测等效水柱长期变化的相对影响一般为3%~10%,其中青藏高原西部、华北和三峡地区的相对影响最大; 在东部海洋区,GIA的相对影响甚至达到20%~40%.在华北地区,GRACE监测的水量减少幅度为10mm/a,GIA影响为+1.0mm/a; 在恒河流域上游,GRACE监测的水量减少幅度为32 mm/a,GIA影响为+0.6mm/a.

(4) GIA使东亚海域绝对海平面以0.27~0.37mm/a的速率下降,下降幅度向太平洋增加.在黄海、东海卫星测高监测的绝对海平面变化中,GIA的相对影响可达6.9%和7.5%,经过GIA改正和移去比容效应影响,海水质量变化影响分别为1.67mm/a和1.84mm/a.

(5) GIA使相对海平面在以东海为中心的广大海域上升,最大幅度0.20 mm/a,在东亚沿岸地区使相对海平面显著下降.在58个验潮站,总体RSL上升速率为2.22mm/a,GIA影响为-0.17mm/a,GIA相对影响8.3%,其中有14个测站GIA的影响达到-0.3~-0.4mm/a之多.

综上所述,GIA对东亚重力场和由之监测的水质量变化、海平面变化有重要影响,本文GIA预测的结果,对发现弱的地球动力学过程信号、监测海平面变化和分析其机制可提供精密改正.不断利用全球新的大地测量资料和地震层析模型,获取更高分辨率的全球冰盖模型和横向非均匀的地幔流变模型,将会改善全球GIA在东亚远场预测的分辨率和精度.

参考文献
[1] 汪汉胜, WuPatrick, 许厚泽. 冰川均衡调整(GIA)的研究. 地球物理进展 , 2009, 24(6): 1958–1967. Wang H S, Wu P, Xu H Z. A review of research in glacial isostatic adjustment. Progress in Geophysics (in Chinese) , 2009, 24(6): 1958-1967.
[2] Haskell N A. The motion of a fluid under a surface load, 1. Physics , 1935, 6: 265-269. DOI:10.1063/1.1745329
[3] Niskanen E. On the upheaval of Land in Fennoscandia. Ann. Acad. Sci. Fennicae A , 1939, 53: 1-30.
[4] Peltier W R. The impulse response of a Maxwell Earth. Rev. Geophys. Space Phys. , 1974, 12: 649-669. DOI:10.1029/RG012i004p00649
[5] Peltier W R, Andrews J T. Glacial isostatic adjustment I:The forward problem. Geophys. J. R. astr. Soc. , 1976, 46: 605-646.
[6] Wu P, Peltier W R. Viscous gravitational relaxation. Geophys. J. R. astr. Soc. , 1982, 70: 435-485. DOI:10.1111/j.1365-246X.1982.tb04976.x
[7] Peltier W R. New constraints on transient lower mantle rheology and internal mantle buoyancy from glacial rebound data. Nature , 1985, 318(6047): 614-617. DOI:10.1038/318614a0
[8] 汪汉胜, 许厚泽, 李国营. SNREI弹性地球模型表面负荷勒夫数数值计算的新进展. 地球物理学报 , 1996, 39(Suppl.): 182–189. Wang H S, Xu H Z, Li G Y. Improvement of computations of load Love numbers of SNREI earth model. Chinese J. Geophys. (in Chinese) , 1996, 39(Suppl.): 182-189.
[9] 汪汉胜, 李国营, 许厚泽. SNRVE黏弹性地球模型连续分布的简正模及其意义. 地球物理学报 , 1997, 40(1): 78–84. Wang H S, Li G Y, Xu H Z. Continuously distributed normal modes of the SNRVE earth model and their effects. Chinese J. Geophys. (in Chinese) , 1997, 40(1): 78-84.
[10] Zhong S, Paulson A, Wahr J. Three-dimensional finite-element modelling of Earth's viscoelastic deformation:effects of lateral variations in lithospheric thickness. Geophys. J. Int. , 2003, 155(2): 679-695. DOI:10.1046/j.1365-246X.2003.02084.x
[11] Wu P, Van der Wal W. Postglacial sea-levels on a spherical self gravitating viscoelastic earth:effects of lateral viscosity variations in the upper mantle on the inference of viscosity contrasts in the lower mantle. Earth Planet. Sci. Lett. , 2003, 211: 57-68. DOI:10.1016/S0012-821X(03)00199-7
[12] Latychev K, Mitrovica J X, Tromp J, et al. Glacial isostatic adjustment on 3-D earth models:a finite-volume formulation. Geophys. J. Int. , 2005, 161: 421-444. DOI:10.1111/gji.2005.161.issue-2
[13] Paulson A, Zhong S, Wahr J. Modelling post-glacial rebound with lateral viscosity variations. Geophys. J. Int. , 2005, 163(1): 357-371. DOI:10.1111/gji.2005.163.issue-1
[14] Spada G, Antonioli A, Cianetti S, Giunchi C. Glacial isostatic adjustment and relative sea-level changes:the role of lithospheric and upper mantle heterogeneities in a 3-D spherical Earth. Geophys. J. Int. , 2006, 165: 692-702. DOI:10.1111/gji.2006.165.issue-2
[15] Wu P. Using commercial finite element packages for the study of Earth deformations, sea levels and the state of stress. Geophys.J.Int. , 2004, 158: 401-408. DOI:10.1111/gji.2004.158.issue-2
[16] Wu P, Wang H, Schotman H. Postglacial induced surface motions, sea-levels and geoid rates on a spherical, self-gravitating laterally heterogeneous earth. Journal of Geodynamics , 2005, 39: 127-142. DOI:10.1016/j.jog.2004.08.006
[17] Wang H, Wu P. Effects of lateral variations in lithospheric thickness and mantle viscosity on glacially induced relative sea levels and long wavelength gravity field in a spherical, self-gravitating Maxwell Earth. Earth Planet. Sci. Lett. , 2006, 249: 368-383. DOI:10.1016/j.epsl.2006.07.011
[18] Wang H, Wu P. Effects of lateral variations in lithospheric thickness and mantle viscosity on glacially induced surface motion on a spherical, self-gravitating Maxwell Earth. Earth Planet. Sci. Lett. , 2006, 244: 576-589. DOI:10.1016/j.epsl.2006.02.026
[19] Sella G F, Stein S, Dixon T H, et al. Observation of glacial isostatic adjustment in "stable" North America with GPS. Geophys. Res. Lett. , 2007, 34: L02306.
[20] Kuo C Y, Shum C K, Braun A, et al. Vertical motion determined using satellite altimetry and tide gauges. Terr. Atmos. Ocean. Sci. , 2008, 19(1-2): 21-35. DOI:10.3319/TAO.2008.19.1-2.21(SA)
[21] Tushingham A M, Peltier W R. Ice-3G:a new global model of late Pleistocene deglaciation based upon geophysical predictions of post-glacial relative sea level change. J. Geophys. Res. , 1991, 96: 4497-4523. DOI:10.1029/90JB01583
[22] Wang H, Wu P, van der Wal W. Using postglacial sea level, crustal velocities and gravity-rate-of-change to constrain the influence of thermal effects on mantle lateral heterogeneities. Journal of Geodynamics , 2008, 46(3-5): 104-117. DOI:10.1016/j.jog.2008.03.003
[23] 汪汉胜, WuPatrick, van der WalWouter, 等. 大地测量观测和相对海平面联合约束的冰川均衡调整模型. 地球物理学报 , 2009, 52(10): 2450–2460. Wang H S, Wu P, van der Wal W, et al. Glacial isostatic adjustment model constrained by geodetic measurements and relative sea level. Chinese J. Geophys. (in Chinese) , 2009, 52(10): 2450-2460.
[24] Peltier W R. Postglacial variations in the level of the sea:implications for climate dynamics and solid-earth geophysics. Reviews of Geophysics , 1998, 36: 603-689. DOI:10.1029/98RG02638
[25] Wang H, Wu P, Wang Z. An approach for spherical harmonic analysis of non-smooth data. Computers & Geosciences , 2006, 32: 1654-1668.
[26] Wahr J, Molenaar M, Bryan F. Time-variability of the Earth's gravity field:hydrological and oceanic effects and their possible detection using GRACE. J. Geophys. Res. , 1998, 103: 30205. DOI:10.1029/98JB02844
[27] 汪汉胜, 王志勇, 袁旭东, 等. 基于GRACE时变重力场的三峡水库补给水系水储量变化. 地球物理学报 , 2007, 50(3): 76–82. Wang H S, Wang Z Y, Yuan X D, et al. Water storage changes in Three Gorges water systems area inferred from GRACE time-variable gravity data. Chinese J. Geophys. (in Chinese) , 2007, 50(3): 76-82.
[28] Swenson S, Wahr J. Post-processing removal of correlated errors in GRACE data. Geophys. Res. Lett. , 2006, 33: L08402.
[29] Mitrovica J X, Forte A M. Radial profile of mantle viscosity:results from a joint inversion of convection and post-glacial rebound observables. J. Geophys. Res. , 1997, 102(B2): 2751-2769. DOI:10.1029/96JB03175
[30] Peltier W R. Global glacial isostasy and the surface of the ice age earth:the ICE-5G (VM2) Model and GRACE. Annual Review of Earth and Planetary Science , 2004, 32: 111-149. DOI:10.1146/annurev.earth.32.082503.144359
[31] Center for Space Research, The University of Texas at Austin. GRACE L-2 products-version UTCSR RL-04. ftp://podaac.jpl.nasa.gov/pub/grace/data/L2/csr/, 2010
[32] Center for Space Research, The University of Texas at Austin. Release notes for GRACE L-2 products-version UTCSR RL-04. ftp://podaac.jpl.nasa.gov/pub/grace/doc/ReleaseNotes_csr_RL04.txt, 2010
[33] Bettadpur S. GRACE level-2 gravity field product user handbook. ftp://podaac.jpl.nasa.gov/pub/grace/doc/L2-UserHandbook_v2.3.pdf, 2007
[34] Chambers D P. Evaluation of new GRACE time-variable gravity data over the ocean. Geophys. Res. Lett. , 2006, 33: L17603. DOI:10.1029/2006GL027296
[35] 詹金刚, 王勇, 程永寿. 中国近海海平面变化特征分析. 地球物理学报 , 2009, 52(7): 1725–1733. Zhan J G, Wang Y, Cheng Y S. The analysis of China sea level change. Chinese J. Geophys. (in Chinese) , 2009, 52(7): 1725-1733.
[36] Yan M, Zuo J C, Du L, et al. Sea level variation/change and steric contribution in the East China Sea. Proceedings of the seventeenth International Offshore and Polar Engineering Conference, Lisbon Portugal , 2007, 1-4: 2377-2382.
[37] 丁允辉.海平面变化对中国海工程水位推算的影响.青岛:中国海洋大学研究生院, 2005 Ding Y H. The effect of sea level variation on the calculation of engineering water level (in Chinese). Qingdao:Graduate School of Ocean University of China, 2005